Abstract
Seven new adociaquinone derivatives, xestoadociaquinones A (1a), B (1b), 14-carboxy-xestoquinol sulfate (2) and xestoadociaminals A–D (3a, 3c, 4a, 4c), together with seven known compounds (5–11) were isolated from an Indonesian marine sponge Xestospongia sp. Their structures were elucidated by extensive 1D and 2D NMR and mass spectrometric data. All the compounds were evaluated for their potential inhibitory activity against eight different protein kinases involved in cell proliferation, cancer, diabetes and neurodegenerative disorders as well as for their antioxidant and antibacterial activities.
  1. Introduction
Marine sponges of the genus Xestospongia have proved to be an extremely rich source of secondary metabolites with unprecedented molecular structures and various bioactivities [,,]. Adocia- [], halena- [] and xesto-quinone [] are the three main quinone-type skeletons identified from sponges of the genus Xestospongia sp. Among the most significant compounds, adociaquinones A and B, first isolated from the sponge Adocia sp. and then from the Philippine sponge Xestospongia sp. revealed inhibition of topoisomerase II in catalytic DNA unwinding and decatenation assays as well as inhibition of enzyme in the potassium sodium dodecyl sulfate KSDS assay []. Previous investigations on the South Pacific Xestospongia sp. by our group led to the isolation of a series of halenaquinone-type compounds, including xestosaprol C methylacetal, 3-ketoadociaquinones A and B, tetrahydrohalenaquinones A and B, halenaquinol sulfate, halenaquinone and orhalquinone []. Orhalquinone demonstrated significant inhibitory activities against both human and yeast farnesyltransferase enzymes, with IC50 values of 0.4 µM. 
 
      
    
    Figure 1.
      Structures of compounds 1–11 isolated from Xestospongia sp.
  
In our continuing search for bioactive compounds from marine sponges, we have chemically investigated the Indonesian sponge of Xestospongia sp. collected off North Sulawesi, the methanolic crude extract of which showed kinase inhibition, antimicrobial and antioxidant activities. Bio-guided fractionation of the extract led to the isolation of seven new adociaquinone derivatives 1a–4c, together with seven known compounds, adociaquinone A 5 and B 6 [], secoadociaquinones A 7 and B 8, 15-chloro-14-hydroxyxestoquinone 9, 14-chloro-15-hydroxyxestoquinone 10 [] and xestoquinol sulfate 11 [] (Figure 1). The known compounds were identified by comparison of their spectroscopic data with those of the literature. In this article, we describe the isolation and structural elucidation of the new compounds as well as their biological activities.
2. Results and Discussion
The mixture of 1a and 1b was isolated as a yellowish amorphous solid. The molecular formula was established as C20H19NO8S by the HRESIMS data (m/z 434.0905 [M + H]+) and indicates 14 degrees of unsaturation. The 1H and 13C NMR data (recorded in methanol-d4, Table 1) were nearly identical to the known compounds secoadociaquinones A and B [], except for the loss of the quinonoid carbon resonances for C-14 and C-15. Furthermore, the key fragment ion peak at m/z 309 in ESI-MS spectrum, corresponding to loss of an -NH(CH2)2SO3H group, confirmed the presence of a taurine side chain in the molecule. In the 1H-1H COSY spectrum, we observed the correlations between the protons at δH 2.66, 2.89 (H2-3), δH 2.14, 2.32 (H2-4) and δH 1.67, 2.57 (H2-5), and between the protons at δH 3.84 (H2-21) and δH 3.16 (H2-22). The HMBC spectrum revealed the correlations between the proton at δH 7.70 (H-1) and the carbons at δC 123.2 (C-2), 145.2 (C-8) and 149.7 (C-7), and between the proton at δH 1.51 (H3-20) and the carbons at δC 32.3 (C-5), 38.1 (C-6), 149.7 (C-7) and 153.8 (C-19) (Figure 2). In addition, the HMBC correlations between the protons at δH 3.84 (H2-21) and the carboxyl carbons at 173.0 (1a) and 172.8 (1b) indicated the connection between the taurine side chain and a carboxyl group.
However, two sets of signals were observed in the 1H NMR spectrum around δH 7.70 and δH 8.64 with a ratio 2:3 suggesting the presence of two isomers. Compound 1a showed resonances at δH 8.64 (s), 7.80 (s), and 7.70 (s), and the other set of resonances of compound 1b were displayed at δH 8.37 (s), 7.97 (s), and 7.70 (s). In the HMBC spectrum, the proton at δH 7.80 (H-18 of compound 1a) gave correlations with the carbons at δC 38.1 (C-6), 135.0 (C-12), 137.1 (C-10), and the carboxyl carbon at δC 173.0 (C-16). The signal at δH 8.64 (H-11) of compound 1a showed HMBC correlations with δC 141.8 (C-17), 153.8 (C-19) and one carboxyl carbon at δC 172.7 (C-13). Similarly, the signal at δH 8.37 (H-11 of compound 1b) correlated with the carbons at δC 141.8 (C-17), 154.2 (C-19) and the carboxyl carbon at δC 172.8 (C-13). The proton at δH 7.97 (H-18 of compound 1b) showed correlations with the carbons at δC 38.1 (C-6), 134.5 (C-12), 137.1 (C-10) and 172.5 (C-16). These data confirmed that the structures of 1a and 1b were similar to 14, 15-secoadociaquinone skeleton.
In addition, correlations from the protons at δH 7.80 (H-18) and 3.84 (H2-21) to the carbon δC 173.0 (C-16) were observed in the HMBC spectrum of compound 1a, while correlations from the protons at δH 8.37 (H-11) and 3.84 (H2-21) to the carbon δC 172.8 (C-13) were found in compound 1b. Thus, the structures of compounds 1a and 1b were determined as presented in Figure 1 and named as xestoadociaquinone A (1a) and xestoadociaquinone B (1b).
 
