Anti-Inflammatory Activities of Natural Products Isolated from Soft Corals of Taiwan between 2008 and 2012
Abstract
:1. Introduction
2. Results and Discussion
2.1. Sesquiterpenoids
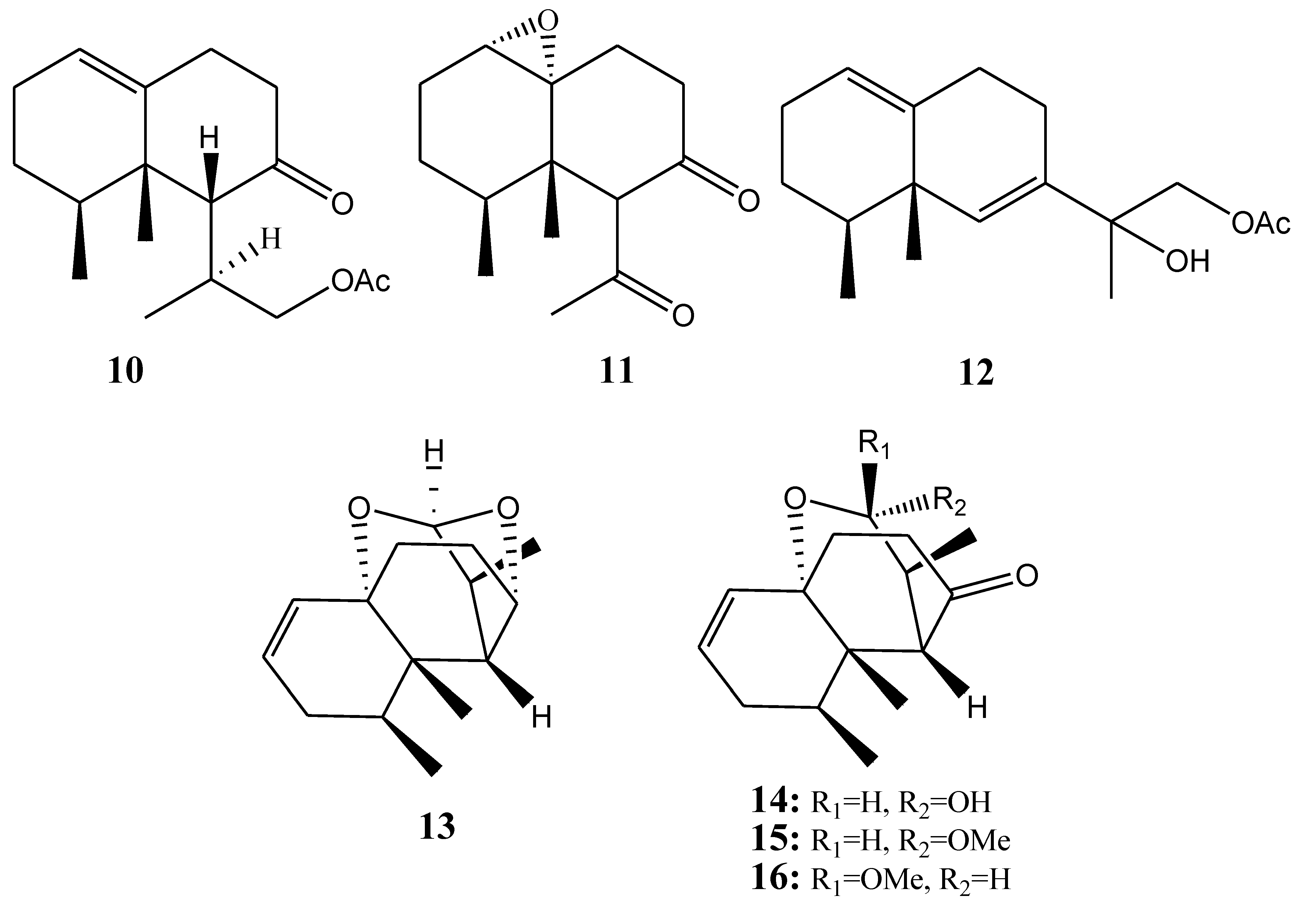
2.1.1. Triquinane-Type Sesquiterpenoids
| No. | Name | Sources | Activities * | Reference |
|---|---|---|---|---|
| 1 | Δ9(12)-Capnellene-8β,10α-diol | Capnella imbricata | I,C | [14] |
| 2 | 8α-Acetoxy-Δ9(12)-capnellene-10α-ol | Capnella imbricata | I,C | [14] |
| 3 | Δ9(12)-Capnellene-10α-ol-8-one | Capnella imbricata | I | [14] |
| 4 | Δ9(12)-Capnellene-8β,15-diol | Capnella imbricata | [14] | |
| 5 | Δ9(12)-Capnellene-8β,10α,13-triol | Capnella imbricata | [14] | |
| 6 | 8β,10α-Diacetoxy-Δ9(12)-capnellene | Capnella imbricata | [14] | |
| 7 | 8β-Acetoxy-Δ9(12)-capnellene | Capnella imbricata | [14] | |
| 8 | Δ9(12)-Capnellene-8β-ol | Capnella imbricata | [14] | |
| 9 | Δ9(12)-Capnellene-12-ol-8-one | Capnella imbricata | I,C | [14] |

2.1.2. Nardosinane-Type Sesquiterpenoids
| No. | Name | Sources | Activities * | Reference |
|---|---|---|---|---|
| 10 | Paralemnolin J | Paralemnalia thyrsoides | [15] | |
| 11 | Paralemnolin K | Paralemnalia thyrsoides | [15] | |
| 12 | Paralemnolin L | Paralemnalia thyrsoides | [15] | |
| 13 | Flavalin A | Lemnalia flava | I,C | [16] |
| 14 | Flavalin B | Lemnalia flava | [16] | |
| 15 | Flavalin C | Lemnalia flava | [16] | |
| 16 | Flavalin D | Lemnalia flava | [16] |

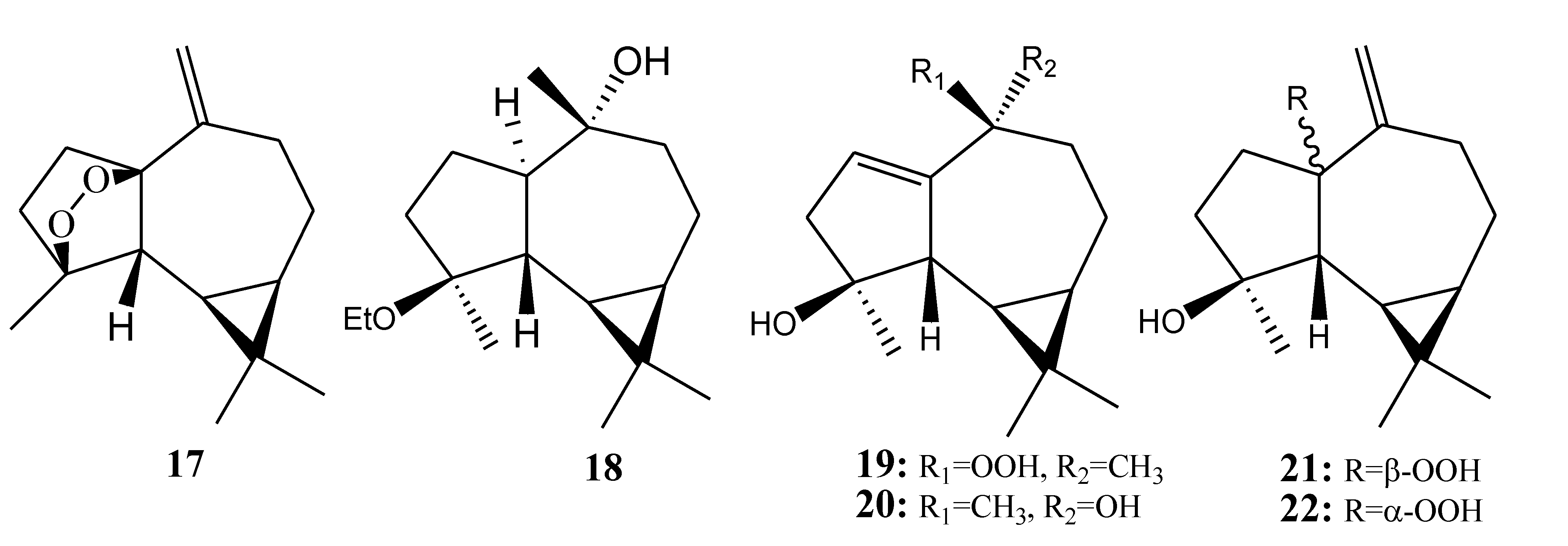
2.1.3. Aromadendrane-Type Sesquiterpenoids
| No. | Name | Sources | Activities * | Reference |
|---|---|---|---|---|
| 17 | Lochmolin A | Sinularia lochmodes | C | [17] |
| 18 | Lochmolin B | Sinularia lochmodes | C | [17] |
| 19 | Lochmolin C | Sinularia lochmodes | [17] | |
| 20 | Lochmolin D | Sinularia lochmodes | [17] | |
| 21 | Lochmolin E | Sinularia lochmodes | C | [17] |
| 22 | Lochmolin F | Sinularia lochmodes | C | [17] |

2.1.4. Selinane- and Oppositane-Type Sesquiterpenoids
| No. | Name | Sources | Activities * | Reference |
|---|---|---|---|---|
| 23 | 1β-Hydroxy-6α-acetoxyeudesm-4(15)-ene | Sinularia leptoclados | [18] | |
| 24 | 1β,6α-Dihydroxyeudesm-4(15)-ene | Sinularia leptoclados | I | [18] |
| 25 | Leptocladolin A | Sinularia leptoclados | [18] | |
| 26 | Leptocladolin B | Sinularia leptoclados | [18] |

