Correlations Between Immunophenotypic Markers and Clinical Progression in Romanian Patients Diagnosed with Diffuse Large B-Cell Lymphoma
Abstract
1. Introduction
2. Material and Methods
2.1. Patients
- Patients must have a histologically confirmed diagnosis of DLBCL according to the WHO classification.
- Tissue availability: Available tissue from FFPE tumour samples suitable for immunohistochemical analysis.
- IHC Analysis: Adequate tumour sample for evaluation of BCL2, c-MYC, and Ki-67 protein expression by immunohistochemistry.
- Age: Adult patients aged 18 years or older at the time of diagnosis.
- Clinical Data Availability: Sufficient clinical and pathological data available, including treatment outcomes, staging, and survival information.
2.2. Microscopical and Immunohistochemical Examination
2.3. Statistical Analysis
3. Results
3.1. Patient Characteristics
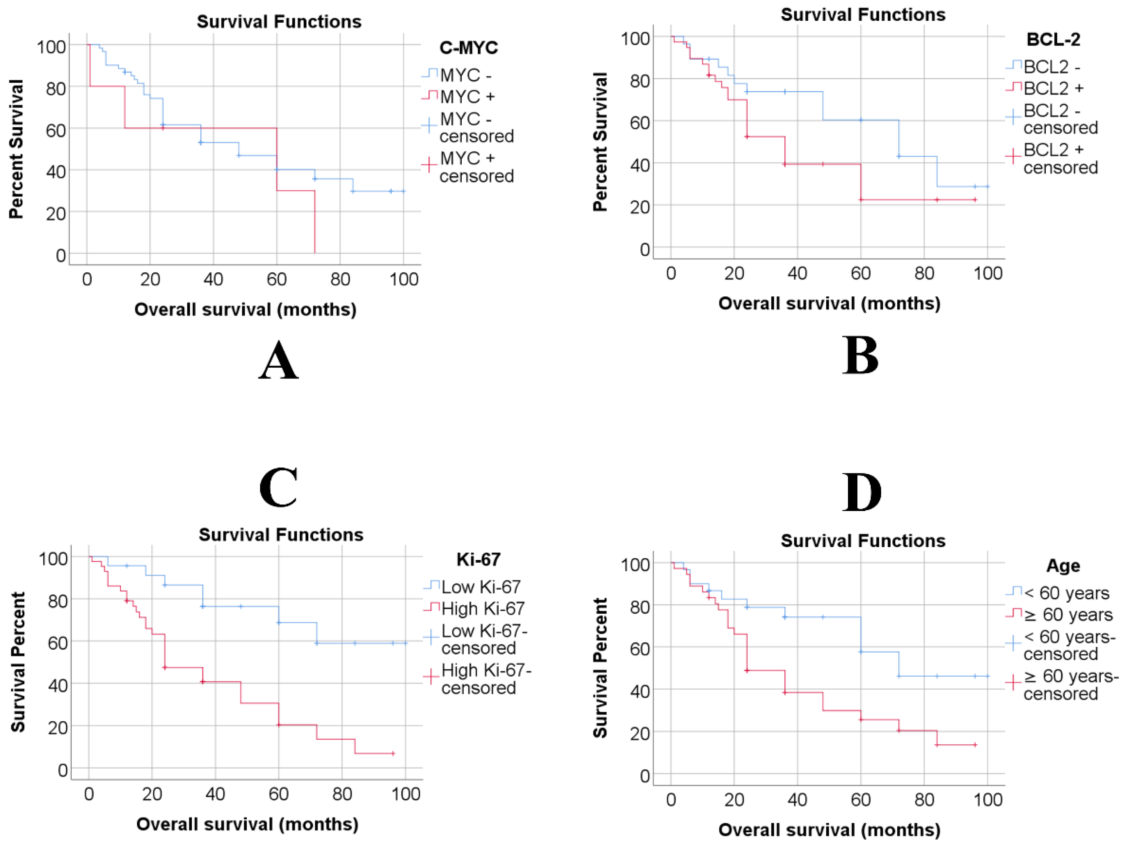
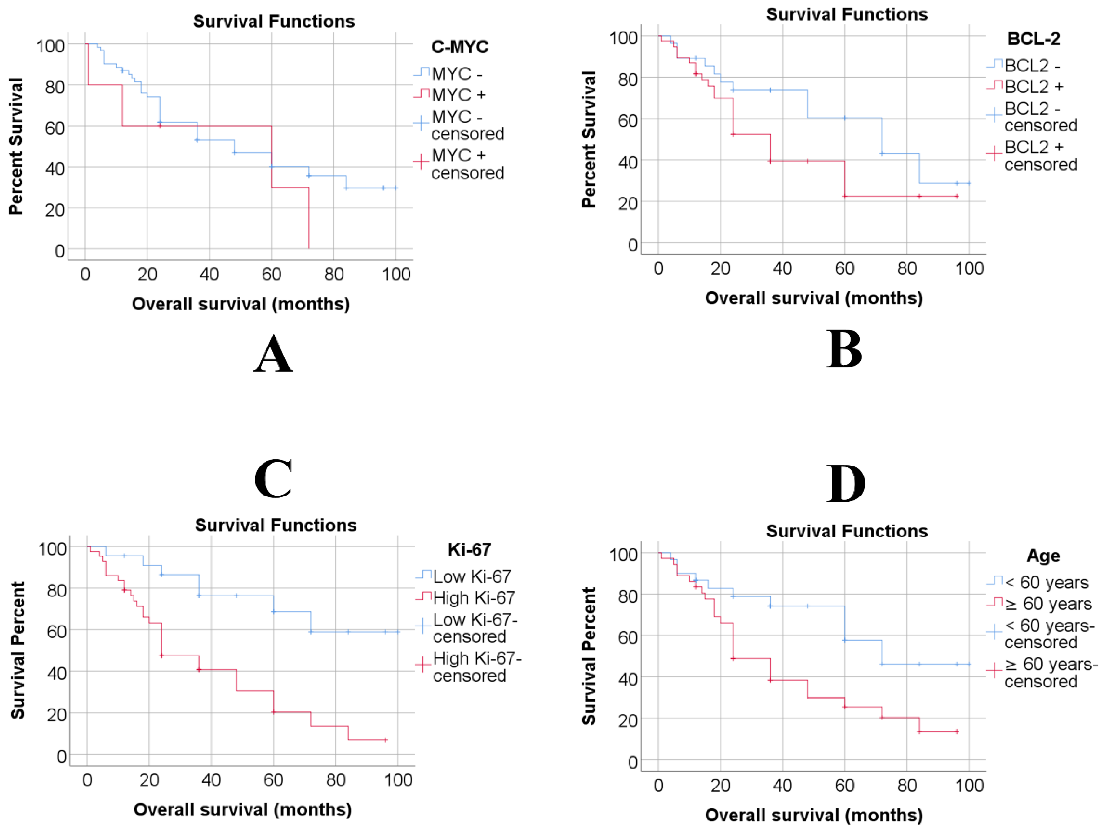
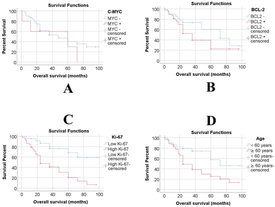
3.2. Survival Analysis
4. Discussion
5. Conclusions
Author Contributions
Funding
Institutional Review Board Statement
Informed Consent Statement
Data Availability Statement
Acknowledgments
Conflicts of Interest
References
- Roschewski, M.; Phelan, J.D.; Wilson, W.H. Molecular Classification and Treatment of Diffuse Large B-Cell Lymphoma and Primary Mediastinal B-Cell Lymphoma. Cancer J. 2020, 26, 195–205. [Google Scholar] [CrossRef] [PubMed]
- Attygalle, A.D.; Chan, J.K.C.; Coupland, S.E.; Du, M.Q.; Ferry, J.A.; Jong, D.; Gratzinger, D.; Lim, M.S.; Naresh, K.N.; Nicolae, A.; et al. The 5th edition of the World Health Organization Classification of mature lymphoid and stromal tumors—An overview and update. Leuk. Lymphoma 2024, 65, 413–429. [Google Scholar] [CrossRef]
- Karube, K.; Satou, A.; Kato, S. New classifications of B-cell neoplasms: A comparison of 5th WHO and International Consensus classifications. Int. J. Hematol. 2025, 121, 331–341. [Google Scholar] [CrossRef] [PubMed]
- Alaggio, R.; Amador, C.; Anagnostopoulos, I.; Attygalle, A.D.; Araujo, I.B.O.; Berti, E.; Bhagat, G.; Borges, A.M.; Boyer, D.; Calaminici, M.; et al. The 5th edition of the World Health Organization Classification of Haematolymphoid Tumours: Lymphoid Neoplasms. Leukemia 2022, 36, 1720–1748. [Google Scholar] [CrossRef]