       
    
    Table 1.
    1H and 13C NMR data for 1–4 (600 and 150 MHz, respectively) a.
  
| N° | 1a b | 1b b | 2 c | 3a c | 3c c | 4a c | 4c c | |||||||
|---|---|---|---|---|---|---|---|---|---|---|---|---|---|---|
| δC, m | δH, m d | δC, m | δH, m d | δC, m | δH, m d | δC, m | δH, m d | δC, m | δH, m d | δC, m | δH, m d | δC, m | δH, m d | |
| 1 | 146.8 | 7.70, s | 146.8 | 7.70, s | 144.6 | 7.87, s | 145.6 | 7.94, dd, 1.5, 2.0 | 145.5 | 7.93, m | 145.7 | 7.95, m | 145.7 | 7.95, m | 
| 2 | 123.2 | 123.3 | 121.2 | 121.4 | 121.5 | 122.8 | 122.7 | |||||||
| 3 | 17.6 | 2.89, m | 17.6 | 2.89, m | 16.5 | 2.82, m | 16.3 | 2.83, m | 16.3 | 2.83, m | 16.3 | 2.83, m | 16.3 | 2.83, m | 
| 2.66, m | 2.66, m | 2.58, m | 2.59, m | 2.59, m | 2.59, m | 2.59, m | ||||||||
| 4 | 19.5 | 2.32, m | 19.5 | 2.32, m | 18.1 | 2.20, m | 17.8 | 2.20, m | 17.8 | 2.20, m | 17.9 | 2.21, m | 17.9 | 2.21, m | 
| 2.14, m | 2.14, m | 2.08, m | 2.05, m | 2.05, m | 2.05, m | 2.05, m | ||||||||
| 5 | 32.3 | 1.67, m | 32.2 | 2.57, m | 31.7 | 2.64, m | 30.4 | 2.67, m | 30.6 | 30.8 | 2.55, m | 30.6 | 2.55, m | |
| 2.57, m | 1.67, m | 1.68, m | 1.56, m | 1.58, m | 1.58, m | |||||||||
| 6 | 38.1 | 38.1 | 35.8 | 36.7 | 36.5 | 36.4 | 36.4 | |||||||
| 7 | 149.7 | 149.7 | 146.4 | 147.3 | 147.3 | 147.8 | 147.8 | |||||||
| 8 | 145.2 | 145.2 | 143.9 | 143.1 | 143.2 | 143.3 | 143.2 | |||||||
| 9 | 172.5 | 172.5 | 171.4 | 170.4 | 170.5 | 170.3 | 170.3 | |||||||
| 10 | 137.1 | 137.1 | 128.8 | 142.6 | 142.7 | 135.1 | 135.2 | |||||||
| 11 | 128.4 | 8.64, s | 128.4 | 8.37, s | 124.7 | 9.03, s | 124.9 | 8.66, s | 124.8 | 8.65, s | 124.5 | 8.19, s | 124.4 | 8.19, s | 
| 12 | 135.0 | 134.5 | 124.6 | 130.2 | 130.1 | 137.8 | 137.8 | |||||||
| 13 | 172.7 e | 172.8 e | 162.1 | 173.6 | 173.6 | 72.4 | 72.5 | |||||||
| 14 | 111.0 | 104.0 | 164.5 | 164.5 | ||||||||||
| 15 | 121.7 | 7.75, s | 164.2 | 164.3 | 104.2 | 104.3 | ||||||||
| 16 | 173.0 | 172.5 | 136.6 | 72.7 | 72.6 | 173.5 | 173.7 | |||||||
| 17 | 141.8 | 141.8 | 132.2 | 132.9 | 132.9 | 133.9 | 134.2 | |||||||
| 18 | 126.2 | 7.80, s | 126.9 | 7.97, s | 119.0 | 8.16, s | 123.2 | 7.84, s | 123.3 | 7.86, s | 122.8 | 8.18, s | 122.7 | 8.16, s | 
| 19 | 153.8 | 154.2 | 146.7 | 154.3 | 154.2 | 150.9 | 151.1 | |||||||
| 20 | 32.6 | 1.51, s | 32.5 | 1.52, s | 34.4 | 1.44, s | 31.8 | 1.43, s | 31.6 | 1.48, s | 32.0 | 1.43, s | 32.0 | 1.43, s | 
| 21 | 37.2 | 3.84, m | 37.2 | 3.84, m | 171.8 | 48.7 | 3.38, m | 48.7 | 3.93, m | 48.7 | 3.39, m | 48.7 | 3.39, m | |
| 3.40, m | 3.90, m | 3.33, m | 3.33, m | |||||||||||
| 22 | 51.1 | 3.16, m | 51.2 | 3.16, m | 39.4 | 3.93, m | 39.4 | 3.38, m | 39.4 | 3.95, m | 39.4 | 3.95, m | ||
| 3.90, m | 3.34, m | 3.89, m | 3.89, m | |||||||||||
| 23 | 87.5 | 5.61, m | 87.4 | 5.61, m | 87.5 | 5.62, m | 87.5 | 5.62, m | ||||||
| 24 | 44.1 | 3.24, m | 44.1 | 3.24, m | 44.0 | 3.19, m | 44.0 | 3.19, m | ||||||
| 2.12, m | 2.12, m | 2.04, m | 2.04, m | |||||||||||
| -OH-16/13 | 6.78, d, 2.0 | 6.88, brs | 6.79, d, 1.0 | 6.74, d, 1.0 | ||||||||||
| -OH-23 | 6.96, d, 9.0 | 6.99, brs | 7.03, d, 8.5 | 7.03, d, 8.5 | ||||||||||
a All the data were assigned by HSQC, HMBC, COSY and NOESY experiments; b Recorded in methanol-d4; c Recorded in DMSO-d6; d m: multiplicity, J in Hertz; e Not observed in DEPT spectrum, but only in HMBC spectrum.
 
