Adenosine Deaminase and Systemic Immune Inflammatory Index—A Biomarker Duet Signature of Pulmonary Tuberculosis Severity
Abstract
1. Introduction
2. Materials and Methods
2.1. Ethical Approval
2.2. Participants
2.3. Methodology
- Group 1 included 168 individuals with bacteriologically confirmed PTB cases, based on positive results by smear microscopy, culture, or molecular diagnostic assays approved by WHO (Xpert MTB/RIF).
- Group 2 comprised 64 patients, with clinically diagnosed PTB cases, because bacteriological confirmation was missing. High suspicion of TB active disease was based on a combination of clinical features, radiologic abnormalities, or suggestive histopathological evidence.
2.3.1. Inclusion Criteria
2.3.2. Exclusion Criteria
2.4. Data Analysis Methodology
3. Results
4. Discussion
5. Conclusions
Author Contributions
Funding
Institutional Review Board Statement
Informed Consent Statement
Data Availability Statement
Conflicts of Interest
Abbreviations
| ADA | Adenosine Deaminase |
| TB | Tuberculosis |
| PTB | Pulmonary Tuberculosis |
| SII | Systemic Immune Inflammatory Index |
| MTB | Mycobacterium tuberculosis |
| WHO | World Health Organization |
| CT | Computed Tomography |
| TST | Tuberculin Skin Test |
| IGRA | Interferon Gamma Releasing Assay |
| BMI | Body Mass Index |
| MUST | Malnutrition Universal Screening Tool |
| LPA | Line Probe Assay |
| NLR | Neutrophil-to-Lymphocyte Ratio |
| PLR | Platelet-to-Lymphocyte Ratio |
| ESR | Erythrocyte Sedimentation Rate |
| CRP | C-Reactive Protein |
| QFT | QuantiFERON-TB Gold Plus |
| ROC | Receiver Operating Characteristic |
| AUC | Area Under the Curve |
| PPV | Positive Predictive Value |
| NPV | Negative Predictive Value |
| DR-TB | Drug-Resistant Tuberculosis |
| RR-TB | Rifampicin-Resistant Tuberculosis |
| MDR-TB | Multidrug-Resistant Tuberculosis |
| DS-TB | Drug-Sensitive Tuberculosis |
References
- WHO World Health Organization. Global Tuberculosis Report 2024; World Health Organization: Geneva, Switzerland, 2024; Available online: https://www.who.int/teams/global-programme-on-tuberculosis-and-lung-health/tb-reports/global-tuberculosis-report-2024 (accessed on 6 June 2025).
- Al Khatib, A.; Hassanein, S.; Almari, M.; Koubar, M.; Fakhreddine, S. Tuberculosis morbidity and mortality during the COVID-19 pandemic: A life-threatening complex challenge. Front. Cell Infect. Microbiol. 2024, 14, 1423081. [Google Scholar] [CrossRef]
- Wallace, R.M.; Kammerer, J.S.; Iademarco, M.F.; Althomsons, S.P.; Winston, C.A.; Navin, T.R. Increasing proportions of advanced pulmonary tuberculosis reported in the United States: Are delays in diagnosis on the rise? Am. J. Respir. Crit. Care Med. 2009, 180, 1016–1022. [Google Scholar] [CrossRef] [PubMed]
- Marusinec, R.; Clifton, T.; Chitnis, A.S.; Jaganath, D. Advanced pulmonary tuberculosis in Alameda County: Ten-year incidence and risk factors. J. Clin. Tuberc. Other Mycobact. Dis. 2024, 37, 100475. [Google Scholar] [CrossRef] [PubMed]
