Clinical and Psychological Impact of COVID-19 on Maintenance Hemodialysis Patients: Hospitalization Burden, De Novo Anxiolytic Use, and Long-Term Survival
Abstract
1. Introduction
2. Materials and Methods
2.1. Study Population
2.2. Study Design

2.3. Definitions
2.4. Data Collection
- (i)
- Demographic and biometric data: age, gender, HD vintage, body mass index (BMI), body surface area (BSA).
- (ii)
- Data regarding HD procedure: Kt/V, as a marker of HD efficacy, has a target between 1.2 and 1.4 in the case of patients receiving thrice-weekly HD. The HD machines available in our hospital were Fresenius 4008s and Braun Dialog+. During the study, we used synthetic dialyzers (Elisio/Nipro/Akita/Japan, FX-Fresenius/Saarland/Germany, Diacap Pro Braun/Hesse/Germany) with a surface area between 1.9 and 2.1 m2, ultrafiltration coefficient (Kuf) 75–82 mL/h/mmHg, and gamma ray sterilization.
- (iii)
- Laboratory data: hemoglobin (Hb), albumin, total cholesterol, hormone (iPTH), calcium, phosphate, D dimer, procalcitonin. For Hb assessment, the UNICEL hematology analyzer DxH 900, Beckman Coulter, Danvers, MA, USA, was used, based on the impedance technique. Biochemical parameters such as hs-CRP, albumin, total cholesterol, calcium, phosphate, and iPTH were measured using a turbidimetric technique on the B04078-AU5811 chemistry analyzer, Beckman Coulter, Danvers, MA, USA. Procalcitonin was measured using the chemoluminescent microparticle immunoassay (CMIA) technique on the ALINITY AC03944 analyser (Abbott Laboratories, North Chicago, IL, USA).
- (iv)
- Comorbidities: diabetes mellitus, arterial hypertension, coronary artery disease and malignancies.
- (v)
- Medication during hospitalization: (a) antiviral medication included lopinavir/ritonavir (LPV/RTV) (Kaletra), favipiravir (FPV) (FluGuard), remdesivir (RDV) (Veklury), darunavir + ritonavir (Prezista + Norvir) (DRV/RTV), and molnupiravir (MPV) (Lagevrio); (b) the antibiotics represented by cefalosporins and carbapenems (c) anticoagulants: oral or low MW heparins. (d) corticotherapy: dexamethasone or HHC; (e) anxiolytics: lorazepam and clonazepam.
3. Results
3.1. Phase 1—In-Hospital Outcomes
3.1.1. The Main Characteristics of Hospitalized Versus Non-Hospitalized COVID-19-Positive Patients Undergoing Chronic Hemodialysis: Overall Mortality
General Characteristics of COVID-19 HD Hospitalized Patients
Characteristics of Hospitalized HD Patients with Severe COVID-19
Comparative Evaluation of Mortality in Hospitalized COVID-19 HD Patients
3.1.2. Anxiolytic Treatment During COVID-19 Hospitalization in HD Patients
Characteristics of HD Patients Who Require De Novo Anxiolytics During Hospitalization for COVID-19
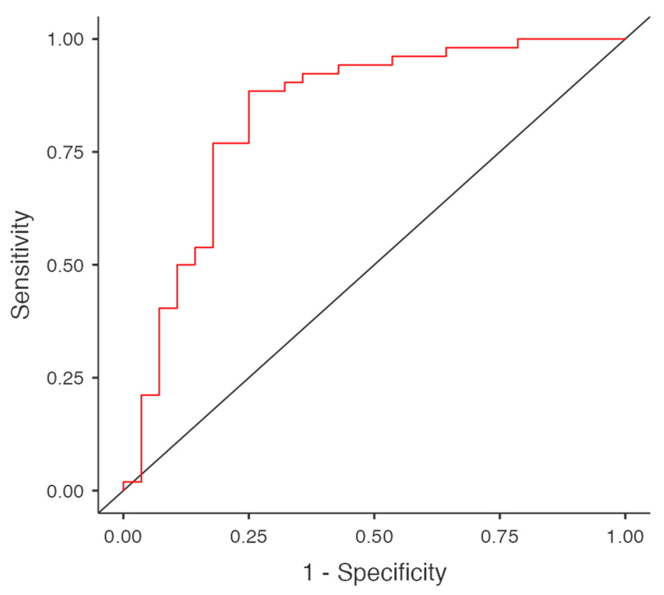
Predictors for Anxiolytic Requirement in HD Patients During Hospitalization for COVID-19
3.2. Phase 2—Long-Term Follow-Up
3.2.1. Comparative Characteristics of COVID-Positive and COVID-Negative Patients in a Hemodialysis Program: Overall Mortality During the Pandemic in HD Patients
3.2.2. Vaccination Efficacy

4. Discussion
4.1. Hospitalization of HD Patients in the Context of SARS-CoV-2 Infection
4.2. Severe Forms of COVID-19 in HD Patients
4.3. Changes in Psychoemotional Behavior in the Context of COVID-19
4.4. Mortality in the Context of COVID-19 Among HD Patients: The Role of Vaccination in the Course of SARS-CoV-2 Infection
5. Conclusions
Supplementary Materials
Author Contributions
Funding
Institutional Review Board Statement
Informed Consent Statement
Data Availability Statement
Acknowledgments
Conflicts of Interest
References