      
    
    Figure 2.
      Selected 1H-1H COSY (−) and HMBC (1H→13C) correlations of 1a and 1b.
  
Compound 2 was isolated as a yellowish amorphous solid, with the molecular formula of C21H16O9S deduced from HR-ESIMS data (m/z 443.0447 [M + H]+), indicating 16 degrees of unsaturation. The 1H and 13C NMR data (recorded in DMSO-d6, Table 1) showed similarities with those of the xestoquinol skeleton of compound 11. The major difference between compounds 2 and 11 [] was the presence in the 13C NMR spectrum of one carboxyl carbon signal at δC 171.8. The position of a carboxyl group was determined thanks to the HMBC correlations between the proton at δH 7.75 (H-15) and the carbons at δC 132.2 (C-17), 162.1(C-13), and 171.8 (C-21) (Figure 3). Another major difference is the lack of the ortho-coupled protons system between H14-H15, replaced by the singlet due to H15. Therefore, the structure of 2 was determined as being 14-carboxy-xestoquinol sulfate.
 
      
    
    Figure 3.
      Selected 1H-1H COSY (−) and HMBC (1H→13C) correlations of 2.
  
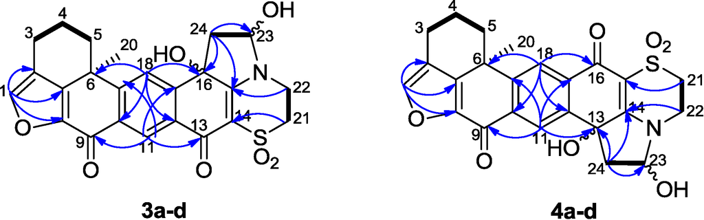
The structure elucidation of xestoadociaminals A 3a and B 3c was performed on two fractions, each of which contained the two natural products, and their hemiaminal diastereomers, in differing proportions. Compound 3a was obtained as a yellowish solid after being recrystallized slowly from a methanolic solution of 3a and 3c. 1H NMR rapidly established that the sample was comprised of 3a and 3c in a ratio of 1:0.14, in addition to two further minor compounds (hemiaminal diastereomers, see later) also being present, again in a relative ratio of 1:0.14 (see 1H NMR spectrum in Supplementary Information). Particularly diagnostic of the presence of four compounds, were 1H resonances at δH 7.84, 7.78, 7.86 and 7.81 (H-18, all singlets) and δH 8.66, 8.64, 8.65 and 8.62 (H-11, all singlets), with both sets of signals observed in relative ratios of 1:0.14:0.14:0.02, respectively. The molecular formula of 3a was assigned as C24H21NO7S based on its HRESIMS data (m/z 468.1100 [M + H]+), indicating 17 degrees of unsaturation. The presence of hydroxyl and carbonyl functional groups was deduced from the bands at 3649, 1752, and 1717 cm−1 in the IR spectrum. The DEPT spectrum indicated 24 carbons, including one methyl, six methylenes, four methines, and thirteen quaternary carbons. The 1H and 13C NMR data (recorded in DMSO-d6, Table 1) of 3a showed some similarities with adociaquinone A [,]. In the HMBC spectrum, the correlations between the proton at δH 8.66 (H-11) and the carbons at δC 132.9 (C-17), 154.3 (C-19), 170.4 (C-9) and 173.6 (C-13), between the proton at δH 7.84 (H-18) and the carbons at δC 36.7 (C-6), 130.2 (C-12), 142.6 (C-10), as well as between the proton at δH 7.94 (H-1) and the carbons at δC 121.4 (C-2), 143.1 (C-8), and 147.3 (C-7), confirmed the partial fragment of adociaquinone skeleton [,]. The main differences were the lack of one carbonyl group and the presence of additional signals corresponding to one oxygenated quaternary carbon [δC 72.7 (C-16)], one oxymethine [δC 87.5 (C-23)/δH 5.61 (1H, m, H-23)] and one methylene [δC 44.1 (C-24)/δH 3.24 (2H, m, H-24)] signal in the 1H and 13C NMR spectra of 3a. From the 1H-1H COSY spectrum, we observed the correlations between the protons at δH 2.83–2.59 (H2-3) and the protons at δH 2.20–2.05 (H2-4), which in turn gave correlations with the protons at δH 2.67, 1.56 (H2-5), and between the proton at δH 3.93–3.90 (H2-22) and the protons at δH 3.38, 3.34 (H2-21), and particularly between the proton at δH 5.61 (H-23) and the protons at δH 3.24–2.12 (H2-24) and the exchangeable proton at δH 6.96 (OH-23). The presence of a pyrrolidine ring in compound 3a was deduced by HMBC correlations between the proton at δH 3.24–2.12 (H2-24) and the carbons at δC 72.7 (C-16), 87.5 (C-23), and 164.2 (C-15), and between the proton at δH 5.61 (H-23) and the carbon at δC 44.1 (C-24). Furthermore, the HMBC correlations observed from the exchangeable proton at δH 6.78 (OH-16) and the proton at δH 7.84 (H-18) to the carbon at δC 72.7 (C-16), and from the other exchangeable proton at δH 6.96 (OH-23) to the carbon at δC 87.5 (C-23) (Figure 4) confirmed the presence of two hydroxyl groups at positions 16 and 