Trabectedin in Soft Tissue Sarcomas
Abstract
:1. Introduction
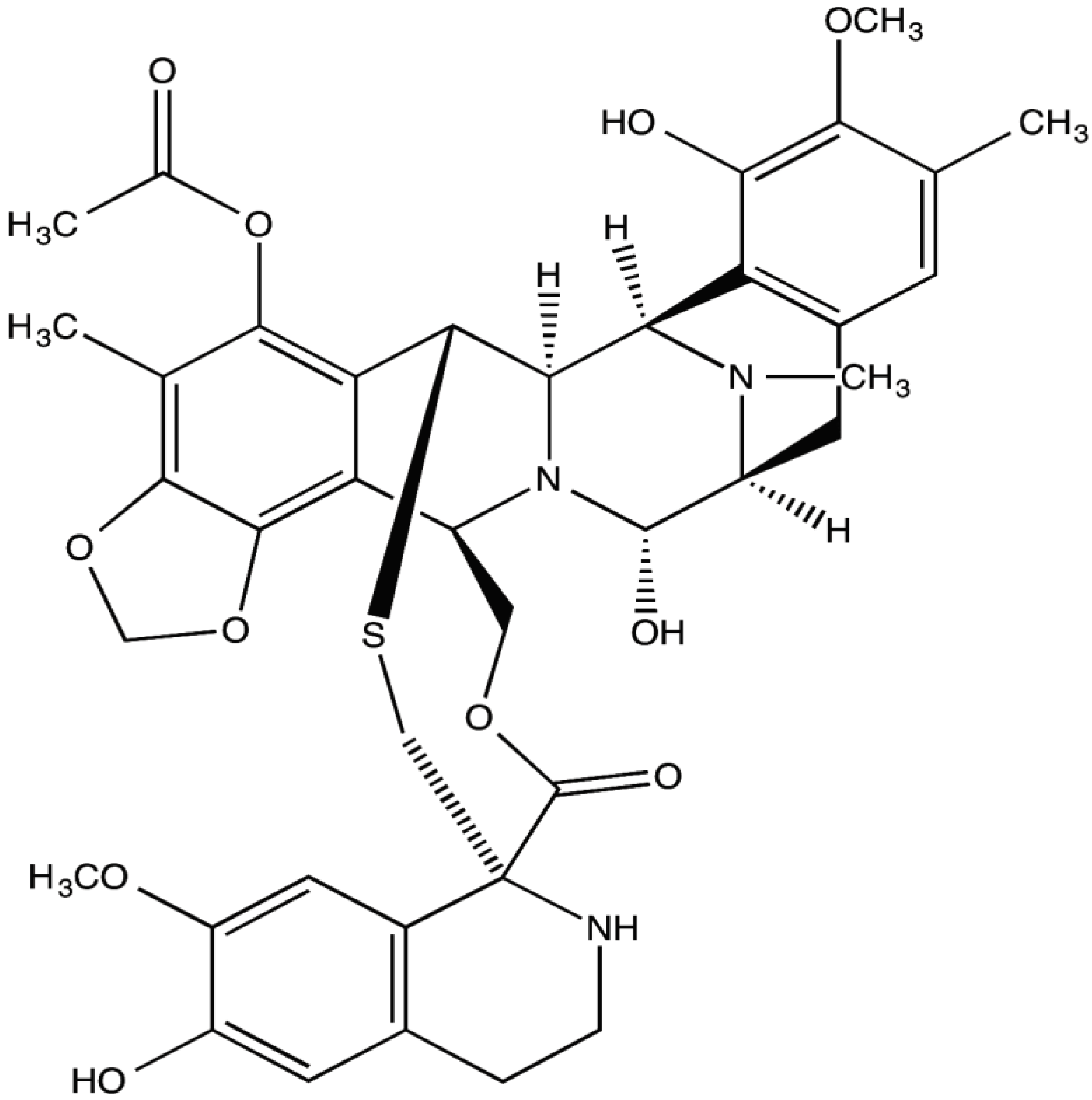
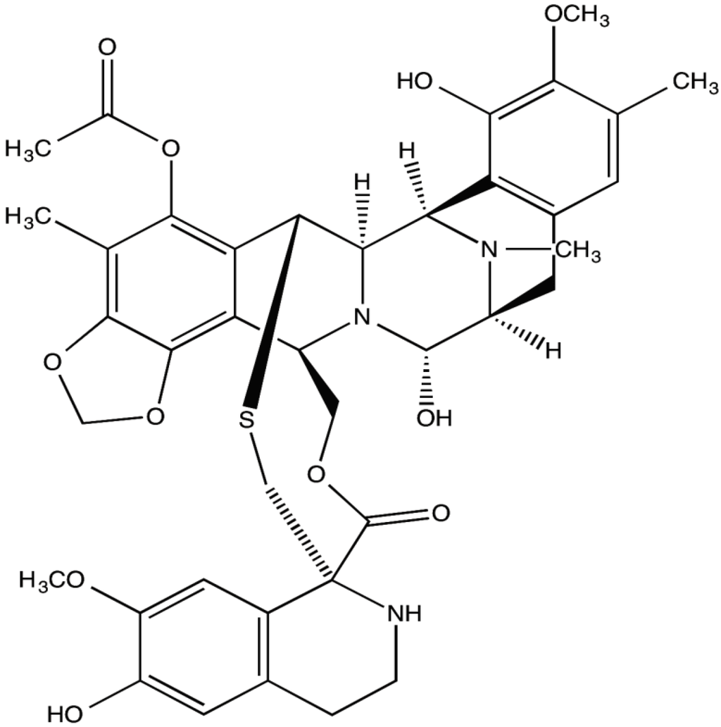
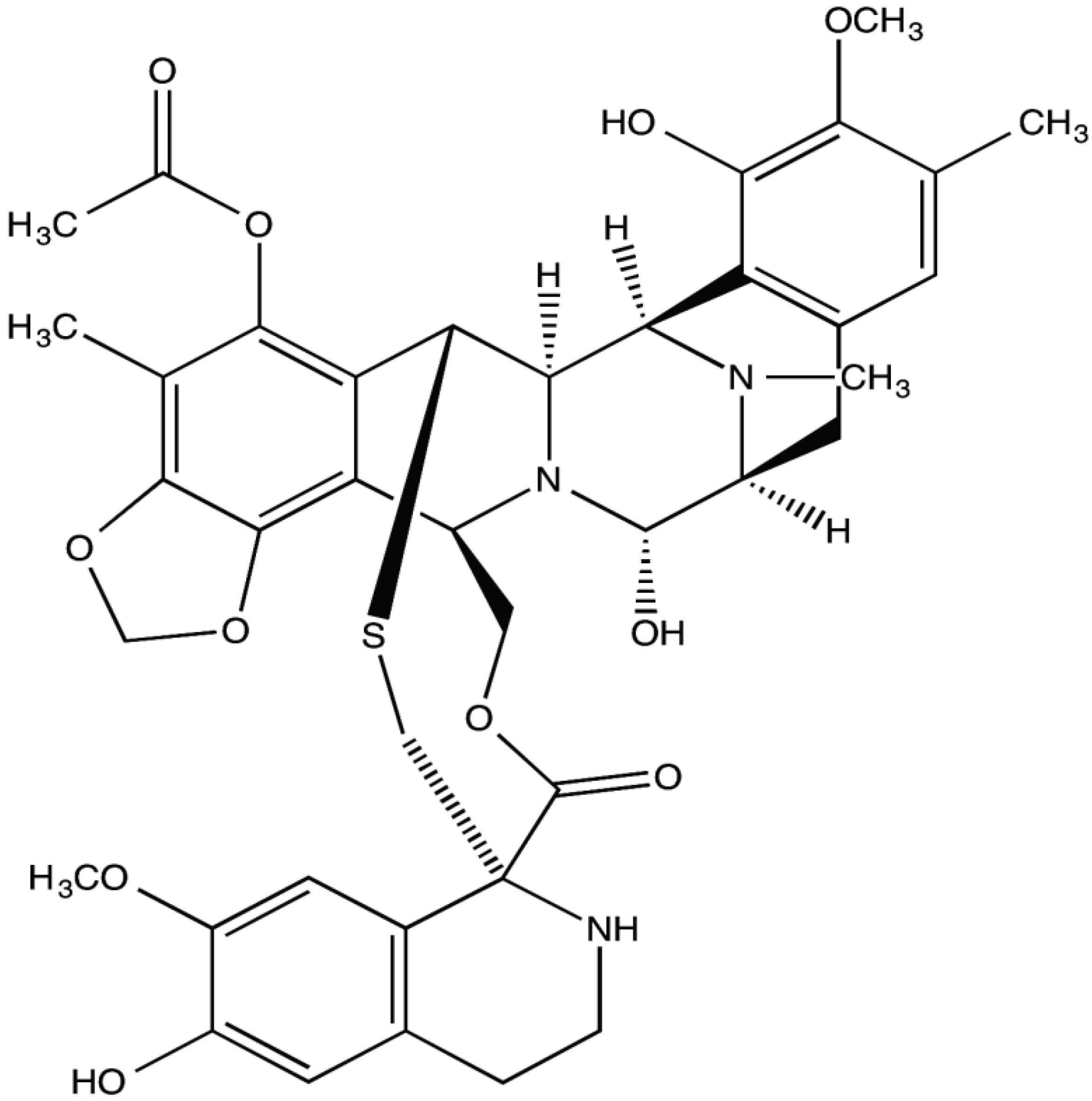
2. Mechanism of Action

3. Phase I Trials
4. Phase II Trials
5. Phase III Trials
6. Retrospective Studies
7. Conclusions
Acknowledgments
Author Contributions
Conflicts of Interest
References
- Van der Graaf, W.T.A.; Blay, J.-Y.; Chawla, S.P.; Kim, D.-W.; Bui-Nguyen, B.; Casali, P.G.; Schöffski, P.; Aglietta, M.; Staddon, A.P.; Beppu, Y.; et al. Pazopanib for metastatic soft-tissue sarcoma (palette): A randomised, double-blind, placebo-controlled phase 3 trial. Lancet 2012, 379, 1879–1886. [Google Scholar]
- Cuevas, C.; Francesch, A. Development of yondelis[registered sign] (trabectedin, et-743). A semisynthetic process solves the supply problem. Nat. Prod. Rep. 2009, 26, 322–337. [Google Scholar] [CrossRef] [PubMed]
- D’Incalci, M.; Galmarini, C.M. A review of trabectedin (et-743): A unique mechanism of action. Mol. Cancer Ther. 2010, 9, 2157–2163. [Google Scholar] [CrossRef] [PubMed]
- Guirouilh-Barbat, J.; Redon, C.; Pommier, Y. Transcription-coupled DNA double-strand breaks are mediated via the nucleotide excision repair and the mre11-rad50-nbs1 complex. Mol. Biol. Cell 2008, 19, 3969–3981. [Google Scholar] [CrossRef] [PubMed]
- Soares, D.G.; Escargueil, A.E.; Poindessous, V.; Sarasin, A.; de Gramont, A.; Bonatto, D.; Henriques, J.A.P.; Larsen, A.K. Replication and homologous recombination repair regulate DNA double-strand break formation by the antitumor alkylator ecteinascidin 743. Proc. Natl. Acad. Sci. USA 2007, 104, 13062–13067. [Google Scholar] [CrossRef] [PubMed]
- Tavecchio, M.; Simone, M.; Erba, E.; Chiolo, I.; Liberi, G.; Foiani, M.; D’Incalci, M.; Damia, G. Role of homologous recombination in trabectedin-induced DNA damage. Eur. J. Cancer 2008, 44, 609–618. [Google Scholar] [CrossRef] [PubMed]
