Relative Grip Strength as a Screening Indicator for Metabolic Syndrome in Korean Adults: A Cross-Sectional Study Using Data from KNHANES
Abstract
1. Introduction
2. Materials and Methods
2.1. Study Population
2.2. Diagnostic Criteria of Metabolic Syndrome
- (1)
- WC ≥ 90 cm for males or ≥85 cm for females
- (2)
- Fasting blood glucose level ≥ 100 mg/dL or the use of antidiabetic medication
- (3)
- Blood pressure (BP) ≥ 130/85 mmHg or use of antihypertensive medications
- (4)
- Triglyceride (TG) levels ≥ 150 mg/dL
- (5)
- High-density lipoprotein cholesterol (HDL-C) levels < 40 mg/dL for males or <50 mg/dL for females, or the use of an antidyslipidemic medication.
2.3. Measurement of Relative Grip Strength
2.4. Sociodemographic and Health Behavior-Related Variables
2.5. Anthropometric Measurements, Blood Pressure, and Biochemical Assessments
2.6. Statistical Analysis
3. Results
3.1. Differences in Variables Based on the Prevalence of Metabolic Syndrome in Men and Women
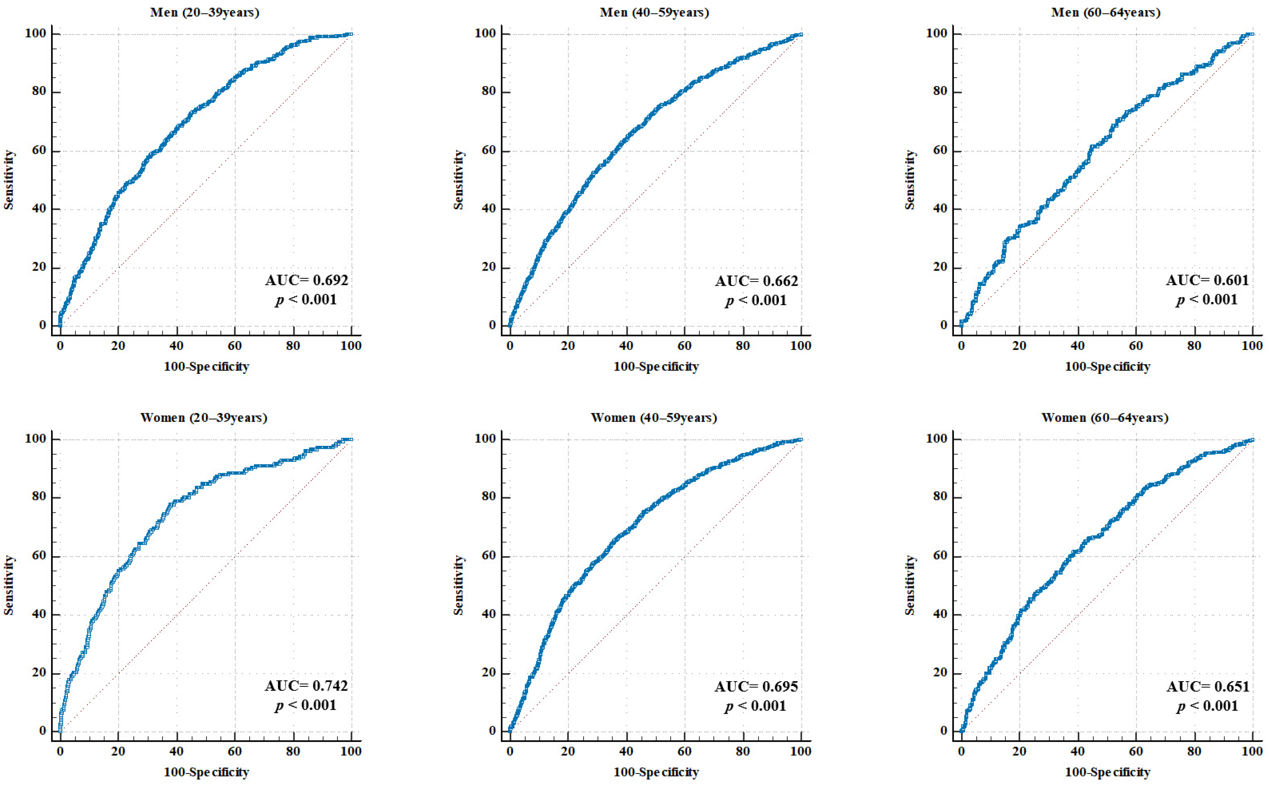
3.2. Results of ROC Curve Analysis of Relative Grip Strength for Predicting Metabolic Syndrome
3.3. Differences in Variables Between Adequate and Low Relative Grip Strength Groups by Age and Sex
3.4. Odds Ratios for Metabolic Syndrome According to Relative Grip Strength by Sex and Age Group
3.5. Association Between Relative Grip Strength (Continuous Variable) and the Risk of Metabolic Syndrome
4. Discussion
5. Conclusions
Author Contributions
Funding
Institutional Review Board Statement
Informed Consent Statement
Data Availability Statement
Acknowledgments
Conflicts of Interest
References
- Saklayen, M.G. The Global Epidemic of the Metabolic Syndrome. Curr. Hypertens. Rep. 2018, 20, 12. [Google Scholar] [CrossRef] [PubMed]
- Noubiap, J.J.; Nansseu, J.R.; Lontchi-Yimagou, E.; Nkeck, J.R.; Nyaga, U.F.; Ngouo, A.T.; Tounouga, D.N.; Tianyi, F.-L.; Foka, A.J.; Ndoadoumgue, A.L. Geographic Distribution of Metabolic Syndrome and Its Components in the General Adult Population: A Meta-Analysis of Global Data from 28 Million Individuals. Diabetes Res. Clin. Pract. 2022, 188, 109924. [Google Scholar] [CrossRef] [PubMed]
- Park, D.; Shin, M.-J.; Després, J.-P.; Eckel, R.H.; Tuomilehto, J.; Lim, S. 20-Year Trends in Metabolic Syndrome among Korean Adults from 2001 to 2020. JACC Asia 2023, 3, 491–502. [Google Scholar] [CrossRef]
- Lee, W.-J.; Peng, L.-N.; Chiou, S.-T.; Chen, L.-K. Relative Handgrip Strength Is a Simple Indicator of Cardiometabolic Risk among Middle-Aged and Older People: A Nationwide Population-Based Study in Taiwan. PLoS ONE 2016, 11, e0160876. [Google Scholar] [CrossRef]
- Yorke, A.M.; Curtis, A.B.; Shoemaker, M.; Vangsnes, E. The Impact of Multimorbidity on Grip Strength in Adults Age 50 and Older: Data from the Health and Retirement Survey (HRS). Arch. Gerontol. Geriatr. 2017, 72, 164–168. [Google Scholar] [CrossRef]
- Mey, R.; Calatayud, J.; Casaña, J.; Cuenca-Martínez, F.; Suso-Martí, L.; Andersen, L.L.; López-Bueno, R. Handgrip Strength in Older Adults with Chronic Diseases from 27 European Countries and Israel. Eur. J. Clin. Nutr. 2023, 77, 212–217. [Google Scholar] [CrossRef]
- Churilla, J.R.; Summerlin, M.; Richardson, M.R.; Boltz, A.J. Mean Combined Relative Grip Strength and Metabolic Syndrome: 2011–2014 National Health and Nutrition Examination Survey. J. Strength Cond. Res. 2020, 34, 995. [Google Scholar] [CrossRef]
- Alkahtani, S. Association between Adjusted Handgrip Strength and Metabolic Syndrome in Arab Men. Int. J. Environ. Res. Public Health 2021, 18, 10898. [Google Scholar] [CrossRef]