- Rohilla, M.; Garg, S.; Bal, A.; Das, A.; Gupta, N.; Dey, P.; Srinivasan, R. Application of Hans Algorithm for Subcategorization of Diffuse Large B-Cell Lymphoma in Fine-Needle Aspiration Biopsy Cytology. Acta Cytol. 2022, 66, 14–22. [Google Scholar] [CrossRef]
- Ott, M.M.; Horn, H.; Kaufmann, M.; Ott, G. The Hans classificator does not predict outcome in diffuse large B cell lymphoma in a large multicenter retrospective analysis of R-CHOP treated patients. Leuk. Res. 2012, 36, 544–545. [Google Scholar] [CrossRef] [PubMed]
- Larson, D.P.; Peterson, J.F.; Nowakowski, G.S.; McPhail, E.D. A practical approach to FISH testing for MYC rearrangements and brief review of MYC in aggressive B-cell lymphomas. J. Hematop. 2020, 13, 127–135. [Google Scholar] [CrossRef]
- Copie-Bergman, C. Double-hit DLBCL: Should we limit FISH testing? Blood 2018, 131, 1997–1998. [Google Scholar] [CrossRef] [PubMed]
- Ma, Z.P.; Niu, J.; Cao, Y.Z.; Pang, X.L.; Cui, W.L.; Zhang, W.; Li, X. Clinical significance of ‘double-hit’ and ‘double-expression’ lymphomas. J. Clin. Pathol. 2020, 73, 126–138. [Google Scholar] [CrossRef]
- Hematologie, S.R.d. Ghiduri Terapeutice limfoproliferari Cronice 2011. 2011. Available online: https://app.srh.org.ro/fisiere_ghid/document_19.pdf (accessed on 5 April 2025).
- Mohammed, A.A.; Rashed, H.E.; Abdelrahman, A.E.; Obaya, A.A.; Toam, M.; Abdel Nour, H.M.; I Abdelhamid, M.; Elsayed, F.M. C-MYC and BCL2: Correlation between Protein Over-Expression and Gene Translocation and Impact on Outcome in Diffuse Large B Cell Lymphoma. Asian Pac. J. Cancer Prev. 2019, 20, 1463–1470. [Google Scholar] [CrossRef]
- Menter, T.; Medani, H.; Ahmad, R.; Flora, R.; Trivedi, P.; Reid, A.; Naresh, K.N. MYC and BCL2 evaluation in routine diagnostics of aggressive B-cell lymphomas—Presentation of a work-flow and the experience with 248 cases. Br. J. Haematol. 2017, 179, 681–684. [Google Scholar] [CrossRef] [PubMed]
- Hu, S.; Xu-Monette, Z.Y.; Tzankov, A.; Green, T.; Wu, L.; Balasubramanyam, A.; Liu, W.-M.; Visco, C.; Li, Y.; Miranda, R.N.; et al. MYC/BCL2 Protein Coexpression Contributes to the Inferior Survival of Activated B-Cell Subtype of Diffuse Large B-Cell Lymphoma and Demonstrates High-Risk Gene Expression Signatures: A Report From the International DLBCL Rituximab-Chop Consortium Program. Blood 2013, 121, 4021–4031. [Google Scholar] [CrossRef]