- Ratiu, I.A.; Babes, V.V.; Hocopan, O.; Ratiu, C.A.; Croitoru, C.A.; Moisa, C.; Blaj-Tunduc, I.P.; Marian, A.M.; Babeș, E.E. The Burden of Heart Failure in End-Stage Renal Disease: Insights from a Retrospective Cohort of Hemodialysis Patients. J. Clin. Med. 2025, 14, 8556. [Google Scholar] [CrossRef] [PubMed] [PubMed Central]
- Kaur, R.; Singh, R. Mechanistic insights into CKD-MBD-related vascular calcification and its clinical implications. Life Sci. 2022, 311, 121148. [Google Scholar] [CrossRef] [PubMed]
- Covic, A.; Vervloet, M.; Massy, Z.A.; Torres, P.U.; Goldsmith, D.; Brandenburg, V.; Mazzaferro, S.; Evenepoel, P.; Bover, J.; Apetrii, M.; et al. Bone and mineral disorders in chronic kidney disease: Implications for cardiovascular health and ageing in the general population. Lancet Diabetes Endocrinol. 2018, 6, 319–331. [Google Scholar] [CrossRef] [PubMed]
- Kakani, E.; Elyamny, M.; Ayach, T.; El-Husseini, A. Pathogenesis and management of vascular calcification in CKD and dialysis patients. Semin. Dial. 2019, 32, 553–561. [Google Scholar] [CrossRef] [PubMed]
- Ratiu, I.A.; Babeș, E.E.; Georgescu, L.M.; Hocopan, O.; Dejeu, D.; Moisa, C.; Gavra, D.N.; Ratiu, C.A. Understanding the Drivers of Hypothyroidism in Patients Undergoing Chronic Hemodialysis. Diagnostics 2026, 16, 177. [Google Scholar] [CrossRef]
- Wu, H.C.; Tseng, S.F.; Wang, W.J.; Chen, H.J.; Lee, L.C. Association between obesity with low muscle mass and dialysis mortality. Intern. Med. J. 2017, 47, 1282–1291. [Google Scholar] [CrossRef] [PubMed]
- Ratiu, I.A.; Moisa, C.F.; Țiburcă, L.; Hagi-Islai, E.; Ratiu, A.; Bako, G.C.; Ratiu, C.A.; Stefan, L. Antimicrobial Treatment Challenges in the Management of Infective Spondylodiscitis Associated with Hemodialysis: A Comprehensive Review of Literature and Case Series Analysis. Antibiotics 2024, 13, 284. [Google Scholar] [CrossRef] [PubMed] [PubMed Central]
- Marc, L.; Mihaescu, A.; Lupusoru, R.; Schiller, O.; Bob, F.; Chisavu, L.; Bende, F.; Sirli, R.; Schiller, A. Hepatitis C and hepatitis B virus infection in hemodialysis patients after nationwide direct antiviral agents therapy-experience of 10 Romanian HD centers. Int. Urol. Nephrol. 2023, 55, 2951–2958. [Google Scholar] [CrossRef] [PubMed] [PubMed Central]
- Graterol Torres, F.; Molina, M.; Soler-Majoral, J.; Romero-González, G.; Rodríguez Chitiva, N.; Troya-Saborido, M.; Socias Rullan, G.; Burgos, E.; Paúl Martínez, J.; Urrutia Jou, M.; et al. Evolving Concepts on Inflammatory Biomarkers and Malnutrition in Chronic Kidney Disease. Nutrients 2022, 14, 4297. [Google Scholar] [CrossRef] [PubMed] [PubMed Central]
- Ebert, T.; Neytchev, O.; Witasp, A.; Kublickiene, K.; Stenvinkel, P.; Shiels, P.G. Inflammation and Oxidative Stress in Chronic Kidney Disease and Dialysis Patients. Antioxid. Redox Signal. 2021, 35, 1426–1448. [Google Scholar] [CrossRef] [PubMed]
- Campo, S.; Lacquaniti, A.; Trombetta, D.; Smeriglio, A.; Monardo, P. Immune System Dysfunction and Inflammation in Hemodialysis Patients: Two Sides of the Same Coin. J. Clin. Med. 2022, 11, 3759. [Google Scholar] [CrossRef] [PubMed] [PubMed Central]
- Antonescu, A.; Vicaș, S.; Teușdea, A.C.; Rațiu, I.A.; Antonescu, I.A.; Micle, O.; Vicaș, L.; Mureșan, M.; Gligor, F. The levels of serum biomarkers of inflammation in hemodialysis patient. Farmacia 2014, 62, 950–960. [Google Scholar]
- Ng, H.J.; Tan, W.J.; Mooppil, N.; Newman, S.; Griva, K. Prevalence and patterns of depression and anxiety in hemodialysis patients: A 12-month prospective study on incident and prevalent populations. Br. J. Health Psychol. 2015, 20, 374–395. [Google Scholar] [CrossRef] [PubMed]
- World Health Organization. Depression. Available online: https://www.who.int/news-room/fact-sheets/detail/depression (accessed on 10 January 2025).