23. Therefore, it was concluded that the structure of 3a contained a pyrrolidine ring fused between the dioxothiazine and quinone rings of adociaquinone A. With two stereogenic centres being present in this new ring system (at C-16 and C-23), in addition to the chiral centre at C-6, the four compounds in the sample being studied were ascribed to being pairs of hemiaminal diastereomers (each present in a 1:0.14 relative ratio) associated with each of the two possible C-16 stereoisomers. Observation of a NOESY correlation between the hemiaminal proton at δH 5.61 (H-23) and the hydroxyl proton at δH 6.78 (OH-16), indicated the relative disposition between these two protons in the dominant diastereomer present in the sample, however a lack of other correlations prevented determination of configuration relative to the stereocentre at C-6. While many of the 1H and 13C resonances associated with the hemiaminal diastereomer of 3a (3b) were co-incident with those of 3a, discernible signals attributable to 3b were observed at δH 8.64/δC 124.9 (CH-11), δH 7.78/δC 123.3 (CH-18), δH 5.40/δC 88.3 (CH-23) and δC 74.7 (C-16). With NMR resonances assigned for each of 3a/3b, attention then turned to a second column fraction that also contained the same four sets of NMR signals. Integration of the 1H NMR spectrum of this second fraction indicated it to be enriched in a second compound 3c, also present with its hemiaminal diastereomer 3d, with relative ratios of 1:0.15:1:0.15 (3a:3b:3c:3d). Differences between 1H NMR data observed for 3c compared to 3a were associated with the resonance of the exchangeable proton at OH-16 (δH 6.78 for 3a and δH 6.88 for 3c), H-11 (8.66 vs. 8.65), H-18 (7.84 vs. 7.86) while 13C NMR shift differences were observed for C-16 (72.7 vs. 72.6), C-23 (87.45 vs. 87.40), and C-18 (123.1 vs. 123.3). It was thus concluded that compound 3c was likely the C-16 epimer of 3a. It was named xestoadociaminal B. The fourth very minor constituent of the fraction mixtures was then presumed to be the hemiaminal diastereomer of 3c (Figure 4).
 
      
    
    Figure 4.
      Relative configuration of the hemiaminal diastereomers 3a–d.
  
Compound 4 was obtained as a 1:1:0.29:0.29 mixture of four diastereoisomers (see 1H NMR spectrum in supplementary data), isolated as a yellowish amorphous solid. The molecular formula was also assigned as C24H21NO7S, being isomeric with 3a–d. The 1H and 13C NMR data (recorded in DMSO-d6, Table 1) were also similar to those observed for compounds 3a–d. The partial fragment of an adociaquinone skeleton was confirmed by the HMBC correlations between the proton at δH 8.19 (H-11) and the carbons at δC 133.9 (C-17), 150.9 (C-19) and 170.3 (C-9), between the proton at δH 8.18 (H-18) and the carbons at δC 36.5 (C-6), 135.2 (C-10), 137.8 (C-12) and 173.5 (C-16), and between the proton at δH 7.95 (H-1) and the carbons at δC 122.8 (C-2), 143.3 (C-8) and 147.8 (C-7). However, in contrast to the case of compound 3a, the HMBC spectrum also showed key correlations between the proton at δH 8.18 (H-18) and the carbon at δC 173.5 (C-16), and between the proton at δH 8.19 (H-11) and the carbon at δC 72.4 (C-13), between the exchangeable proton at δH 6.79 (OH-13) and the carbons at δC 44.1 (C-24), 72.4 (C-13), and 137.8 (C-12) and between the other exchangeable proton at δH 7.03 (OH-23) to the carbons at δC 44.1 (C-24) and 87.5 (C-23) (Figure 5). These correlations again identified the presence of a pyrrolidine ring fused between the dioxothiazine and quinone rings of an adociaquinone-type molecule, but in contrast to ring fusion to C-16 in 3a–d, fusion in compound 4 was at C-13. Therefore, it was concluded that the fraction contained all four diastereomers represented by structures 4a–d with the two major components 4a and 4c being C-13 epimers and the minor components 4b and 4d being their corresponding hemiaminal diastereomers. The major components were named xestoadociaminals C and D; their relative configurations remain unresolved due to overlapping signals. Biogenetically, the structures of 3a–d and 4a–d represent the addition of ethanal to adociaquinones A and B. However, it should be noted that ethanol was not used for the storage of the sponge nor in any chromatographic purification steps.
 