- Lee, M.-R.; Jung, S.M.; Bang, H.; Kim, H.S.; Kim, Y.B. Association between Muscle Strength and Type 2 Diabetes Mellitus in Adults in Korea: Data from the Korea National Health and Nutrition Examination Survey (KNHANES) VI. Medicine 2018, 97, e10984. [Google Scholar] [CrossRef]
- Steene-Johannessen, J.; Anderssen, S.A.; Kolle, E.; Andersen, L.B. Low Muscle Fitness Is Associated with Metabolic Risk in Youth. Med. Sci. Sports Exerc. 2009, 41, 1361–1367. [Google Scholar] [CrossRef]
- Feraco, A.; Gorini, S.; Armani, A.; Camajani, E.; Rizzo, M.; Caprio, M. Exploring the Role of Skeletal Muscle in Insulin Resistance: Lessons from Cultured Cells to Animal Models. Int. J. Mol. Sci. 2021, 22, 9327. [Google Scholar] [CrossRef]
- Doehner, W.; Turhan, G.; Leyva, F.; Rauchhaus, M.; Sandek, A.; Jankowska, E.A.; Von Haehling, S.; Anker, S.D. Skeletal Muscle Weakness Is Related to Insulin Resistance in Patients with Chronic Heart Failure. ESC Heart Fail. 2015, 2, 85–89. [Google Scholar] [CrossRef]
- Srikanthan, P.; Karlamangla, A.S. Relative Muscle Mass Is Inversely Associated with Insulin Resistance and Prediabetes. Findings from The Third National Health and Nutrition Examination Survey. J. Clin. Endocrinol. Metab. 2011, 96, 2898–2903. [Google Scholar] [CrossRef]
- Baek, S.; Shin, J. Relationship between Adult Handgrip Strength and Metabolic Syndrome. Ethiop. J. Health Dev. 2020, 34, 18–27. [Google Scholar]
- Lee, B.J. Grip Strength, Anthropometric Indices, and Their Combination in Screening for Metabolic Syndrome in the Korean Population. J. Clin. Med. 2024, 13, 5988. [Google Scholar] [CrossRef] [PubMed]
- Yi, D.; Khang, A.R.; Lee, H.W.; Son, S.M.; Kang, Y.H. Relative Handgrip Strength as a Marker of Metabolic Syndrome: The Korea National Health and Nutrition Examination Survey (KNHANES) VI (2014–2015). Diabetes Metab. Syndr. Obes. 2018, 11, 227–240. [Google Scholar] [CrossRef] [PubMed]
- Lawman, H.G.; Troiano, R.P.; Perna, F.M.; Wang, C.-Y.; Fryar, C.D.; Ogden, C.L. Associations of Relative Handgrip Strength and Cardiovascular Disease Biomarkers in US Adults, 2011–2012. Am. J. Prev. Med. 2016, 50, 677–683. [Google Scholar] [CrossRef] [PubMed]
- Park, D.; Rho, J.; Kim, Y.; Kim, E. Comparison of Absolute and Relative Grip Strength to Predict Incidence of Metabolic Syndrome: Eight-Year Follow-Up Study in Korea. Metab. Syndr. Relat. Disord. 2024, 22, 123–132. [Google Scholar] [CrossRef]
- Hong, S.; Oh, M.; Kim, Y.; Jeon, J.Y. Association of Absolute and Relative Handgrip Strength with Prevalent Metabolic Syndrome in Adults: Korea National Health and Nutrition Examination Survey 2014–2018. Int. J. Environ. Res. Public Health 2022, 19, 12585. [Google Scholar] [CrossRef]
- Expert Panel on Detection, Evaluation, and Treatment of High Blood Cholesterol in Adults Executive Summary of The Third Report of The National Cholesterol Education Program (NCEP) Expert Panel on Detection, Evaluation, And Treatment of High Blood Cholesterol In Adults (Adult Treatment Panel III). J. Am. Med. Assoc. 2001, 285, 2486–2497. [CrossRef]
- Kim, B.-Y.; Kang, S.M.; Kang, J.-H.; Kang, S.Y.; Kim, K.K.; Kim, K.-B.; Kim, B.; Kim, S.J.; Kim, Y.-H.; Kim, J.-H.; et al. 2020 Korean Society for the Study of Obesity Guidelines for the Management of Obesity in Korea. J. Obes. Metab. Syndr. 2021, 30, 81–92. [Google Scholar] [CrossRef]
- WHO. Global Physical Activity Questionnaire (GPAQ) Analysis Guide; WHO: Geneva, Switzerland, 2012; pp. 1–22.