- Gerogianni, G.; Lianos, E.; Kouzoupis, A.; Polikandrioti, M.; Grapsa, E. The role of socio-demographic factors in depression and anxiety of patients on hemodialysis: An observational cross-sectional study. Int. Urol. Nephrol. 2018, 50, 143–154. [Google Scholar] [CrossRef] [PubMed]
- Schouten, R.W.; Haverkamp, G.L.; Loosman, W.L.; Chandie Shaw, P.K.; van Ittersum, F.J.; Smets, Y.F.C.; Vleming, L.J.; Dekker, F.W.; Honig, A.; Siegert, C.E.H. Anxiety Symptoms, Mortality, and Hospitalization in Patients Receiving Maintenance Dialysis: A Cohort Study. Am. J. Kidney Dis. 2019, 74, 158–166. [Google Scholar] [CrossRef] [PubMed]
- Du, Z.; Chu, T.; Dai, F.; Mao, H.; Zhao, J. Correlation analysis of anxiety, depression, and sleep quality in end-stage renal disease patients undergoing maintenance hemodialysis. Medicine 2025, 104, e44433. [Google Scholar] [CrossRef] [PubMed] [PubMed Central]
- Ma, S.J.; Wang, W.J.; Tang, M.; Chen, H.; Ding, F. Mental health status and quality of life in patients with end-stage renal disease undergoing maintenance hemodialysis. Ann. Palliat. Med. 2021, 10, 6112–6121. [Google Scholar] [CrossRef] [PubMed]
- Ok, E.; Aydin Sayilan, A.; Sayilan, S.; Sousa, C.N.; Ozen, N. Noise levels in the dialysis unit and its relationship with sleep quality and anxiety in patients receiving HD: A pilot study. Ther. Apher. Dial. 2022, 26, 425–433. [Google Scholar] [CrossRef] [PubMed]
- Natale, P.; Palmer, S.C.; Ruospo, M.; Saglimbene, V.M.; Rabindranath, K.S.; Strippoli, G.F. Psychosocial interventions for preventing and treating depression in dialysis patients. Cochrane Database Syst. Rev. 2019, 12, CD004542. [Google Scholar] [CrossRef] [PubMed] [PubMed Central]
- Friedli, K.; Almond, M.; Day, C.; Chilcot, J.; da Silva Gane, M.; Davenport, A.; Guirguis, A.; Fineberg, N.; Spencer, B.; Wellsted, D.; et al. A study of sertraline in dialysis (ASSertID): A protocol for a pilot randomised controlled trial of drug treatment for depression in patients undergoing haemodialysis. BMC Nephrol. 2015, 16, 172. [Google Scholar] [CrossRef]
- ClinicalTrials.gov. Study NCT02238977. Available online: https://www.clinicaltrials.gov/study/NCT02238977?cond=hemodialysis&term=depression&intr=antidepressants&rank=1 (accessed on 4 September 2023).
- Hedayati, S.S.; Yalamanchili, V.; Finkelstein, F.O. A practical approach to the treatment of depression in patients with chronic kidney disease and end-stage renal disease. Kidney Int. 2012, 81, 247–255. [Google Scholar] [CrossRef]
- Reinhold, J.A.; Rickels, K. Pharmacological treatment for generalized anxiety disorder in adults: An update. Expert Opin. Pharmacother. 2015, 16, 1669–1681. [Google Scholar] [CrossRef] [PubMed]
- Constantino, J.L.; Fonseca, V.A. Pharmacokinetics of antidepressants in patients undergoing hemodialysis: A narrative literature review. Braz. J. Psychiatry 2019, 41, 441–446. [Google Scholar] [CrossRef] [PubMed]
- Nagler, E.V.; Webster, A.C.; Vanholder, R.; Zoccali, C. Antidepressants for depression in stage 3–5 chronic kidney disease: A systematic review of pharmacokinetics, efficacy and safety with recommendations by European Renal Best Practice (ERBP). Nephrol. Dial. Transplant. 2012, 27, 3736–3745. [Google Scholar] [CrossRef] [PubMed]
- Collomb, M.; Sens, F.; Sanchez, S.; Jolivot, A.; Pivot, C.; Juillard, L.; Paillet, C. Long-term benzodiazepine use among dialysis patients: A descriptive study. Nephrol. Ther. 2015, 11, 226–233. [Google Scholar] [CrossRef] [PubMed]
- Winkelmayer, W.C.; Mehta, J.; Wang, P.S. Benzodiazepine use and mortality of incident dialysis patients in the United States. Kidney Int. 2007, 72, 1388–1393. [Google Scholar] [CrossRef]
- Muzaale, A.D.; Daubresse, M.; Bae, S.; Chu, N.M.; Lentine, K.L.; Segev, D.L.; McAdams-DeMarco, M. Benzodiazepines, Codispensed Opioids, and Mortality among Patients Initiating Long-Term In-Center Hemodialysis. Clin. J. Am. Soc. Nephrol. 2020, 15, 794–804. [Google Scholar] [CrossRef] [PubMed] [PubMed Central]
- Bonenkamp, A.A.; Druiventak, T.A.; van Eck van der Sluijs, A.; van Ittersum, F.J.; van Jaarsveld, B.C.; Abrahams, A.C. DOMESTICO Study Group. The Impact of COVID-19 on the mental health of dialysis patients. J. Nephrol. 2021, 34, 337–344. [Google Scholar] [CrossRef] [PubMed] [PubMed Central]
- Wang, Y.; Kala, M.P.; Jafar, T.H. Factors associated with psychological distress during the coronavirus disease 2019 (COVID-19) pandemic on the predominantly general population: A systematic review and meta-analysis. PLoS ONE 2020, 15, e0244630. [Google Scholar] [CrossRef] [PubMed] [PubMed Central]
- Yu, J.Y.; Kim, J.S.; Hong, C.M.; Lee, K.Y.; Cho, N.J.; Park, S.; Gil, H.W.; Lee, E.Y. Psychological distress of patients with end-stage kidney disease undergoing dialysis during the 2019 coronavirus disease pandemic: A cross-sectional study in a University Hospital. PLoS ONE 2021, 16, e0260929. [Google Scholar] [CrossRef] [PubMed] [PubMed Central]
- Infectious Diseases Society of America. COVID-19 Guideline Treatment and Management. Available online: https://www.idsociety.org/practice-guideline/covid-19-guideline-treatment-and-management/ (accessed on 7 April 2026).