      
    
    Figure 5.
      Selected 1H-1H COSY (−) and HMBC (1H→13C) correlations of compounds 3a–d and 4a–d.
  
All compounds were tested against eight different protein kinases relevant to cell proliferation, cancer, diabetes and neurodegenerative disorders along with the related compounds 12 and 13 (Figure 6), previously isolated from the marine sponge Xestospongia sp., [] in order to establish structure-activity relationships. Compounds 6 and 8 revealed a modest but selective inhibitory activity towards CDK9/cyclin T (IC50: 3 µM) and CDK5/p25 (IC50: 6 µM), respectively. Compound 12, which is a sodium derivative and differs from 11 by the presence of the ketone group in the position 3, showed significant activity against most protein kinases ranging from 0.5 to 7.5 µM (Table 2), while compound 13, with a hydroxyl in position C-1 and a methoxyl at C-8, showed marginal activity against DYRK1A. This information suggests that the presence of a ketone group in position 3 and eventually a non-substituted furan ring are important for the activity. Therefore, adociaquinone derivatives could be of interest in the discovery of new potential kinase inhibitors.
All the compounds were also tested for potential antioxidant and antibacterial activities. Only compound 11 showed moderate antibacterial activity with an IC50 value of 125 μM against Staphylococcus aureus. 
 
      
    
    Figure 6.
      Halenaquinone derivatives of the marine sponge Xestospongia testudinaria collected in Solomon Islands.
  
 
       
    
    Table 2.
    Protein kinase inhibitory activity of compounds 7, 8, 12 and 13 a.
  
