Deep Learning-Based Segmentation of the Ulnar Nerve in Ultrasound Images
Abstract
1. Introduction
2. Materials and Methods
2.1. Deep Learning Architectures
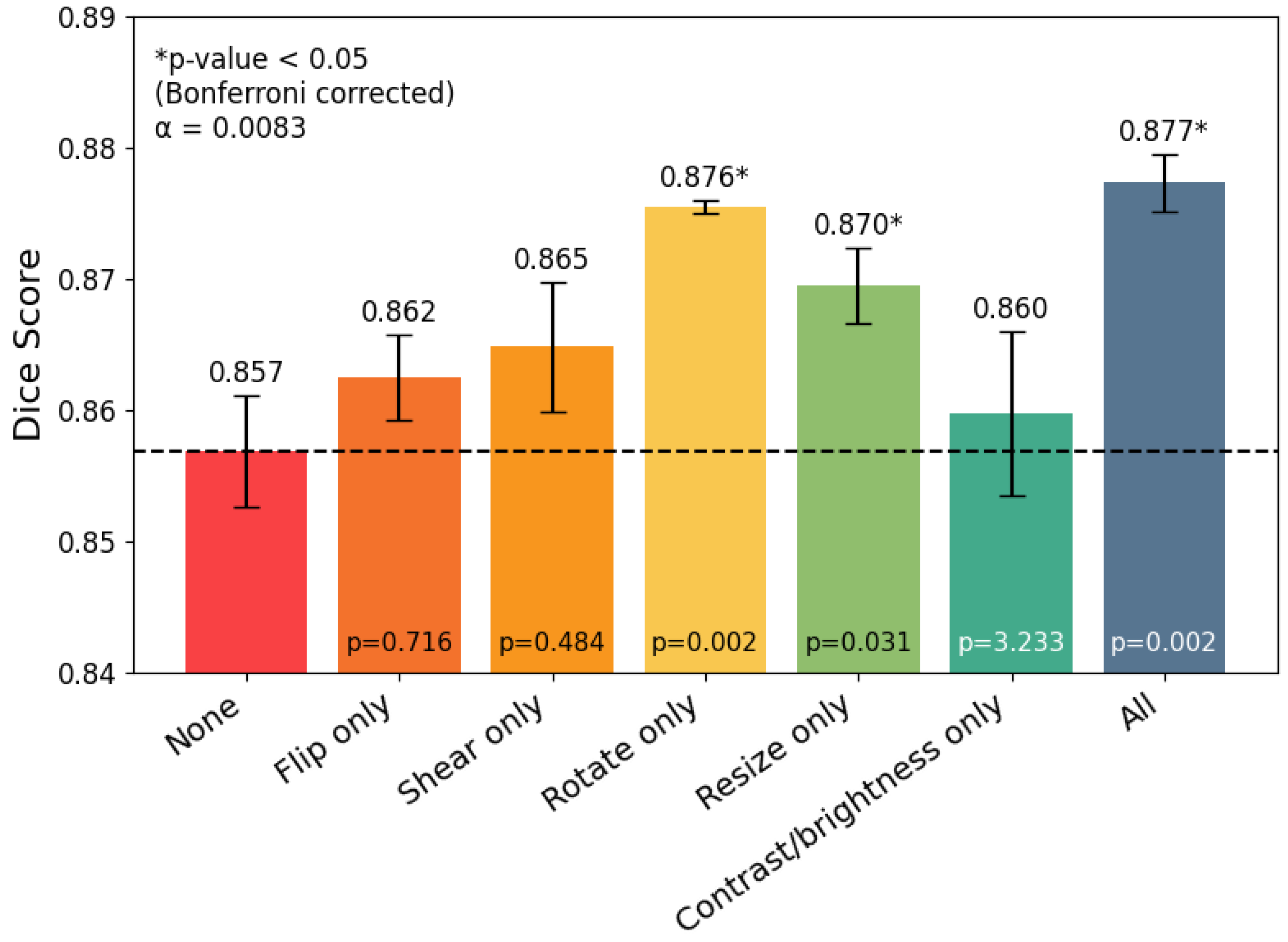
2.2. Data Augmentations
2.3. Dataset Description
2.4. Outcome Variables
2.5. Implementation Details
3. Results
3.1. Quantitative
3.2. Qualitative
4. Discussion
5. Conclusions
Author Contributions
Funding
Institutional Review Board Statement
Informed Consent Statement
Data Availability Statement
Conflicts of Interest
References
- Beekman, R.; Visser, L.H. Sonography in the diagnosis of carpal tunnel syndrome: A critical review of the literature. Muscle Nerve 2003, 27, 26–33. [Google Scholar] [CrossRef]
- Cartwright, M.S.; Walker, F.O. Neuromuscular ultrasound in common entrapment neuropathies. Muscle Nerve 2013, 48, 696–704. [Google Scholar] [CrossRef]
- Walker, F.O.; Cartwright, M.S.; Alter, K.E.; Visser, L.H.; Hobson-Webb, L.D.; Padua, L.; Strakowski, J.A.; Preston, D.C.; Boon, A.J.; Axer, H.; et al. Indications for neuromuscular ultrasound: Expert opinion and review of the literature. Clin. Neurophysiol. 2018, 129, 2658–2679. [Google Scholar] [CrossRef]
- Cartwright, M.S.; Hobson-Webb, L.D.; Boon, A.J.; Alter, K.E.; Hunt, C.H.; Flores, V.H.; Werner, R.A.; Shook, S.J.; Thomas, T.D.; Primack, S.J.; et al. Evidence-based guideline: Neuromuscular ultrasound for the diagnosis of carpal tunnel syndrome. Muscle Nerve 2012, 46, 287–293. [Google Scholar] [CrossRef] [PubMed]
- Bianchi, S. Ultrasound of the peripheral nerves. Jt. Bone Spine 2008, 75, 643–649. [Google Scholar] [CrossRef]
- Martinoli, C.; Bianchi, S.; Dahmane, M.; Pugliese, F.; Bianchi-Zamorani, M.P.; Valle, M. Ultrasound of tendons and nerves. Eur. Radiol. 2002, 12, 44–55. [Google Scholar] [CrossRef]
- Silvestri, E.; Martinoli, C.; Derchi, L.E.; Bertolotto, M.; Chiaramondia, M.; Rosenberg, I. Echotexture of peripheral nerves: Correlation between US and histologic findings and criteria to differentiate tendons. Radiology 1995, 197, 291–296. [Google Scholar] [CrossRef] [PubMed]
- Kowalska, B.; Sudoł-Szopińska, I. Normal and sonographic anatomy of selected peripheral nerves. Part I: Sonohistology and general principles of examination, following the example of the median nerve. J. Ultrason. 2012, 12, 120–130. [Google Scholar] [CrossRef] [PubMed]
- Aljabri, M.; AlGhamdi, M. A review on the use of deep learning for medical image segmentation. Neurocomputing 2022, 506, 311–335. [Google Scholar] [CrossRef]
