Detection of Liver Dysfunction in Severe Burn Injury with Bedside Measurement of Perfusion
Abstract
1. Introduction
2. Materials and Methods
2.1. Patients
2.2. Technic
2.3. Statistics
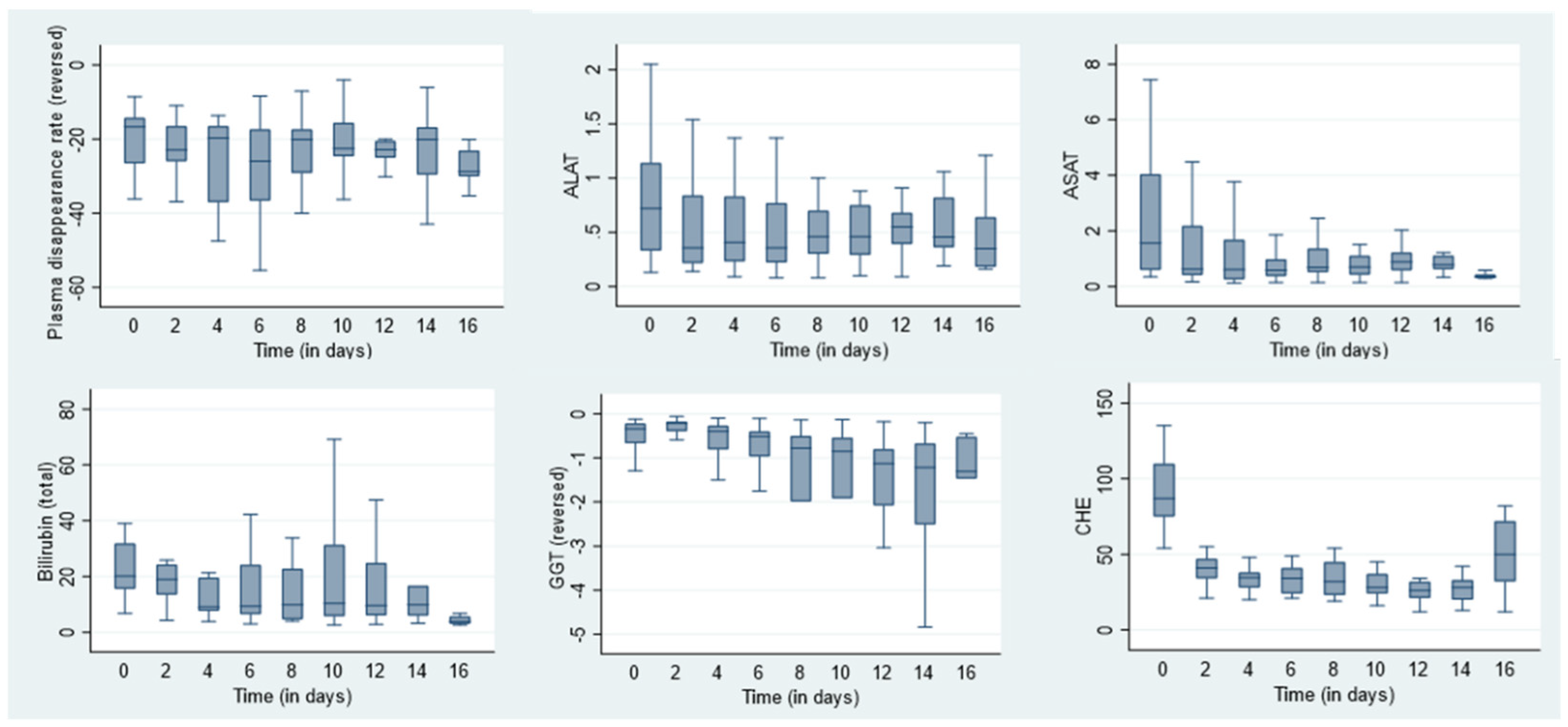
3. Results
4. Discussion
5. Limitations
6. Conclusions
Author Contributions
Funding
Institutional Review Board Statement
Informed Consent Statement
Data Availability Statement
Conflicts of Interest
Abbreviations
| 2nd degree burn | Partial-thickness burn including epidermis and part of the dermis |
| 3rd degree burn | Full thickness burn including epidermis and dermis |
| 4th degree burn | Including all skin layers, also muscles, tendons, bones |
| µkat/L | microkatal/litre |
| µmol/L | micromol/litre |
| ABSI-Score | Abbreviated burn severity index, prognostic score, predicts burn caused mortality |
| ACLF | Acute on chronic liver failure |
| ACS | Abdominal compartment syndrome |
| AKI | Acute kidney injury |
| ALAT | Alanine Aminotransferase |
| ALF | Acute liver failure |
| AP | Alkaline Phosphatase |
| ARDS | Acute respiratory distress syndrome |
| ASAT | Aspartate Aminotransferase |
| BMI | Body mass index |
| CHE | Cholinesterase |
| GGT | Gamma-glutamyl transferase |
| ICG-PDR | Indocyanine green plasma disappearance rate |
| INR | International normalized ratio |
| kgBW | Kilogram bodyweight |
| rBaux | Revised Baux-Score, prognostic score, predicts burn caused mortality |
| TBSA | Total body surface area |
Appendix A

References
- Soussi, S.; Dépret, F.; Benyamina, M.; Legrand, M. Early Hemodynamic Management of Critically Ill Burn Patients. Anesthesiology 2018, 129, 583–589. [Google Scholar] [CrossRef]
- Kallinen, O.; Maisniemi, K.; Böhling, T.; Tukiainen, E.; Koljonen, V. Multiple organ failure as a cause of death in patients with severe burns. J. Burn. Care Res. 2012, 33, 206–211. [Google Scholar] [CrossRef]
- Chen, J.; Yan, H.; Luo, G.; Luo, Q.; Li, X.; Zhang, J.; Yuan, Z.; Peng, D.; Peng, Y.; Hu, J.; et al. Characteristics of burn deaths from 2003 to 2009 in a burn center: A retrospective study. Burns Trauma 2013, 1, 80–86. [Google Scholar] [CrossRef]
- O’Grady, J.G.; Alexander, G.J.; Hayllar, K.M.; Williams, R. Early indicators of prognosis in fulminant hepatic failure. Gastroenterology 1989, 97, 439–445. [Google Scholar] [CrossRef]
- Sarin, S.K.; Kedarisetty, C.K.; Abbas, Z.; Amarapurkar, D.; Bihari, C.; Chan, A.C.; Chawla, Y.K.; Dokmeci, A.K.; Garg, H.; Ghazinyan, H.; et al. Acute-on-chronic liver failure: Consensus recommendations of the Asian Pacific Association for the Study of the Liver (APASL) 2014. Hepatol. Int. 2014, 8, 453–471. [Google Scholar] [CrossRef] [PubMed]