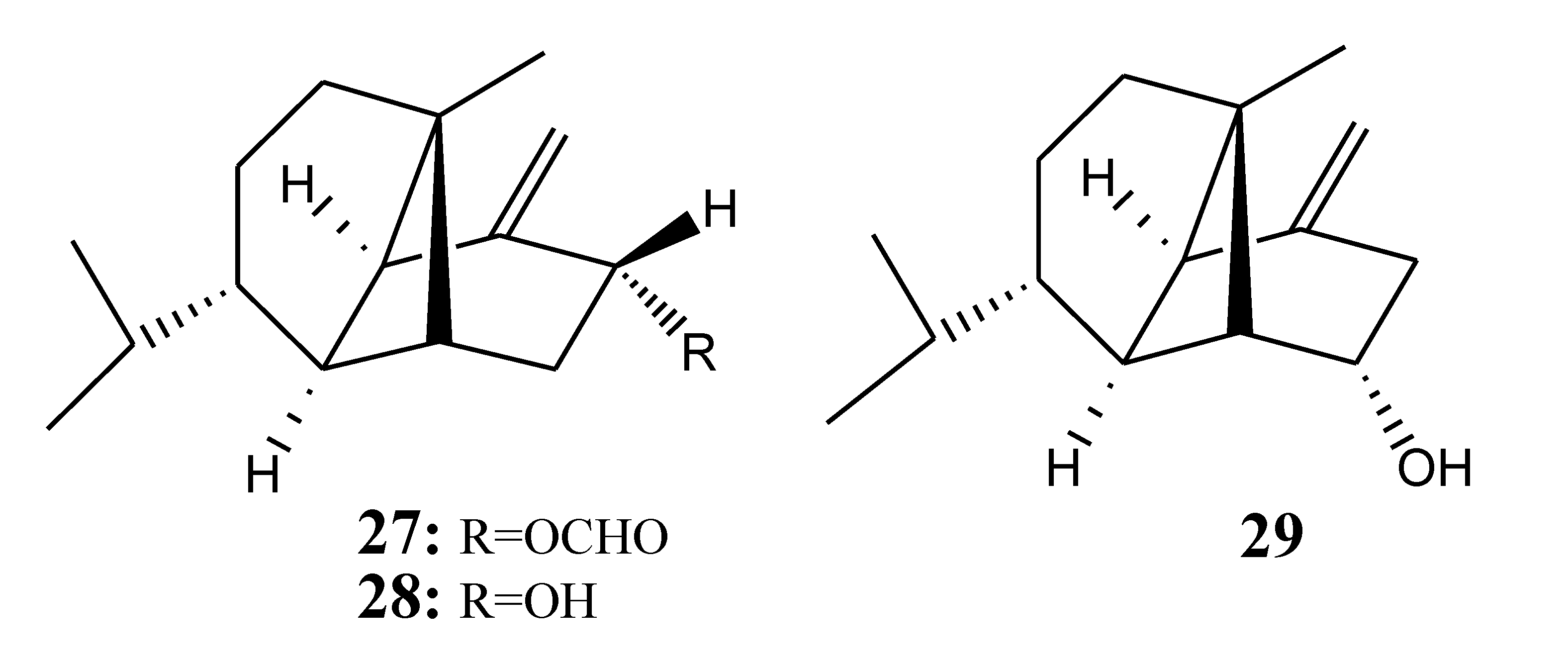
2.1.5. Ylangene-Type Sesquiterpenoids
| No. | Name | Sources | Activities * | Reference |
|---|---|---|---|---|
| 27 | (1S,2S,4R,6S,7R,8S)-4α-Formyloxy-β-ylangene | Lemnalia flava | I,C | [16] |
| 28 | Lemnalol | Lemnalia flava | [16] | |
| 29 | Isolemnalol | Lemnalia flava | [16] |

2.1.6. Germacrane-Type Sesquiterpenoids
| No. | Name | Sources | Activities * | Reference |
|---|---|---|---|---|
| 30 | Lochmolin G | Sinularia lochmodes | [17] | |
| 31 | Menelloide D | Menella sp. | E | [19] |
| 32 | Menelloide E | Menella sp. | [20] |

2.1.7. Other-Type Sesquiterpenoids
| No. | Name | Sources | Activities * | Reference |
|---|---|---|---|---|
| 33 | Erectathiol | Nephthea erecta | I | [21] |
| 34 | Scabralin A | Sinularia scabra | I | [22] |
| 35 | Leptocladol A | Sinularia leptoclados | [23] | |
| 36 | Paralemnolin D | Paralemnalia thyrsoides | [15] | |
| 37 | 1- epi-Chabrolidione A | Sinularia leptoclados | [23] | |
| 38 | (–)-Hydroxylindestrenolide | Menella sp. | S | [24] |

2.2. Diterpenoids
2.2.1. Cembrane-Based Diterpenoids
| Name | Sources | Activities * | Reference | |
|---|---|---|---|---|
| 39 | Gibberosene B | Sinularia gibberosa | I,C | [27] |
| 40 | (+)-11,12-Epoxysarcophytol A | Sinularia gibberosa | [27] | |
| 41 | Grandilobatin B | Sinularia grandilobata | [28] | |
| 42 | Grandilobatin D | Sinularia grandilobata | I | [28] |
| 43 | Durumolide A | Lobophytum durum | I,C | [29] |
| 44 | 13S-Hydroxylobolide | Lobophytum durum | I,C | [29] |
| 45 | 13R-Hydroxylobolide | Lobophytum durum | I | [29] |
| 46 | Deacetyl-13-hydroxylobolide | Lobophytum durum | I,C | [27] |
| 47 | (7E,11E)-13,18-Dihydroxy-3,4-epoxy-7,11,15(17)-cembratrien-16,14-olide | Lobophytum durum | I,C | [27] |
| 48 | Durumolide B | Lobophytum durum | I | [28] |
| 49 | (3E,7E,11E)-18-Acetoxy-3,7,11,15(17)-cembratetraen-16,14-olide | Lobophytum durum | I,C | [28] |
| 50 | Durumolide C | Lobophytum durum | I,C | [29] |
| 51 | Durumolide D | Lobophytum durum | I | [29] |
| 52 | Durumolide E | Lobophytum durum | I | [29] |
| 53 | Granosolide C | Sinularia granosa | [30] | |
| 54 | Querciformolide E | Sinularia querciformis | I | [30] |
| 55 | Granosolide D | Sinularia granosa | I | [30] |
| 56 | Flexibilisolide A | Sinularia granosa | I | [30] |
| 57 | Flexilarin | Sinularia granosa | I | [30] |
| 58 | Sinulariolide | Sinularia granosa | I | [30] |
| 59 | Sinulaflexiolide E | Sinularia granosa | [30] | |
| 60 | Crassumolide A | Lobophytum crassum | I,C | [31] |
| 61 | Crassumolide B | Lobophytum crassum | I | [31] |
| 62 | Crassumolide C | Lobophytum crassum | I,C | [31] |
| 63 | Crassumolide F | Lobophytum crassum | I | [31] |
| 64 | Lobohedleolide | Lobophytum crassum | I,C | [31] |
| 65 | 17-Dimethylaminolobohedleolide | Lobophytum crassum | I | [31] |
| 66 | Sinulariol A | Lobophytum crassum | I,C | [31] |
| 67 | Dentivulatolide | Lobophytum crassum | I,C | [31] |
| 68 | Durumhemiketalolide A | Lobophytum durum | I,C | [32] |
| 69 | Durumhemiketalolide B | Lobophytum durum | I | [32] |
| 70 | Durumhemiketalolide C | Lobophytum durum | I,C | [32] |
| 71 | Durumolide F | Lobophytum durum | I,C | [33] |
| 72 | Durumolide G | Lobophytum durum | I | [33] |
| 73 | Durumolide H | Lobophytum durum | I | [33] |
| 74 | Durumolide I | Lobophytum durum | I | [33] |
| 75 | Durumolide J | Lobophytum durum | I | [33] |
| 76 | Sinularolide D | Lobophytum durum | I | [33] |
| 77 | Durumolide K | Lobophytum durum | I,C | [33] |
| 78 | Durumolide L | Lobophytum durum | I | [33] |
| 79 | Sarcocrassocolide A | Sarcophyton crassocaule | I | [34] |
| 80 | Sarcocrassocolide C | Sarcophyton crassocaule | I | [34] |
| 81 | Sarcocrassocolide B | Sarcophyton crassocaule | I | [34] |
| 82 | Sarcocrassocolide D | Sarcophyton crassocaule | I | [34] |
| 83 | Sarcocrassocolide E | Sarcophyton crassocaule | I | [34] |
| 84 | Sarcocrassolide | Sarcophyton crassocaule | I,C | [34] |
| 85 | Sinularolide | Sarcophyton crassocaule | I | [34] |
| 86 | 13-Acetoxysarcocrassolide | Sarcophyton crassocaule | I | [34] |
| 87 | Thioflexibilolide A | Sinularia flexibilis | I,C | [35] |
| 88 | Triangulene A | Sinularia triangular | [36] | |
| 89 | Triangulene B | Sinularia triangular | [36] | |
| 90 | Sinularin | Sinularia triangular | I | [36] |
| 91 | Dihydrosinularin | Sinularia triangular | I,C | [36] |
| 92 | (−)14-Deoxycrassin | Sinularia triangular | I,C | [36] |
| 93 | Sarcocrassocolide F | Sarcophyton crassocaule | I | [37] |
| 94 | Sarcocrassocolide G | Sarcophyton crassocaule | I | [37] |
| 95 | Sarcocrassocolide H | Sarcophyton crassocaule | I | [37] |
| 96 | Sarcocrassocolide I | Sarcophyton crassocaule | I,C | [37] |
| 97 | Sarcocrassocolide J | Sarcophyton crassocaule | I | [37] |
| 98 | Sarcocrassocolide K | Sarcophyton crassocaule | I | [37] |
| 99 | Sarcocrassocolide L | Sarcophyton crassocaule | I | [37] |
| 100 | Sarcophytolin A | Lobophytum sarcophytoides | I | [38] |
| 101 | Sarcophytolin B | Lobophytum sarcophytoides | I | [38] |
| 102 | Sarcophytolin C | Lobophytum sarcophytoides | [38] | |
| 103 | Sarcophytolin D | Lobophytum sarcophytoides | I | [38] |
| 104 | 11-Dehydrosinulariolide | Sinularia discrepans | I,C | [39] |
| 105 | 11-epi-Sinulariolide acetate | Sinularia discrepans | I,C | [39] |
| 106 | Crassumolide G | Lobophytum crassum | I | [40] |
| 107 | Crassumolide H | Lobophytum crassum | I | [40] |
| 108 | Crassumolide I | Lobophytum crassum | I | [40] |
| 109 | Crassarine A | Sinularia crassa | [41] | |
| 110 | Crassarine B | Sinularia crassa | [41] | |
| 111 | Crassarine C | Sinularia crassa | [41] | |
| 112 | Crassarine D | Sinularia crassa | [41] | |
| 113 | Crassarine E | Sinularia crassa | [41] | |
| 114 | Crassarine F | Sinularia crassa | C | [41] |
| 115 | Crassarine G | Sinularia crassa | [41] | |
| 116 | Crassarine H | Sinularia crassa | I | [41] |
| 117 | Sarcocrassocolide M | Sarcophyton crassocaule | I | [42] |
| 118 | Sarcocrassocolide N | Sarcophyton crassocaule | I | [42] |
| 119 | Sarcocrassocolide O | Sarcophyton crassocaule | I | [42] |
| 120 | Culobophylin A | Lobophytum crassum | [43] | |
| 121 | Culobophylin B | Lobophytum crassum | [43] | |
| 122 | Culobophylin C | Lobophytum crassum | [43] | |
| 123 | Lobophylin B | Lobophytum crassum | [43] | |
| 124 | Lobophylin A | Lobophytum crassum | [43] | |
| 125 | Lobocrassin A | Lobophytum crassum | [44] | |
| 126 | Lobocrassin B | Lobophytum crassum | S,E | [44] |
| 127 | Lobocrassin C | Lobophytum crassum | [44] | |
| 128 | Lobocrassin D | Lobophytum crassum | [44] | |
| 129 | Lobocrassin E | Lobophytum crassum | [44] | |
| 130 | Lobocrassin F | Lobophytum crassum | E | [20] |