- Iqbal, J.; Neppalli, V.T.; Wright, G.; Dave, B.J.; Horsman, D.E.; Rosenwald, A.; Lynch, J.; Hans, C.P.; Weisenburger, D.D.; Greiner, T.C.; et al. BCL2 expression is a prognostic marker for the activated B-cell-like type of diffuse large B-cell lymphoma. J. Clin. Oncol. 2006, 24, 961–968. [Google Scholar] [CrossRef] [PubMed]
- Patrascu, A.M.; Rotaru, I.; Olar, L.; Patrascu, S.; Ghilusi, M.C.; NeamTu, S.D.; Nacea, J.G.; Gluhovschi, A. The prognostic role of Bcl-2, Ki67, c-MYC and p53 in diffuse large B-cell lymphoma. Rom. J. Morphol. Embryol. 2017, 58, 837–843. [Google Scholar]
- Fisher, R.A. On the interpretation of X2 from Contingency Tables, and the Calculation of P. J. R. Stat. Soc. 1922, 85, 87–94. [Google Scholar] [CrossRef]
- Kaplan, E.L.; Meier, P. Nonparametric Estimation from Incomplete Observations. J. Am. Stat. Assoc. 1958, 53, 457–481. [Google Scholar] [CrossRef]
- Peto, R.; Peto, J. Asymptotically Efficient Rank Invariant Test Procedures. J. R. Stat. Soc. Ser. A (Gen.) 1972, 135, 185–207. [Google Scholar] [CrossRef]
- Cox, D.R. Regression Models and Life-Tables. J. R. Stat. Soc. Ser. B (Methodol.) 1972, 34, 187–220. [Google Scholar] [CrossRef]
- Yimpak, P.; Bumroongkit, K.; Tantiworawit, A.; Rattanathammethee, T.; Aungsuchawan, S.; Daroontum, T. Immunohistochemistry-based investigation of MYC, BCL2, and Ki-67 protein expression and their clinical impact in diffuse large B-cell lymphoma in upper Northern Thailand. PLoS ONE 2024, 19, e0307253. [Google Scholar] [CrossRef]
- Swiderska-Chadaj, Z.; Hebeda, K.M.; van den Brand, M.; Litjens, G. Artificial intelligence to detect MYC translocation in slides of diffuse large B-cell lymphoma. Virchows Arch. 2021, 479, 617–621. [Google Scholar] [CrossRef]
- Liu, Y.; Barta, S.K. Diffuse large B-cell lymphoma: 2019 update on diagnosis, risk stratification, and treatment. Am. J. Hematol. 2019, 94, 604–616. [Google Scholar] [CrossRef] [PubMed]