- Haque, I.R.I.; Neubert, J. Deep learning approaches to biomedical image segmentation. Inform. Med. Unlocked 2020, 18, 100297. [Google Scholar] [CrossRef]
- Ronneberger, O.; Fischer, P.; Brox, T. U-net: Convolutional networks for biomedical image segmentation. In Proceedings of the International Conference on Medical Image Computing and Computer-Assisted Intervention—MICCAI 2015, Munich, Germany, 5–9 October 2015; Springer International Publishing: Cham, Switzerland, 2015; pp. 234–241, ISBN 978-3-319-24574-4. [Google Scholar]
- Xie, E.; Wang, W.; Yu, Z.; Anandkumar, A.; Alvarez, J.M.; Luo, P. Segformer: Simple and efficient design for semantic segmentation with transformers. Adv. Neural Inf. Process. Syst. 2021, 34, 12077–12090. [Google Scholar]
- Li, H.; Xiong, P.; An, J.; Wang, L. Pyramid attention network for semantic segmentation. In Proceedings of the British Machine Vision Conference 2018 (BMVC 2018), Newcastle, UK, 3–6 September 2018; BMVA Press: Durham, UK, 2018; Volume 285. [Google Scholar]
- Al-Dhabyani, W.; Gomaa, M.; Khaled, H.; Fahmy, A. Dataset of breast ultrasound images. Data Brief. 2020, 28, 104863. [Google Scholar] [CrossRef] [PubMed]
- Xu, Y.; Wang, Y.; Yuan, J.; Cheng, Q.; Wang, X.; Carson, P.L. Medical breast ultrasound image segmentation by machine learning. Ultrasonics 2019, 91, 1–9. [Google Scholar] [CrossRef]
- Jiang, B.; Chen, A.; Bharat, S.; Zheng, M. Automatic ultrasound vessel segmentation with deep spatiotemporal context learning. In Proceedings of the International Workshop on Advances in Simplifying Medical Ultrasound, Strasbourg, France, 27 September 2021; Springer International Publishing: Cham, Switzerland, 2021; pp. 3–13, ISBN 978-3-030-87583-1. [Google Scholar]
- Xie, M.; Li, Y.; Xue, Y.; Huntress, L.; Beckerman, W.; Rahimi, S.; Ady, J.; Roshan, U. Vessel lumen segmentation in carotid artery ultrasounds with the U-net convolutional neural network. In Proceedings of the 2020 IEEE International Conference on Bioinformatics and Biomedicine (BIBM), Seoul, Republic of Korea, 16–19 December 2020; pp. 2680–2684. [Google Scholar] [CrossRef]
- Wang, J.C.; Shu, Y.C.; Lin, C.Y.; Wu, W.T.; Chen, L.R.; Lo, Y.C.; Chiu, H.C.; Ozçakar, L.; Chang, K.V. Application of deep learning algorithms in automatic sonographic localization and segmentation of the median nerve: A systematic review and meta-analysis. Artif. Intell. Med. 2023, 137, 102496. [Google Scholar] [CrossRef]