2.2.2. Eunicellin-Based Diterpenoids
| No. | Name | Sources | Activities * | Reference |
|---|---|---|---|---|
| 131 | Simplexin A | Klyxum simplex | I | [46] |
| 132 | Simplexin B | Klyxum simplex | [46] | |
| 133 | Simplexin C | Klyxum simplex | [46] | |
| 134 | Simplexin D | Klyxum simplex | I | [46] |
| 135 | Simplexin E | Klyxum simplex | I,C | [46] |
| 136 | Simplexin F | Klyxum simplex | [46] | |
| 137 | Simplexin I | Klyxum simplex | [46] | |
| 138 | Klysimplexin I | Klyxum simplex | [47] | |
| 139 | Klysimplexin J | Klyxum simplex | I | [47] |
| 140 | Klysimplexin K | Klyxum simplex | I | [47] |
| 141 | Klysimplexin L | Klyxum simplex | I | [47] |
| 142 | Klysimplexin M | Klyxum simplex | I | [47] |
| 143 | Klysimplexin N | Klyxum simplex | I | [47] |
| 144 | Klysimplexin O | Klyxum simplex | [47] | |
| 145 | Klysimplexin P | Klyxum simplex | [47] | |
| 146 | Klysimplexin Q | Klyxum simplex | [47] | |
| 147 | Klysimplexin R | Klyxum simplex | I | [47] |
| 148 | Klysimplexin S | Klyxum simplex | I,C | [47] |
| 149 | Klysimplexin T | Klyxum simplex | [47] | |
| 150 | Hirsutalin A | Cladiella hirsuta | [48] | |
| 151 | Hirsutalin B | Cladiella hirsuta | I,C | [48] |
| 152 | Hirsutalin C | Cladiella hirsuta | I | [48] |
| 153 | Hirsutalin D | Cladiella hirsuta | I | [48] |
| 154 | Hirsutalin E | Cladiella hirsuta | [48] | |
| 155 | Hirsutalin F | Cladiella hirsuta | [48] | |
| 156 | Hirsutalin G | Cladiella hirsuta | [48] | |
| 157 | Hirsutalin H | Cladiella hirsuta | I | [48] |
| 158 | Klysimplexin sulfoxide A | Klyxum simplex | I | [49] |
| 159 | Klysimplexin sulfoxide B | Klyxum simplex | I | [49] |
| 160 | Klysimplexin sulfoxide C | Klyxum simplex | I,C | [49] |
| 161 | Lymollin A | Klyxum molle | [50] | |
| 162 | Lymollin B | Klyxum molle | I | [50] |
| 163 | Lymollin C | Klyxum molle | I,C | [50] |
| 164 | Lymollin D | Klyxum molle | I,C | [50] |
| 165 | Lymollin E | Klyxum molle | I | [50] |
| 166 | Lymollin F | Klyxum molle | I,C | [50] |
| 167 | Lymollin G | Klyxum molle | I,C | [50] |
| 168 | Lymollin H | Klyxum molle | I,C | [50] |
| 169 | Krempfielin A | Cladiella krempfi | [51] | |
| 170 | Krempfielin D | Cladiella krempfi | I | [51] |
| 171 | Krempfielin B | Cladiella krempfi | I | [51] |
| 172 | krempfielin C | Cladiella krempfi | I | [51] |
| 173 | Litophynol B | Cladiella krempfi | I | [51] |
| 174 | (1R*,2R*,3R*,6S*,7S*,9R*,10R*,14R*)3-Butanoyloxycladiell-11(17)-en-6,7-diol | Cladiella krempfi | I | [51] |
| 175 | Klysimplexin U | Klyxum simplex | [52] | |
| 176 | Klysimplexin V | Klyxum simplex | [52] | |
| 177 | Klysimplexin W | Klyxum simplex | [52] | |
| 178 | Klysimplexin X | Klyxum simplex | [52] | |
| 179 | Cladieunicellin A | Cladiella sp. | S,E | [53] |
| 180 | Cladieunicellin C | Cladiella sp. | [53] | |
| 181 | Cladieunicellin D | Cladiella sp. | [53] | |
| 182 | Cladieunicellin E | Cladiella sp. | [53] | |
| 183 | Cladieunicellin G | Cladiella sp. | S,E | [54] |
| 184 | 6-epi-Cladieunicellin F | Cladiella sp. | [54] | |
| 185 | Cladieunicellin F | Cladiella sp. | S,E | [54] |
| 186 | (–)-Solenopodin C | Cladiella sp. | [55] | |
| 187 | Cladielloide A | Cladiella sp. | [56] | |
| 188 | Cladielloide B | Cladiella sp. | S,E | [56] |

2.2.3. Briarane-based Diterpenoids
| No. | Name | Sources | Activities * | Reference |
|---|---|---|---|---|
| 189 | Excavatolide B | Briareum excavatum | [57] | |
| 190 | Excavatolide K | Briareum excavatum | [57] | |
| 191 | Excavatolide F | Briareum excavatum | [57] | |
| 192 | Briaexcavatolide R | Briareum excavatum | [57] | |
| 193 | Excavatolide Z | Briareum excavatum | [57] | |
| 194 | Briaexcavatolide B | Briareum excavatum | [57] | |
| 195 | Briaexcavatolide K | Briareum excavatum | [57] | |
| 196 | Briaexcavatolide H | Briareum excavatum | [57] | |
| 197 | Junceol D | Junceella juncea | [58] | |
| 198 | Junceol E | Junceella juncea | S | [58] |
| 199 | Junceol F | Junceella juncea | S | [58] |
| 200 | Junceol G | Junceella juncea | S | [58] |
| 201 | Junceol H | Junceella juncea | S | [58] |
| 202 | Excavatoid L | Briareum excavatum | S,E | [59] |
| 203 | Excavatoid M | Briareum excavatum | S,E | [59] |
| 204 | Excavatoid N | Briareum excavatum | S,E | [59] |
| 205 | Briarenolide F | Briareum sp. | S | [60] |
| 206 | Briarenolide G | Briareum sp. | [60] | |
| 207 | Fragilide J | Ellisella robusta | E | [61] |
| 208 | Robustolide L | Ellisella robusta | S | [61] |
| 209 | Briaexcavatin P | Briareum excavatum | S | [62] |
| 210 | Frajunolide L | Junceella fragilis | S,E | [63] |
| 211 | Frajunolide M | Junceella fragilis | [63] | |
| 212 | Frajunolide N | Junceella fragilis | E | [63] |
| 213 | Frajunolide O | Junceella fragilis | S,E | [63] |
| 214 | Juncenolide M | Junceella juncea | [64] | |
| 215 | Juncenolide N | Junceella juncea | E | [64] |
| 216 | Juncenolide O | Junceella juncea | S,E | [64] |
| 217 | Frajunolide E | Junceella fragilis | S,E | [65] |
| 218 | Frajunolide F | Junceella fragilis | [65] | |
| 219 | Frajunolide G | Junceella fragilis | [65] | |
| 220 | Frajunolide H | Junceella fragilis | [65] | |
| 221 | Frajunolide I | Junceella fragilis | [65] | |
| 222 | Frajunolide J | Junceella fragilis | S,E | [65] |
| 223 | Frajunolide K | Junceella fragilis | [65] |