- Martínez-Serra, J.; Maffiotte, E.; Martín, J.; Bex, T.; Navarro-Palou, M.; Ros, T.; Plazas, J.M.; Vögler, O.; Gutiérrez, A.; Amat, J.C.; et al. Yondelis® (et-743, trabectedin) sensitizes cancer cell lines to cd95-mediated cell death: New molecular insight into the mechanism of action. Eur. J. Pharmacol. 2011, 658, 57–64. [Google Scholar] [CrossRef] [PubMed]
- Allavena, P.; Signorelli, M.; Chieppa, M.; Erba, E.; Bianchi, G.; Marchesi, F.; Olimpio, C.O.; Bonardi, C.; Garbi, A.; Lissoni, A.; et al. Anti-inflammatory properties of the novel antitumor agent yondelis (trabectedin): Inhibition of macrophage differentiation and cytokine production. Cancer Res. 2005, 65, 2964–2971. [Google Scholar] [CrossRef] [PubMed]
- Germano, G.; Frapolli, R.; Belgiovine, C.; Anselmo, A.; Pesce, S.; Liguori, M.; Erba, E.; Uboldi, S.; Zucchetti, M.; Pasqualini, F.; et al. Role of macrophage targeting in the antitumor activity of trabectedin. Cancer Cell 2013, 23, 249–262. [Google Scholar] [CrossRef] [PubMed]
- Galmarini, C.M.; Incalci, M.; Allavena, P. Trabectedin and plitidepsin: Drugs from the sea that strike the tumor microenvironment. Mar. Drugs 2014, 12, 719–733. [Google Scholar] [CrossRef] [PubMed]
- D'Incalci, M.; Badri, N.; Galmarini, C.M.; Allavena, P. Trabectedin, a drug acting on both cancer cells and the tumour microenvironment. Br. J. Cancer 2014, 111, 646–650. [Google Scholar] [CrossRef] [PubMed]
- Bonfanti, M.; la Valle, E.; Fernandez Sousa Faro, J.M.; Faircloth, G.; Caretti, G.; Mantovani, R.; D'Incalci, M. Effect of ecteinascidin-743 on the interaction between DNA binding proteins and DNA. Anti-Cancer Drug Des. 1999, 14, 179–186. [Google Scholar]
- Erba, E.; Bergamaschi, D.; Bassano, L.; Damia, G.; Ronzoni, S.; Faircloth, G.T.; D’Incalci, M. Ecteinascidin-743 (et-743), a natural marine compound, with a unique mechanism of action. Eur. J. Cancer 2001, 37, 97–105. [Google Scholar] [CrossRef] [PubMed]
- Di Giandomenico, S.; Frapolli, R.; Bello, E.; Uboldi, S.; Licandro, S.A.; Marchini, S.; Beltrame, L.; Brich, S.; Mauro, V.; Tamborini, E.; et al. Mode of action of trabectedin in myxoid liposarcomas. Oncogene 2014, 33, 5201–5210. [Google Scholar] [CrossRef] [PubMed]