- Hong, S. Association of Relative Handgrip Strength and Metabolic Syndrome in Korean Older Adults: Korea National Health and Nutrition Examination Survey VII-1. J. Obes. Metab. Syndr. 2019, 28, 53. [Google Scholar] [CrossRef]
- Strasser, B.; Pesta, D. Resistance Training for Diabetes Prevention and Therapy: Experimental Findings and Molecular Mechanisms. BioMed Res. Int. 2013, 2013, 805217. [Google Scholar] [CrossRef] [PubMed]
- Ostman, C.; Smart, N.A.; Morcos, D.; Duller, A.; Ridley, W.; Jewiss, D. The Effect of Exercise Training on Clinical Outcomes in Patients with the Metabolic Syndrome: A Systematic Review and Meta-Analysis. Cardiovasc. Diabetol. 2017, 16, 110. [Google Scholar] [CrossRef]
- Slavin, M.B.; Khemraj, P.; Hood, D.A. Exercise, Mitochondrial Dysfunction and Inflammasomes in Skeletal Muscle. Biomed. J. 2024, 47, 100636. [Google Scholar] [CrossRef] [PubMed]
- Merz, K.E.; Thurmond, D.C. Role of Skeletal Muscle in Insulin Resistance and Glucose Uptake. In Comprehensive Physiology; Terjung, R., Ed.; Wiley: Hoboken, NJ, USA, 2020; pp. 785–809. ISBN 978-0-470-65071-4. [Google Scholar]
- Wen, Y.; Liu, T.; Ma, C.; Fang, J.; Zhao, Z.; Luo, M.; Xia, Y.; Zhao, Y.; Ji, C. Association between Handgrip Strength and Metabolic Syndrome: A Meta-Analysis and Systematic Review. Front. Nutr. 2022, 9, 996645. [Google Scholar] [CrossRef] [PubMed]
- Pettersson-Pablo, P.; Nilsson, T.K.; Hurtig-Wennlöf, A. Relative Handgrip Strength Correlates Inversely with Increased Body Fat, Inflammatory Markers and Increased Serum Lipids in Young, Healthy Adults—The LBA Study. Diabetes Res. Clin. Pract. 2024, 207, 111057. [Google Scholar] [CrossRef]
- Byeon, J.Y.; Lee, M.K.; Yu, M.-S.; Kang, M.J.; Lee, D.H.; Kim, K.C.; Im, J.A.; Kim, S.H.; Jeon, J.Y. Lower Relative Handgrip Strength Is Significantly Associated with a Higher Prevalence of the Metabolic Syndrome in Adults. Metab. Syndr. Relat. Disord. 2019, 17, 280–288. [Google Scholar] [CrossRef]
- Harrell, F.E. Regression Modeling Strategies: With Applications to Linear Models, Logistic and Ordinal Regression, and Survival Analysis; Springer Series in Statistics; Springer International Publishing: Cham, Switzerland, 2015; ISBN 978-3-319-19424-0. [Google Scholar]
- Altman, D.G.; Royston, P. The Cost of Dichotomising Continuous Variables. Br. Med. J. 2006, 332, 1080. [Google Scholar] [CrossRef]
- Lim, S.; Kim, J.H.; Yoon, J.W.; Kang, S.M.; Choi, S.H.; Park, Y.J.; Kim, K.W.; Lim, J.Y.; Park, K.S.; Jang, H.C. Sarcopenic Obesity: Prevalence and Association with Metabolic Syndrome in the Korean Longitudinal Study on Health and Aging (KLoSHA). Diabetes Care 2010, 33, 1652–1654. [Google Scholar] [CrossRef]
- Lu, C.-W.; Yang, K.-C.; Chang, H.-H.; Lee, L.-T.; Chen, C.-Y.; Huang, K.-C. Sarcopenic Obesity Is Closely Associated with Metabolic Syndrome. Obes. Res. Clin. Pr. 2013, 7, e301–e307. [Google Scholar] [CrossRef] [PubMed]
- Poggiogalle, E.; Lubrano, C.; Sergi, G.; Coin, A.; Gnessi, L.; Mariani, S.; Lenzi, A.; Donini, L.M. Sarcopenic Obesity and Metabolic Syndrome in Adult Caucasian Subjects. J. Nutr. Health Aging 2016, 20, 958–963. [Google Scholar] [CrossRef] [PubMed]


| Variables | Men | Women | ||||
|---|---|---|---|---|---|---|
| Non-MetS (n = 3626) | MetS (n = 1733) | p | Non-MetS (n = 5412) | MetS (n = 1301) | p | |
| Age (year) | 40.92 ± 13.05 | 48.02 ± 10.89 | <0.001 | 42.50 ± 12.26 | 52.45 ± 9.84 | <0.001 |
| Height (cm) | 172.69 ± 6.28 | 172.17 ± 6.22 | 0.005 | 159.81 ± 5.67 | 157.63 ± 5.79 | <0.001 |
| Weight (kg) | 70.49 ± 10.49 | 80.27 ± 12.30 | <0.001 | 56.85 ± 8.31 | 66.76 ± 11.69 | <0.001 |
| BMI (kg/m2) | 23.60 ± 2.97 | 27.01 ± 3.36 | <0.001 | 22.26 ± 3.03 | 26.82 ± 4.09 | <0.001 |
| WC (cm) | 83.22 ± 7.96 | 93.58 ± 8.00 | <0.001 | 74.99 ± 7.92 | 88.08 ± 9.31 | <0.001 |