2.2.4. Verticillane-Based Diterpenoids
| No. | Name | Sources | Activities * | Reference |
|---|---|---|---|---|
| 224 | Cespitularin R | Cespitularia hypotentaculata | [66] | |
| 225 | Cespitularin S | Cespitularia hypotentaculata | I,C | [66] |
| 226 | Cespitularin J | Cespitularia hypotentaculata | [66] | |
| 227 | Cesputularin K | Cespitularia hypotentaculata | I | [66] |
| 228 | Cespitularin M | Cespitularia hypotentaculata | [66] | |
| 229 | Cespitularin I | Cespitularia hypotentaculata | I | [66] |
| 230 | Cespitularin F | Cespitularia hypotentaculata | I | [66] |
| 231 | Cespitularin Q | Cespitularia hypotentaculata | [66] | |
| 232 | Cespitulin E | Cespitularia taenuate | S,E | [67] |
| 233 | Cespitulin G | Cespitularia taenuate | S,E | [67] |

2.2.5. Norditerpenoids
| No. | Name | Sources | Activities * | Reference |
|---|---|---|---|---|
| 234 | Gyrosanolide A | Sinularia gyrosa | [68] | |
| 235 | Gyrosanolide B | Sinularia gyrosa | I | [68] |
| 236 | Gyrosanolide C | Sinularia gyrosa | I | [68] |
| 237 | Gyrosanolide D | Sinularia gyrosa | [68] | |
| 238 | Gyrosanolide E | Sinularia gyrosa | [68] | |
| 239 | Gyrosanolide F | Sinularia gyrosa | I | [68] |
| 240 | Gyrosanin A | Sinularia gyrosa | I | [68] |
| 241 | (1 S*,5R*,8S*,10R*,11S*)-11-Hydroxyl-1-isopropenyl-8-methyl-3,6-dioxo-5,8-epoxycyclotetradec-12-ene-10,12-carbonlactone | Sinularia gyrosa | I | [68] |
| 242 | (1 S*,5S*,8S*,10R*,11S*)-11-Hydroxyl-1-isopropenyl-8-methyl-3,6-dioxo-5,8-epoxycyclotetradec-12-ene-10,12-carbonlactone | Sinularia gyrosa | I | [68] |
| 243 | Norcembrene | Sinularia gyrosa | [68] | |
| 244 | epi-Norcembrene | Sinularia gyrosa | [68] | |
| 245 | Leptocladolide B | Sinularia gyrosa | I | [68] |
| 246 | Scabrolide D | Sinularia gyrosa | I | [68] |
| 247 | Norcembrene | Sinularia gyrosa | [68] | |
| 248 | Ineleganolide | Sinularia gyrosa | [68] | |
| 249 | Sinulochemodin C | Sinularia gyrosa | [68] | |
| 250 | Scabrolide A | Sinularia gyrosa | [68] | |
| 251 | Yanarolide | Sinularia gyrosa | [68] |

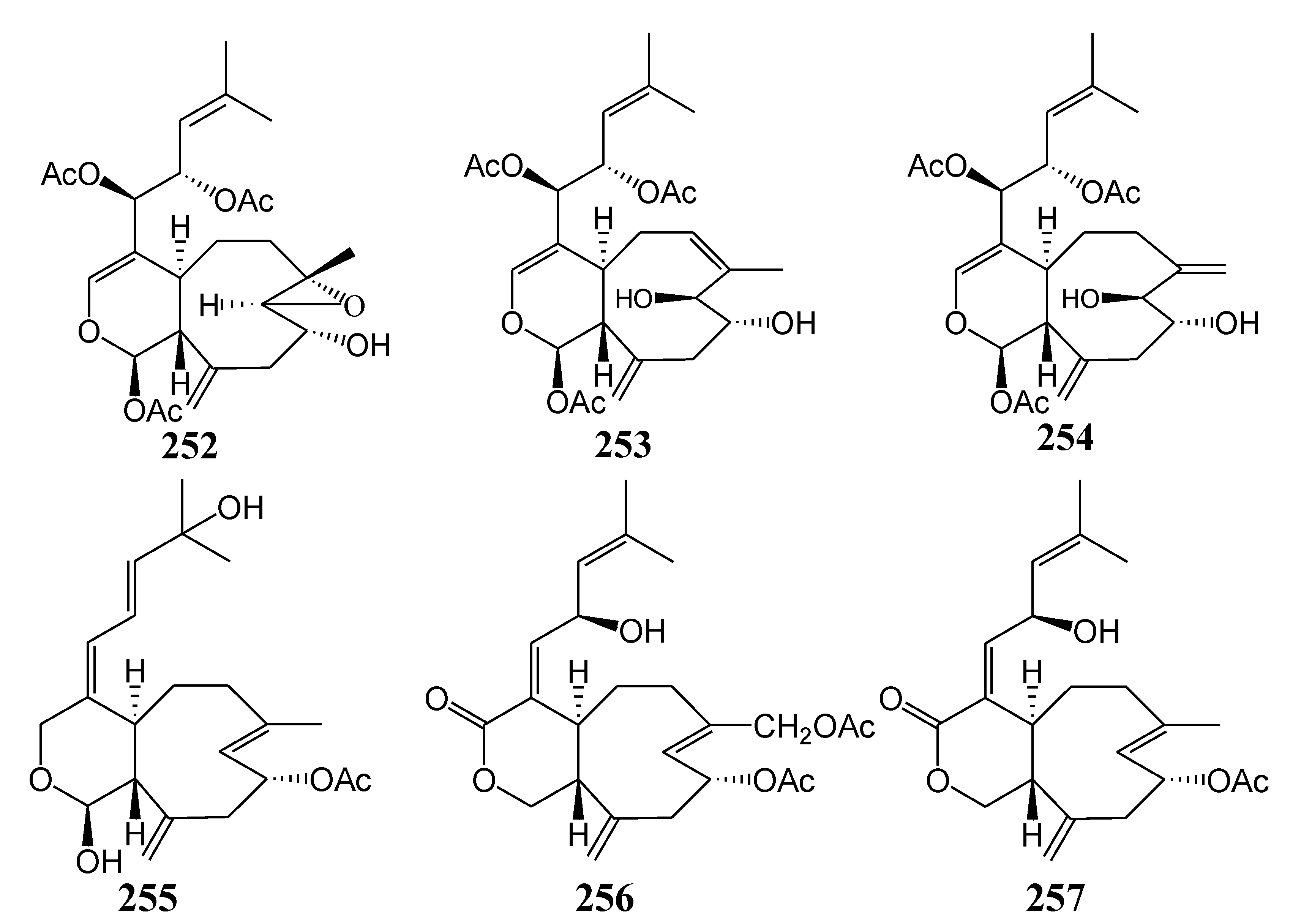
2.2.6. Xenicane-Type Diterpenoids
| No. | Name | Sources | Activities * | Reference |
|---|---|---|---|---|
| 252 | Asterolaurin A | Asterospicularia laurae | [69] | |
| 253 | Asterolaurin B | Asterospicularia laurae | [69] | |
| 254 | Asterolaurin C | Asterospicularia laurae | [69] | |
| 255 | Asterolaurin D | Asterospicularia laurae | S,E | [69] |
| 256 | Asterolaurin E | Asterospicularia laurae | [69] | |
| 257 | Asterolaurin F | Asterospicularia laurae | [69] |

2.2.7. Other-Type Diterpenoids
| No. | Name | Sources | Activities * | Reference |
|---|---|---|---|---|
| 258 | Gyrosanol A | Sinularia gyrosa | C | [70] |
| 259 | Gyrosanol B | Sinularia gyrosa | C | [70] |
| 260 | Echinohalimane A | Echinomuricea sp. | E | [71] |
| 261 | Echinoclerodane A | Echinomuricea sp. | S,E | [72] |
| 262 | Echinolabdane A | Echinomuricea sp. | [73] |