- Yang, Z.-H.; Gorden, T.; Liu, D.-P.; Mukasa, L.; Patil, N.; Bates, J.H. Increasing likelihood of advanced pulmonary tuberculosis at initial diagnosis in a low-incidence US state. Int. J. Tuberc. Lung Dis. 2018, 22, 628–636. [Google Scholar] [CrossRef]
- Li, T.; Du, X.; Kang, J.; Luo, D.; Liu, X.; Zhao, Y. Patient, diagnosis, and treatment delays among tuberculosis patients before and during the COVID-19 epidemic—China, 2018–2022. China CDC Wkly. 2023, 5, 259–265. [Google Scholar] [PubMed]
- Liu, Y.; Fan, M.; Li, Y.; Kang, J.; Yan, A.Y. Patient delay in the diagnosis of pulmonary tuberculosis in the elderly—China, 2015–2023. China CDC Wkly. 2024, 6, 1075–1079. [Google Scholar] [CrossRef]
- Barua, R.; Hossain, M.A. Adenosine deaminase in diagnosis of tuberculosis: A review. Anwer Khan Mod. Med. Coll. J. 2014, 5, 43–48. [Google Scholar] [CrossRef]
- Cristalli, G.; Costanzi, S.; Lambertucci, C.; Lupidi, G.; Vittori, S.; Volpini, R.; Camaioni, E. Adenosine deaminase: Functional implications and different classes of inhibitors. Med. Res. Rev. 2001, 21, 105–128. [Google Scholar] [CrossRef]
- Kelam, M.A.; Ganie, F.A.; Shah, B.A.; Ganie, S.A.; Wani, M.L.; Wani, N.U.; Gani, M. The diagnostic efficacy of adenosine deaminase in tubercular effusion. Oman Med. J. 2013, 28, 417–421. [Google Scholar] [CrossRef]
- Piras, M.A.; Gakis, C.; Budroni, M.; Andreoni, G. Adenosine deaminase activity in pleural effusions: An aid to differential diagnosis. Br. Med. J. 1978, 2, 1751–1752. [Google Scholar] [CrossRef]
- Peng, Z.; Chen, L.; Zhang, H. Serum proteomic analysis of Mycobacterium tuberculosis antigens for discriminating active tuberculosis from latent infection. J. Int. Med. Res. 2020, 48, 300060520910042. [Google Scholar] [CrossRef]
- Kobashi, Y. Current status and future landscaping of diagnosing tuberculosis infection. Respir Investig. 2023, 61, 563–578. [Google Scholar] [CrossRef] [PubMed]
- Jacobs, R.; Awoniyi, D.O.; Baumann, R.; Stanley, K.; McAnda, S.; Kaempfer, S.; Malherbe, S.T.; Singh, M.; Walzl, G.; Chegou, N.N.; et al. Concurrent evaluation of cytokines improves the accuracy of antibodies against Mycobacterium tuberculosis antigens in the diagnosis of active tuberculosis. Tuberculosis 2022, 133, 102169. [Google Scholar] [CrossRef]
- WHO World Health Organization. Definitions and Reporting Framework for Tuberculosis—2013 Revision; World Health Organization: Geneva, Switzerland, 2013; Available online: https://iris.who.int/bitstream/handle/10665/79199/9789241505345_eng.pdf (accessed on 22 December 2024).
- WHO World Health Organization. WHO Consolidated Guidelines on Tuberculosis; World Health Organization: Geneva, Switzerland, 2020; Available online: https://apps.who.int/iris/bitstream/handle/10665/331170/9789240001503-eng.pdf (accessed on 22 December 2024).