- Valera, A.; Epistolio, S.; Colomo, L.; Riva, A.; Balagué, O.; Dlouhy, I.; Tzankov, A.; Bühler, M.; Haralambieva, E.; Campo, E.; et al. Definition of MYC genetic heteroclonality in diffuse large B-cell lymphoma with 8q24 rearrangement and its impact on protein expression. Mod. Pathol. 2016, 29, 844–853. [Google Scholar] [CrossRef] [PubMed][Green Version]
- Jaffe, E.S. Diagnosis and classification of lymphoma: Impact of technical advances. Semin. Hematol. 2019, 56, 30–36. [Google Scholar] [CrossRef] [PubMed]
- Ma, M.C.J.; Tadros, S.; Bouska, A.; Heavican, T.; Yang, H.P.; Deng, Q.; Moore, D.; Akhter, A.; Hartert, K.; Jain, N.; et al. Subtype-specific and co-occurring genetic alterations in B-cell non-Hodgkin lymphoma. Haematologica 2022, 107, 690–701. [Google Scholar] [CrossRef] [PubMed]
- Huber, F.; Zwickl-Traxler, E.; Pecherstorfer, M.; Singer, J. Evaluation of Ki-67 as a Prognostic Marker in Diffuse Large B-Cell Lymphoma-A Single-Center Retrospective Cohort Study. Curr. Oncol. 2021, 28, 4521–4529. [Google Scholar] [CrossRef]
- Swerdlow, S.H. Diagnosis of ‘double hit’ diffuse large B-cell lymphoma and B-cell lymphoma, unclassifiable, with features intermediate between DLBCL and Burkitt lymphoma: When and how, FISH versus IHC. Hematol.-Am. Soc. Hematol. Educ. Program 2014, 2024, 90–99. [Google Scholar] [CrossRef]



| Parameter | Value |
|---|---|
| Age (median (IQR)) | 61.81 (49.14–73.83) |
| Age ≥ 60 years (Nr., %) | 36 (54.5%) |
| Sex (Male) (Nr., %) | 39 (59.1%) |
| Cell of origin (Non-GCB) (Nr., %) | 43 (65.2%) |
| Extra nodal involvement (Nr., %) | 26 (39.4%) |
| Ann-Arbor stage (III-IV) (Nr., %) | 55 (83.3%) |
| High LDH (Nr., %) | 30 (45.5%) |
| IPI high risk score (>3) (Nr., %) | 43 (65.2%) |
| C-MYC expression (Nr., %) | 5 (7.6%) |
| BCL-2 expression (Nr., %) | 38 (57.6%) |
| BCL-6 expression (Nr., %) | 43 (65.2%) |
| Ki-67 ≥ 75% expression (Nr., %) | 43 (65.2%) |
| Double/Triple expression (Nr., %) | 5 (7.6%) |
| MYC/BCL2 | 1 (1.5%) |
| MYC/BCL6 | 2 (3%) |
| MYC/BCL2/BCL6 | 2 (3%) |
| Marker N, (%) | C-MYC | p | BCL-2 | p | Ki-67 ≥ 75% | p | |||
|---|---|---|---|---|---|---|---|---|---|
| Negative | Positive | Negative | Positive | Negative | Positive | ||||
| No. | 61 (92.4) | 5 (7.6) | - | 28 (42.4) | 38 (57.6) | - | 23 (34.8) | 43 (65.2) | - |
| Age | |||||||||
| <60 | 26 (42.6) | 4 (80) | 0.169 | 14 (50) | 16 (42.1) | 0.619 | 11 (47.8) | 19 (44.2) | 0.801 |