| Compound b | CDK1 | CDK2 | CDK5 | CDK9 | CK1 | CLK1 | DYRK1A | GSK3 | 
|---|---|---|---|---|---|---|---|---|
| 6 | >10 | >10 | >10 | 3 | >10 | >10 | >10 | >10 | 
| 8 | >10 | >10 | 6 | >10 | >10 | >10 | >10 | >10 | 
| 12 | 4.3 | 7.5 | 2.2 | 0.5 | 5.2 | 0.71 | 0.61 | 0.61 | 
| 13 | >10 | >10 | >10 | >10 | >10 | >10 | 9.3 | >10 | 
a IC50 values, calculated from the dose-response curves, are reported in μM; b All other isolated compounds did not show any significant activity in this protein kinase panel at the highest concentration tested (IC50 > 10 μM).
3. Experimental Section
3.1. General Experimental Procedures
Optical rotations were recorded on a Perkin-Elmer 341 polarimeter (Villebon-sur-Yvette, France). IR spectra were recorded on a FT-IR Shimadzu 8400 S spectrometer (Noisiel, France). UV spectra were recorded on a UVIKON 930 spectrometer (Kontron, France). Mass spectra were recorded on an API Q-STAR PULSAR I of Applied Biosystems (Concord, ON, Canada). NMR spectra were obtained on either a Bruker Avance 400 or 600 spectrometer (Wissenburg, France) using standard pulse sequences. The acquisition of HMBC spectra was optimized for either 7 or 8.3 Hz. Column chromatography (CC) purifications were performed using silica gel (200~400 mesh; Merck, Darmstadt, Germany) and Sephadex LH-20 (Amersham Pharmacia, Uppsala, Sweden). Fractions were analyzed by TLC using aluminum-backed sheets (Silica gel 60 F254) and visualized under UV (254 nm) and Lieberman spray reagent. Preparative TLC used glass plate coated with silica gel 60 F254, 0.25 mm thick (Merck, Darmstadt, Germany). Flash chromatography was carried out on Buchi C-615 pump system (Rungis, France). Analytical and semi-preparative reverse-phase (Gemini C6-phenyl, Luna C18 and HILIC, Phenomenex, Le Pecq, France) columns were performed with an Alliance HPLC apparatus (model 2695, Waters, Saint-Quentin en Yvelines, France), equipped with a photodiode array detector (model 2998, Waters), an evaporative light-scattering detector (model Sedex 80, Sedere, Alforville, France), and the Empower software.
3.2. Sponge Material
Specimens of Xestospongia sp. were collected in the North Sulawesi (Bunaken and other islands/reefs near Manado), Indonesia and were identified by Professor Van Soest, University of Amsterdam, the Netherlands.
3.3. Extraction and Isolation
Sponge specimens (500 g) were immediately immersed in MeOH after collection. The MeOH solution was evaporated and the aqueous residue was extracted and partitioned first with 1 L CH2Cl2 to give the CH2Cl2 extract (6.5 g). The aqueous phase was extracted with 1 L EtOAc and partitioned to afford to the EtOAc extract (1.7 g). Finally, the aqueous residue was extracted with 1 L BuOH and partitioned to obtain the BuOH extract (8.8 g).
An aliquot of the CH2Cl2 extract (3.0 g) was subsequently chromatographed on silica gel using a flash chromatographic gradient elution system from 100% (v/v) CH2Cl2 to 100% MeOH (v/v), to yield ten fractions (D1–D10). Fraction D3 (32 mg) was further purified on preparative normal-phase TLC (CH2Cl2/MeOH, 8:2 v/v) to furnish adociaquinone A 5 (7.0 mg). Fraction D4 (48.2 mg) was recrystallized in MeOH to obtain adociaquinone B 6 (18.5 mg). Fraction D5 (21 mg) was subjected to C6-phenyl reversed-phase HPLC using gradient ACN/H2O/HCOOH from 5/95/0.1 to 35/65/0.1 as eluent for 30 min (250 × 10 mm, flow rate: 3 mL/min, wavelength: 254 nm) to yield the mixture of xestoadociaminals C and D (4a, 4c, 8.8 mg). Also, fraction D6 (47 mg) was subjected to C6-phenyl reversed-phase HPLC using gradient ACN/H2O/HCOOH from 5/95/0.1 to 35/65/0.1 as eluent for 30 min (flow rate: 3 mL/min, wavelength: 254 nm) to yield the mixture of xestoadociaminals A and B 3a–d (15.0 mg) and 9.0 mg of the mixture of 15-chloro-14-hydroxyxestoquinone 9 and 14-chloro-15-hydroxyxestoquinone 10. The mixture of 3a–d was then recrystallized in MeOH to obtain mainly xestoadociaminal A 3a (3.3 mg). Fractions D8 and D9 (69 mg) were further purified on Sephadex LH-20 column, eluted with MeOH to give secoadociaquinones A 7 (12.0 mg) and B 8 (5.0 mg). 
The EtOAc extract (1.7 g) was then chromatographed on silica gel using a flash chromatographic gradient elution system from 100% (v/v) CH2Cl2 to 100% MeOH (v/v), to give seven fractions (E1–E7). Fraction E3 (200 mg) was purified on a Sephadex LH-20 column (CH2Cl2/MeOH, 1:1 v/v) to give five sub-fractions (E3a–E3e). Fraction E3c was purified by preparative normal-phase TLC (CH2Cl2/MeOH, 8:2 v/v) to yield isomers of 15-chloro-14-hydroxyxestoquinone and 14-chloro-15-hydroxyxestoquinone 9 and 10 (2.5 mg). Fraction E4 (340 mg) was positive towards 2,2-diphenyl picrylhydrazyl DPPH antioxidant assay and was further purified on Sephadex LH-20 column (CH2Cl2/MeOH, 1:1 v/v) to give four sub-fractions (E4a–E4d). Sub-fraction E4a (73 mg) was purified by semi-preparative reversed-phase HPLC (Luna C-18 column 250 × 10 mm, ACN/H2O/HCOOH from 10/90/0.1 to 55/45/0.1, 30 min, 3 mL/min, 254 nm) to yield secoadociaquinones A and B 7 and 8 (5 mg). Fraction E4c (28 mg) was purified on preparative normal-phase TLC (CH2Cl2/MeOH, 8:2 v/v) to yield xestoquinol sulfate 11 (2 mg).
