The Prognostic Role of Hematological Markers in Acute Pulmonary Embolism: Enhancing Risk Stratification
Abstract
1. Introduction
2. Materials and Methods
2.1. Study Design
2.2. Study Methodology
2.3. Statistical Analysis
3. Results
3.1. Determinants of Negative In-Hospital Outcomes: Mortality, Need for Reperfusion Therapy, Hemodynamic Instability, and Resuscitated Cardiac Arrest
3.2. Distribution of Hematological Parameters According to the ESC Risk Classes
3.3. Correlation of Hematological Parameters with RVD, PESI Score, NT-proBNP, and Hs-Troponin
3.4. Assessing the Influence of Demographics and Comorbidities on NLR Value as a Prognostic Tool in Pulmonary Embolism
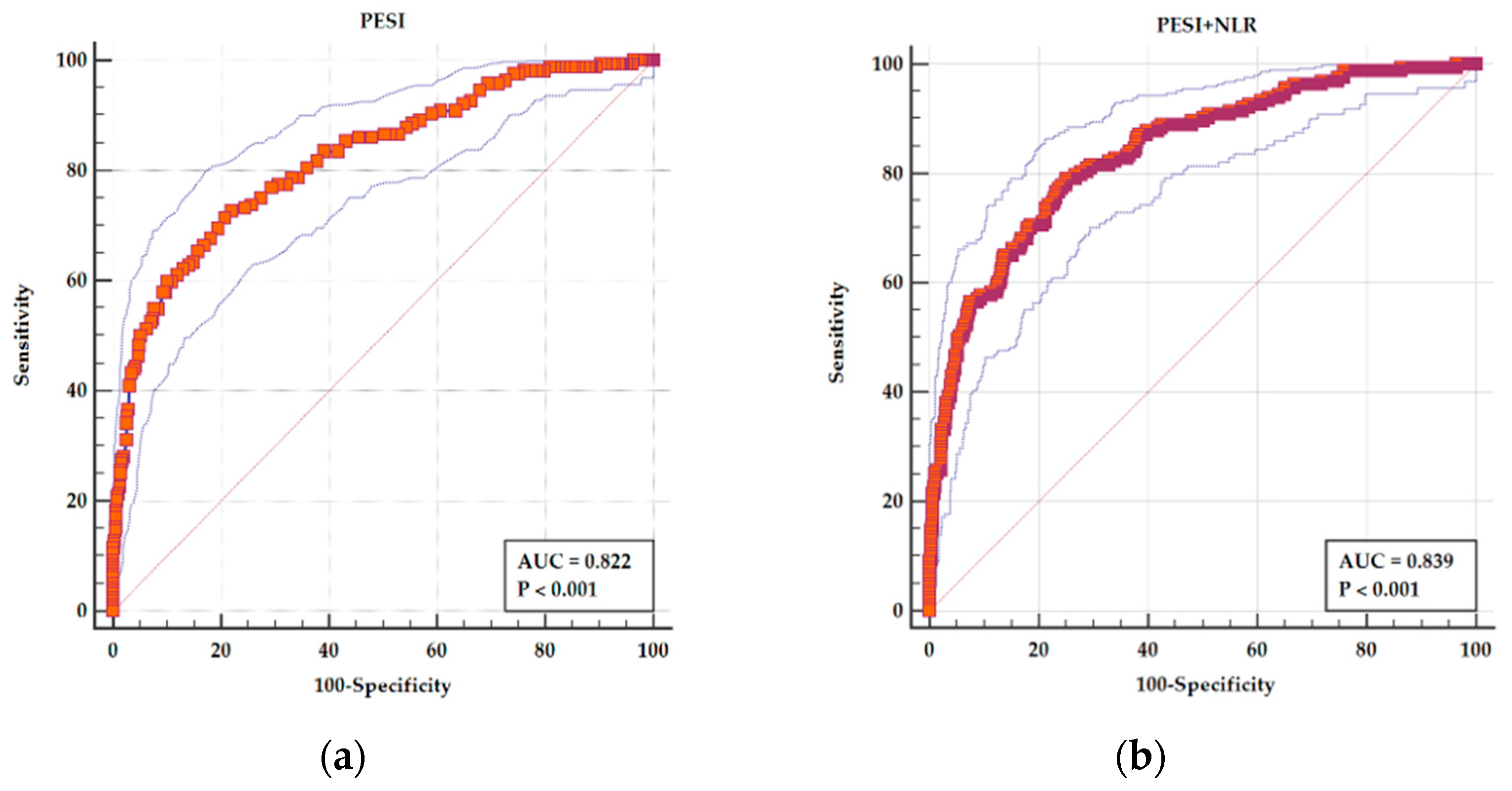
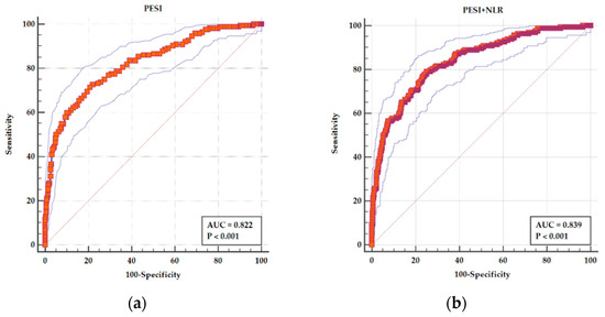
3.5. Value of NLR in Combination with Validated Risk Scores—PESI and ESC Risk Scores
4. Discussion
5. Conclusions
Author Contributions
Funding
Institutional Review Board Statement
Informed Consent Statement
Data Availability Statement
Conflicts of Interest
Abbreviations
| RDW | Red Cell Distribution Width |
| RBC | Red Blood Cell |
| MPV | Mean Platelet Volume |
| VTE | Venous Thromboembolism |
| DVT | Deep Vein Thrombosis |
| AUC | Area Under the Curve |
| ESC | European Society of Cardiology |
| RVD | Right Ventricular Dysfunction |
| PESI | Pulmonary Embolism Severity Index |
| sPESI | Simplified Pulmonary Embolism Severity Index |
| WBC | White Blood Cell |
| NT-proBNP | N-Terminal Pro-B-Type Natriuretic Peptide |
| cTnI | Cardiac Troponin I |
| CI | Confidence Interval |
| OR | Odds Ratio |
| CT | Computed Tomography |
| RV | Right Ventricle |
| LV | Left Ventricle |
| SBP | Systolic Blood Pressure |
| PLR | Platelet-to-Lymphocyte Ratio |
| NLR | Neutrophil-to-Lymphocyte Ratio |
| CRP | C-Reactive Protein |
| PE | Pulmonary Embolism |
| ROC | Receiver Operating Curve |
References
- ISTH Steering Committee for World Thrombosis Day. Thrombosis: A Major Contributor to the Global Disease Burden. J. Thromb. Haemost. 2014, 12, 1580–1590. [Google Scholar] [CrossRef]
- Konstantinides, S.V.; Meyer, G.; Becattini, C.; Bueno, H.; Geersing, G.-J.; Harjola, V.-P.; Huisman, M.V.; Humbert, M.; Jennings, C.S.; Jiménez, D.; et al. 2019 ESC Guidelines for the Diagnosis and Management of Acute Pulmonary Embolism Developed in Collaboration with the European Respiratory Society (ERS). Eur. Heart J. 2020, 41, 543–603. [Google Scholar] [CrossRef] [PubMed]