- Fisher, M.; Yunes, M.; Mokrzycki, M.H.; Golestaneh, L.; Alahiri, E.; Coco, M. Chronic Hemodialysis Patients Hospitalized with COVID-19: Short-term Outcomes in the Bronx, New York. Kidney360 2020, 1, 755–762. [Google Scholar] [CrossRef] [PubMed] [PubMed Central]
- Sevinc, C.; Demirci, R.; Timur, O. Predicting hospital mortality in COVID-19 hemodialysis patients with developed scores. Semin. Dial. 2021, 34, 347–359. [Google Scholar] [CrossRef] [PubMed] [PubMed Central]
- Munoz Mendoza, J.; Aponte-Becerra, L.; Torres, C.; Rozas, J.; Francois, P.; Salcedo, J.; Barreto, A.; Rodriguez, J.; Suarez, M.; Fornoni, A.; et al. One-year all-cause mortality in hospitalized patients with COVID-19 and end-stage renal disease undergoing hemodialysis. Clin. Nephrol. 2023, 99, 51–57. [Google Scholar] [CrossRef] [PubMed]
- Grujic, N.; Pešić, S.; Naumovic, R. MO851: Incidence and mortality of coronavirus disease (COVID-19) in hemodialysis patients. Nephrol. Dial. Transplant. 2021, 36, gfab098.0043. [Google Scholar] [CrossRef] [PubMed Central]
- Micle, O.; Vicas, I.S.; Ratiu, A.I.; Muresan, M. Cystatin C, a low molecular weight protein in chronic renal failure. Farmacia 2015, 63, 872–876. [Google Scholar]
- Rațiu, I.A.; Rațiu, C.A.; Miclăuş, V.; Boşca, A.B.; Turan Kazancioğlu, R.; Constantin, A.M.; Bako, G.C.; Şovrea, A.S. The pioneer use of a modified PRGF-Endoret® technique for wound healing in a hemodialyzed diabetic patient in a terminal stage of renal disease. Rom. J. Morphol. Embryol. 2021, 62, 465–473. [Google Scholar] [CrossRef] [PubMed] [PubMed Central]
- Ratiu, I.A.; Mihaescu, A.; Olariu, N.; Ratiu, C.A.; Cristian, B.G.; Ratiu, A.; Indries, M.; Fratila, S.; Dejeu, D.; Teusdea, A.; et al. Hepatitis C Virus Infection in Hemodialysis Patients in the Era of Direct-Acting Antiviral Treatment: Observational Study and Narrative Review. Medicina 2024, 60, 2093. [Google Scholar] [CrossRef] [PubMed] [PubMed Central]
- RECOVERY Trial. Available online: https://www.recoverytrial.net (accessed on 20 November 2025).
- Angus, D.C.; Berry, S.; Lewis, R.J.; Al-Beidh, F.; Arabi, Y.; van Bentum-Puijk, W.; Bhimani, Z.; Bonten, M.; Broglio, K.; Brunkhorst, F.; et al. The REMAP-CAP (Randomized Embedded Multifactorial Adaptive Platform for Community-acquired Pneumonia) Study. Rationale and Design. Ann. Am. Thorac. Soc. 2020, 17, 879–891. [Google Scholar] [CrossRef] [PubMed] [PubMed Central]
- Elmekaty, E.; Maklad, A.; Abouelhassan, R.; Munir, W.; Ibrahim, M.I.M.; Nair, A.; Alibrahim, R.; Iqbal, F.; Al Bishawi, A.; Abdelmajid, A.; et al. Efficacy of Anakinra in the Management of Patients with COVID-19 Infection: A Randomized Clinical Trial. medRxiv 2022. [Google Scholar] [CrossRef]
- Kharazmi, A.B.; Moradi, O.; Haghighi, M.; Kouchek, M.; Manafi-Rasi, A.; Raoufi, M.; Shoaei, S.D.; Hadavand, F.; Nabavi, M.; Miri, M.M.; et al. A randomized controlled clinical trial on efficacy and safety of anakinra in patients with severe COVID-19. Immun. Inflamm. Dis. 2022, 10, 201–208. [Google Scholar] [CrossRef]
- Ozkan Kurtgoz, P.; Sackan, F.; Kızılarslanoglu, M.C.; Bilgin, O.; Guney, I. Effect of anxiety on COVID-19 infection in hemodialysis patients. Ther. Apher. Dial. 2022, 26, 775–780. [Google Scholar] [CrossRef] [PubMed] [PubMed Central]
- Kahl, K.G.; Correll, C.U. Management of Patients with Severe Mental Illness During the Coronavirus Disease 2019 Pandemic. JAMA Psychiatry 2020, 77, 977–978. [Google Scholar] [CrossRef] [PubMed]