- Pasco, J.A.; Holloway, K.L.; Dobbins, A.G.; Kotowicz, M.A.; Williams, L.J.; Brennan, S.L. Body mass index and measures of body fat for defining obesity and underweight: A cross-sectional, population-based study. BMC Obes. 2014, 1, 9. [Google Scholar] [CrossRef] [PubMed]
- Elia, M. The “MUST” Report. Nutritional Screening of Adults: A Multidisciplinary Responsibility; BAPEN: Redditch, UK, 2003. [Google Scholar]
- Serón-Arbeloa, C.; Labarta-Monzón, L.; Puzo-Foncillas, J.; Mallor-Bonet, T.; Lafita-López, A.; Bueno-Vidales, N.; Montoro-Huguet, M. Malnutrition screening and assessment. Nutrients 2022, 14, 2392. [Google Scholar] [CrossRef]
- Armocida, E.; Martini, M. Tuberculosis: A timeless challenge for medicine. J. Prev. Med. Hyg. 2020, 61, E143–E147. [Google Scholar] [PubMed]
- Cioboata, R.; Biciusca, V.; Olteanu, M.; Vasile, C.M. COVID-19 and tuberculosis: Unveiling the dual threat and shared solutions perspective. J. Clin. Med. 2023, 12, 4784. [Google Scholar] [CrossRef]
- Patra, K.; Batabyal, S.; Mandal, K.; Ghose, D.; Sarkar, J. Tuberculosis and COVID-19: A combined global threat to human civilization. Clin. Epidemiol. Glob. Health 2022, 15, 101031. [Google Scholar] [CrossRef]
- Alemu, A.; Bitew, Z.W.; Seid, G.; Diriba, G.; Gashu, E.; Berhe, N.; Mariam, S.H.; Gumi, B. Tuberculosis in individuals who recovered from COVID-19: A systematic review of case reports. PLoS ONE 2022, 17, e0277807. [Google Scholar] [CrossRef]
- Mnyambwa, N.P.; Philbert, D.; Kimaro, G.; Wandiga, S.; Kirenga, B.; Mmbaga, B.T.; Muttamba, W.; Najjingo, I.; Walusimbi, S.; Nuwarinda, R.; et al. Gaps related to screening and diagnosis of tuberculosis in East African health-care cascades: A retrospective study. J. Clin. Tuberc. Other Mycobact. Dis. 2021, 25, 100278. [Google Scholar] [CrossRef]
- Shah, H.D.; Nazli-Khatib, M.; Syed, Z.Q.; Gaidhane, A.M.; Yasobant, S.; Narkhede, K.; Bhavsar, P.; Patel, J.; Sinha, A.; Puwar, T.; et al. Gaps and interventions across the diagnostic care cascade of TB patients: A qualitative review. Trop. Med. Infect. Dis. 2022, 7, 136. [Google Scholar] [CrossRef] [PubMed]
- Goletti, D.; Petruccioli, E.; Joosten, S.A.; Ottenhoff, T.H. Tuberculosis biomarkers: From diagnosis to protection. Infect. Dis. Rep. 2016, 8, 6568. [Google Scholar] [CrossRef] [PubMed]
- Shu, C.; Wang, J.; Lee, L.; Yu, C.; Luh, K. Improving tuberculosis diagnostics with biomarkers. Curr. Biomark. Findings 2015, 5, 13–19. [Google Scholar] [CrossRef]
- Dolezalova, K.; Hadlova, P.; Ibrahimova, M.; Golias, J.; Baca, L.; Kopecka, E.; Sukholytka, M.; Koziar Vasakova, M. Flow cytometry-based cytokine profiling differentiates Mycobacterium tuberculosis infection from disease. Tuberculosis 2024, 147, 102518. [Google Scholar] [CrossRef]