| TG (mg/dL) | 125.62 ± 86.51 | 240.08 ± 173.30 | <0.001 | 90.31 ± 50.64 | 178.27 ± 109.16 | <0.001 |
| TC (mg/dL) | 193.82 ± 34.45 | 199.91 ± 40.29 | <0.001 | 194.86 ± 34.40 | 202.03 ± 42.10 | <0.001 |
| LDL-C (mg/dL) | 117.88 ± 31.67 | 109.45 ± 40.45 | <0.001 | 117.99 ± 30.85 | 119.10 ± 38.97 | 0.342 |
| HDL-C (mg/dL) | 50.82 ± 10.79 | 42.44 ± 9.84 | <0.001 | 58.80 ± 12.06 | 47.29 ± 10.02 | <0.001 |
| Fasting blood glucose (mg/dL) | 95.72 ± 17.43 | 114.95 ± 31.12 | <0.001 | 91.85 ± 10.16 | 112.49 ± 28.57 | <0.001 |
| HbA1c (%) | 5.48 ± 0.59 | 6.08 ± 1.10 | <0.001 | 5.42 ± 0.39 | 6.16 ± 1.05 | <0.001 |
| SBP (mmHg) | 115.42 ± 11.97 | 125.51 ± 14.12 | <0.001 | 109.95 ± 13.72 | 125.61 ± 16.21 | <0.001 |
| DBP (mmHg) | 76.78 ± 8.71 | 84.35 ± 10.01 | <0.001 | 72.87 ± 8.82 | 80.38 ± 9.66 | <0.001 |
| RGS (kg/BMI) | 1.60 ± 0.31 | 1.42 ± 0.30 | <0.001 | 0.99 ± 0.23 | 0.82 ± 0.21 | <0.001 |
| Average Sleep duration (hours) | 6.93 ± 3.94 | 6.84 ± 4.03 | 0.488 | 6.97 ± 2.51 | 6.83 ± 1.42 | 0.005 |
| Daily caloric intake (kcal/day) | 2445.45 ± 1020.61 | 2397.18 ± 986.67 | 0.135 | 1715.37 ± 694.40 | 1643.77 ± 659.45 | 0.001 |
| Group of physical activity level [n (%)] | <0.001 | <0.001 | ||||
| Low | 1644 (45.3) | 986 (56.9) | 2928 (54.1) | 801 (61.6) | ||
| Moderate | 1592 (43.9) | 634 (36.6) | 2227 (41.1) | 451 (34.7) | ||
| High | 390 (10.8) | 113 (6.5) | 257 (4.7) | 49 (3.8) | ||
| Frequency of strength training (days/week) | <0.001 | <0.001 | ||||
| 0 | 2220 (61.2) | 1244 (71.8) | 4268 (78.9) | 1135 (87.2) | ||
| 1~2 | 466 (12.9) | 186 (10.7) | 510 (9.4) | 67 (5.1) | ||
| More than 3 | 940 (25.9) | 303 (17.5) | 634 (11.7) | 997 (7.6) | ||
| Alcohol consumption level [n (%)] | <0.001 | <0.001 | ||||
| non-drinking | 955 (26.3) | 380 (21.9) | 2579 (47.7) | 768 (59.0) | ||
| low drinking | 1584 (43.7) | 643 (37.1) | 2255 (41.7) | 397 (30.5) | ||
| moderate drinking | 630 (17.4) | 355 (20.5) | 452 (8.4) | 103 (7.9) | ||
| high drinking | 457 (12.6) | 355 (20.5) | 126 (2.3) | 33 (2.5) | ||
| Current Smoking status [n (%)] | 1352 (37.3) | 703 (40.7) | 0.018 | 327 (6.0) | 83 (6.4) | 0.628 |
| Components related to MetS [n (%)] | ||||||
| abdominal obesity | 582 (16.1) | 1236 (71.5) | <0.001 | 514 (9.5) | 857 (66.0) | <0.001 |
| Elevated blood glucose | 739 (20.4) | 1322 (76.3) | <0.001 | 702 (13.0) | 920 (70.7) | <0.001 |
| high TG | 977 (26.9) | 1467 (84.7) | <0.001 | 752 (13.9) | 1034 (79.5) | <0.001 |
| hypertension | 855 (23.6) | 1316 (75.9) | <0.001 | 773 (14.3) | 889 (68.3) | <0.001 |
| low HDL-C | 366 (10.2) | 836 (48.3) | <0.001 | 1139 (21.3) | 898 (69.3) | <0.001 |
| AUC (95% CI) | Cut Off (kg/BMI) | Sensitivity (%) | Specificity (%) | PPV (%) | NPV (%) | Accuracy (%) | ||
|---|---|---|---|---|---|---|---|---|
| Men | 20–39 years | 0.692 (0.672–0.712) *** | 1.586 | 73.09 | 54.86 | 27.48 | 89.70 | 58.31 |
| 40–59 years | 0.662 (0.643–0.683) *** | 1.558 | 65.43 | 59.07 | 51.46 | 72.04 | 61.61 | |
| 60–64 years | 0.601 (0.558–0.645) *** | 1.520 | 70.43 | 46.40 | 53.27 | 64.40 | 57.56 | |
| Women | 20–39 years | 0.742 (0.724–0.759) *** | 0.966 | 77.85 | 62.05 | 12.98 | 97.49 | 63.18 |
| 40–59 years | 0.695 (0.680–0.710) *** | 0.900 | 65.27 | 64.12 | 33.65 | 86.88 | 64.37 | |
| 60–64 years | 0.651 (0.618–0.683) *** | 0.846 | 61.54 | 61.18 | 55.77 | 66.67 | 61.34 |
| Variables | Men (20–39 Years) | Women (20–39 Years) | ||||
|---|---|---|---|---|---|---|
| ARG [>1.586 kg/BMI] (n = 1058) | LRG [≤1.586 kg/BMI] (n = 1077) | p | ARG [>0.966 kg/BMI] (n = 1392) | LRG [≤0.966 kg/BMI] (n = 956) | p | |
| Age (years) | 30.03 ± 6.23 | 29.71 ± 6.04 | 0.231 | 30.39 ± 6.20 | 29.91 ± 6.08 | 0.064 |
| Height (cm) | 176.22 ± 5.61 | 174.28 ± 5.76 | <0.001 | 162.75 ± 5.32 | 160.61 ± 5.21 | <0.001 |
| Weight (kg) | 72.00 ± 10.64 | 80.42 ± 14.68 | <0.001 | 55.47 ± 8.14 | 62.54 ± 13.09 | <0.001 |