- Mathes, A.; Plata, C.; Rensing, H.; Kreuer, S.; Fink, T.; Raddatz, A. Plasma Disappearance Rate of Indocyanine Green for Determination of Liver Function in Three Different Models of Shock. Diagnostics 2019, 9, 108. [Google Scholar] [CrossRef]
- Ranieri, V.M.; Rubenfeld, G.D.; Thompson, B.T.; Ferguson, N.D.; Caldwell, E.; Fan, E.; Camporota, L.; Slutsky, A.S. Acute respiratory distress syndrome: The Berlin Definition. JAMA 2012, 307, 2526–2533. [Google Scholar] [CrossRef] [PubMed]
- Sakka, S.G. Assessment of liver perfusion and function by indocyanine green in the perioperative setting and in critically ill patients. J. Clin. Monit. Comput. 2018, 32, 787–796. [Google Scholar] [CrossRef] [PubMed]
- Halle, B.M.; Poulsen, T.D.; Pedersen, H.P. Indocyanine green plasma disappearance rate as dynamic liver function test in critically ill patients. Acta Anaesthesiol. Scand. 2014, 58, 1214–1219. [Google Scholar] [CrossRef]
- Inal, M.T.; Memis, D.; Sezer, Y.A.; Atalay, M.; Karakoc, A.; Sut, N. Effects of intra-abdominal pressure on liver function assessed with the LiMON in critically ill patients. Can. J. Surg. 2011, 54, 161–166. [Google Scholar] [CrossRef]
- Steinvall, I.; Fredrikson, M.; Bak, Z.; Sjoberg, F. Incidence of early burn-induced effects on liver function as reflected by the plasma disappearance rate of indocyanine green: A prospective descriptive cohort study. Burns 2012, 38, 214–224. [Google Scholar] [CrossRef]
- Diaz, E.C.; Herndon, D.N.; Cleves, M.A.; Mlcak, R.P.; Aarsland, A.; Børsheim, E. Clearance of Indocyanine Green in Severe Pediatric Burns. J. Trauma. Acute Care Surg. 2019, 86, 817–822. [Google Scholar] [CrossRef]
- Gong, Y.; Long, X.; Xu, H.; Yang, X.; Guo, Q. The changes and prognostic value of liver function in young adults with severe burn: A retrospective observational study. Medicine 2018, 97, e13721. [Google Scholar] [CrossRef] [PubMed]
- Khwaja, A. KDIGO clinical practice guidelines for acute kidney injury. Nephron Clin. Pract. 2012, 120, c179–c184. [Google Scholar] [CrossRef] [PubMed]
- Lambden, S.; Laterre, P.F.; Levy, M.M.; Francois, B. The SOFA score—Development, utility and challenges of accurate assessment in clinical trials. Crit. Care 2019, 23, 374. [Google Scholar] [CrossRef]
- Ball, R.L.; Keyloun, J.W.; Brummel-Ziedins, K.; Orfeo, T.; Palmieri, T.L.; Johnson, L.S.; Moffatt, L.T.; Pusateri, A.E.; Shupp, J.W. Burn-Induced Coagulopathies: A Comprehensive Review. Shock 2020, 54, 154–167. [Google Scholar] [CrossRef] [PubMed]
- Malbrain, M.L.; Cheatham, M.L.; Kirkpatrick, A.; Sugrue, M.; Parr, M.; De Waele, J.; Balogh, Z.; Leppäniemi, A.; Olvera, C.; Ivatury, R.; et al. Results from the International Conference of Experts on Intra-abdominal Hypertension and Abdominal Compartment Syndrome. I. Definitions. Intensive Care Med. 2006, 32, 1722–1732. [Google Scholar] [CrossRef]