| ≥60 | 35 (57.4) | 1 (20) | 14 (50) | 22 (57.9) | 12 (52.2) | 24 (55.8) | |||
| Gender | |||||||||
| Female | 25 (41) | 2 (40) | 1.000 | 11 (39.3) | 16 (42.1) | 1.000 | 8 (34.8) | 19 (44.2) | 0.601 |
| Male | 36 (59) | 3 (60) | 17 (60.7) | 22 (57.9) | 15 (65.2) | 24 (55.8) | |||
| COO | |||||||||
| GCB | 19 (31.1) | 4 (80) | 0.046 | 11 (39.3) | 12 (31.6) | 0.604 | 10 (43.5) | 13 (30.2) | 0.295 |
| Non-GCB | 42 (68.9) | 1 (20) | 17 (60.7) | 26 (68.4) | 13 (56.5) | 30 (69.8) | |||
| Extranodal | |||||||||
| Nodal | 38 (62.3) | 2 (40) | 0.375 | 18 (64.3) | 22 (57.9) | 0.621 | 16 (69.6) | 24 (55.8) | 0.304 |
| ≥1 | 23 (37.7) | 3 (60) | 10 (35.7) | 16 (42.1) | 7 (30.4) | 19 (44.2) | |||
| Ann-Arbor | |||||||||
| I-II | 11 (18) | 0 (0) | 0.580 | 3 (10.7) | 8 (21.1) | 0.331 | 5 (21.7) | 6 (14) | 0.495 |
| III-IV | 50 (82) | 5 (100) | 25 (89.3) | 30 (78.9) | 18 (78.3) | 37 (86) | |||
| LDH | |||||||||
| Normal | 34 (55.7) | 2 (40) | 0.652 | 15 (53.6) | 21 (55.3) | 1.000 | 13 (56.5) | 23 (53.5) | 1.000 |
| High | 27 (44.3) | 3 (60) | 13 (46.4) | 17 (44.7) | 10 (43.5) | 20 (46.5) | |||
| IPI score | |||||||||
| 0–3 | 21 (34.4) | 2 (40) | 1.000 | 7 (25) | 16 (42.1) | 0.195 | 7 (30.4) | 16 (37.2) | 0.787 |
| >3 | 40 (65.6) | 3 (60) | 21 (75) | 22 (57.9) | 16 (69.6) | 27 (62.8) | |||
| MYC | |||||||||
| Negative | - | - | - | 26 (92.9) | 35 (92.1) | 1.000 | 22 (95.7) | 39 (90.7) | 0.651 |
| Positive | - | - | 2 (7.1) | 3 (7.9) | 1 (4.3) | 4 (9.3) | |||
| BCL-2 | |||||||||
| Negative | 26 (42.6) | 2 (40) | 1.000 | - | - | - | 10 (43.5) | 18 (41.9) | 1.000 |
| Positive | 35 (57.4) | 3 (60) | - | - | 13 (56.5) | 25 (58.1) | |||
| Ki-67 ≥ 75% | |||||||||
| Negative | 22 (36.1) | 1 (20) | 0.651 | 10 (35.7) | 13 (34.2) | 1.000 | - | - | - |
| Positive | 39 (63.9) | 4 (80) | 18 (64.3) | 25 (65.8) | - | - | |||
| Parameter | Univariable | Multivariable | ||
|---|---|---|---|---|
| HR (95% C.I.) | p | HR (95% C.I.) | p | |
| Age ≥ 60 years | 2.46 (1.18–5.12) | 0.016 | 2.36 (1.13–4.92) | 0.022 |
| Sex (Male) | 0.98 (0.50–1.93) | 0.967 | - | - |
| Non-GCB | 0.91 (0.46–1.81) | 0.796 | - | - |
| Extranodal | 1.85 (0.95–3.60) | 0.070 | - | - |
| Stage III–IV | 0.94 (0.38–2.30) | 0.902 | - | - |
| High LDH | 1.19 (0.62–2.30) | 0.591 | - | - |