| BMI (kg/m2) | 23.15 ± 2.94 | 26.41 ± 4.21 | <0.001 | 20.91 ± 2.65 | 24.20 ± 4.65 | <0.001 |
| WC (cm) | 81.27 ± 8.11 | 89.72 ± 10.68 | <0.001 | 71.05 ± 7.29 | 78.24 ± 11.13 | <0.001 |
| TG (mg/dL) | 124.50 ± 90.91 | 152.09 ± 117.95 | <0.001 | 81.27 ± 49.72 | 101.22 ± 72.61 | <0.001 |
| TC (mg/dL) | 187.45 ± 33.73 | 194.90 ± 35.76 | <0.001 | 182.23 ± 29.18 | 188.72 ± 33.06 | <0.001 |
| LDL-C (mg/dL) | 111.60 ± 30.48 | 117.32 ± 33.00 | <0.001 | 106.32 ± 26.08 | 112.40 ± 29.39 | <0.001 |
| HDL-C (mg/dL) | 50.95 ± 11.08 | 47.13 ± 10.09 | <0.001 | 59.66 ± 12.19 | 56.10 ± 11.84 | <0.001 |
| Fasting blood glucose (mg/dL) | 91.99 ± 8.87 | 96.43 ± 19.69 | <0.001 | 89.63 ± 10.52 | 92.21 ± 14.06 | <0.001 |
| HbA1c (%) | 5.33 ± 0.30 | 5.46 ± 0.69 | <0.001 | 5.29 ± 0.38 | 5.37 ± 0.56 | <0.001 |
| SBP (mmHg) | 114.16 ± 10.93 | 117.11 ± 11.88 | <0.001 | 105.52 ± 9.70 | 106.92 ± 11.60 | <0.001 |
| DBP (mmHg) | 75.66 ± 9.10 | 78.69 ± 10.05 | <0.001 | 70.67 ± 8.15 | 72.02 ± 9.39 | <0.001 |
| RGS (kg/BMI) | 1.84 ± 0.19 | 1.32 ± 0.20 | <0.001 | 1.17 ± 0.14 | 0.79 ± 0.14 | <0.001 |
| Average Sleep duration (hours) | 6.96 ± 1.24 | 7.00 ± 5.03 | 0.809 | 7.29 ± 4.47 | 7.12 ± 1.38 | 0.236 |
| Daily caloric intake (kcal/day) | 2636.80 ± 1126.87 | 2369.22 ± 1037.72 | <0.001 | 1768.92 ± 754.57 | 1735.87 ± 758.86 | 0.329 |
| Group of physical activity level [n (%)] | 0.287 | 0.173 | ||||
| Low | 408 (38.6) | 437 (40.6) | 695 (49.9) | 490 (51.3) | ||
| Moderate | 513 (48.5) | 523 (48.6) | 606 (43.5) | 421 (44.0) | ||
| High | 137 (12.9) | 117 (10.9) | 91 (6.5) | 45 (4.7) | ||
| Frequency of strength training (days/week) | <0.001 | <0.001 | ||||
| 0 | 566 (53.5) | 711 (66.0) | 1068 (76.7) | 793 (82.9) | ||
| 1~2 | 147 (13.9) | 157 (14.6) | 166 (11.9) | 80 (8.4) | ||
| More than 3 | 345 (32.6) | 209 (19.4) | 158 (11.4) | 83 (8.7) | ||
| Alcohol consumption level [n (%)] | 0.005 | 0.010 | ||||
| non-drinking | 230 (21.7) | 306 (28.4) | 494 (35.5) | 404 (42.3) | ||
| low drinking | 541 (51.1) | 513 (47.6) | 694 (49.9) | 421 (44.0) | ||
| moderate drinking | 134 (12.7) | 119 (11.0) | 152 (10.9) | 95 (9.9) | ||
| high drinking | 153 (14.5) | 139 (12.9) | 52 (3.7) | 36 (3.8) | ||
| Current Smoking status [n (%)] | 418 (39.5) | 387 (35.9) | 0.085 | 113 (8.1) | 83 (8.7) | 0.627 |
| Components related to MetS [n (%)] | ||||||
| abdominal obesity | 158 (14.9) | 501 (46.6) | <0.001 | 65 (4.7) | 224 (23.5) | <0.001 |
| Elevated blood glucose | 164 (15.5) | 249 (23.1) | <0.001 | 110 (7.9) | 141 (14.7) | <0.001 |
| high TG | 270 (25.5) | 430 (39.9) | <0.001 | 100 (7.2) | 179 (64.2) | <0.001 |
| hypertension | 207 (19.6) | 325 (30.2) | <0.001 | 77 (5.5) | 88 (9.2) | <0.001 |
| low HDL-C | 139 (13.2) | 244 (22.8) | <0.001 | 286 (20.8) | 297 (31.6) | <0.001 |
| Variables | Men (40–59 Years) | Women (40–59 Years) | ||||
|---|---|---|---|---|---|---|
| ARG [>1.558 kg/BMI] (n = 1269) | LRG [≤1.558 kg/BMI] (n = 1307) | p | ARG [>0.900 kg/BMI] (n = 2026) | LRG [≤0.900 kg/BMI] (n = 1488) | p | |
| Age (years) | 49.14 ± 5.82 | 49.97 ± 5.86 | <0.001 | 48.96 ± 5.86 | 50.69 ± 5.56 | <0.001 |
| Height (cm) | 172.61 ± 5.29 | 170.05 ± 5.94 | <0.001 | 159.80 ± 5.21 | 156.97 ± 5.39 | <0.001 |
| Weight (kg) | 70.24 ± 9.42 | 75.04 ± 11.25 | <0.001 | 56.64 ± 7.82 | 62.12 ± 10.38 | <0.001 |
| BMI (kg/m2) | 23.53 ± 2.60 | 25.89 ± 3.23 | <0.001 | 22.16 ± 2.70 | 25.18 ± 3.80 | <0.001 |
| WC (cm) | 84.06 ± 7.37 | 90.20 ± 8.58 | <0.001 | 75.73 ± 7.56 | 82.56 ± 9.48 | <0.001 |
| TG (mg/dL) | 169.95 ± 152.94 | 195.95 ± 146.51 | <0.001 | 104.48 ± 73.61 | 127.49 ± 86.93 | <0.001 |
| TC (mg/dL) | 200.87 ± 35.55 | 201.19 ± 38.02 | 0.826 | 200.59 ± 35.08 | 205.44 ± 38.94 | <0.001 |
| LDL-C (mg/dL) | 118.14 ± 35.89 | 115.84 ± 37.69 | 0.114 | 121.73 ± 32.20 | 126.06 ± 34.69 | <0.001 |