- Charytonowicz, E.; Terry, M.; Coakley, K.; Telis, L.; Remotti, F.; Cordon-Cardo, C.; Taub, R.N.; Matushansky, I. Pparγ agonists enhance et-743-induced adipogenic differentiation in a transgenic mouse model of myxoid round cell liposarcoma. J. Clin. Investig. 2012, 122, 886–898. [Google Scholar] [CrossRef] [PubMed]
- Forni, C.; Minuzzo, M.; Virdis, E.; Tamborini, E.; Simone, M.; Tavecchio, M.; Erba, E.; Grosso, F.; Gronchi, A.; Aman, P.; et al. Trabectedin (et-743) promotes differentiation in myxoid liposarcoma tumors. Mol. Cancer Ther. 2009, 8, 449–457. [Google Scholar] [CrossRef] [PubMed]
- Dossi, R.; Frapolli, R.; Di Giandomenico, S.; Paracchini, L.; Bozzi, F.; Brich, S.; Castiglioni, V.; Borsotti, P.; Belotti, D.; Uboldi, S.; et al. Antiangiogenic activity of trabectedin in myxoid liposarcoma: Involvement of host timp-1 and timp-2 and tumor thrombospondin-1. Int. J. Cancer 2015, 136, 721–729. [Google Scholar] [PubMed]
- Uboldi, S.; Calura, E.; Beltrame, L.; Fuso Nerini, I.; Marchini, S.; Cavalieri, D.; Erba, E.; Chiorino, G.; Ostano, P.; D’Angelo, D.; et al. A systems biology approach to characterize the regulatory networks leading to trabectedin resistance in an in vitro model of myxoid liposarcoma. PLoS One 2012, 7, e35423. [Google Scholar] [CrossRef] [PubMed][Green Version]
- Forouzesh, B.; Hidalgo, M.; Chu, Q.; Mita, A.; Mita, M.; Schwartz, G.; Jimeno, J.; Gómez, J.; Alfaro, V.; Lebedinsky, C.; et al. Phase I and pharmacokinetic study of trabectedin as a 1- or 3-h infusion weekly in patients with advanced solid malignancies. Clin. Cancer Res. 2009, 15, 3591–3599. [Google Scholar] [CrossRef] [PubMed]
- Puchalski, T.; Ryan, D.; Garcia-Carbonero, R.; Demetri, G.; Butkiewicz, L.; Harmon, D.; Seiden, M.; Maki, R.; Lopez-Lazaro, L.; Jimeno, J.; et al. Pharmacokinetics of ecteinascidin 743 administered as a 24-h continuous intravenous infusion to adult patients with soft tissue sarcomas: Associations with clinical characteristics, pathophysiological variables and toxicity. Cancer Chemother. Pharmacol. 2002, 50, 309–319. [Google Scholar] [CrossRef] [PubMed]