- Horng, M.H.; Yang, C.W.; Sun, Y.N.; Yang, T.H. Deepnerve: A new convolutional neural network for the localization and segmentation of the median nerve in ultrasound image sequences. Ultrasound Med. Biol. 2020, 46, 2439–2452. [Google Scholar] [CrossRef]
- Chaurasia, A.; Culurciello, E. Linknet: Exploiting encoder representations for efficient semantic segmentation. In Proceedings of the 2017 IEEE Visual Communications and Image Processing (VCIP), St. Petersburg, FL, USA, 10–13 December 2017; pp. 1–4. [Google Scholar] [CrossRef]
- Zhou, Z.; Siddiquee, M.M.R.; Tajbakhsh, N.; Liang, J. Unet++: A nested U-net architecture for medical image segmentation. In Proceedings of the Deep Learning in Medical Image Analysis and Multimodal Learning for Clinical Decision Support, Granada, Spain, 20 September 2018; Springer: Cham, Switzerland, 2018; pp. 3–11, ISBN 978-3-030-00889-5. [Google Scholar]
- Chen, L.C.; Zhu, Y.; Papandreou, G.; Schroff, F.; Adam, H. Encoder-decoder with atrous separable convolution for semantic image segmentation. In Proceedings of the European Conference on Computer Vision, Munich, Germany, 8–14 September 2018; pp. 801–818. [Google Scholar] [CrossRef]
- Dai, Q.; Lin, J.; Li, W.; Wang, L. A real-time network for fast breast lesion detection in ultrasound videos. In Proceedings of the Chinese Conference on Pattern Recognition and Computer Vision, Urumqi, China, 18–20 October 2024; Springer: Singapore, 2024; pp. 40–50, ISBN 978-981-99-8558-6. [Google Scholar]
- Hu, Z.; Nasute Fauerbach, P.V.; Yeung, C.; Ungi, T.; Rudan, J.; Engel, C.J.; Mousavi, P.; Fichtinger, G.; Jabs, D. Real-time automatic tumor segmentation for ultrasound-guided breast-conserving surgery navigation. Int. J. Comput. Assist. Radiol. Surg. 2022, 17, 1663–1672. [Google Scholar] [CrossRef] [PubMed]
- He, K.; Zhang, X.; Ren, S.; Sun, J. Deep residual learning for image recognition. In Proceedings of the IEEE Conference on Computer Vision and Pattern Recognition, Las Vegas, NV, USA, 27–30 June 2016; pp. 770–778. [Google Scholar] [CrossRef]
- Tan, M.; Le, Q. Efficientnet: Rethinking model scaling for convolutional neural networks. In Proceedings of the International Conference on Machine Learning, Long Beach, CA, USA, 10–15 June 2019; PMLR: Cambridge, MA, USA, 2019; pp. 6105–6114. [Google Scholar]
- Iakubovskii, P. Segmentation Models PyTorch [Internet]. 2019. Available online: https://github.com/qubvel/segmentation_models.pytorch (accessed on 11 April 2025).