The butanol extract (2.7 g) was chromatographed on silica gel using a flash chromatographic gradient elution system from 100% (v/v) CH2Cl2 to 100% MeOH (v/v), to give seven fractions (B1–B7). Fraction B5 (CH2Cl2/MeOH, 8:2 v/v, 200 mg) was firstly purified on semi-preparative HPLC (Luna C-18 column, ACN/H2O/HCOOH 20/80/0.1 to 55/45/0.1, 3 mL/min, 254 nm) to yield three sub fractions B5a (60 mg), B5b (18 mg), and B5c (18 mg). Repeated purification of fraction B5b on semi-preparative HPLC (HILIC column, ACN/H2O/HCOOH 80/20/0.1, 3 mL/min, 254 nm) led to the isolation of xestoadociaquinones A and B 1a and 1b (1.7 mg) and xestoadociaminals A and B (3a, 3c, 1.5 mg). Fraction B6 (CH2Cl2/MeOH, 1:1 v/v, 115 mg) was firstly purified on semi-preparative HPLC (HILIC column, ACN/H2O/HCOOH 80/20/0.1, 254 nm) to yield three sub-fractions B6a (20 mg), B6b (65 mg), and B6c (30 mg). After repeated purification of the sub fraction B6b on semi-preparative HPLC (HILIC column 250 × 10 mm, ACN/H2O/HCOOH 90/10/0.1, 3 mL/min, 254 nm) and preparative silica TLC (CH2Cl2/MeOH, 7:3 v/v), 14-carboxy-xestoquinol sulfate 2 (2.4 mg) was isolated.
Xestoadociaquinones A and B (1a and 1b): pale yellow amorphous solid; 1H and 13C NMR spectral data, see Table 1; (+)-HRESIMS m/z 434.0905 [M + H]+ (calcd for C20H20NO8S, 434.0904).
14-Carboxy-xestoquinol sulfate (2): yellow amorphous solid, [α]D25 −17 (c 0.028, MeOH), UV (EtOH) λmax (log ε): 207 (2.95) nm; IR (NaCl disk) νmax 3318, 2924, 1740, 1458, 668 cm−1; 1H and 13C NMR spectral data, see Table 1; (−)-HRESIMS m/z 443.0447 [M−H]+ (calcd for C21H15O9S, 443.0442).
Xestoadociaminal A (3a): yellow amorphous solid, [α]D25 −55 (c 0.05, MeOH), UV (EtOH) λmax (log ε): 205 (3.79), 231 (3.74), 251 (3.71), 314 (3.59) nm; IR (NaCl disk) νmax 3649, 2924, 2855, 1752, 1717, 1508, 1458 cm−1; 1H and 13C NMR spectral data, see Table 1; (+)-HRESIMS m/z 468.1100 [M + H]+ (calcd for C24H22NO7S, 468.1111).
Xestoadociaminal B (3c): yellow amorphous solid; 1H and 13C NMR spectral data, see Table 1; (+)-HRESIMS m/z 468.1100 [M + H]+ (calcd for C24H22NO7S, 468.1111).
Xestoadociaminals C and D (4a, 4c): yellow amorphous solid; 1H and 13C NMR spectral data, see Table 1; (+)-HRESIMS m/z 468.1100 [M + H]+ (calcd for C24H22NO7S, 468.1111).
3.4. Protein Kinase Assays
Evaluation of the protein kinase inhibitory activity was performed in vitro as previously described []. Briefly, homogenization buffer: 60 mM β-glycerophosphate, 15 mM p-nitrophenylphosphate, 25 mM Mops (pH 7.2), 15 mM EGTA, 15 mM MgCl2, 1 mM dithiothreitol, 1 mM sodium vanadate, 1 mM NaF, 1 mM phenylphosphate, 10 µg leupeptin mL−1, 10 µg aprotinin mL−1, 10 µg soybean trypsin inhibitor mL−1, and 100 µg benzamidine. Buffer A: 10 mM MgCl2, 1 mM EGTA, 1 mM dithiothreitol, 25 mM Tris-HCl pH 7.5, 50 µg heparin mL−1. Buffer C: homogenization buffer but 5 mM EGTA, no NaF and no protease inhibitors. Kinase activities were assayed in triplicates in buffer A or C at 30 °C, at a final ATP concentration of 15 µM. The order of mixing the reagents was: buffers, substrate, enzyme, inhibitor and 33P-radiolabelled ATP. Isolated compounds were tested against a panel of eight kinases; namely cyclin-dependent kinase 1 (CDK1/cyclin B), cyclin-dependent kinase 2 (CDK2/cyclin A), cyclin-dependent kinase 5 (CDK5/p25), cyclin-dependent kinase 9 (CDK9/cyclin T), casein kinase 1 (CK1), Cdc2-like kinase 1 (CLK1), dual-specificity tyrosine-(Y)-phosphorylation regulated kinase 1A (DYRK1A) and glycogen synthase kinase-3α/β (GSK-3α/β).
3.5. Antibacterial Assay
The antibacterial activity assay was conducted on the bacterial strain Gram-positive Staphylococcus aureus ATCC 6538 and Gram-negative Escherichia coli ATCC 8739 evaluated in vitro by determining the IC50. A pre-culture of 5 mL LB (Luria Bertoni) medium was prepared by inoculating a colony of the bacterial strain and was incubated at 37 °C with stirring overnight. The concentration of the pre-culture was assessed by measuring the optical density OD at 620 nm and adjusted by dilution to obtain a suspension of 0.03 OD. The IC90 was determined by a liquid test in 96-well-plates. A quantity of 200 µL of the bacterial suspension was distributed in each well and 10 µL of the extracts, fractions or pure compounds solutions in DMSO (10, 5 and 2 mg/mL, respectively) were added in triplicate. The 96 well-plates were incubated at 30 °C for 16 to 18 h with shaking (450 rpm). The optical density of the wells was measured at 620 nm and the results were interpreted by calculating the percentage of growth inhibition in each well using the formula: % inhibition = 100 − (DOS − DOB)/(DOT − DOB) ×100 where T = bacterial suspension without test sample, B = culture medium without bacteria and S = bacterial suspension test sample. Ampicillin and chloramphenicol were used as positive control against S. aureus and E. coli, respectively.