- Ryan, D.P.; Supko, J.G.; Eder, J.P.; Seiden, M.V.; Demetri, G.; Lynch, T.J.; Fischman, A.J.; Davis, J.; Jimeno, J.; Clark, J.W. Phase I and pharmacokinetic study of ecteinascidin 743 administered as a 72-h continuous intravenous infusion in patients with solid malignancies. Clin. Cancer Res. 2001, 7, 231–242. [Google Scholar] [PubMed]
- Taamma, A.; Misset, J.L.; Riofrio, M.; Guzman, C.; Brain, E.; Lopez Lazaro, L.; Rosing, H.; Jimeno, J.M.; Cvitkovic, E. Phase I and pharmacokinetic study of ecteinascidin-743, a new marine compound, administered as a 24-h continuous infusion in patients with solid tumors. J. Clin. Oncol. 2001, 19, 1256–1265. [Google Scholar] [PubMed]
- Twelves, C.; Hoekman, K.; Bowman, A.; Vermorken, J.B.; Anthoney, A.; Smyth, J.; van Kesteren, C.; Beijnen, J.H.; Uiters, J.; Wanders, J.; et al. Phase I and pharmacokinetic study of yondelis™ (ecteinascidin-743; et-743) administered as an infusion over 1 h or 3 h every 21 days in patients with solid tumours. Eur. J. Cancer 2003, 39, 1842–1851. [Google Scholar] [CrossRef] [PubMed]
- Van Kesteren, C.; Cvitkovic, E.; Taamma, A.; López-Lázaro, L.; Jimeno, J.M.; Guzman, C.; Mathôt, R.A.A.; Schellens, J.H.M.; Misset, J.-L.; Brain, E.; et al. Pharmacokinetics and pharmacodynamics of the novel marine-derived anticancer agent ecteinascidin 743 in a phase I dose-finding study. Clin. Cancer Res. 2000, 6, 4725–4732. [Google Scholar] [PubMed]
- Villalona-Calero, M.A.; Eckhardt, S.G.; Weiss, G.; Hidalgo, M.; Beijnen, J.H.; van Kesteren, C.; Rosing, H.; Campbell, E.; Kraynak, M.; Lopez-Lazaro, L.; et al. A phase I and pharmacokinetic study of ecteinascidin-743 on a daily × 5 schedule in patients with solid malignancies. Clin. Cancer Res. 2002, 8, 75–85. [Google Scholar] [PubMed]