- Nogueira, B.M.F.; Krishnan, S.; Barreto-Duarte, B.; Araújo-Pereira, M.; Queiroz, A.T.L.; Ellner, J.J.; Salgame, P.; Scriba, T.J.; Sterling, T.R.; Gupta, A.; et al. Diagnostic biomarkers for active tuberculosis: Progress and challenges. EMBO Mol. Med. 2022, 14, e14088. [Google Scholar] [CrossRef]
- Altet, N.; Dominguez, J.; Souza-Galvão, M.L.; Jiménez-Fuentes, M.Á.; Milà, C.; Solsona, J.; Soriano-Arandés, A.; Latorre, I.; Lara, E.; Cantos, A.; et al. Predicting tuberculosis with the tuberculin skin test and QuantiFERON testing. Ann. Am. Thorac. Soc. 2015, 12, 680–688. [Google Scholar] [CrossRef]
- Nemes, E.; Rozot, V.; Geldenhuys, H.; Bilek, N.; Mabwe, S.; Abrahams, D.; Makhethe, L.; Erasmus, M.; Keyser, A.; Toefy, A.; et al. Serial QuantiFERON testing to measure acquisition of Mycobacterium tuberculosis infection. Am. J. Respir. Crit. Care Med. 2017, 196, 638–648. [Google Scholar] [CrossRef]
- Matuku-Kisaumbi, P. The role of TB biomarkers in diagnosis, prognosis and prevention of tuberculosis. In Infectious Diseases; IntechOpen: London, UK, 2025; pp. 1–46. [Google Scholar]
- Aggarwal, A.N.; Agarwal, R.; Sehgal, I.S.; Dhooria, S. Adenosine deaminase for diagnosis of tuberculous pleural effusion: A systematic review and meta-analysis. PLoS ONE 2019, 14, e0213728. [Google Scholar] [CrossRef]
- Feng, M.; Sun, F.; Wang, F.; Cao, G. Sequential ADA screening and T-SPOT assay in pleural effusion patients. Artif. Cells Nanomed. Biotechnol. 2019, 47, 3272–3277. [Google Scholar] [CrossRef]
- Verma, M.; Narang, S.; Moonat, A.; Verma, A. Study of adenosine deaminase activity in pulmonary tuberculosis and other common respiratory diseases. Indian J. Clin. Biochem. 2004, 19, 129–131. [Google Scholar] [CrossRef][Green Version]
- Shaukat, S.N.; Eugenin, E.; Nasir, F.; Khanani, R.; Kazmi, S.U. Identification of immune biomarkers in recent active pulmonary tuberculosis. Sci. Rep. 2023, 13, 11481. [Google Scholar] [CrossRef]
- Carabalí-Isajar, M.L.; Rodríguez-Bejarano, O.H.; Amado, T.; Patarroyo, M.A.; Izquierdo, M.A.; Lutz, J.R.; Ocampo, M. Clinical manifestations and immune response to tuberculosis. World J. Microbiol. Biotechnol. 2023, 39, 206. [Google Scholar] [CrossRef]
- Promise, L.O.; Adedayo, O.A.; Dorcas, S.I.; Akanbi, O.O.; Okafor, B.C.; Kanu, I.; Sone, P.E.; Patrick, J.O.; Oluwole, F.T.; Adeyemi, B.I.; et al. Biomarkers for tuberculosis diagnosis and monitoring: A review of translational progress. Asian J. Microbiol. Biotech. 2025, 10, 115–130. [Google Scholar]
- Saini, V.; Lokhande, B.; Jaswal, S.; Aggarwal, D.; Garg, K.; Kaur, J. Role of serum adenosine deaminase in pulmonary tuberculosis. Indian J. Tuberc. 2018, 65, 30–34. [Google Scholar] [CrossRef] [PubMed]