3.6. Antioxidant Assay: Qualitative DPPH Screening
The potential antioxidant activity of sponge crude extract and fractions from different chromatography procedures was evaluated using the scavenging activity of the DPPH (2,2-diphenyl-1-picrylhydrazyl) free radicals. Active fractions were visualized by spraying a purple DPPH solution (2 mg/mL in MeOH) on a TLC, where extracts or fractions have been deposited. Immediate discoloration of DPPH around tested samples reveals their antioxidant activity. The well-known antioxidant ascorbic acid was used as positive control.
Acknowledgments
We acknowledge the financial support of the European Union 7th Framework Program (BlueGenics FP7-KBBE-2012-6) under grant agreement n° 311848 (ML.BK, A.L, L.H.M, H.F). The authors are grateful to J.-C. Braekman for the gift of the sponge samples, to R. Van Soest for sponge identification, to A. Blond and A. Deville (MNHN, Paris, France) for NMR spectra, and to A. Marie and L. Dubost (MNHN, Paris, France) for MS measurements.
Author Contributions
Fei He, Linh H. Mai and Arlette Longeon performed chemical research, analyzed the data and contributed to the writing of the manuscript; Nadège Loaëc, Amandine Bescond, and Arlette Longeon performed biological research and analyzed the data; Marie-Lise Bourguet-Kondracki, Brent R. Copp and Laurent Meijer conducted the design of the research, analyzed chemical and biological data, and wrote the manuscript. All authors read and approved the final manuscript.
Supplementary Information
Structures of new compounds, 1D and 2D NMR spectra, and MS spectra of the new compounds (1a, 1b, 2, 3a, 3c, 4a, 4c).
Conflicts of Interest
The authors declare no conflict of interest.
References
- Ankisetty, S.; Slattery, M. Antibacterial secondary metabolites from the cave sponge Xestospongia sp. Mar. Drugs 2012, 10, 1037–1043. [Google Scholar] [PubMed]
- Dai, J.; Sorribas, A.; Yoshida, W.Y.; Kelly, M.; Williams, P.G. Xestosaprols from the Indonesian marine sponge Xestospongia sp. J. Nat. Prod. 2010, 73, 1188–1191. [Google Scholar] [CrossRef] [PubMed]
- Calcul, L.; Longeon, A.; Mourabit, A.A.; Guyot, M.; Bourguet-Kondracki, M.-L. Novel alkaloids of the aaptamine class from an Indonesian marine sponge of the genus Xestospongia. Tetrahedron 2003, 59, 6539–6544. [Google Scholar] [CrossRef]
- Schmitz, F.J.; Bloor, S.J. Xesto-and halenaquinone derivatives from a sponge, Adocia sp., from Truk Lagoon. J. Org. Chem. 1988, 53, 3922–3925. [Google Scholar] [CrossRef]
- Cao, S.; Foster, C.; Brisson, M.; Lazo, J.S.; Kingston, D.G.I. Halenaquinone and xestoquinone derivatives, inhibitors of Cdc25B phosphatase from a Xestospongia sp. Bioorg. Med. Chem. 2005, 13, 999–1003. [Google Scholar] [CrossRef] [PubMed]
- Nakamura, H.; Kobayashi, J.; Kobayashi, M.; Ohizumi, Y.; Hirata, Y. Xestoquinone. A novel cardiotonic marine natural product isolated from the Okinawan sea sponge Xestospongia sapra. Chem. Lett. 1985, 14, 713–716. [Google Scholar] [CrossRef]
- Concepcion, G.P.; Foderaro, T.A.; Eldredge, G.S.; Lobkovsky, E.; Clardy, J.; Barrows, L.R.; Ireland, C.M. Topoisomerase II-mediated DNA cleavage by adocia-and xestoquinones from the Philippine sponge Xestospongia sp. J. Med.Chem. 1995, 38, 4503–4507. [Google Scholar] [CrossRef] [PubMed]
- Longeon, A.; Copp, B.R.; Roué, M.; Dubois, J.; Valentin, A.; Petek, S.; Debitus, C.; Bourguet-Kondracki, M.-L. New bioactive halenaquinone derivatives from South Pacific marine sponges of the genus Xestospongia. Bioorg. Med. Chem. 2010, 18, 6006–6011. [Google Scholar] [CrossRef] [PubMed]
- Kobayashi, J.; Hirase, T.; Shigemori, H.; Ishibashi, M.; Bae, M.-A.; Tsuji, T.; Sasaki, T. New Pentacyclic compounds from the Okinawan marine sponge Xestospongia sapra. J. Nat. Prod. 1992, 55, 994–998. [Google Scholar] [CrossRef]
- Tahtouh, T.; Elkins, J.M.; Filippakopoulos, P.; Soundararajan, M.; Burgy, G.; Durieu, E.; Cochet, C.; Schmid, R.S.; Lo, D.C.; Delhommel, F.; et al. Selectivity, cocrystal structures, and neuroprotective properties of leucettines, a family of protein kinase inhibitors derived from the marine sponge alkaloid leucettamine B. J. Med. Chem. 2012, 55, 9312–9330. [Google Scholar] [CrossRef] [PubMed]
© 2015 by the authors; licensee MDPI, Basel, Switzerland. This article is an open access article distributed under the terms and conditions of the Creative Commons Attribution license (http://creativecommons.org/licenses/by/4.0/).
