Paralemnolide A, an Unprecedented Bisnorsesquiterpene from the Taiwanese Soft Coral Paralemnalia thyrsoides
Abstract
:1. Introduction


2. Results and Discussion
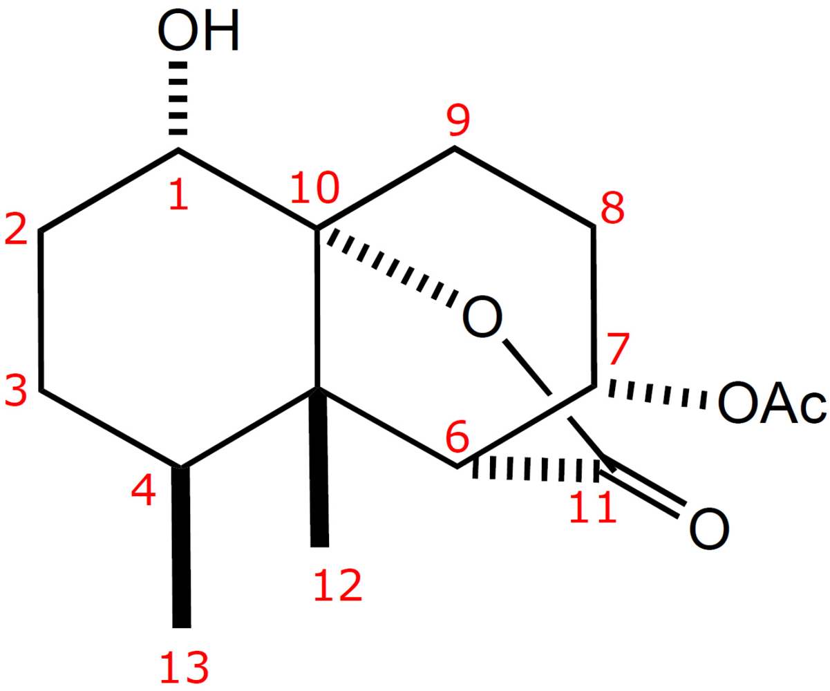
| C/H | 13C | 1H | |
|---|---|---|---|
| 1 | 69.8 | CH b | 3.46 dd (11.6, 5.2) c |
| 2α | 30.5 | CH2 | 1.63 m |
| 2β | 1.95 m | ||
| 3α | 27.8 | CH2 | 1.59 m |
| 3β | 1.35 m | ||
| 4 | 35.0 | CH | 1.59 m |
| 5 | 47.9 | qC | |
| 6 | 53.3 | CH | 2.70 d (2.4) |
| 7 | 66.7 | CH | 5.17 ddd (10.8, 6.8, 2.4) |
| 8α | 24.2 | CH2 | 1.63 m |
| 8β | 2.24 m | ||
| 9α | 25.3 | CH2 | 2.57 m |
| 9β | 1.73 m | ||
| 10 | 89.2 | qC | |
| 11 | 175.0 | qC | |
| 12 | 10.4 | CH3 | 1.03 s |
| 13 | 15.8 | CH3 | 0.85 d (6.8) |
| OAc | 170.6 | qC | |
| 21.2 | CH3 | 2.09 s |




3. Experimental Section
3.1. General Experimental Procedures
3.2. Biological Material
3.3. Extraction and Isolation
3.4. Cytotoxicity Assay
3.5. Anti-HCMV Assay
4. Conclusion
Acknowledgments
References
- Su, J.Y.; Zhong, Y.L.; Zeng, L.M. Two new sesquiterpenoids from the soft coral Paralemnalia thyrsoides. J. Nat. Prod. 1993, 56, 288–291. [Google Scholar] [CrossRef]
- Bowden, B.F.; Coll, J.C.; Mitchell, S.J. Studies of Australian soft corals. XIX. Two newsesquiterpenes with the nardosinane skeleton from a Paralemnalia species. Aust. J. Chem. 1980, 33, 885–890. [Google Scholar] [CrossRef]
- Izac, R.R.; Schneider, P.; Swain, M.; Fenical, W. New nor-sesquiterpenoids of apparent nardosinane origin from the pacific soft-coral Paralemnalia thyrsoides. Tetrahedron Lett. 1982, 23, 817–820. [Google Scholar] [CrossRef]
- Huang, H.-C.; Chao, C.-H.; Su, J.-H.; Hsu, C.-H.; Chen, S.-P.; Kuo, Y.-H.; Sheu, J.-H. Neolemnane-type sesquiterpenoids from a Formosan soft coral Paralemnalia thyrsoides. Chem. Pharm. Bull. 2007, 55, 876–880. [Google Scholar] [CrossRef]
- Wang, G.-H.; Huang, H.-C.; Su, J.-H.; Wu, Y.-C.; Sheu, J.-H. Paralemnolins J–P, new sesquiterpenoids from the soft coral Paralemnalia thyrsoides. Chem. Pharm. Bull. 2010, 58, 30–33. [Google Scholar] [CrossRef]
- Huang, H.-C.; Chao, C.-H.; Liao, J.-H.; Chiang, M.Y.; Dai, C.-F.; Wu, Y.-C.; Sheu, J.-H. A novel chlorinated norsesquiterpenoid and two related new metabolites from the soft coral Paralemnalia thyrsoides. Tetrahedron Lett. 2005, 46, 7711–7714. [Google Scholar] [CrossRef]