- Schöffski, P.; Dumez, H.; Wolter, P.; Stefan, C.; Wozniak, A.; Jimeno, J.; van Oosterom, A.T. Clinical impact of trabectedin (ecteinascidin-743) in advanced/metastatic soft tissue sarcoma. Expert Opin. Pharmacother. 2008, 9, 1609–1618. [Google Scholar] [CrossRef] [PubMed]
- Blay, J.-Y.; von Mehren, M.; Samuels, B.L.; Fanucchi, M.P.; Ray-Coquard, I.; Buckley, B.; Gilles, L.; Lebedinsky, C.; Elsayed, Y.A.; le Cesne, A. Phase I combination study of trabectedin and doxorubicin in patients with soft-tissue sarcoma. Clin. Cancer Res. 2008, 14, 6656–6662. [Google Scholar] [CrossRef] [PubMed]
- Messersmith, W.; Jimeno, A.; Ettinger, D.; Laheru, D.; Brahmer, J.; Lansey, D.; Khan, Y.; Donehower, R.; Elsayed, Y.; Zannikos, P.; et al. Phase I trial of weekly trabectedin (et-743) and gemcitabine in patients with advanced solid tumors. Cancer Chemother. Pharmacol. 2008, 63, 181–188. [Google Scholar] [CrossRef] [PubMed]
- Sessa, C.; Cresta, S.; Noberasco, C.; Capri, G.; Gallerani, E.; Braud, F.D.; Zucchetti, M.; D’Incalci, M.; Locatelli, A.; Marsoni, S.; et al. Phase I clinical and pharmacokinetic study of trabectedin and cisplatin in solid tumours. Eur. J. Cancer 2009, 45, 2116–2122. [Google Scholar] [CrossRef] [PubMed]
- Sessa, C.; del Conte, G.; Christinat, A.; Cresta, S.; Perotti, A.; Gallerani, E.; Lardelli, P.; Kahatt, C.; Alfaro, V.; Iglesias, J.; et al. Phase I clinical and pharmacokinetic study of trabectedin and cisplatin given every three weeks in patients with advanced solid tumors. Investig. New Drugs 2013, 31, 1236–1243. [Google Scholar] [CrossRef]
- Sessa, C.; Perotti, A.; Noberasco, C.; De Braud, F.; Gallerani, E.; Cresta, S.; Zucchetti, M.; Viganò, L.; Locatelli, A.; Jimeno, J.; et al. Phase I clinical and pharmacokinetic study of trabectedin and doxorubicin in advanced soft tissue sarcoma and breast cancer. Eur. J. Cancer 2009, 45, 1153–1161. [Google Scholar] [CrossRef] [PubMed]