- Smistad, E.; Østvik, A.; Haugen, B.O.; Lvstakken, L. 2D left ventricle segmentation using deep learning. In Proceedings of the 2017 IEEE International Ultrasonics Symposium, Washington, DC, USA, 6–9 September 2017; pp. 1–4. [Google Scholar] [CrossRef]
- Singhal, N.; Mukherjee, S.; Perrey, C. Automated assessment of endometrium from transvaginal ultrasound using deep learned snake. In Proceedings of the 2017 IEEE 14th International Symposium on Biomedical Imaging (ISBI), Melbourne, VIC, Australia, 18–21 April 2017; pp. 283–286. [Google Scholar] [CrossRef]
- Almajalid, R.; Shan, J.; Du, Y.; Zhang, M. Development of a deep-learning-based method for breast ultrasound image segmentation. In Proceedings of the 2018 17th IEEE International Conference on Machine Learning and Application (ICMLA), Orlando, FL, USA, 17–20 December 2018; pp. 1103–1108. [Google Scholar] [CrossRef]
- Cerrolaza, J.J.; Sinclair, M.; Li, Y.; Gomez, A.; Ferrante, E.; Matthew, J.; Gupta, C.; Knight, C.L.; Rueckert, D. Deep learning with ultrasound physics for fetal skull segmentation. In Proceedings of the 2018 IEEE 15th International Symposium on Biomedical Imaging (ISBI), Washington, DC, USA, 4–7 April 2018; pp. 564–567. [Google Scholar] [CrossRef]
- Martin, M.; Sciolla, B.; Sdika, M.; Wang, X.; Quetin, P.; Delachartre, P. Automatic segmentation of the cerebral ventricle in neonates using deep learning with 3D reconstructed freehand ultrasound imaging. In Proceedings of the 2018 IEEE International Ultrasonics Symposium, Kobe, Japan, 22–25 October 2018; pp. 1–4. [Google Scholar] [CrossRef]
- van Sloun, R.J.G.; Wildeboer, R.R.; Mannaerts, C.K.; Postema, A.W.; Gayet, M.; Beerlage, H.P.; Salomon, G.; Wijkstra, H.; Mischi, M. Deep learning for real-time, automatic, and scanner-adapted prostate (zone) segmentation of transrectal ultrasound, for example, magnetic resonance imaging-transrectal ultrasound fusion prostate biopsy. Eur. Urol. Focus 2021, 7, 78–85. [Google Scholar] [CrossRef]
- Orlando, N.; Gillies, D.J.; Gyacskov, I.; Romagnoli, C.; D’Souza, D.; Fenster, A. Automatic prostate segmentation using deep learning on clinically diverse 3D transrectal ultrasound images. Med. Phys. 2020, 47, 2413–2426. [Google Scholar] [CrossRef]
- Baby, M.; Jereesh, A.S. Automatic nerve segmentation of ultrasound images. In Proceedings of the 2017 International Conference of Electronics, Communication and Aerospace Technology (ICECA), Coimbatore, India, 20–22 April 2017; pp. 107–112. [Google Scholar] [CrossRef]