2.3. Steroids
| No. | Name | Sources | Activities * | Reference |
|---|---|---|---|---|
| 263 | Stoloniferone R | Clavularia viridis | [74] | |
| 264 | Stoloniferone S | Clavularia viridis | I | [74] |
| 265 | Stoloniferone T | Clavularia viridis | I,C | [74] |
| 266 | (25S)-24-Methylenecholestane-3β,5α,6β-triol-26-acetate | Clavularia viridis | I,C | [74] |
| 267 | Griffinisterone A | Nephthea griffini | I | [75] |
| 268 | Griffinisterone B | Nephthea griffini | I | [75] |
| 269 | Griffinisterone C | Nephthea griffini | I | [75] |
| 270 | Griffinisterone D | Nephthea griffini | I | [75] |
| 271 | Chabrosterol | Nephthea chabroli | I,C | [21] |
| 272 | Nebrosteroid A | Nephthea chabroli | I | [76] |
| 273 | Nebrosteroid B | Nephthea chabroli | I | [76] |
| 274 | Nebrosteroid C | Nephthea chabroli | I | [76] |
| 275 | Nebrosteroid D | Nephthea chabroli | I,C | [76] |
| 276 | Nebrosteroid F | Nepthea chabroli | I,C | [76] |
| 277 | Nebrosteroid E | Nepthea chabroli | [76] | |
| 278 | Nebrosteroid G | Nepthea chabroli | I,C | [76] |
| 279 | Nebrosteroid H | Nepthea chabroli | I | [76] |
| 280 | Griffinisterone F | Dendronephthya griffini | I,C | [77] |
| 281 | Griffinisterone G | Dendronephthya griffini | I,C | [77] |
| 282 | Griffinisterone H | Dendronephthya griffini | I | [77] |
| 283 | Griffinipregnone | Dendronephthya griffini | I,C | [77] |
| 284 | 1α,3β-Dihydroxy-24S-methylcholesta-5-ene | Sinularia sp. | I,C | [78] |
| 285 | 1α,3β-Dihydroxy-24-methylenecholesta-5-ene | Sinularia sp. | I,C | [78] |
| 286 | 5,24(28)-Ergostadien-3β,23S-diol | Nephthea erecta | I,C | [79] |
| 287 | 5,24(28)-Ergostadien-3β,23R-diol | Nephthea erecta | I | [79] |
| 288 | (22S)-5,24(28)-Ergostadien-3β,17α,22-triol | Nephthea erecta | I,C | [79] |
| 289 | Ergostanoid | Nephthea erecta | I | [79] |
| 290 | Nebrosteroid I | Nephthea chabroli | I,C | [80] |
| 291 | Nebrosteroid J | Nephthea chabroli | I,C | [80] |
| 292 | Nebrosteroid K | Nephthea chabroli | [80] | |
| 293 | Nebrosteroid L | Nephthea chabroli | I,C | [80] |
| 294 | Nebrosteroid M | Nephthea chabroli | IC | [80] |
| 295 | Sarcophytosterol | Lobophytum sarcophytoides | [38] | |
| 296 | 5α,8α-Epidioxy-24-methylcholesta-6-en-3β-ol | Lobophytum sarcophytoides | [38] | |
| 297 | 5α,8α-Epidioxy-22,23-methylene-24-methylcholest-6-en-3β-ol | Lobophytum sarcophytoides | I | [38] |
| 298 | Paraminabeolide A | Paraminabea acronocephala | I | [81] |
| 299 | Paraminabeolide B | Paraminabea acronocephala | I | [81] |
| 300 | Paraminabeolide C | Paraminabea acronocephala | I | [81] |
| 301 | Paraminabeolide D | Paraminabea acronocephala | I | [81] |
| 302 | Paraminabeolide E | Paraminabea acronocephala | [81] | |
| 303 | Minabeolide-1 | Paraminabea acronocephala | I,C | [81] |
| 304 | Minabeolide-2 | Paraminabea acronocephala | I,C | [81] |
| 305 | Minabeolide-4 | Paraminabea acronocephala | I,C | [81] |
| 306 | Minabeolide-5 | Paraminabea acronocephala | I,C | [81] |
| 307 | Minabeolide-8 | Paraminabea acronocephala | [81] | |
| 308 | Hirsutosterol A | Cladiella hirsuta | [82] | |
| 309 | Hirsutosterol B | Cladiella hirsuta | [82] | |
| 310 | Hirsutosterol C | Cladiella hirsuta | [82] | |
| 311 | Hirsutosterol D | Cladiella hirsuta | [82] | |
| 312 | Hirsutosterol E | Cladiella hirsuta | [82] | |
| 313 | Hirsutosterol F | Cladiella hirsuta | [82] | |
| 314 | Hirsutosterol G | Cladiella hirsuta | [82] | |
| 315 | Crassarosterol A | Sinularia crassa | [83] | |
| 316 | Crassarosteroside A | Sinularia crassa | I | [83] |
| 317 | Crassarosteroside B | Sinularia crassa | I | [83] |
| 318 | Crassarosteroside C | Sinularia crassa | I | [83] |
| 319 | 8αH-3β,11-Dihydroxy-5α,6α-expoxy-24-methylene-9,11-secocholestan-9-one | Sinularia granosa | I,C | [84] |
| 320 | 3β,11-Dihydroxy-5β,6β-expoxy-24-methylene-9,11-secocholestan-9-one | Sinularia granosa | I | [84] |
| 321 | 6-epi-Yonarasterol B | Echinomuricea sp. | S,E | [73] |
| 322 | Carijoside A | Carijoa sp. | S,E | [85] |

2.4. Ceramide and Cerebrosides
| No. | Name | Sources | Activities * | Reference |
|---|---|---|---|---|
| 323 | Ceramide | Sarcophyton ehrenbergi | I,C | [86] |
| 324 | Sarcoehrenoside A | Sarcophyton ehrenbergi | I | [86] |
| 325 | Sarcoehrenoside B | Sarcophyton ehrenbergi | [86] | |
| 326 | Cerebroside-3 | Sarcophyton ehrenbergi | I | [86] |
| 327 | Cerebroside-5 | Sarcophyton ehrenbergi | I | [86] |
| 328 | Cerebroside-6 | Sarcophyton ehrenbergi | I | [86] |

2.5. Other Metabolites
| No. | Name | Sources | Activities * | Reference |
|---|---|---|---|---|
| 329 | Capilloquinone | Sinularia capillosa | I | [87] |
| 330 | Capillobenzopyranol | Sinularia capillosa | I | [87] |
| 331 | Capillobenzofuranol | Sinularia capillosa | [87] | |
| 332 | Capillofuranocarboxylate | Sinularia capillosa | [87] | |
| 333 | (E)-5-(2,6-Dimethylocta-5,7-dienyl)furan-3-carboxylic acid | Sinularia capillosa | [87] | |
| 334 | 2-[(2E,6E)-3,7-Dimethyl-8-(4-methylfuran-2-yl)octa-2,6-dienyl]-5-methylcyclohexa-2,5-diene-1,4-dione | Sinularia capillosa | I,C | [87] |
| 335 | 2-[(2E,6E)-3,7-Dimethyl-8-(4-methylfuran-2-yl)octa-2,6-dienyl]-5-methylbenzene-1,4-diol | Sinularia capillosa | I | [87] |
| 336 | (–)-Loliolide | Sinularia capillosa | [87] | |
| 337 | 3,4,11-Trimethyl-7-methylenebicyclo[6.3.0]undec-2-en-11R-ol | Sinularia capillosa | [87] | |
| 338 | Austrasulfone | Cladiella australis | [88] | |
| 339 | Dihydroaustrasulfone alcohol | Cladiella australis | I,C | [88] |