- Von Mehren, M.; Schilder, R.J.; Cheng, J.D.; Temmer, E.; Cardoso, T.M.; Renshaw, F.G.; Bayever, E.; Zannikos, P.; Yuan, Z.; Cohen, R.B. A phase I study of the safety and pharmacokinetics of trabectedin in combination with pegylated liposomal doxorubicin in patients with advanced malignancies. Ann. Oncol. 2008, 19, 1802–1809. [Google Scholar] [CrossRef] [PubMed]
- Yovine, A.; Riofrio, M.; Blay, J.Y.; Brain, E.; Alexandre, J.; Kahatt, C.; Taamma, A.; Jimeno, J.; Martin, C.; Salhi, Y.; et al. Phase II study of ecteinascidin-743 in advanced pretreated soft tissue sarcoma patients. J. Clin. Oncol. 2004, 22, 890–899. [Google Scholar] [CrossRef] [PubMed]
- Garcia-Carbonero, R.; Supko, J.G.; Manola, J.; Seiden, M.V.; Harmon, D.; Ryan, D.P.; Quigley, M.T.; Merriam, P.; Canniff, J.; Goss, G.; et al. Phase II and pharmacokinetic study of ecteinascidin 743 in patients with progressive sarcomas of soft tissues refractory to chemotherapy. J. Clin. Oncol. 2004, 22, 1480–1490. [Google Scholar] [CrossRef] [PubMed]
- Le Cesne, A.; Yovine, A.; Blay, J.-Y.; Delaloge, S.; Maki, R.; Misset, J.-L.; Frontelo, P.; Nieto, A.; Jiao, J.; Demetri, G. A retrospective pooled analysis of trabectedin safety in 1132 patients with solid tumors treated in phase ii clinical trials. Investig. New Drugs 2012, 30, 1193–1202. [Google Scholar] [CrossRef]
- Le Cesne, A.; Blay, J.Y.; Judson, I.; Van Oosterom, A.; Verweij, J.; Radford, J.; Lorigan, P.; Rodenhuis, S.; Ray-Coquard, I.; Bonvalot, S.; et al. Phase ii study of et-743 in advanced soft tissue sarcomas: A european organisation for the research and treatment of cancer (eortc) soft tissue and bone sarcoma group trial. J. Clin. Oncol. 2005, 23, 576–584. [Google Scholar] [CrossRef] [PubMed]
- Garcia-Carbonero, R.; Supko, J.G.; Maki, R.G.; Manola, J.; Ryan, D.P.; Harmon, D.; Puchalski, T.A.; Goss, G.; Seiden, M.V.; Waxman, A.; et al. Ecteinascidin-743 (et-743) for chemotherapy-naive patients with advanced soft tissue sarcomas: Multicenter phase II and pharmacokinetic study. J. Clin. Oncol. 2005, 23, 5484–5492. [Google Scholar] [CrossRef] [PubMed]