- Kakade, A.; Dumbali, J. Identification of nerve in ultrasound images using U-net architecture. In Proceedings of the 2018 International Conference on Communication Information and Computing Technology (ICCICT), Mumbai, India, 2–3 February 2018; pp. 1–6. [Google Scholar] [CrossRef]
- Wang, R.; Shen, H.; Zhou, M. Ultrasound nerve segmentation of brachial plexus based on optimized ResU-Net. In Proceedings of the 2019 IEEE International Conference on Imaging Systems and Techniques (IST), Abu Dhabi, United Arab Emirates, 9–10 December 2019; pp. 1–6. [Google Scholar] [CrossRef]
- Weng, Y.; Zhou, T.; Li, Y.; Qiu, X. Nas-unet: Neural architecture search for medical image segmentation. IEEE Access 2019, 7, 44247–44257. [Google Scholar] [CrossRef]
- Oktay, O.; Schlemper, J.; Le Folgoc, L.; Lee, M.; Heinrich, M.; Misawa, K.; Mori, K.; McDonagh, S.; Hammerla, N.Y.; Kainz, B.; et al. Attention U-net: Learning where to look for the pancreas. arXiv 2018, arXiv:1804.03999. [Google Scholar] [CrossRef]
- Kim, B.S.; Yu, M.; Kim, S.; Yoon, J.S.; Baek, S. Scale-attentional U-Net for the segmentation of the median nerve in ultrasound images. Ultrasonography 2022, 41, 706–717. [Google Scholar] [CrossRef] [PubMed]
- Alomar, K.; Aysel, H.I.; Cai, X. Data augmentation in classification and segmentation: A survey and new strategies. J. Imaging 2023, 9, 46. [Google Scholar] [CrossRef] [PubMed]
- Pušnik, L.; Radochová, B.; Janáček, J.; Saudek, F.; Serša, I.; Cvetko, E.; Umek, N.; Snoj, Ž. Fascicle differentiation of upper extremity nerves on high-resolution ultrasound with multimodal microscopic verification. Sci. Rep. 2025, 15, 557. [Google Scholar] [CrossRef] [PubMed]




| Architecture | ResNet18 | ResNet34 | MiT-b0 | MiT-b1 | Efficientnet-b0 | Efficientnet-b1 |
|---|---|---|---|---|---|---|
| U-Net | 21 G, 14 M | 31 G, 24 M | — | — | 10 G, 2 M | 10 G, 2 M |
| U-Net++ | 64 G, 16 M | 73 G, 26 M | — | — | 20 G, 3 M | 20 G, 3 M |
| DeepLabV3+ | 18 G, 12 M | 31 G, 22 M | — | — | 2 G, 939 K | 2 G, 959 K |
| LinkNet | 12 G, 12 M | 21 G, 22 M | — | — | 823 M, 199 K | 878 M, 219 K |
| PAN | 16 G, 11 M | 29 G, 21 M | — | — | 392 M, 131 K | 467 M, 151 K |
| Segformer | — | — | 7 G, 4 M | 13 G, 14 M | — | — |
| Architecture | Backbone | Recall | Precision | F1 | Dice | IoU |
|---|---|---|---|---|---|---|
| U-Net | ResNet18 | 0.8447 | 0.897 | 0.8701 | 0.8679 | 0.7917 |
| U-Net | ResNet34 | 0.869 | 0.8919 | 0.8803 | 0.8808 | 0.8063 |
| U-Net | EfficientNet-b0 | 0.8609 | 0.8846 | 0.8725 | 0.8698 | 0.7951 |
| U-Net | EfficientNet-b1 | 0.8466 | 0.9021 | 0.8735 | 0.8678 | 0.7898 |
| U-Net++ | ResNet18 | 0.846 | 0.9003 | 0.8723 | 0.8665 | 0.7925 |