| HDL-C (mg/dL) | 48.74 ± 11.69 | 46.15 ± 10.77 | <0.001 | 57.96 ± 12.73 | 53.90 ± 12.30 | <0.001 |
| Fasting blood glucose (mg/dL) | 103.17 ± 25.74 | 109.33 ± 30.02 | <0.001 | 95.60 ± 14.98 | 100.62 ± 22.45 | <0.001 |
| HbA1c (%) | 5.69 ± 0.82 | 5.95 ± 1.05 | <0.001 | 5.56 ± 0.55 | 5.74 ± 0.74 | <0.001 |
| SBP (mmHg) | 118.44 ± 13.84 | 121.15 ± 14.15 | <0.001 | 113.45 ± 15.02 | 117.18 ± 16.91 | <0.001 |
| DBP (mmHg) | 80.19 ± 9.40 | 82.22 ± 9.90 | <0.001 | 75.15 ± 9.28 | 76.98 ± 9.72 | <0.001 |
| RGS (kg/BMI) | 1.79 ± 0.19 | 1.31 ± 0.21 | <0.001 | 1.10 ± 0.14 | 0.74 ± 0.13 | <0.001 |
| Average Sleep duration (hours) | 6.87 ± 4.63 | 6.71 ± 1.18 | 0.238 | 6.79 ± 1.20 | 6.77 ± 1.25 | 0.632 |
| Daily caloric intake (kcal/day) | 2476.27 ± 951.92 | 2359.83 ± 992.24 | 0.006 | 1713.52 ± 637.77 | 1654.12 ± 677.91 | 0.012 |
| Group of physical activity level [n (%)] | 0.931 | <0.001 | ||||
| Low | 693 (54.6) | 722 (55.2) | 1102 (54.4) | 907 (61.0) | ||
| Moderate | 470 (37.0) | 480 (36.7) | 834 (41.2) | 529 (35.6) | ||
| High | 106 (8.4) | 105 (8.0) | 90 (4.4) | 52 (3.5) | ||
| Frequency of strength training (days/week) | <0.001 | <0.001 | ||||
| 0 | 810 (63.8) | 954 (73.0) | 1562 (77.1) | 1270 (85.3) | ||
| 1~2 | 166 (13.1) | 127 (9.7) | 186 (9.2) | 95 (6.4) | ||
| More than 3 | 293 (23.1) | 226 (17.3) | 278 (13.7) | 123 (8.3) | ||
| Alcohol consumption level [n (%)] | 0.881 | 0.004 | ||||
| non-drinking | 301 (23.7) | 328 (25.1) | 1028 (50.7) | 830 (55.8) | ||
| low drinking | 477 (37.6) | 484 (37.0) | 812 (40.1) | 513 (34.5) | ||
| moderate drinking | 278 (21.9) | 280 (21.4) | 155 (7.7) | 113 (7.6) | ||
| high drinking | 213 (16.8) | 215 (16.4) | 31 (1.5) | 32 (2.2) | ||
| Current Smoking status [n (%)] | 533 (42.0) | 517 (39.6) | 0.212 | 107 (5.3) | 69 (4.6) | 0.388 |
| Components related to MetS [n (%)] | ||||||
| abdominal obesity | 261 (20.6) | 659 (50.6) | <0.001 | 230 (11.4) | 533 (35.9) | <0.001 |
| Elevated blood glucose | 545 (42.9) | 723 (55.3) | <0.001 | 494 (24.4) | 520 (34.9) | <0.001 |
| high TG | 582 (41.6) | 817 (62.5) | <0.001 | 464 (22.9) | 565 (38.0) | <0.001 |
| hypertension | 529 (41.7) | 712 (54.5) | <0.001 | 492 (24.3) | 548 (36.8) | <0.001 |
| low HDL-C | 280 (22.2) | 372 (28.6) | <0.001 | 528 (26.2) | 578 (39.0) | <0.001 |
| Variables | Men (60–64 Years) | Women (60–64 Years) | ||||
|---|---|---|---|---|---|---|
| ARG [>1.520 kg/BMI] (n = 251) | LRG [≤1.520 kg/BMI] (n = 397) | p | ARG [>0.846 kg/BMI] (n = 436) | LRG [≤0.846 kg/BMI] (n = 415) | p | |
| Age (years) | 61.88 ± 1.37 | 62.04 ± 1.39 | 0.146 | 61.95 ± 1.45 | 61.99 ± 1.39 | 0.694 |
| Height (cm) | 170.09 ± 5.62 | 167.31 ± 5.94 | <0.001 | 156.75 ± 5.01 | 154.73 ± 4.95 | <0.001 |
| Weight (kg) | 67.30 ± 8.87 | 70.10 ± 9.96 | <0.001 | 56.87 ± 7.57 | 61.55 ± 8.61 | <0.001 |
| BMI (kg/m2) | 23.22 ± 2.51 | 24.99 ± 2.91 | <0.001 | 23.12 ± 2.70 | 25.69 ± 3.30 | <0.001 |
| WC (cm) | 84.83 ± 7.56 | 89.33 ± 7.95 | <0.001 | 79.58 ± 7.32 | 86.16 ± 8.67 | <0.001 |
| TG (mg/dL) | 150.39 ± 109.66 | 169.89 ± 133.83 | 0.044 | 121.85 ± 72.79 | 137.14 ± 77.67 | 0.003 |
| TC (mg/dL) | 191.51 ± 36.94 | 189.26 ± 38.37 | 0.461 | 203.31 ± 38.13 | 198.69 ± 39.37 | 0.084 |
| LDL-C (mg/dL) | 112.85 ± 35.44 | 108.20 ± 37.26 | 0.116 | 124.24 ± 35.76 | 119.46 ± 36.40 | 0.055 |
| HDL-C (mg/dL) | 48.58 ± 12.37 | 47.08 ± 11.69 | 0.120 | 54.70 ± 12.06 | 51.80 ± 12.06 | 0.001 |
| Fasting blood glucose (mg/dL) | 106.92 ± 20.95 | 112.42 ± 28.94 | 0.005 | 100.57 ± 20.71 | 104.53 ± 21.81 | 0.007 |
| HbA1c (%) | 5.85 ± 0.73 | 6.10 ± 1.06 | <0.001 | 5.85 ± 0.76 | 6.06 ± 0.88 | <0.001 |
| SBP (mmHg) | 124.52 ± 16.28 | 123.98 ± 14.52 | 0.657 | 122.71 ± 17.38 | 124.49 ± 16.24 | 0.124 |
| DBP (mmHg) | 78.13 ± 9.78 | 78.03 ± 8.39 | 0.886 | 75.75 ± 9.29 | 76.86 ± 9.02 | 0.078 |