- Salmanzadeh, S.; Tavakkol, H.; Bavieh, K.; Alavi, S.M. Diagnostic value of serum adenosine deaminase in pulmonary tuberculosis. Jundishapur J. Microbiol. 2015, 8, e21760. [Google Scholar] [CrossRef]
- Binesh, F.; Jalali, H.; Zare, M.R.; Behravan, F.; Tafti, A.D.; Behnaz, F.; Tabatabaee, M.; Shahcheraghi, S.H. Diagnostic value of sputum adenosine deaminase in pulmonary tuberculosis. Germs 2016, 6, 60–65. [Google Scholar] [CrossRef]
- Agarwal, M.K.; Nath, J.; Mukerji, P.K.; Srivastava, V.M.L. Serum adenosine deaminase in sputum-negative pulmonary tuberculosis. Indian J. Tuberc. 1991, 38, 139–141. [Google Scholar]
- Kartaloglu, Z.; Okutan, O.; Bozkanat, E.; Ugan, M.H.; Ilvan, A. Course of serum adenosine deaminase in pulmonary tuberculosis. Med. Sci. Monit. 2006, 12, CR476–CR480. [Google Scholar] [PubMed]
- Soedarsono, S.; Prinasetyo, K.W.A.I.; Tanzilia, M.; Nugraha, J. Changes of serum adenosine deaminase before and after intensive-phase therapy in pulmonary tuberculosis. Lung India 2020, 37, 126–129. [Google Scholar] [CrossRef]
- Kerget, B.; Afşin, D.E.; Aksakal, A. Systemic immune-inflammation index in granulomatous versus reactive LAP diagnosed by endobronchial ultrasonography. Sarcoidosis Vasc. Diffuse Lung Dis. 2023, 40, e2023038. [Google Scholar]
- Karaaslan, T.; Karaaslan, E. Systemic immune-inflammation index and mortality in COVID-19 patients. J. Crit. Care Med. 2022, 8, 156–164. [Google Scholar] [CrossRef] [PubMed]
- Alaarag, A.H.; Mohammad, O.I.; Farag, N.M. Serum adenosine deaminase for pulmonary tuberculosis diagnosis. Egypt J. Bronchol. 2016, 10, 133–139. [Google Scholar] [CrossRef]
- Gencheva, I.I. Serum adenosine deaminase in tuberculosis and inflammatory lung disease. J. IMAB—Annu. Proc. Sci. Pap. 2020, 26, 3449–3451. [Google Scholar]
- Yu, Z.; Shang, Z.; Huang, Q.; Wen, F.; Patil, S. Integrating systemic immune-inflammation index, fibrinogen and T-SPOT.TB for distinguishing active pulmonary tuberculosis. Front. Microbiol. 2024, 15, 1382665. [Google Scholar]
- Ştefanescu, S.; Cocoş, R.; Turcu-Stiolica, A.; Mahler, B.; Meca, A.D.; Giura, A.M.C.; Bogdan, M.; Shelby, E.S.; Zamfirescu, G.; Pisoschi, C.G. Prognostic value of hematologic profiles after intensive-phase TB treatment in Romania. PLoS ONE 2021, 16, e0249301. [Google Scholar] [CrossRef]
- Dong, H.; Feng, J.; Chang, X.; Wu, S.; Tang, G.; Liang, F.; Tang, H.; Dong, Y.; Fang, W.; Hu, J.; et al. Systemic immune-inflammation biomarkers predict drug-induced liver injury in HBV-positive TB patients. Medicine 2024, 103, e40349. [Google Scholar] [CrossRef]