- Huang, H.-C.; Wen, Z.-H.; Chao, C.-H.; Ahmed, A.F.; Chiang, M.Y.; Kuo, Y.-H.; Hsu, C.-H.; Chen, S.-P.; Sheu, J.-H. Novel sesquiterpenoids from the Formosan soft coral Paralemnalia thyrsoides. Tetrahedron Lett. 2006, 47, 8751–8755. [Google Scholar]
- Daloze, D.; Braekman, J.C.; Georget, P.; Tursch, B. Chemical studies of marine invertebrates. XXII. Two novel sesquiterpenes from soft corals of the genera Lemnalia and Paralemnalia. Bull. Soc. Chim. Belg. 1977, 86, 47–54. [Google Scholar]
- Ohtani, I.; Kusumi, T.; Kashman, Y.; Kakisawa, H.J. Am. Chem. Soc. 1991, 113, 4092–4096.
- Hou, R.-S.; Duh, C.-Y.; Chiang, M.Y.; Lin, C.-N. Sinugibberol, a new cytotoxic cembranoid diterpene from the soft coral Sinularia gibberosa. J. Nat. Prod. 1995, 58, 1126–1130. [Google Scholar] [CrossRef]
- Geran, R.I.; Greenberg, N.H.; MacDonald, M.M.; Schumacher, A.M.; Abbott, B.J. Protocols for screening chemical agents and natural products against animal tumors and other biological syatems. Cancer Chemother. Rep. 1972, 3, 1–91. [Google Scholar]
- Stevens, M.; Balzarini, J.; Tabarrini, O.; Andrei, G.; Snoeck, R.; Cecchetti, V.; Fravolini, A.; de Clercq, E.; Pannecouque, C. Cell-dependent interference of a series of new 6-aminoquinolone derivatives with viral (HIV/CMV) transactivation. J. Antimicrob. Chemother. 2005, 56, 847–855. [Google Scholar]
- Samples Availability: Not available.
Supplementary Files
© 2012 by the authors; licensee MDPI, Basel, Switzerland. This article is an open-access article distributed under the terms and conditions of the Creative Commons Attribution license (http://creativecommons.org/licenses/by/3.0/).
Share and Cite
Wang, S.-K.; Lee, Y.-S.; Duh, C.-Y. Paralemnolide A, an Unprecedented Bisnorsesquiterpene from the Taiwanese Soft Coral Paralemnalia thyrsoides. Mar. Drugs 2012, 10, 1528-1535. https://doi.org/10.3390/md10071528
Wang S-K, Lee Y-S, Duh C-Y. Paralemnolide A, an Unprecedented Bisnorsesquiterpene from the Taiwanese Soft Coral Paralemnalia thyrsoides. Marine Drugs. 2012; 10(7):1528-1535. https://doi.org/10.3390/md10071528
Chicago/Turabian StyleWang, Shang-Kwei, Yu-Sheng Lee, and Chang-Yih Duh. 2012. "Paralemnolide A, an Unprecedented Bisnorsesquiterpene from the Taiwanese Soft Coral Paralemnalia thyrsoides" Marine Drugs 10, no. 7: 1528-1535. https://doi.org/10.3390/md10071528
APA StyleWang, S.-K., Lee, Y.-S., & Duh, C.-Y. (2012). Paralemnolide A, an Unprecedented Bisnorsesquiterpene from the Taiwanese Soft Coral Paralemnalia thyrsoides. Marine Drugs, 10(7), 1528-1535. https://doi.org/10.3390/md10071528