3. Conclusions
Acknowledgments
Conflicts of Interest
References
- Marris, E. Marine natural products: Drugs from the deep. Nature 2006, 443, 904–905. [Google Scholar] [CrossRef]
- Simmons, T.L.; Andrianasolo, E.; McPhail, K.; Flatt, P.; Gerwick, W.H. Marine natural products as anticancer drugs. Mol. Cancer Ther. 2005, 4, 333–342. [Google Scholar]
- Molinski, T.F.; Dalisay, D.S.; Lievens, S.L.; Saludes, J.P. Drug development from marine natural products. Nat. Rev. Drug Discov. 2009, 8, 69–85. [Google Scholar] [CrossRef]
- Hu, G.P.; Yuan, J.; Sun, L.; She, Z.G.; Wu, J.H.; Lan, X.J.; Zhu, X.; Lin, Y.C.; Chen, S.P. Statistical research on marine natural products based on data obtained between 1985 and 2008. Mar. Drugs 2011, 9, 514–525. [Google Scholar] [CrossRef]
- Blunt, J.W.; Copp, B.R.; Keyzers, R.A.; Munro, M.H.; Prinsep, M.R. Marine natural products. Nat. Prod. Rep. 2013, 30, 237–323. [Google Scholar] [CrossRef]
- Blunt, J.W.; Copp, B.R.; Keyzers, R.A.; Munro, M.H.; Prinsep, M.R. Marine natural products. Nat. Prod. Rep. 2012, 29, 144–222. [Google Scholar] [CrossRef]
- Blunt, J.W.; Copp, B.R.; Munro, M.H.; Northcote, P.T.; Prinsep, M.R. Marine natural products. Nat. Prod. Rep. 2011, 28, 196–268. [Google Scholar] [CrossRef]
- Mayer, A.M.; Rodriguez, A.D.; Berlinck, R.G.; Fusetani, N. Marine pharmacology in 2007–8: Marine compounds with antibacterial, anticoagulant, antifungal, anti-inflammatory, antimalarial, antiprotozoal, antituberculosis, and antiviral activities affecting the immune and nervous system, and other miscellaneous mechanisms of action. Comp. Biochem. Physiol. C Toxicol. Pharmacol. 2011, 153, 191–222. [Google Scholar] [CrossRef]
- Kaplanski, G.; Marin, V.; Montero-Julian, F.; Mantovani, A.; Farnarier, C. IL-6: A regulator of the transition from neutrophil to monocyte recruitment during inflammation. Trends Immunol. 2003, 24, 25–29. [Google Scholar] [CrossRef]
- Wright, H.L.; Moots, R.J.; Bucknall, R.C.; Edwards, S.W. Neutrophil function in inflammation and inflammatory diseases. Rheumatology 2010, 49, 1618–1631. [Google Scholar] [CrossRef]
- Vinten-Johansen, J. Involvement of neutrophils in the pathogenesis of lethal myocardial reperfusion injury. Cardiovasc. Res. 2004, 61, 481–497. [Google Scholar] [CrossRef]
- Hwang, T.L.; Su, Y.C.; Chang, H.L.; Leu, Y.L.; Chung, P.J.; Kuo, L.M.; Chang, Y.J. Suppression of superoxide anion and elastase release by C18 unsaturated fatty acids in human neutrophils. Lipid Res. 2009, 50, 1395–1408. [Google Scholar] [CrossRef]
- Pham, C.T. Neutrophil serine proteases: Specific regulators of inflammation. Nat. Rev. Immunol. 2006, 6, 541–550. [Google Scholar] [CrossRef]
- Chang, C.H.; Wen, Z.H.; Wang, S.K.; Duh, C.Y. Capnellenes from the Formosan soft coral Capnella imbricata. J. Nat. Prod. 2008, 71, 619–621. [Google Scholar] [CrossRef]
- Cheng, S.Y.; Lin, E.H.; Huang, J.S.; Wen, Z.H.; Duh, C.Y. Ylangene-type and nardosinane-type sesquiterpenoids from the soft corals Lemnalia flava and Paralemnalia thyrsoides. Chem. Pharm. Bull. 2010, 58, 381–385. [Google Scholar] [CrossRef]
- Lu, Y.; Li, P.J.; Hung, W.Y.; Su, J.H.; Wen, Z.H.; Hsu, C.H.; Dai, C.F.; Chiang, M.Y.; Sheu, J.H. Nardosinane sesquiterpenoids from the Formosan soft coral Lemnalia flava. J. Nat. Prod. 2011, 74, 169–174. [Google Scholar] [CrossRef]
- Tseng, Y.J.; Shen, K.P.; Lin, H.L.; Huang, C.Y.; Dai, C.F.; Sheu, J.H. Lochmolins A–G, new sesquiterpenoids from the soft coral Sinularia lochmodes. Mar. Drugs 2012, 10, 1572–1581. [Google Scholar] [CrossRef]
- Huang, C.Y.; Su, J.H.; Liu, C.Y.; Wen, Z.H.; Hsu, C.H.; Chiang, M.Y.; Sheu, J.H. Oppositane-Type sesquiterpenoids from the Formosan soft coral Sinularia leptoclados. Bull. Chem. Soc. Jpn. 2010, 83, 678–682. [Google Scholar] [CrossRef]
- Kao, S.Y.; Su, J.H.; Hwang, T.L.; Sheu, J.H.; Wen, Z.H.; Wu, Y.C.; Sung, P.J. Menelloides C and D, new sesquiterpenoids from the Gorgonian coral Menella sp. Mar. Drugs 2011, 9, 1534–1542. [Google Scholar] [CrossRef]
- Lee, C.H.; Kao, C.Y.; Kao, S.Y.; Chang, C.H.; Su, J.H.; Hwang, T.L.; Kuo, Y.H.; Wen, Z.H.; Sung, P.J. Terpenoids from the octocorals Menella sp. (Plexauridae) and Lobophytum crassum (Alcyonacea). Mar. Drugs 2012, 10, 427–438. [Google Scholar] [CrossRef]
- Cheng, S.Y.; Huang, Y.C.; Wen, Z.H.; Chiou, S.H.; Wang, S.K.; Hsu, C.H.; Dai, C.F.; Duh, C.Y. Novel sesquiterpenes and norergosterol from the soft corals Nephthea erecta and Nephthea chabroli. Tetrahedron Lett. 2009, 50, 802–806. [Google Scholar] [CrossRef]
- Su, J.H.; Huang, C.Y.; Li, P.J.; Lu, Y.; Wen, Z.H.; Kao, Y.H.; Sheu, J.H. Bioactive cadinane-type compounds from the soft coral Sinularia scabra. Arch. Pharmacal. Res. 2012, 35, 779–784. [Google Scholar] [CrossRef]
- Su, J.H.; Chiang, M.Y.; Wen, Z.H.; Dai, C.F.; Hsu, C.H.; Sheu, J.H. Sesquiterpenoids from the formosan soft coral Sinularia leptoclados. Chem. Pharm. Bull. 2010, 58, 250–253. [Google Scholar] [CrossRef]
- Kao, S.Y.; Chang, Y.C.; Su, J.H.; Lu, M.C.; Chen, Y.H.; Sheu, J.H.; Wen, Z.H.; Wang, W.H.; Kuo, Y.H.; Hwang, T.L.; et al. (–)-Hydroxylindestrenolide, a new sesquiterpenoid from a gorgonian coral Menella sp. (Plexauridae). Chem. Pharm. Bull. 2011, 59, 1048–1050. [Google Scholar] [CrossRef]
- Jean, Y.H.; Chen, W.F.; Duh, C.Y.; Huang, S.Y.; Hsu, C.H.; Lin, C.S.; Sung, C.S.; Chen, I.M.; Wen, Z.H. Inducible nitric oxide synthase and cyclooxygenase-2 participate in anti-inflammatory and analgesic effects of the natural marine compound lemnalol from Formosan soft coral Lemnalia cervicorni. Eur. J. Pharmacol. 2008, 578, 323–331. [Google Scholar] [CrossRef]
- Jean, Y.H.; Chen, W.F.; Sung, C.S.; Duh, C.Y.; Huang, S.Y.; Lin, C.S.; Tai, M.H.; Tzeng, S.F.; Wen, Z.H. Capnellene, a natural marine compound derived from soft coral, attenuates chronic constriction injury-induced neuropathic pain in rats. Br. J. Pharmacol. 2009, 158, 713–725. [Google Scholar] [CrossRef]
- Ahmed, A.F.; Wen, Z.H.; Su, J.H.; Hsieh, Y.T.; Wu, Y.C.; Hu, W.P.; Sheu, J.H. Oxygenated cembranoids from a Formosan soft coral Sinularia gibberosa. J. Nat. Prod. 2008, 71, 179–185. [Google Scholar] [CrossRef]
- Ahmed, A.F.; Tai, S.H.; Wen, Z.H.; Su, J.H.; Wu, Y.C.; Hu, W.P.; Sheu, J.H. A C-3 methylated isocembranoid and 10-oxocembranoids from a Formosan soft coral, Sinularia grandilobata. J. Nat. Prod. 2008, 71, 946–951. [Google Scholar] [CrossRef]
- Cheng, S.Y.; Wen, Z.H.; Chiou, S.F.; Hsu, C.H.; Wang, S.K.; Dai, C.F.; Chiang, M.Y.; Duh, C.Y. Durumolides A–E, anti-inflammatory and antibacterial cembranolides from the soft coral Lobophytum durum. Tetrahedron 2008, 64, 9698–9704. [Google Scholar] [CrossRef]
- Lu, Y.; Su, J.H.; Huang, C.Y.; Liu, Y.C.; Kuo, Y.H.; Wen, Z.H.; Hsu, C.H.; Sheu, J.H. Cembranoids from the soft corals Sinularia granosa and Sinularia querciformis. Chem. Pharm. Bull. 2010, 58, 464–466. [Google Scholar] [CrossRef]
- Chao, C.H.; Wen, Z.H.; Wu, Y.C.; Yeh, H.C.; Sheu, J.H. Cytotoxic and anti-inflammatory cembranoids from the soft coral. Lobophytum crassum. J. Nat. Prod. 2008, 71, 1819–1824. [Google Scholar] [CrossRef]
- Cheng, S.Y.; Wen, Z.H.; Wang, S.K.; Chiou, S.F.; Hsu, C.H.; Dai, C.F.; Chiang, M.Y.; Duh, C.Y. Unprecedented hemiketal cembranolides with anti-inflammatory activity from the soft coral. Lobophytum durum. J. Nat. Prod. 2009, 72, 152–155. [Google Scholar] [CrossRef]
- Cheng, S.Y.; Wen, Z.H.; Wang, S.K.; Chiou, S.F.; Hsu, C.H.; Dai, C.F.; Duh, C.Y. Anti-inflammatory cembranolides from the soft coral Lobophytum durum. Bioorg. Med. Chem. 2009, 17, 3763–3769. [Google Scholar] [CrossRef]