- Demetri, G.D.; Chawla, S.P.; von Mehren, M.; Ritch, P.; Baker, L.H.; Blay, J.Y.; Hande, K.R.; Keohan, M.L.; Samuels, B.L.; Schuetze, S.; et al. Efficacy and safety of trabectedin in patients with advanced or metastatic liposarcoma or leiomyosarcoma after failure of prior anthracyclines and ifosfamide: Results of a randomized phase ii study of two different schedules. J. Clin. Oncol. 2009, 27, 4188–4196. [Google Scholar] [CrossRef] [PubMed]
- Gronchi, A.; Bui, B.N.; Bonvalot, S.; Pilotti, S.; Ferrari, S.; Hohenberger, P.; Hohl, R.J.; Demetri, G.D.; le Cesne, A.; Lardelli, P.; et al. Phase II clinical trial of neoadjuvant trabectedin in patients with advanced localized myxoid liposarcoma. Ann. Oncol. 2012, 23, 771–776. [Google Scholar] [CrossRef] [PubMed]
- Samuels, B.L.; Chawla, S.; Patel, S.; von Mehren, M.; Hamm, J.; Kaiser, P.E.; Schuetze, S.; Li, J.; Aymes, A.; Demetri, G.D. Clinical outcomes and safety with trabectedin therapy in patients with advanced soft tissue sarcomas following failure of prior chemotherapy: Results of a worldwide expanded access program study. Ann. Oncol. 2013, 24, 1703–1709. [Google Scholar] [CrossRef] [PubMed]
- Blay, J.-Y.; Leahy, M.G.; Nguyen, B.B.; Patel, S.R.; Hohenberger, P.; Santoro, A.; Staddon, A.P.; Penel, N.; Piperno-Neumann, S.; Hendifar, A.; et al. Randomised phase III trial of trabectedin versus doxorubicin-based chemotherapy as first-line therapy in translocation-related sarcomas. Eur. J. Cancer 2014, 50, 1137–1147. [Google Scholar] [CrossRef] [PubMed]
- Grosso, F.; Jones, R.L.; Demetri, G.D.; Judson, I.R.; Blay, J.-Y.; le Cesne, A.; Sanfilippo, R.; Casieri, P.; Collini, P.; Dileo, P.; et al. Efficacy of trabectedin (ecteinascidin-743) in advanced pretreated myxoid liposarcomas: A retrospective study. Lancet Oncol. 2007, 8, 595–602. [Google Scholar] [CrossRef] [PubMed]
- Cesne, A.L.; Cresta, S.; Maki, R.G.; Blay, J.Y.; Verweij, J.; Poveda, A.; Casali, P.G.; Balaña, C.; Schöffski, P.; Grosso, F.; et al. A retrospective analysis of antitumour activity with trabectedin in translocation-related sarcomas. Eur. J. Cancer 2012, 48, 3036–3044. [Google Scholar] [CrossRef] [PubMed]