- Dashiell-Earp, C.N.; Bell, D.S.; Ang, A.O.; Uslan, D.Z. Do physicians spend less time with patients in contact isolation?: A time-motion study of internal medicine interns. JAMA Intern. Med. 2014, 174, 814–815. [Google Scholar] [CrossRef] [PubMed] [PubMed Central]
- Purssell, E.; Gould, D.; Chudleigh, J. Impact of isolation on hospitalised patients who are infectious: Systematic review with meta-analysis. BMJ Open 2020, 10, e030371. [Google Scholar] [CrossRef] [PubMed] [PubMed Central]
- Korte, S.M. Corticosteroids in relation to fear, anxiety and psychopathology. Neurosci. Biobehav. Rev. 2001, 25, 117–142. [Google Scholar] [CrossRef] [PubMed]
- Nasereddin, L.; Alnajjar, O.; Bashar, H.; Abuarab, S.F.; Al-Adwan, R.; Chellappan, D.K.; Barakat, M. Corticosteroid-Induced Psychiatric Disorders: Mechanisms, Outcomes, and Clinical Implications. Diseases 2024, 12, 300. [Google Scholar] [CrossRef]
- Liu, Y.; Ho, R.C.; Mak, A. Interleukin (IL)-6, tumour necrosis factor alpha (TNF-α) and soluble interleukin-2 receptors (sIL-2R) are elevated in patients with major depressive disorder: A meta-analysis and meta-regression. J. Affect. Disord. 2012, 139, 230–239. [Google Scholar] [CrossRef] [PubMed]
- Mak, I.W.; Chu, C.M.; Pan, P.C.; Yiu, M.G.; Ho, S.C.; Chan, V.L. Risk factors for chronic post-traumatic stress disorder (PTSD) in SARS survivors. Gen. Hosp. Psychiatry 2010, 32, 590–598. [Google Scholar] [CrossRef] [PubMed] [PubMed Central]
- Coin, A.; Malara, A.; Noale, M.; Trevisan, C.; Devita, M.; Abbatecola, A.M.; Gareri, P.; Del Signore, S.; Bellelli, G.; Fumagalli, S.; et al. Real-World Use of Trazodone in Older Persons in Long Term Care Setting: A Retrospective Study. Int. J. Geriatr. Psychiatry 2024, 39, e70009. [Google Scholar] [CrossRef] [PubMed]
- Mohebbi, N.; Talebi, A.; Moghadamnia, M.; Nazari Taloki, Z.; Shakiba, A. Drug Interactions of Psychiatric and COVID-19 Medications. Basic Clin. Neurosci. 2020, 11, 185–200. [Google Scholar] [CrossRef] [PubMed] [PubMed Central]
- Hesse, L.M.; von Moltke, L.L.; Greenblatt, D.J. Clinically important drug interactions with zopiclone, zolpidem and zaleplon. CNS Drugs 2003, 17, 513–532. [Google Scholar] [CrossRef] [PubMed]
- Dybul, M.; Fauci, A.S.; Bartlett, J.G.; Kaplan, J.E.; Pau, A.K. Guidelines for using antiretroviral agents among HIV-infected adults and adolescents. Ann. Intern. Med. 2002, 137, 381–433. [Google Scholar] [CrossRef] [PubMed]
- Kurvits, K.; Toompere, K.; Jaanson, P.; Uusküla, A. The COVID-19 pandemic and the use of benzodiazepines and benzodiazepine-related drugs in Estonia: An interrupted time-series analysis. Child Adolesc. Psychiatry Ment. Health 2024, 18, 66. [Google Scholar] [CrossRef] [PubMed] [PubMed Central]
- Baltes, P.B.; Baltes, M.M. (Eds.) Successful Aging: Perspectives from the Behavioral Sciences; Cambridge University Press: Cambridge, UK, 1990; pp. 1–34. [Google Scholar]
- Bossola, M.; Mariani, I.; Antocicco, M.; Pepe, G.; Di Stasio, E. Frailty, All-Cause Mortality, and Hospitalization in Patients on Maintenance Hemodialysis: A Systematic Review and Meta-Analysis. J. Clin. Med. 2025, 14, 4914. [Google Scholar] [CrossRef] [PubMed]
- Ratiu, I.A.; Filip, L.; Moisa, C.; Ratiu, C.A.; Olariu, N.; Grosu, I.D.; Bako, G.C.; Ratiu, A.; Indries, M.; Fratila, S.; et al. The Impact of COVID-19 on Long-Term Mortality in Maintenance Hemodialysis: 5 Years Retrospective Cohort Study. J. Clin. Med. 2025, 14, 7081. [Google Scholar] [CrossRef] [PubMed] [PubMed Central]
- Yamada, T.; Sakai, Y.; Kashiwagi, T.; Iwabu, M. Prognostic Factors for Mortality in Maintenance Hemodialysis Patients Infected with SARS-CoV-2. J. Nippon Med. Sch. 2024, 91, 520–526. [Google Scholar] [CrossRef] [PubMed]