| U-Net++ | ResNet34 | 0.8609 | 0.8912 | 0.8758 | 0.8746 | 0.8015 |
| U-Net++ | EfficientNet-b0 | 0.842 | 0.8948 | 0.8676 | 0.868 | 0.7913 |
| U-Net++ | EfficientNet-b1 | 0.8322 | 0.9002 | 0.8648 | 0.8559 | 0.7796 |
| DeepLabV3+ | ResNet18 | 0.8482 | 0.8946 | 0.8708 | 0.8659 | 0.7889 |
| DeepLabV3+ | ResNet34 | 0.8619 | 0.8882 | 0.8749 | 0.8737 | 0.7987 |
| DeepLabV3+ | EfficientNet-b0 | 0.8551 | 0.8773 | 0.866 | 0.863 | 0.7804 |
| DeepLabV3+ | EfficientNet-b1 | 0.8485 | 0.8864 | 0.867 | 0.8645 | 0.7834 |
| Linknet | ResNet18 | 0.8517 | 0.8926 | 0.8717 | 0.8699 | 0.792 |
| Linknet | ResNet34 | 0.8497 | 0.8853 | 0.8672 | 0.868 | 0.7913 |
| Linknet | EfficientNet-b0 | 0.8437 | 0.8776 | 0.8603 | 0.8598 | 0.7772 |
| Linknet | EfficientNet-b1 | 0.841 | 0.8735 | 0.8569 | 0.8581 | 0.7767 |
| PAN | ResNet18 | 0.8163 | 0.9112 | 0.8612 | 0.8483 | 0.7658 |
| PAN | ResNet34 | 0.8549 | 0.8909 | 0.8725 | 0.8727 | 0.7936 |
| PAN | EfficientNet-b0 | 0.8057 | 0.9061 | 0.8529 | 0.8444 | 0.7545 |
| PAN | EfficientNet-b1 | 0.8339 | 0.893 | 0.8625 | 0.8565 | 0.7722 |
| Segformer | MIT-b0 | 0.8594 | 0.8515 | 0.8554 | 0.8578 | 0.7754 |
| Segformer | MIT-b1 | 0.8659 | 0.8717 | 0.8688 | 0.8685 | 0.7906 |
Disclaimer/Publisher’s Note: The statements, opinions and data contained in all publications are solely those of the individual author(s) and contributor(s) and not of MDPI and/or the editor(s). MDPI and/or the editor(s) disclaim responsibility for any injury to people or property resulting from any ideas, methods, instructions or products referred to in the content. |
© 2026 by the authors. Licensee MDPI, Basel, Switzerland. This article is an open access article distributed under the terms and conditions of the Creative Commons Attribution (CC BY) license.
Share and Cite
Webster, M.B.; Kim, K.E.; Na, Y.J.; Lee, J.; Kim, B.S. Deep Learning-Based Segmentation of the Ulnar Nerve in Ultrasound Images. Medicina 2026, 62, 113. https://doi.org/10.3390/medicina62010113
Webster MB, Kim KE, Na YJ, Lee J, Kim BS. Deep Learning-Based Segmentation of the Ulnar Nerve in Ultrasound Images. Medicina. 2026; 62(1):113. https://doi.org/10.3390/medicina62010113
Chicago/Turabian StyleWebster, Matthew Bailey, Ko Eun Kim, Yong Jae Na, Joonnyong Lee, and Beom Suk Kim. 2026. "Deep Learning-Based Segmentation of the Ulnar Nerve in Ultrasound Images" Medicina 62, no. 1: 113. https://doi.org/10.3390/medicina62010113
APA StyleWebster, M. B., Kim, K. E., Na, Y. J., Lee, J., & Kim, B. S. (2026). Deep Learning-Based Segmentation of the Ulnar Nerve in Ultrasound Images. Medicina, 62(1), 113. https://doi.org/10.3390/medicina62010113