- Sanfilippo, R.; Grosso, F.; Jones, R.L.; Banerjee, S.; Pilotti, S.; D’Incalci, M.; Tos, A.P.D.; Raspagliesi, F.; Judson, I.; Casali, P.G. Trabectedin in advanced uterine leiomyosarcomas: A retrospective case series analysis from two reference centers. Gynecol. Oncol. 2011, 123, 553–556. [Google Scholar] [CrossRef] [PubMed]
- Monk, B.J.; Blessing, J.A.; Street, D.G.; Muller, C.Y.; Burke, J.J.; Hensley, M.L. A phase II evaluation of trabectedin in the treatment of advanced, persistent, or recurrent uterine leiomyosarcoma: A gynecologic oncology group study. Gynecol. Oncol. 2012, 124, 48–52. [Google Scholar] [CrossRef] [PubMed]
- Cesne, A.L.; Judson, I.; Maki, R.; Grosso, F.; Schuetze, S.; Mehren, M.V.; Chawla, S.P.; Demetri, G.D.; Nieto, A.; Tanovic, A.; et al. Trabectedin is a feasible treatment for soft tissue sarcoma patients regardless of patient age: A retrospective pooled analysis of five phase ii trials. Br. J. Cancer 2013, 109, 1717–1724. [Google Scholar] [CrossRef] [PubMed]
© 2015 by the authors; licensee MDPI, Basel, Switzerland. This article is an open access article distributed under the terms and conditions of the Creative Commons Attribution license (http://creativecommons.org/licenses/by/4.0/).
Share and Cite
Petek, B.J.; Loggers, E.T.; Pollack, S.M.; Jones, R.L. Trabectedin in Soft Tissue Sarcomas. Mar. Drugs 2015, 13, 974-983. https://doi.org/10.3390/md13020974
Petek BJ, Loggers ET, Pollack SM, Jones RL. Trabectedin in Soft Tissue Sarcomas. Marine Drugs. 2015; 13(2):974-983. https://doi.org/10.3390/md13020974
Chicago/Turabian StylePetek, Bradley J., Elizabeth T. Loggers, Seth M. Pollack, and Robin L. Jones. 2015. "Trabectedin in Soft Tissue Sarcomas" Marine Drugs 13, no. 2: 974-983. https://doi.org/10.3390/md13020974
APA StylePetek, B. J., Loggers, E. T., Pollack, S. M., & Jones, R. L. (2015). Trabectedin in Soft Tissue Sarcomas. Marine Drugs, 13(2), 974-983. https://doi.org/10.3390/md13020974