- Çorbacıoğlu, Ş.K.; Aksel, G. Receiver operating characteristic curve analysis in diagnostic accuracy studies: A guide to interpreting the area under the curve value. Turk. J. Emerg. Med. 2023, 23, 195–198. [Google Scholar] [CrossRef]


| Variable | Bacteriologically Confirmed PTB | Clinically Diagnosed PTB | Total Cases | p |
|---|---|---|---|---|
| Patients (n; %) | 156 (75%) | 52 (25%) | 208 (100%) | |
| PTB Notified Cases | 156 | 52 | 208 | 0.000 |
| New cases (n; %) | 106 (67.95%) | 50 (96.15%) | 156 (75%) | |
| Relapses (n; %) | 50 (32.05%) | 2 (3.85%) | 52 (25%) | |
| Delayed diagnosis (n; %) | 138 (88.46%) | 10 (19.23%) | 148 (71.15%) | 0.000 |
| Interval from onset of symptoms to PTB diagnosis (months) | 3.55 ± 2.908 | 2.54 ± 2.601 | 3.30 ± 2.862 | 0.027 |
| Deceased (n) | 22 (14.10%) | 2 (3.84%) | 24 (11.53%) | 0.046 |
| Interval PTB diagnosis–death (mean) (days) | 54.32 ± 76.61 | 8.50 ± 6.36 | 50.50 ± 4.35 | 0.416 |
| Age at the moment of PTB diagnosis (years) | 52.81 ± 14.13 | 59.04 ± 14.18 | 54.4 ± 14.40 | 0.007 |
| Age at the moment of death (years) | 56.36 ± 15.38 | 73.50 ± 10.60 | 57.79 ± 15.63 | 0.141 |
| Gender (n; %) | 0.203 | |||
| M (males) | 119 (76.28%) | 35 (67.07%) | 154 (74%) | |
| F (females) | 37 (23.72%) | 17 (32.93%) | 54 (26%) | |
| Residence (Urban) (n; %) | 78 (50%) | 35 (67.30%) | 113 (54.32%) | 0.031 |
| Smoking exposure (n) | 122 (78.2%) | 34 (65.38%) | 156 (75%) | 0.003 |
| Current smokers (CS) | 99 | 19 | 118 | |
| Former smokers (FS) | 23 | 15 | 38 | |
| Never smokers (NS) | 34 | 18 | 52 | |
| Cigars pack-year (mean) | 30.31 ± 15.61 | 37.21 ± 24.64 | 31.81 ± 18.10 | 0.366 |
| Current smokers (CS) | 31.39 ± 15.33 | 29.37 ± 18.15 | 31.07 ± 15.75 | |
| Former smokers (FS) | 25.65 ± 16.32 | 47.13 ± 28.68 | 34.13 ± 24.11 | |
| Alcohol abuse use (n; %) | 44 (28.20%) | 10 (19.23%) | 54 (26%) | 0.340 |
| Previous COVID-19 (n; %) | 45 (28.85%) | 31 (59.61%) | 76 (36.53%) | 0.000 |
| Interval COVID–PTB (mean) (months) | 10.12 ± 8.05 | 13.74 ± 9.55 | 11.57 ± 8.78 | 0.095 |
| Height (cm) (mean) | 170.28 ± 8.176 | 168.81 ± 8.67 | 169.91 ± 8.3 | 0.269 |
| Weight (kg) (mean) | 58.78 ± 13.19 | 67.87 ± 17.17 | 61.05 ± 17.78 | 0.000 |
| Loss in weight (kg) (mean) | 6.55 ± 5.69 | 2.79 ± 4.667 | 5.61 ± 5.68 | 0.000 |
| BMI (kg/m2) (mean) | 20.02 ± 4.01 | 24.02 ± 6.08 | 21.02 ± 4.92 | 0.000 |
| Underweighting (BMI ˂ 18.5 kg/m2) (n; %) | 70 (44.87%) | 10 (19.23%) | 80 (38.46%) | 0.001 |
| Malnutrition Universal Screening Tool (MUST) Score | 0.000 | |||
| 0 (n; %) | 36 (23.08%) | 27 (51.92%) | 63 (30.29) | |
| 1 (n; %) | 5 (3.21%) | 6 (11.54%) | 11 (52.88%) | |
| 2 (n; %) | 6 (3.85%) | 2 (3.84%) | 8 (3.85%) | |