- Lin, W.Y.; Su, J.H.; Lu, Y.; Wen, Z.H.; Dai, C.F.; Kuo, Y.H.; Sheu, J.H. Cytotoxic and anti-inflammatory cembranoids from the Dongsha Atoll soft coral Sarcophyton crassocaule. Bioorg. Med. Chem. 2010, 18, 1936–1941. [Google Scholar] [CrossRef]
- Chen, B.W.; Chao, C.H.; Su, J.H.; Huang, C.Y.; Dai, C.F.; Wen, Z.H.; Sheu, J.H. A novel symmetric sulfur-containing biscembranoid from the Formosan soft coral Sinularia flexibilis. Tetrahedron Lett. 2010, 51, 5764–5766. [Google Scholar] [CrossRef]
- Su, J.H.; Wen, Z.H. Bioactive cembrane-based diterpenoids from the soft coral Sinularia triangular. Mar. Drugs 2011, 9, 944–951. [Google Scholar] [CrossRef]
- Lin, W.Y.; Lu, Y.; Su, J.H.; Wen, Z.H.; Dai, C.F.; Kuo, Y.H.; Sheu, J.H. Bioactive cembranoids from the dongsha atoll soft coral Sarcophyton crassocaule. Mar. Drugs 2011, 9, 994–1006. [Google Scholar] [CrossRef]
- Lu, Y.; Lin, Y.C.; Wen, Z.H.; Su, J.H.; Sung, P.J.; Hsu, C.H.; Kuo, Y.H.; Chiang, M.Y.; Dai, C.F.; Sheu, J.H. Steroid and cembranoids from the Dongsha atoll soft coral Lobophytum sarcophytoides. Tetrahedron 2010, 66, 7129–7135. [Google Scholar] [CrossRef]
- Lu, Y.; Su, H.J.; Chen, Y.H.; Wen, Z.H.; Sheu, J.H.; Su, J.H. Anti-Inflammatory cembranoids from the Formosan soft coral Sinularia discrepans. Arch. Pharmacal. Res. 2011, 34, 1263–1267. [Google Scholar] [CrossRef]
- Tseng, Y.J.; Wen, Z.H.; Hsu, C.H.; Dai, C.F.; Sheu, J.H. Bioactive cembranoids from the Dongsha atoll soft coral Lobophytum crassum. Bull. Chem. Soc. Jpn. 2011, 84, 1102–1106. [Google Scholar] [CrossRef]
- Chao, C.H.; Chou, K.J.; Huang, C.Y.; Wen, Z.H.; Hsu, C.H.; Wu, Y.C.; Dai, C.F.; Sheu, J.H. Bioactive cembranoids from the soft coral Sinularia crassa. Mar. Drugs 2011, 9, 1955–1968. [Google Scholar] [CrossRef]
- Lin, W.Y.; Lu, Y.; Chen, B.W.; Huang, C.Y.; Su, J.H.; Wen, Z.H.; Dai, C.F.; Kuo, Y.H.; Sheu, J.H. Sarcocrassocolides M–O, bioactive cembranoids from the Dongsha atoll soft coral Sarcophyton crassocaule. Mar. Drugs 2012, 10, 617–626. [Google Scholar] [CrossRef]
- Lee, N.L.; Su, J.H. Tetrahydrofuran cembranoids from the cultured soft coral Lobophytum crassum. Mar. Drugs 2011, 9, 2526–2536. [Google Scholar] [CrossRef]
- Kao, C.Y.; Su, J.H.; Lu, M.C.; Hwang, T.L.; Wang, W.H.; Chen, J.J.; Sheu, J.H.; Kuo, Y.H.; Weng, C.F.; Fang, L.S.; Wen, Z.H.; Sung, P.J. Lobocrassins A–E: New cembrane-type diterpenoids from the soft coral. Lobophytum crassum. Mar. Drugs 2011, 9, 1319–1331. [Google Scholar] [CrossRef]
- Huang, S.Y.; Chen, N.F.; Chen, W.F.; Hung, H.C.; Lee, H.P.; Lin, Y.Y.; Wang, H.M.; Sung, P.J.; Sheu, J.H.; Wen, Z.H. Sinularin from indigenous soft coral attenuates nociceptive responses and spinal neuroinflammation in carrageenan-induced inflammatory rat model. Mar. Drugs 2012, 10, 1899–1919. [Google Scholar] [CrossRef]
- Wu, S.L.; Su, J.H.; Wen, Z.H.; Hsu, C.H.; Chen, B.W.; Dai, C.F.; Kuo, Y.H.; Sheu, J.H. Simplexins A–I, eunicellin-based diterpenoids from the soft coral Klyxum simplex. J. Nat. Prod. 2009, 72, 994–1000. [Google Scholar] [CrossRef]
- Chen, B.W.; Chao, C.H.; Su, J.H.; Tsai, C.W.; Wang, W.H.; Wen, Z.H.; Huang, C.Y.; Sung, P.J.; Wu, Y.C.; Sheu, J.H. Klysimplexins I–T, eunicellin-based diterpenoids from the cultured soft coral Klyxum simplex. Org. Biomol. Chem. 2011, 9, 834–844. [Google Scholar] [CrossRef]
- Chen, B.W.; Chang, S.M.; Huang, C.Y.; Chao, C.H.; Su, J.H.; Wen, Z.H.; Hsu, C.H.; Dai, C.F.; Wu, Y.C.; Sheu, J.H. Hirsutalins A–H, eunicellin-based diterpenoids from the soft coral Cladiella hirsuta. J. Nat. Prod. 2010, 73, 1785–1791. [Google Scholar] [CrossRef]
- Chen, B.W.; Chao, C.H.; Su, J.H.; Wen, Z.H.; Sung, P.J.; Sheu, J.H. Anti-Inflammatory eunicellin-based diterpenoids from the cultured soft coral Klyxum simplex. Org. Biomol. Chem. 2010, 8, 2363–2366. [Google Scholar] [CrossRef]
- Hsu, F.J.; Chen, B.W.; Wen, Z.H.; Huang, C.Y.; Dai, C.F.; Su, J.H.; Wu, Y.C.; Sheu, J.H. Klymollins A–H, bioactive eunicellin-based diterpenoids from the Formosan soft coral Klyxum molle. J. Nat. Prod. 2011, 74, 2467–2471. [Google Scholar] [CrossRef]
- Tai, C.J.; Su, J.H.; Huang, M.S.; Wen, Z.H.; Dai, C.F.; Sheu, J.H. Bioactive eunicellin-based diterpenoids from the soft coral Cladiella krempfi. Mar. Drugs 2011, 9, 2036–2045. [Google Scholar] [CrossRef]
- Chen, B.W.; Huang, C.Y.; Wen, Z.H.; Su, J.H.; Wang, W.H.; Sung, P.J.; Wu, Y.C.; Sheu, J.H. Klysimplexins U–X, eunicellin-based diterpenoids from the cultured soft coral Klyxum simplex. Bull. Chem. Soc. Jpn. 2011, 84, 1237–1242. [Google Scholar] [CrossRef]
- Chen, Y.H.; Tai, C.Y.; Kuo, Y.H.; Kao, C.Y.; Li, J.J.; Hwang, T.L.; Fang, L.S.; Wang, W.H.; Sheu, J.H.; Sung, P.J. Cladieunicellins A–E, new eunicellins from an Indonesian soft coral Cladiella sp. Chem. Pharm. Bull. 2011, 59, 353–358. [Google Scholar] [CrossRef]
- Chen, Y.H.; Hwang, T.L.; Su, Y.D.; Chang, Y.C.; Chen, Y.H.; Hong, P.H.; Hu, L.C.; Yen, W.H.; Hsu, H.Y.; Huang, S.J.; Kuo, Y.H.; Sung, P.J. New 6-hydroxyeunicellins from a soft coral Cladiella sp. Chem. Pharm. Bull. 2012, 60, 160–163. [Google Scholar] [CrossRef]
- Chen, Y.H.; Tai, C.Y.; Su, Y.D.; Chang, Y.C.; Lu, M.C.; Weng, C.F.; Su, J.H.; Hwang, T.L.; Wu, Y.C.; Sung, P.J. Discovery of new eunicellins from an Indonesian octocoral Cladiella sp. Mar. Drugs 2011, 9, 934–943. [Google Scholar] [CrossRef]
- Chen, Y.H.; Tai, C.Y.; Hwang, T.L.; Weng, C.F.; Li, J.J.; Fang, L.S.; Wang, W.H.; Wu, Y.C.; Sung, P.J. Cladielloides A and B: New eunicellin-type diterpenoids from an Indonesian octocoral Cladiella sp. Mar. Drugs 2010, 8, 2936–2945. [Google Scholar] [CrossRef]
- Wei, W.C.; Lin, S.Y.; Chen, Y.J.; Wen, C.C.; Huang, C.Y.; Palanisamy, A.; Yang, N.S.; Sheu, J.H. Topical application of marine briarane-type diterpenes effectively inhibits 12-O-tetradecanoylphorbol-13-acetate-induced inflammation and dermatitis in murine skin. J. Biomed. Sci. 2011, 18. [Google Scholar] [CrossRef]
- Sung, P.J.; Pai, C.H.; Hwang, T.L.; Fan, T.Y.; Su, J.H.; Chen, J.J.; Fang, L.S.; Wang, W.H.; Sheu, J.H. Junceols D–H, new polyoxygenated briaranes from sea whip gorgonian coral Junceella juncea (Ellisellidae). Chem. Pharm. Bull. 2008, 56, 1276–1281. [Google Scholar] [CrossRef]
- Su, J.H.; Chen, B.Y.; Hwang, T.L.; Chen, Y.H.; Huang, I.C.; Lin, M.R.; Chen, J.J.; Fang, L.S.; Wang, W.H.; Li, J.J.; et al. Excavatoids L–N, new 12-hydroxybriaranes from the cultured octocoral Briareum excavatum (Briareidae). Chem. Pharm. Bull. 2010, 58, 662–665. [Google Scholar] [CrossRef]
- Hong, P.H.; Su, Y.D.; Su, J.H.; Chen, Y.H.; Hwang, T.L.; Weng, C.F.; Lee, C.H.; Wen, Z.H.; Sheu, J.H.; Lin, N.C.; et al. Briarenolides F and G, new briarane diterpenoids from a Briareum sp. octocoral. Mar. Drugs 2012, 10, 1156–1168. [Google Scholar] [CrossRef]
- Wang, S.H.; Chang, Y.C.; Chiang, M.Y.; Chen, Y.H.; Hwang, T.L.; Weng, C.F.; Sung, P.J. Chlorinated briarane diterpenoids from the sea whip gorgonian corals Junceella fragilis and Ellisella robusta (Ellisellidae). Chem. Pharm. Bull. 2010, 58, 928–933. [Google Scholar] [CrossRef]
- Sung, P.J.; Lin, M.R.; Hwang, T.L.; Fan, T.Y.; Su, W.C.; Ho, C.C.; Fang, L.S.; Wang, W.H. Briaexcavatins M–P, four new briarane-related diterpenoids from cultured octocoral Briareum excavatum (Briareidae). Chem. Pharm. Bull. 2008, 56, 930–935. [Google Scholar] [CrossRef]
- Liaw, C.C.; Kuo, Y.H.; Lin, Y.S.; Hwang, T.L.; Shen, Y.C. Frajunolides L–O, four new 8-hydroxybriarane diterpenoids from the gorgonian Junceella fragilis. Mar. Drugs 2011, 9, 1477–1486. [Google Scholar] [CrossRef]
- Chang, J.Y.; Liaw, C.C.; Fazary, A.E.; Hwang, T.L.; Shen, Y.C. New Briarane diterpenoids from the gorgonian coral Junceella juncea. Mar. Drugs 2012, 10, 1321–1330. [Google Scholar] [CrossRef]