- Brkovic, V.; Nikolic, G.; Baralic, M.; Kravljaca, M.; Milinkovic, M.; Pavlovic, J.; Lausevic, M.; Radovic, M. A Study on Mortality Predictors in Hemodialysis Patients Infected with COVID-19: Impact of Vaccination Status. Vaccines 2024, 12, 2. [Google Scholar] [CrossRef]
- Hu, R.; Yin, J.; He, T.; Zhu, Y.; Li, Y.; Gao, J.; Ye, X.; Hu, L.; Li, Y. Impact of COVID-19 Vaccination on Mortality and Clinical Outcomes in Hemodialysis Patients. Vaccines 2024, 12, 799. [Google Scholar] [CrossRef]




| Parameter | Hospitalized n = 80 | Non-Hospitalized n = 69 | p |
|---|---|---|---|
| Age (years) | 67.638 ± 10.934 | 65.957 ± 12.756 | 0.388 |
| Gender (male) | 46 (57.5%) | 34 (49.27%) | 0.766 |
| BMI | 27.050 ± 6.412 | 26.043 ± 5.369 | 0.394 |
| BSA | 1.902 ± 0.262 | 1.853 ± 0.241 | 0.235 |
| HD vintage | 6.475 ± 5.625 | 7.662 ± 5.468 | 0.197 |
| Kt/V | 1.524 ± 0.323 | 1.616 ± 0.293 | 0.074 |
| vascular access | 54 (67.5%) | 47 (68.11%) | 0.936 |
| DM | 29 (36.25%) | 21 (30.43%) | 0.453 |
| AHT | 71 (88.75%) | 65 (94.2%) | 0.240 |
| CAD | 34 (42.5%) | 29 (42.02%) | 0.954 |
| Hb (g/dL) | 10.636 ± 1.616 | 10.713 ± 1.397 | 0.758 |
| iPTH (pg/mL) | 321.15 ± 326.56 | 387.75 ± 357.67 | 0.254 |
| Ca (mg/dL) | 8.88 ± 0.988 | 8.968 ± 0.94 | 0.585 |
| P (mg/dL) | 5.193 ± 2.058 | 5.037 ± 1.626 | 0.620 |
| Hs CRP (mg/dL) | 109.121 ± 99.298 | 23.568 ± 31.89 | <0.001 |
| Albumin (g/L) | 3.68 ± 0.605 | 3.811 ± 0.388 | 0.129 |
| T-chol (mg/dL) | 153.988 ± 41.072 | 152.362 ± 37.762 | 0.803 |
| AVT | 74 (92.5%) | 0 | <0.001 |
| AxT | 52 (65%) | N/A | |
| vaccination | 17 (21.25%) | 63 (91.3%) | <0.001 |
| Death | 56 (70%) | 33 (43.47%) | <0.006 |
| Parameter | Severe/Critical Disease n = 36 | Moderate/Mild Disease n = 44 | p |
|---|---|---|---|
| age | 66.861 ± 1.882 | 68.273 ± 1.616 | 0.569 |
| Gender (male) | 22 (66.66%) | 24 (54.54%) | 0.555 |
| BMI | 27.886 ± 1.137 | 26.055 ± 0.906 | 0.206 |
| HD vintage | 6.028 ± 0.914 | 6.841 ± 0.871 | 0.524 |
| vascular access | 23 (63.88%) | 31 (70.45%) | 0.533 |
| DM | 17 (47.22%) | 12 (27.27%) | 0.065 |
| AHT | 31 (86.11%) | 40 (90.9%) | 0.449 |
| CAD | 19 (52.77%) | 15 (34.09%) | 0.093 |
| malignancies | 11 (30.55%) | 4 (9.09%) | 0.014 |
| Hb (g/dL) | 10.357 ± 0.267 | 10.86 ± 0.243 | 0.164 |
| iPTH pg/mL | 281.389 ± 46.133 | 353.68 ± 54.59 | 0.328 |
| Ca mg/dL | 8.69 ± 0.156 | 9.032 ± 0.153 | 0.130 |
| P mg/dL | 5.537 ± 0.355 | 4.911 ± 0.298 | 0.177 |
| Hs CRP (mg/dL) | 144.066 ± 16.799 | 80.408 ± 13.479 | 0.004 |
| Albumin (g/L) | 3.581 ± 0.125 | 3.761 ± 0.068 | 0.189 |
| D dimer (ng/mL) | 1908.68 ± 1788.47 | 1702.074 ± 1530.948 | 0.676 |
| procalcitonin | 8.499 ± 2.787 | 2.444 ± 0.669 | 0.031 |
| Hospitalization days | 14.75 ± 6.909 | 10.477 ± 6.54 | 0.006 |
| AVT | 31 (86.11%) | 43 (97.72%) | 0.050 |
| LPV/RTV | 18 (50%) | 22 (50%) | 1 |
| remdesivir | 7 (19.44%) | 4 (9.09%) | 0.181 |
| FPV | 5 (13.88%) | 7 (15.9%) | 0.801 |
| DRV/RTV | 2 (5.55%) | 4 (9.09%) | 0.550 |
| MPV | 1 (2.77%) | 9 (20.45%) | 0.017 |
| Carbapenemi | 24 (66.66%) | 14 (31.81%) | 0.002 |
| cefalosporine | 11 (30.55%) | 24 (54.54%) | 0.031 |
| anticitokine | 6 (16.16%) | 2 (4.54%) | 0.072 |
| anxiolytic | 29 (80.55%) | 23 (52.27%) | 0.008 |
| anticoagulants | 29 (80.55%) | 35 (79.54%) | 0.911 |
| vaccination | 6 (16.66%) | 11 (25%) | 0.365 |
| Death | 23 (63.88%) | 10 (22.72%) | <0.001 |
| Parameter | Death COVID-19 n = 33 | Survivors COVID-19 n = 47 | p |
|---|---|---|---|
| age | 69.364 ± 1.973 | 66.426 ± 1.546 | 0.239 |
| gender | 23 (66.69%) | 23 (48.93%) | 0.064 |