| 3 (n; %) | 16 (10.25%) | 2 (3.84%) | 18 (8.65%) | |
| 4 (n; %) | 18 (11.54%) | 4 (7.69%) | 22 (10.57%) | |
| 5 (n; %) | 23 (14.74%) | 7 (13.46%) | 30 (14.42%) | |
| 6 (n; %) | 52 (33.33%) | 4 (7.69%) | 56 (26.92%) | |
| Risk of malnutrition by MUST | 0.000 | |||
| Low (n; %) | 37 (23.72%) | 27 (51.92%) | 64 (30.77%) | |
| Medium (n; %) | 5 (3.21%) | 6 (11.54%) | 11 (5.29%) | |
| Higher (n; %) | 114 (73.07%) | 19 (36.54%) | 133 (63.94%) | |
| Nodular lung lesions (n; %) | 153 (98.07%) | 47 (90.38%) | 200 (96.15%) | 0.012 |
| Cavitary lung lesions (n; %) | 139 (89.10%) | 6 (11.54%) | 145 (69.71%) | 0.000 |
| Pulmonary miliary (n; %) | 6 (3.84%) | 3 (5.76%) | 9 (4.32%) | 0.6 |
| Bronchopneumonia (n; %) | 17 (10.89%) | 1 (1.9%) | 18 (8.65%) | 0.005 |
| Bacteriologically Confirmed PTB | Clinically Diagnosed PTB | Total Cases | p | |
|---|---|---|---|---|
| ADA (mean) (IU/L) | 34.06 ± 9.272 | 29.56 ± 7.917 | 32.94 ± 9.14 | 0.002 |
| DS-TB (n = 139) | 34.07 ± 9.31 | |||
| DR-TB (n = 6) | 37.00 ± 12.57 | |||
| RR-TB (n = 4) | 35.50 ± 7.14 | |||
| MDR-TB (n = 7) | 31.29 ± 7.15 | |||
| QuantiFERON TB Gold Plus (n; %) | 13 (8.33%) | 38 (73%) | 51 (24.51%) | |
| Positive results (nr; %) | 13 (100%) | 30 (78.94%) | 43 (84.31%) | 0.000 |
| AgTB1 (IU/mL) | 7.280 ± 2.351 | 3.794 ± 3.427 | 5.742 ± 3.09 | 0.000 |
| AgTB2 (IU/mL) | 7.317 ± 2.390 | 3.381 ± 3.083 | 5.392 ± 2.98 | 0.001 |
| TB1AgNIL (IU/mL) | 6.097 ± 2.989 | 3.187 ± 2.942 | 4.823 ± 2.92 | 0.004 |
| TB2AgNIL (IU/mL) | 6.268 ± 3.006 | 3.006 ± 2.838 | 4.718 ± 2.94 | 0.001 |
| Leukocytes (mean) {cells}/µL | 11,169.49 ± 5114.582 | 8845.58 ± 2672.459 | 10,588.51 ± 4729.138 | 0.002 |
| Neutrophils (mean) {cells}/µL | 7815.46 ± 4892.382 | 5792.48 ± 2564.178 | 7309.71 ± 4507.062 | 0.005 |
| Lymphocytes (mean) {cells}/µL | 2101.99 ± 1033.384 | 2089.08 ± 756.555 | 2098.76 ± 969.884 | 0.934 |
| Platelets (mean) {cells}/µL | 36,0064.10 ± 16,6002.358 | 268,250.00 ± 110,328.542 | 337,110.58 ± 158,812.873 | 0.000 |
| NLR (mean) | 6.20 ± 16.18 | 5.08 ± 11.67 | 5.92 ± 15.16 | 0.648 |
| PLR (mean) | 215.63 ± 169.08 | 153.17 ± 109.91 | 200.02+/158.49 | 0.014 |
| SII (mean) | 2006.47 ± 3028.18 | 989.47 ± 1009.76 | 1752.22 ± 2704.15 | 0.018 |
| ESR (mean) mm/hour | 59.68 ± 32.03 | 33.98 ± 26.74 | 53.25 ± 32.69 | 0.000 |
| CRP (mean) mg/dL | 50.76 ± 81.65 | 50.82 ± 154.46 | 50.78 ± 105.09 | 0.998 |
| Fibrinogen (mean) (g/L) | 5.23 ± 1.76 | 4.19 ± 1.38 | 4.97 ± 1.73 | 0.000 |
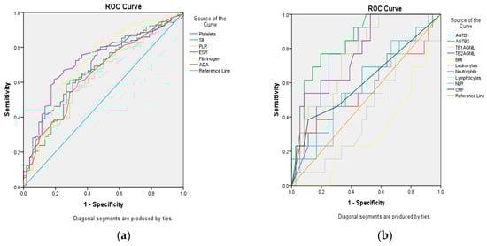
| Biomarker | AUC | Std. Error | p | Asymptotic 95% CI | Coordinates of the ROC Curves | |||
|---|---|---|---|---|---|---|---|---|
| Lower Bound | Upper Bound | Cut-off Value | Sensitivity | Specificity | ||||