- Liaw, C.C.; Shen, Y.C.; Lin, Y.S.; Hwang, T.L.; Kuo, Y.H.; Khalil, A.T. Frajunolides E–K, briarane diterpenes from Junceella fragilis. J. Nat. Prod. 2008, 71, 1551–1556. [Google Scholar] [CrossRef]
- Cheng, S.Y.; Lin, E.H.; Wen, Z.H.; Chiang, M.Y.; Duh, C.Y. Two new verticillane-type diterpenoids from the Formosan soft coral Cespitularia hypotentaculata. Chem. Pharm. Bull. 2010, 58, 848–851. [Google Scholar] [CrossRef]
- Chang, J.Y.; Fazary, A.E.; Lin, Y.C.; Hwang, T.L.; Shen, Y.C. New verticillane diterpenoids from Cespitularia taeniata. Chem. Biodivers. 2012, 9, 654–661. [Google Scholar] [CrossRef]
- Cheng, S.Y.; Chuang, C.T.; Wen, Z.H.; Wang, S.K.; Chiou, S.F.; Hsu, C.H.; Dai, C.F.; Duh, C.Y. Bioactive norditerpenoids from the soft coral Sinularia gyrosa. Bioorg. Med. Chem. 2010, 18, 3379–3386. [Google Scholar] [CrossRef]
- Lin, Y.C.; Abd El-Razek, M.H.; Hwang, T.L.; Chiang, M.Y.; Kuo, Y.H.; Dai, C.F.; Shen, Y.C. Asterolaurins A–F, xenicane diterpenoids from the Taiwanese soft coral Asterospicularia laurae. J. Nat. Prod. 2009, 72, 1911–1916. [Google Scholar] [CrossRef]
- Cheng, S.Y.; Chuang, C.T.; Wang, S.K.; Wen, Z.H.; Chiou, S.F.; Hsu, C.H.; Dai, C.F.; Duh, C.Y. Antiviral and anti-inflammatory diterpenoids from the soft coral Sinularia gyrosa. J. Nat. Prod. 2010, 73, 1184–1187. [Google Scholar] [CrossRef]
- Chung, H.M.; Hu, L.C.; Yen, W.H.; Su, J.H.; Lu, M.C.; Hwang, T.L.; Wang, W.H.; Sung, P.J. Echinohalimane A, a bioactive halimane-type diterpenoid from a Formosan gorgonian Echinomuricea sp. (Plexauridae). Mar. Drugs 2012, 10, 2246–2253. [Google Scholar] [CrossRef]
- Cheng, C.H.; Chung, H.M.; Hwang, T.L.; Lu, M.C.; Wen, Z.H.; Kuo, Y.H.; Wang, W.H.; Sung, P.J. Echinoclerodane A: A new bioactive clerodane-type diterpenoid from a gorgonian coral Echinomuricea sp. Molecules 2012, 17, 9443–9450. [Google Scholar] [CrossRef]
- Chung, H.M.; Hong, P.H.; Su, J.H.; Hwang, T.L.; Lu, M.C.; Fang, L.S.; Wu, Y.C.; Li, J.J.; Chen, J.J.; Wang, W.H.; et al. Bioactive compounds from a gorgonian coral Echinomuricea sp. (Plexauridae). Mar. Drugs 2012, 10, 1169–1179. [Google Scholar] [CrossRef]
- Chang, C.H.; Wen, Z.H.; Wang, S.K.; Duh, C.Y. New anti-inflammatory steroids from the Formosan soft coral Clavularia viridis. Steroids 2008, 73, 562–567. [Google Scholar] [CrossRef]
- Chao, C.H.; Wen, Z.H.; Chen, I.M.; Su, J.H.; Huang, H.C.; Chiang, M.Y.; Sheu, J.H. Anti-inflammatory steroids from the octocoral Dendronephthya griffini. Tetrahedron 2008, 64, 3554–3560. [Google Scholar] [CrossRef]
- Huang, Y.C.; Wen, Z.H.; Wang, S.K.; Hsu, C.H.; Duh, C.Y. New anti-inflammatory 4-methylated steroids from the Formosan soft coral Nephthea chabroli. Steroids 2008, 73, 1181–1186. [Google Scholar] [CrossRef]
- Chao, C.H.; Wen, Z.H.; Su, J.H.; Chen, I.M.; Huang, H.C.; Dai, C.F.; Sheu, J.H. Further study on anti-inflammatory oxygenated steroids from the octocoral Dendronephthya griffini. Steroids 2008, 73, 1353–1358. [Google Scholar] [CrossRef]
- Su, J.H.; Lo, C.L.; Lu, Y.; Wen, Z.H.; Huang, C.Y.; Dai, C.F.; Sheu, J.H. Anti-Inflammatory polyoxygenated steroids from the soft coral Sinularia sp. Bull. Chem. Soc. Jpn. 2008, 81, 1616–1620. [Google Scholar] [CrossRef]
- Cheng, S.Y.; Wen, Z.H.; Wang, S.K.; Chiang, M.Y.; El-Gamal, A.A.; Dai, C.F.; Duh, C.Y. Revision of the absolute configuration at C(23) of lanostanoids and isolation of secondary metabolites from Formosan soft coral Nephthea erecta. Chem. Biodivers. 2009, 6, 86–95. [Google Scholar] [CrossRef]
- Cheng, S.Y.; Huang, Y.C.; Wen, Z.H.; Hsu, C.H.; Wang, S.K.; Dai, C.F.; Duh, C.Y. New 19-oxygenated and 4-methylated steroids from the Formosan soft coral Nephthea chabroli. Steroids 2009, 74, 543–547. [Google Scholar] [CrossRef]
- Chao, C.H.; Chou, K.J.; Wen, Z.H.; Wang, G.H.; Wu, Y.C.; Dai, C.F.; Sheu, J.H. Paraminabeolides A–F, cytotoxic and anti-inflammatory marine withanolides from the soft coral Paraminabea acronocephala. J. Nat. Prod. 2011, 74, 1132–1141. [Google Scholar] [CrossRef]
- Chen, B.W.; Chang, S.M.; Huang, C.Y.; Su, J.H.; Wen, Z.H.; Wu, Y.C.; Sheu, J.H. Hirsutosterols A–G, polyoxygenated steroids from a Formosan soft coral Cladiella hirsuta. Org. Biomol. Chem. 2011, 9, 3272–3278. [Google Scholar] [CrossRef]
- Chao, C.H.; Chou, K.J.; Huang, C.Y.; Wen, Z.H.; Hsu, C.H.; Wu, Y.C.; Dai, C.F.; Sheu, J.H. Steroids from the soft coral Sinularia crassa. Mar. Drugs 2012, 10, 439–450. [Google Scholar] [CrossRef]
- Huang, C.Y.; Su, J.H.; Duh, C.Y.; Chen, B.W.; Wen, Z.H.; Kuo, Y.H.; Sheu, J.H. A new 9,11-secosterol from the soft coral Sinularia granosa. Bioorg. Med. Chem. Lett. 2012, 22, 4373–4376. [Google Scholar] [CrossRef]
- Liu, C.Y.; Hwang, T.L.; Lin, M.R.; Chen, Y.H.; Chang, Y.C.; Fang, L.S.; Wang, W.H.; Wu, Y.C.; Sung, P.J. Carijoside A, a bioactive sterol glycoside from an octocoral Carijoa sp. (Clavulariidae). Mar. Drugs 2010, 8, 2014–2020. [Google Scholar] [CrossRef]
- Cheng, S.Y.; Wen, Z.H.; Chiou, S.F.; Tsai, C.W.; Wang, S.K.; Hsu, C.H.; Dai, C.F.; Chiang, M.Y.; Wang, W.H.; Duh, C.Y. Ceramide and cerebrosides from the octocoral Sarcophyton ehrenbergi. J. Nat. Prod. 2009, 72, 465–468. [Google Scholar] [CrossRef]
- Cheng, S.Y.; Huang, K.J.; Wang, S.K.; Wen, Z.H.; Chen, P.W.; Duh, C.Y. Antiviral and anti-inflammatory metabolites from the soft coral Sinularia capillosa. J. Nat. Prod. 2010, 73, 771–775. [Google Scholar] [CrossRef]
- Wen, Z.H.; Chao, C.H.; Wu, M.H.; Sheu, J.H. A neuroprotective sulfone of marine origin and the in vivo anti-inflammatory activity of an analogue. Eur. J. Med. Chem. 2010, 45, 5998–6004. [Google Scholar] [CrossRef]
- Kitamura, Y.; Kosaka, T.; Kakimura, J.I.; Matsuoka, Y.; Kohno, Y.; Nomura, Y.; Taniguchi, T. Protective effects of the antiparkinsonian drugs talipexole and pramipexole against 1-methyl-4-phenylpyridinium-induced apoptotic death in human neuroblastoma SH-SY5Y cells. Mol. Pharmacol. 1998, 54, 1046–1054. [Google Scholar]
- Blum, D.; Torch, S.; Lambeng, N.; Nissou, M.; Benabid, A.L.; Sadoul, R.; Verna, J.M. Molecular pathways involved in the neurotoxicity of 6-OHDA, dopamine and MPTP: Contribution to the apoptotic theory in Parkinson’s disease. Prog. Neurobiol. 2001, 65, 137–172. [Google Scholar]
- Sung, P.J.; Chen, B.Y.; Lin, M.R.; Hwang, T.L.; Wang, W.H.; Sheu, J.H.; Wu, Y.C. Excavatoids E and F: Discovery of two new briaranes from the cultured octocoral Briareum excavatum. Mar. Drugs 2009, 7, 472–482. [Google Scholar] [CrossRef]
© 2013 by the authors; licensee MDPI, Basel, Switzerland. This article is an open access article distributed under the terms and conditions of the Creative Commons Attribution license (http://creativecommons.org/licenses/by/3.0/).
Share and Cite
Wei, W.-C.; Sung, P.-J.; Duh, C.-Y.; Chen, B.-W.; Sheu, J.-H.; Yang, N.-S. Anti-Inflammatory Activities of Natural Products Isolated from Soft Corals of Taiwan between 2008 and 2012. Mar. Drugs 2013, 11, 4083-4126. https://doi.org/10.3390/md11104083
Wei W-C, Sung P-J, Duh C-Y, Chen B-W, Sheu J-H, Yang N-S. Anti-Inflammatory Activities of Natural Products Isolated from Soft Corals of Taiwan between 2008 and 2012. Marine Drugs. 2013; 11(10):4083-4126. https://doi.org/10.3390/md11104083
Chicago/Turabian StyleWei, Wen-Chi, Ping-Jyun Sung, Chang-Yih Duh, Bo-Wei Chen, Jyh-Horng Sheu, and Ning-Sun Yang. 2013. "Anti-Inflammatory Activities of Natural Products Isolated from Soft Corals of Taiwan between 2008 and 2012" Marine Drugs 11, no. 10: 4083-4126. https://doi.org/10.3390/md11104083
APA StyleWei, W.-C., Sung, P.-J., Duh, C.-Y., Chen, B.-W., Sheu, J.-H., & Yang, N.-S. (2013). Anti-Inflammatory Activities of Natural Products Isolated from Soft Corals of Taiwan between 2008 and 2012. Marine Drugs, 11(10), 4083-4126. https://doi.org/10.3390/md11104083