| BMI | 26.836 ± 1.120 | 26.909 ± 0.943 | 0.961 |
| HD vintage | 5.182 ± 4.733 | 7.383 ± 6.060 | 0.085 |
| vascular access | 22 (66.66%) | 32 (68.08%) | 0.894 |
| Kt/V | 1.501 ± 0.357 | 1.540 ± 0.299 | 0.596 |
| DM | 13 (39.39%) | 16 (34.04%) | 0.624 |
| AHT | 26 (78.78%) | 45 (95.74%) | 0.018 |
| CAD | 16 (48.48%) | 18 (38.29%) | 0.364 |
| malignancies | 8 (24.24%) | 7 (14.89%) | 0.292 |
| Hb (g/dL) | 10.410 ± 1.562 | 10.794 ± 1.651 | 0.299 |
| Ca (mg/dL) | 8.624 ± 1.007 | 9.060 ± 0.943 | 0.051 |
| Hs CRP (mg/dL) | 151.515 ± 116.068 | 79.356 ± 73.262 | 0.001 |
| Albumin (g/L) | 3.529 ± 0.757 | 3.786 ± 0.450 | 0.061 |
| D dimer (ng/mL) | 2306.533 ± 2044.151 | 1536.226 ± 1347.743 | 0.134 |
| procalcitonin | 10.425 ± 3.507 | 2.382 ± 0.591 | 0.005 |
| Hospitalization days | 14.061 ± 7.858 | 11.234 ± 6.151 | 0.075 |
| AVT | 28 (84.84%) | 46 (97.87%) | 0.029 |
| LPV/RTV | 15 (45.45) | 25 (53.19%) | 0.496 |
| remdesivir | 8 (24.24%) | 3 (6.38%) | 0.022 |
| FPV | 5 (15.15) | 7 (14.89%) | 0.975 |
| DRV/RTV | 1 (3.03) | 5 (10.63%) | 0.203 |
| MPV | 0 | 10 (21.26%) | 0.005 |
| Carbapenemi | 19 (57.57%) | 19 (40.42%) | 0.130 |
| anticitokine | 4 (12.12) | 4 (8.51%) | 0.596 |
| anticoagulants | 26 (78.78%) | 38 (80.85%) | 0.820 |
| Severe COVID-19 | |||
| vaccination | 2 (6.06%) | 15 (31.91%) | 0.005 |
| Predictor | OR | 95%CI | p |
|---|---|---|---|
| Age | 1.042 | 0.990–1.096 | 0.113 |
| hs CRP | 1.008 | 1.002–1.014 | 0.008 |
| Antiviral treatment | 0.058 | 0.004–0.813 | 0.035 |
| vaccination | 0.179 | 0.032–0.899 | 0.037 |
| Predictor | OR | 95%CI | p |
|---|---|---|---|
| Age | 1.008 | 0.999–1.017 | 0.088 |
| hs CRP | 1.002 | 0.001–0.003 | 0.002 |
| Antiviral treatment | 0.607 | 0.421–0.877 | 0.009 |
| vaccination | 0.749 | 0.589–0.951 | 0.037 |
| Parameters | “De Novo” Anxiolytic Treatment n = 52 | No Anxiolytics n = 28 | p |
|---|---|---|---|
| Hospitalization days | 14.712 ± 7.047 | 8.107 ± 4.491 | <0.001 |
| age | 66.712 ± 11.185 | 69.357 ± 10.429 | 0.305 |
| gender | 31 (67.39%) | 15 (53.57%) | 0.602 |
| HD vintage | 6.981 ± 5.561 | 5.536 ± 5.725 | 0.276 |
| BMI | 27.875 ± 6.320 | 25.029 ± 6.276 | 0.058 |
| Hb | 10.518 ± 1.766 | 10.854 ± 1.293 | 0.379 |
| albumin | 3.669 ± 0.650 | 3.700 ± 0.523 | 0.832 |
| Kt/V | 1.484 ± 0.307 | 1.598 ± 0.344 | 0.133 |
| hs-CRP | 109.605 ± 95.08 | 108.224 ± 108.486 | 0.953 |
| AVT | 49 (66.21%) | 25 (33.78) | 0.423 |
| anticoagulants | 43 (67.18%) | 21 (32.81%) | 0.412 |
| corticotherapy | 48 (82.75%) | 10 (17.24%) | <0.001 |
| COVID-19 severe form | 29 (80.55%) | 7 (19.44%) | 0.008 |
| ICU admission | 18 (81.81%) | 4 (18.18%) | 0.052 |
| COVID-19 death | 21 (40.38%) | 12 (42.85%) | 0.903 |
| Predictor | OR | 95%CI | p |
|---|---|---|---|
| gender | 0.054 | 0–7.387 | 0.245 |
| BMI | 1.051 | 0.950–1.163 | 0.478 |
| Hb | 0.993 | 0.682–1.447 | 0.971 |
| severe form COVID-19 | 1.906 | 0.548–6.624 | 0.310 |
| corticotherapy | 16.403 | 4.332–62.111 | <0.001 |
| Predictor | OR | 95%CI | p |
|---|---|---|---|
| gender | 1.030 | 0.864–1.23 | 0.733 |
| BMI | 1.007 | 0.993–1.021 | 0.357 |
| Hb | 0.999 | 0.946–1.055 | 0.974 |
| severe form COVID-19 | 1.096 | 0.909–1.322 | 0.329 |
| corticotherapy | 1.805 | 1.464–2.228 | <0.001 |
| Anxiolytics (yes) | Anxiolytics (no) | Total | |
|---|---|---|---|
| Corticosteroids (yes) | 48 | 10 | 58 |
| Corticosteroids (no) | 4 | 18 | 22 |
| total | 52 | 28 | 80 |
| Parameter | COVID+ n = 149 | COVID- n = 62 | p-Value |
|---|---|---|---|
| age | 66.859 ± 11.802 | 62.774 ± 2.044 | 0.042 |
| Gender (male) | 84 (56.37%) | 34 (54.83%) | 0.838 |