| CRP | 0.856 | 0.043 | 0.000 | 0.772 | 0.939 | 72 | 0.64 | 0.15 |
| NLR | 0.843 | 0.070 | 0.000 | 0.707 | 0.980 | 4.73 | 0.36 | 0.22 |
| Neutrophils | 0.805 | 0.062 | 0.000 | 0.684 | 0.926 | 7480 | 0.36 | 0.26 |
| SII | 0.765 | 0.048 | 0.000 | 0.670 | 0.860 | 902.14 | 0.50 | 0.16 |
| Leukocytes | 0.744 | 0.075 | 0.002 | 0.596 | 0.891 | 11350 | 0.39 | 0.18 |
| ADA | 0.708 | 0.094 | 0.032 | 0.524 | 0.892 | 30.5 | 0.75 | 0.22 |
| PLR | 0.706 | 0.058 | 0.001 | 0.593 | 0.820 | 175.88 | 0.42 | 0.14 |
| ESR | 0.739 | 0.043 | 0.000 | 0.654 | 0.824 | 77.00 | 0.58 | 0.25 |
| Platelets | 0.659 | 0.115 | 0.103 | 0.433 | 0.885 | 365.00 | 0.50 | 0.03 |
| Fibrinogen | 0.657 | 0.093 | 0.105 | 0.475 | 0.839 | 3.85 | 0.67 | 0.39 |
| BMI | 0.334 | 0.074 | 0.039 | 0.190 | 0.479 | - | - | - |
| Lymphocytes | 0.306 | 0.090 | 0.016 | 0.130 | 0.481 | - | - | - |
Disclaimer/Publisher’s Note: The statements, opinions and data contained in all publications are solely those of the individual author(s) and contributor(s) and not of MDPI and/or the editor(s). MDPI and/or the editor(s) disclaim responsibility for any injury to people or property resulting from any ideas, methods, instructions or products referred to in the content. |
© 2025 by the authors. Published by MDPI on behalf of the Lithuanian University of Health Sciences. Licensee MDPI, Basel, Switzerland. This article is an open access article distributed under the terms and conditions of the Creative Commons Attribution (CC BY) license (https://creativecommons.org/licenses/by/4.0/).
Share and Cite
Arghir, I.A.; Arghir, O.C.; Otelea, M.R.; Andronache, I.T.; Ion, I. Adenosine Deaminase and Systemic Immune Inflammatory Index—A Biomarker Duet Signature of Pulmonary Tuberculosis Severity. Medicina 2025, 61, 1096. https://doi.org/10.3390/medicina61061096
Arghir IA, Arghir OC, Otelea MR, Andronache IT, Ion I. Adenosine Deaminase and Systemic Immune Inflammatory Index—A Biomarker Duet Signature of Pulmonary Tuberculosis Severity. Medicina. 2025; 61(6):1096. https://doi.org/10.3390/medicina61061096
Chicago/Turabian StyleArghir, Ioan Anton, Oana Cristina Arghir, Marina Ruxandra Otelea, Iulia Tania Andronache, and Ileana Ion. 2025. "Adenosine Deaminase and Systemic Immune Inflammatory Index—A Biomarker Duet Signature of Pulmonary Tuberculosis Severity" Medicina 61, no. 6: 1096. https://doi.org/10.3390/medicina61061096
APA StyleArghir, I. A., Arghir, O. C., Otelea, M. R., Andronache, I. T., & Ion, I. (2025). Adenosine Deaminase and Systemic Immune Inflammatory Index—A Biomarker Duet Signature of Pulmonary Tuberculosis Severity. Medicina, 61(6), 1096. https://doi.org/10.3390/medicina61061096