| RGS (kg/BMI) | 1.71 ± 0.16 | 1.27 ± 0.21 | <0.001 | 1.01 ± 0.13 | 0.67 ± 0.13 | <0.001 |
| Average Sleep duration (hours) | 7.46 ± 10.17 | 6.81 ± 1.33 | 0.211 | 6.78 ± 1.17 | 6.92 ± 1.43 | 0.110 |
| Daily caloric intake (kcal/day) | 2311.26 ± 851.11 | 2225.11 ± 845.12 | 0.235 | 1654.06 ± 638.15 | 1555.00 ± 580.73 | 0.026 |
| Group of physical activity level [n (%)] | 0.113 | <0.001 | ||||
| Low | 132 (52.6) | 238 (59.9) | 238 (54.6) | 297 (71.6) | ||
| Moderate | 100 (39.8) | 140 (35.3) | 178 (40.8) | 110 (26.5) | ||
| High | 19 (7.6) | 19 (4.8) | 20 (4.6) | 8 (1.9) | ||
| Frequency of strength training (days/week) | 0.010 | 0.012 | ||||
| 0 | 152 (60.6) | 271 (68.3) | 348 (79.8) | 362 (87.2) | ||
| 1~2 | 17 (6.8) | 38 (9.6) | 33 (7.6) | 17 (4.1) | ||
| More than 3 | 82 (32.7) | 88 (22.2) | 55 (12.6) | 36 (8.7) | ||
| Alcohol consumption level [n (%)] | 0.407 | 0.887 | ||||
| non-drinking | 62 (24.7) | 108 (27.2) | 304 (69.7) | 287 (69.2) | ||
| low drinking | 92 (36.7) | 120 (30.2) | 109 (25.0) | 103 (24.8) | ||
| moderate drinking | 63 (25.1) | 111 (28.0) | 20 (4.6) | 20 (4.8) | ||
| high drinking | 34 (13.5) | 58 (14.6) | 3 (0.7) | 5 (1.2) | ||
| Current Smoking status [n (%)] | 72 (29.0) | 128 (32.4) | 0.368 | 16 (3.7) | 22 (5.4) | 0.237 |
| Components related to MetS [n (%)] | ||||||
| abdominal obesity | 57 (22.8) | 182 (46.0) | <0.001 | 90 (20.6) | 229 (55.3) | <0.001 |
| Elevated blood glucose | 134 (53.4) | 246 (62.0) | 0.031 | 167 (38.3) | 190 (45.8) | 0.027 |
| high TG | 114 (45.4) | 231 (58.2) | 0.002 | 222 (50.9) | 256 (61.7) | 0.002 |
| hypertension | 141 (56.2) | 257 (64.7) | 0.029 | 217 (49.8) | 240 (57.8) | 0.018 |
| low HDL-C | 53 (21.1) | 114 (29.0) | 0.026 | 155 (35.8) | 193 (47.5) | 0.001 |
| Metabolic Syndrome | |||||
|---|---|---|---|---|---|
| ARG | LRG | ||||
| OR | 95% CI | ||||
| Men | 20–39 years | Model 1 | Reference | 3.300 *** | 2.598–4.191 |
| Model 2 | Reference | 3.502 *** | 2.658–4.614 | ||
| 40–59 years | Model 1 | Reference | 2.725 *** | 2.313–3.209 | |
| Model 2 | Reference | 2.738 *** | 2.275–3.295 | ||
| 60–64 years | Model 1 | Reference | 2.029 *** | 1.467–2.808 | |
| Model 2 | Reference | 1.992 *** | 1.386–2.861 | ||
| Women | 20–39 years | Model 1 | Reference | 5.725 *** | 3.895–8.416 |
| Model 2 | Reference | 6.846 *** | 4.490–10.438 | ||
| 40–59 years | Model 1 | Reference | 3.348 *** | 2.831–3.961 | |
| Model 2 | Reference | 2.988 *** | 2.492–3.582 | ||
| 60–64 years | Model 1 | Reference | 2.494 *** | 1.889–3.292 | |
| Model 2 | Reference | 2.327 *** | 1.718–3.152 | ||
| Variable | Men OR (95% CI) | p | Women OR (95% CI) | p |
|---|---|---|---|---|
| RGS | 0.779 (0.745–0.814) | <0.001 | 0.666 (0.616–0.720) | <0.001 |
| Age | 1.122 (1.095–1.150) | <0.001 | 1.097 (1.060–1.135) | <0.001 |
| Daily caloric intake | 1.000 (1.000–1.000) | 0.996 | 1.000 (1.000–1.000) | 0.521 |
| Group of physical activity level | ||||
| Low | Reference | Reference | ||
| Moderate | 0.913 (0.691–1.203) | 0.520 | 1.028 (0.703–1.502) | 0.888 |
| High | 0.899 (0.556–1.453) | 0.664 | 1.652 (0.752–3.631) | 0.211 |
| Current smoking status | 1.108 (0.840–1.460) | 0.468 | 1.392 (0.746–2.596) | 0.299 |
| Alcohol consumption level | ||||
| Non-drinking | Reference | Reference | ||
| Low drinking | 1.020 (0.739–1.408) | 0.905 | 1.021 (0.689–1.514) | 0.916 |
| Moderate drinking | 1.278 (0.815–2.004) | 0.284 | 1.123 (0.605–2.086) | 0.713 |
| High drinking | 1.549 (1.004–2.390) | 0.048 | 2.174 (0.909–5.198) | 0.081 |
| Frequency of strength training | ||||
| 0 | Reference | Reference | ||
| 1~2 | 0.893 (0.615–1.297) | 0.552 | 1.247 (0.655–2.375) | 0.501 |
| More than 3 | 0.715 (0.495–1.032) | 0.073 | 0.695 (0.333–1.450) | 0.332 |
| Variable | Men OR (95% CI) | p | Women OR (95% CI) | p |
|---|---|---|---|---|
| RGS | 0.829 (0.803–0.856) | <0.001 | 0.746 (0.715–0.780) | <0.001 |