| IPI > 3 | 0.55 (0.27–1.10) | 0.095 | - | - |
| C-MYC | 1.60 (0.56–4.56) | 0.376 | - | - |
| BCL-2 | 1.88 (0.93–3.79) | 0.077 | - | - |
| BCL-6 | 0.68 (0.34–1.35) | 0.683 | - | - |
| High Ki-67 | 3.98 (1.72–9.21) | 0.001 | 3.89 (1.67–9.07) | 0.002 |
| Double/Triple Expressers | 1.60 (0.56–4.56) | 0.376 | - | - |
Disclaimer/Publisher’s Note: The statements, opinions and data contained in all publications are solely those of the individual author(s) and contributor(s) and not of MDPI and/or the editor(s). MDPI and/or the editor(s) disclaim responsibility for any injury to people or property resulting from any ideas, methods, instructions or products referred to in the content. |
© 2025 by the authors. Published by MDPI on behalf of the Lithuanian University of Health Sciences. Licensee MDPI, Basel, Switzerland. This article is an open access article distributed under the terms and conditions of the Creative Commons Attribution (CC BY) license (https://creativecommons.org/licenses/by/4.0/).
Share and Cite
Halcu, G.; Evsei-Seceleanu, A.; Tapoi, D.-A.; Cerbu, M.; Barta, C.; Ceausu, M.C. Correlations Between Immunophenotypic Markers and Clinical Progression in Romanian Patients Diagnosed with Diffuse Large B-Cell Lymphoma. Medicina 2025, 61, 948. https://doi.org/10.3390/medicina61060948
Halcu G, Evsei-Seceleanu A, Tapoi D-A, Cerbu M, Barta C, Ceausu MC. Correlations Between Immunophenotypic Markers and Clinical Progression in Romanian Patients Diagnosed with Diffuse Large B-Cell Lymphoma. Medicina. 2025; 61(6):948. https://doi.org/10.3390/medicina61060948
Chicago/Turabian StyleHalcu, Georgian, Anca Evsei-Seceleanu, Dana-Antonia Tapoi, Mihai Cerbu, Cristian Barta, and Mihail Constantin Ceausu. 2025. "Correlations Between Immunophenotypic Markers and Clinical Progression in Romanian Patients Diagnosed with Diffuse Large B-Cell Lymphoma" Medicina 61, no. 6: 948. https://doi.org/10.3390/medicina61060948
APA StyleHalcu, G., Evsei-Seceleanu, A., Tapoi, D.-A., Cerbu, M., Barta, C., & Ceausu, M. C. (2025). Correlations Between Immunophenotypic Markers and Clinical Progression in Romanian Patients Diagnosed with Diffuse Large B-Cell Lymphoma. Medicina, 61(6), 948. https://doi.org/10.3390/medicina61060948