- Browne, R.H. On the use of a pilot sample for sample size determination. Stat. Med. 1995, 14, 1933–1940. [Google Scholar] [CrossRef]
- Roscoe, J.T. Fundamental Research Statistics for the Behavioral Sciences; Holt, Rinehart and Winston: New York, NY, USA, 1975. [Google Scholar]
- Shah, M.; Nanchal, R. Assessing Liver Function in Critically Ill Patients. In Hepatic Critical Care; Nanchal, R., Subramanian, R., Eds.; Springer International Publishing: Cham, Switzerland, 2018; pp. 299–303. [Google Scholar] [CrossRef]
- Jeschke, M.G. The hepatic response to thermal injury: Is the liver important for postburn outcomes? Mol. Med. 2009, 15, 337–351. [Google Scholar] [CrossRef]
- Porter, C.; Tompkins, R.G.; Finnerty, C.C.; Sidossis, L.S.; Suman, O.E.; Herndon, D.N. The metabolic stress response to burn trauma: Current understanding and therapies. Lancet 2016, 388, 1417–1426. [Google Scholar] [CrossRef]
- Henrion, J. Hypoxic hepatitis. Liver Int. 2012, 32, 1039–1052. [Google Scholar] [CrossRef] [PubMed]
- Ramzy, P.I.; Wolf, S.E.; Irtun, O.; Hart, D.W.; Thompson, J.C.; Herndon, D.N. Gut epithelial apoptosis after severe burn: Effects of gut hypoperfusion. J. Am. Coll. Surg. 2000, 190, 281–287. [Google Scholar] [CrossRef] [PubMed]
- Xiao, R.; Huang, Y.S.; Lei, Z.Y.; Ruan, J.; Zhang, B.Q.; Wang, G.; Zhang, Q. Instigating effect of shock heart on the injury to the liver, kidney and intestine at early stage of severe burn in rat. Zhonghua Shao Shang Za Zhi 2008, 24, 175–178. [Google Scholar]
- Greenhalgh, D.G.; Hill, D.M.; Burmeister, D.M.; Gus, E.I.; Cleland, H.; Padiglione, A.; Holden, D.; Huss, F.; Chew, M.S.; Kubasiak, J.C.; et al. Surviving Sepsis After Burn Campaign. Burns 2023, 49, 1487–1524. [Google Scholar] [CrossRef] [PubMed]
- Fitzwater, J.; Purdue, G.F.; Hunt, J.L.; O’Keefe, G.E. The risk factors and time course of sepsis and organ dysfunction after burn trauma. J. Trauma 2003, 54, 959–966. [Google Scholar] [CrossRef]
- Woźnica, E.A.; Inglot, M.; Woźnica, R.K.; Łysenko, L. Liver dysfunction in sepsis. Adv. Clin. Exp. Med. 2018, 27, 547–551. [Google Scholar] [CrossRef]
- Klein, M.B.; Hayden, D.; Elson, C.; Nathens, A.B.; Gamelli, R.L.; Gibran, N.S.; Herndon, D.N.; Arnoldo, B.; Silver, G.; Schoenfeld, D.; et al. The association between fluid administration and outcome following major burn: A multicenter study. Ann. Surg. 2007, 245, 622–628. [Google Scholar] [CrossRef]