| Age | 1.016 (1.000–1.032) | 0.050 | 1.071 (1.054–1.089) | <0.001 |
| Total calorie intake | 1.000 (1.000–1.000) | 0.753 | 1.000 (1.000–1.000) | 0.578 |
| Group of physical activity level | ||||
| Low | Reference | Reference | ||
| Moderate | 0.755 (0.618–0.923) | 0.006 | 0.957 (0.791–1.159) | 0.656 |
| High | 0.695 (0.485–0.994) | 0.047 | 1.255 (0.793–1.986) | 0.332 |
| Current smoking status | 1.064 (0.876–1.292) | 0.532 | 1.772 (1.171–2.681) | 0.007 |
| Alcohol drinking level | ||||
| Non-drinking | Reference | Reference | ||
| Low drinking | 1.449 (1.137–1.846) | 0.003 | 0.867 (0.712–1.056) | 0.157 |
| Moderate drinking | 1.372 (1.041–1.807) | 0.025 | 1.209 (.847–1.727) | 0.295 |
| High drinking | 2.463 (1.824–3.327) | <0.001 | 1.266 (.652–2.460) | 0.486 |
| Frequency of Strength training | ||||
| 0 | Reference | Reference | ||
| 1~2 | 0.792 (0.584–1.075) | 0.135 | 0.670 (0.457–0.981) | 0.040 |
| More than 3 | 0.834 (0.655–1.061) | 0.139 | 0.712 (0.518–0.979) | 0.036 |
| Variable | Men OR (95% CI) | p | Women OR (95% CI) | p |
|---|---|---|---|---|
| RGS | 0.886 (0.833–0.942) | <0.001 | 0.776 (0.718–0.838) | <0.001 |
| Age | 1.025 (0.906–1.160) | 0.697 | 1.051 (0.944–1.170) | 0.360 |
| Total calorie intake | 1.000 (1.000–1.000) | 0.913 | 1.000 (1.000–1.000) | 0.652 |
| Group of physical activity level | ||||
| Low | Reference | Reference | ||
| Moderate | 0.851 (0.587–1.235) | 0.396 | 0.932 (0.672–1.292) | 0.932 |
| High | 0.230 (0.089–0.593) | 0.002 | 0.423 (0.149–1.201) | 0.106 |
| Current smoking status | 0.790 (0.540–1.156) | 0.225 | 1.353 (0.576–3.177) | 0.488 |
| Alcohol drinking level | ||||
| Non-drinking | Reference | Reference | ||
| Low drinking | 1.650 (1.041–2.614) | 0.033 | 0.934 (0.656–1.331) | 0.707 |
| Moderate drinking | 1.786 (1.102–2.894) | 0.019 | 1.782 (0.825–3.849) | 0.141 |
| High drinking | 3.526 (1.947–6.385) | <0.001 | 1.873 (0.382–9.181) | 0.439 |
| Frequency of Strength training | ||||
| 0 | Reference | Reference | ||
| 1~2 | 1.414 (0.741–2.698) | 0.293 | 0.635 (0.319–1.264) | 0.196 |
| More than 3 | 1.055 (0.695–1.601) | 0.801 | 0.518 (0.301–0.0.890) | 0.017 |
Disclaimer/Publisher’s Note: The statements, opinions and data contained in all publications are solely those of the individual author(s) and contributor(s) and not of MDPI and/or the editor(s). MDPI and/or the editor(s) disclaim responsibility for any injury to people or property resulting from any ideas, methods, instructions or products referred to in the content. |
© 2025 by the authors. Published by MDPI on behalf of the Lithuanian University of Health Sciences. Licensee MDPI, Basel, Switzerland. This article is an open access article distributed under the terms and conditions of the Creative Commons Attribution (CC BY) license (https://creativecommons.org/licenses/by/4.0/).
Share and Cite
Park, J.; Kim, S. Relative Grip Strength as a Screening Indicator for Metabolic Syndrome in Korean Adults: A Cross-Sectional Study Using Data from KNHANES. Medicina 2025, 61, 1473. https://doi.org/10.3390/medicina61081473
Park J, Kim S. Relative Grip Strength as a Screening Indicator for Metabolic Syndrome in Korean Adults: A Cross-Sectional Study Using Data from KNHANES. Medicina. 2025; 61(8):1473. https://doi.org/10.3390/medicina61081473
Chicago/Turabian StylePark, Jongsuk, and Sangho Kim. 2025. "Relative Grip Strength as a Screening Indicator for Metabolic Syndrome in Korean Adults: A Cross-Sectional Study Using Data from KNHANES" Medicina 61, no. 8: 1473. https://doi.org/10.3390/medicina61081473
APA StylePark, J., & Kim, S. (2025). Relative Grip Strength as a Screening Indicator for Metabolic Syndrome in Korean Adults: A Cross-Sectional Study Using Data from KNHANES. Medicina, 61(8), 1473. https://doi.org/10.3390/medicina61081473