| BMI | 26.492 ± 5.947 | 24.156 ± 6.501 | 0.012 |
| BSA | 1.870 ± 0.253 | 1.782 ± 0.278 | 0.015 |
| HD vintage | 7.020 ± 5.567 | 6.694 ± 5.312 | 0.695 |
| Kt/V | 1.567 ± 0.312 | 1.591 ± 0.323 | 0.622 |
| vascular access | 101 (67.78%) | 38 (61.29%) | 0.365 |
| DM | 50 (33.55%) | 18 (29.03%) | 0.522 |
| AHT | 136 (91.27%) | 56 (90.32%) | 0.826 |
| CAD | 63 (42.28%) | 23 (37.09%) | 0.485 |
| malignances | 25 (16.77%) | 9 (14.51%) | 0.684 |
| Hb (g/dL) | 10.671 ± 1.514 | 10.778 ± 1.472 | 0.641 |
| iPTH pg/mL | 329.693 ± 320.6 | 432.2 ± 577.151 | 0.212 |
| Ca (mg/dL) | 8.920 ± 0.964 | 8.880 ± 0.922 | 0.782 |
| P (mg/dL) | 5.123 ± 1.872 | 4.995 ± 1.804 | 0.653 |
| Albumin (g/L) | 3.740 ± 0.520 | 3.723 ± 0.371 | 0.817 |
| T chol (mg/dL) | 153.235 ± 39.450 | 151.233 ± 147.5 | 0.740 |
| vaccination | 52 (34.89%) | 29 (46.77%) | 0.106 |
| Death | 89 (59.73%) | 32 (51.61%) | 0.277 |
| Parameters | p | HR | 95%CI |
|---|---|---|---|
| age | 0.246 | 1.012 | 0.992–1.032 |
| BMI | 0.895 | 1.003 | 0.962–1.046 |
| COVID (+) | 0.96 | 1.27 | 0.988–2.394 |
| HD vintage | 0.154 | 0.970 | 0.930–1.012 |
| kT/V | 0.345 | 1.398 | 0.698–2.800 |
| hemoglobin | 0.201 | 0.812 | 0.758–1.060 |
| albumin | 0.359 | 0.812 | 0.520–1.267 |
| Severe form COVID-19 | 0.011 | 2.086 | 1.180–3.686 |
| Antiviral treatment | 0.346 | 0.780 | 0.465–1.308 |
| SARS-CoV2 vaccination | 0.009 | 0.472 | 0.269–0.826 |
Disclaimer/Publisher’s Note: The statements, opinions and data contained in all publications are solely those of the individual author(s) and contributor(s) and not of MDPI and/or the editor(s). MDPI and/or the editor(s) disclaim responsibility for any injury to people or property resulting from any ideas, methods, instructions or products referred to in the content. |
© 2026 by the authors. Published by MDPI on behalf of the Lithuanian University of Health Sciences. Licensee MDPI, Basel, Switzerland. This article is an open access article distributed under the terms and conditions of the Creative Commons Attribution (CC BY) license.
Share and Cite
Ratiu, I.A.; Dejeu, D.; Hocopan, O.; Moisa, C.; Bako, G.C.; Olariu, N.; Pal, M.; Hagi-Islai, E.; Ratiu, A.; Indries, M.; et al. Clinical and Psychological Impact of COVID-19 on Maintenance Hemodialysis Patients: Hospitalization Burden, De Novo Anxiolytic Use, and Long-Term Survival. Medicina 2026, 62, 744. https://doi.org/10.3390/medicina62040744
Ratiu IA, Dejeu D, Hocopan O, Moisa C, Bako GC, Olariu N, Pal M, Hagi-Islai E, Ratiu A, Indries M, et al. Clinical and Psychological Impact of COVID-19 on Maintenance Hemodialysis Patients: Hospitalization Burden, De Novo Anxiolytic Use, and Long-Term Survival. Medicina. 2026; 62(4):744. https://doi.org/10.3390/medicina62040744
Chicago/Turabian StyleRatiu, Ioana Adela, Danut Dejeu, Ozana Hocopan, Corina Moisa, Gabriel Cristian Bako, Nicu Olariu, Mihaela Pal, Edy Hagi-Islai, Anamaria Ratiu, Mirela Indries, and et al. 2026. "Clinical and Psychological Impact of COVID-19 on Maintenance Hemodialysis Patients: Hospitalization Burden, De Novo Anxiolytic Use, and Long-Term Survival" Medicina 62, no. 4: 744. https://doi.org/10.3390/medicina62040744
APA StyleRatiu, I. A., Dejeu, D., Hocopan, O., Moisa, C., Bako, G. C., Olariu, N., Pal, M., Hagi-Islai, E., Ratiu, A., Indries, M., Babeș, E. E., & Ratiu, C. A. (2026). Clinical and Psychological Impact of COVID-19 on Maintenance Hemodialysis Patients: Hospitalization Burden, De Novo Anxiolytic Use, and Long-Term Survival. Medicina, 62(4), 744. https://doi.org/10.3390/medicina62040744