- Kruse, M.; Lenz, I.K.; Josuttis, D.; Plettig, P.; Hahnenkamp, K.; Gümbel, D.; Güthoff, C.; Hartmann, B.; Aman, M.; Schmittner, M.D.; et al. Characterisation of Fluid Administration in Burn Shock—A Retrospective Cohort Analysis. Eur. Burn. J. 2025, 6, 35. [Google Scholar] [CrossRef]
- Abla, H.; Tran, V.; Pang, A.; Stroever, S.; Shaw, C.; Dissanaike, S.; Griswold, J. Assessing resuscitation in burn patients with varying degrees of liver disease. Burns 2024, 50, 991–996. [Google Scholar] [CrossRef]
- Haddad, A.; Lendoire, M.; Maki, H.; Kang, H.C.; Habibollahi, P.; Odisio, B.C.; Huang, S.Y.; Vauthey, J.N. Liver volumetry and liver-regenerative interventions: History, rationale, and emerging tools. J. Gastrointest. Surg. 2024, 28, 766–775. [Google Scholar] [CrossRef]
- Luong, A.T.; Bolinas, D.; Barcena, A.J.R.; Melancon, M.P.; Castillo, E.; Chintalapani, G.; Odisio, B.C.; Tran Cao, H.S.; Chun, Y.S.; Newhook, T.E.; et al. Two-dimensional venogram following portal venous embolization as a predictor for future liver remnant hypertrophy. Clin. Imaging 2026, 131, 110737. [Google Scholar] [CrossRef] [PubMed]
- Bolinas, D.K.M.; Barcena, A.J.R.; Mishra, A.; Bernardino, M.R.; Lin, V.; Heralde, F.M.; Chintalapani, G.; Fowlkes, N.W.; Huang, S.Y.; Melancon, M.P. Mesenchymal Stem Cells Loaded in Injectable Alginate Hydrogels Promote Liver Growth and Attenuate Liver Fibrosis in Cirrhotic Rats. Gels 2025, 11, 250. [Google Scholar] [CrossRef] [PubMed]
- Trebicka, J.; Hernaez, R.; Shawcross, D.L.; Gerbes, A.L. Recent advances in the prevention and treatment of decompensated cirrhosis and acute-on-chronic liver failure (ACLF) and the role of biomarkers. Gut 2024, 73, 1015–1024. [Google Scholar] [CrossRef] [PubMed]





| Organ Dysfunction/Failure | Score |
|---|---|
| liver | King’s-College-Criteria (INR/Serum Bilirubin/age/etiology) [4] ACLF Score [5] |
| lung | Berlin Criteria for acute respiratory distress syndrome (PaO2/FiO2, X-ray) [7] |
| kidney | Kidney Injury Score (AKI) (Serum creatinine/urinary output) [14] |
| shock | Norepinephrine > 0.1 µg/kg/min for MAP > 65 mmHg [15] |
| coagulopathy | INR > 1.5 and thrombocytes < 150 Gpt/L [16] |
| abdominal compartment | IAP > 20 mmHg for 24 h and organ dysfunction [17] |
| Number (%) or Mean ± SD | Study Group (n = 23) |
|---|---|
| Sex (%) | |
| female | 9 (39.1) |
| male | 14 (60.9) |
| Age (years) | 47 ± 17 |
| TBSA (%) | 47 ± 15 |
| Inhalation Injury | 12 (52.2) |
| Only 2nd degree | 2 (8.7) |
| Incl. 3rd degree (%) | 18 (78.3) |
| Incl. 4th degree (%) | 3 (13) |
| BMI (kg/m2) | 26.6 ± 4.5 |
| rBaux-Score | 99 ± 24 |
| ABSI-Score | 9 ± 2 |
| Stable (2) | patients with no restriction in liver function |
| Recovery (7) | patients with insufficiency on arrival and recovery in 24–48 h |
| Late | |
| insufficiency (5) | deterioration in liver function in the later course regardless of the initial phase (includes n = 2 from recovery group) |
| Failure (3) | consistently poor liver function without stable recovery |
| Death (3) | No new measurement possible due to death within the first 48 h |
| Mean ± SD or Mean (Range) | |||
|---|---|---|---|
| Group | Fluid Resuscitation | Catecholamine | FFP |
| (mL/kgBW/%TBSA) | (µg/kg/min) | (n) | |
| Stable | 3.4 ± 0.4 | 0.11 ± 0.16 | 0 (0–0) |
| Recovery | 4.3 ± 1.9 | 0.14 ± 0.08 | 3 (0–4) |
| Late insufficiency | 5.1 ± 1.7 | 0.18 ± 0.21 | 0 (0–1) |
| Failure | 3.3 ± 1.3 | 0.25 ± 0.31 | 4 (0–6) |
| Death | 6.1 ± 2.4 | 0.33 ± 0.25 | 6 (6–8) |
| Static Values Conspicuous | ||||
|---|---|---|---|---|
| Yes | No | All | ||
| dynamic values | ||||
| conspicuous | yes | 26 | 16 | 42 |
| no | 35 | 67 | 102 | |
| all | 61 | 83 | 144 | |
Disclaimer/Publisher’s Note: The statements, opinions and data contained in all publications are solely those of the individual author(s) and contributor(s) and not of MDPI and/or the editor(s). MDPI and/or the editor(s) disclaim responsibility for any injury to people or property resulting from any ideas, methods, instructions or products referred to in the content. |
© 2026 by the authors. Published by MDPI on behalf of the Lithuanian University of Health Sciences. Licensee MDPI, Basel, Switzerland. This article is an open access article distributed under the terms and conditions of the Creative Commons Attribution (CC BY) license.
Share and Cite
Kruse, M.; Varga, A.; Hoppe, B.; Hoenning, A.; Aman, M.; Hahnenkamp, K.; Schmittner, M.D.; Gebhardt, V. Detection of Liver Dysfunction in Severe Burn Injury with Bedside Measurement of Perfusion. Medicina 2026, 62, 466. https://doi.org/10.3390/medicina62030466
Kruse M, Varga A, Hoppe B, Hoenning A, Aman M, Hahnenkamp K, Schmittner MD, Gebhardt V. Detection of Liver Dysfunction in Severe Burn Injury with Bedside Measurement of Perfusion. Medicina. 2026; 62(3):466. https://doi.org/10.3390/medicina62030466
Chicago/Turabian StyleKruse, Marianne, András Varga, Berthold Hoppe, Alexander Hoenning, Martin Aman, Klaus Hahnenkamp, Marc Dominik Schmittner, and Volker Gebhardt. 2026. "Detection of Liver Dysfunction in Severe Burn Injury with Bedside Measurement of Perfusion" Medicina 62, no. 3: 466. https://doi.org/10.3390/medicina62030466
APA StyleKruse, M., Varga, A., Hoppe, B., Hoenning, A., Aman, M., Hahnenkamp, K., Schmittner, M. D., & Gebhardt, V. (2026). Detection of Liver Dysfunction in Severe Burn Injury with Bedside Measurement of Perfusion. Medicina, 62(3), 466. https://doi.org/10.3390/medicina62030466