- Kohn, C.G.; Mearns, E.S.; Parker, M.W.; Hernandez, A.V.; Coleman, C.I. Prognostic Accuracy of Clinical Prediction Rules for Early Post-Pulmonary Embolism All-Cause Mortality: A Bivariate Meta-Analysis. Chest 2015, 147, 1043–1062. [Google Scholar] [CrossRef]
- Branchford, B.R.; Carpenter, S.L. The Role of Inflammation in Venous Thromboembolism. Front. Pediatr. 2018, 6, 142. [Google Scholar] [CrossRef]
- Mosevoll, K.A.; Johansen, S.; Wendelbo, Ø.; Nepstad, I.; Bruserud, Ø.; Reikvam, H. Cytokines, Adhesion Molecules, and Matrix Metalloproteases as Predisposing, Diagnostic, and Prognostic Factors in Venous Thrombosis. Front. Med. 2018, 5, 147. [Google Scholar] [CrossRef] [PubMed]
- Karataş, M.B.; İpek, G.; Onuk, T.; Güngör, B.; Durmuş, G.; Çanga, Y.; Çakıllı, Y.; Bolca, O. Assessment of Prognostic Value of Neutrophil to Lymphocyte Ratio and Platelet to Lymphocyte Ratio in Patients with Pulmonary Embolism. Acta Cardiol. Sin. 2016, 32, 313–320. [Google Scholar] [CrossRef] [PubMed]
- Díaz, J.M.; Boietti, B.R.; Vazquez, F.J.; Waisman, G.D.; Giunta, D.H.; Rojas, L.P.; Peuchot, V.; Posadas-Martínez, M.L. Mean Platelet Volume as a Prognostic Factor for Venous Thromboembolic Disease. Rev. Med. Chil. 2019, 147, 145–152. [Google Scholar] [CrossRef]
- Lipinska, A.; Ledakowicz-Polak, A.; Krauza, G.; Przybylak, K.; Zielinska, M. Complex Calculation or Quick Glance? Mean Platelet Volume—New Predictive Marker for Pulmonary Embolism. Ther. Clin. Risk Manag. 2018, 14, 2221–2228. [Google Scholar] [CrossRef]
- Jurin, I.; Trkulja, V.; Ajduk, M.; Letilović, T.; Hadžibegović, I. Red Cell Distribution Width in Acute Pulmonary Embolism Patients: A Simple Aid for Improvement of the 30-Day Mortality Risk Stratification Based on the Pulmonary Embolism Severity Index. Heart Lung 2019, 48, 436–445. [Google Scholar] [CrossRef]
- Venetz, C.; Labarère, J.; Jiménez, D.; Aujesky, D. White Blood Cell Count and Mortality in Patients with Acute Pulmonary Embolism. Am. J. Hematol. 2013, 88, 677–681. [Google Scholar] [CrossRef]
- Slajus, B.; Brailovsky, Y.; Darwish, I.; Fareed, J.; Darki, A. Utility of Blood Cellular Indices in the Risk Stratification of Patients Presenting with Acute Pulmonary Embolism. Clin. Appl. Thromb. 2021, 27, 10760296211052292. [Google Scholar] [CrossRef] [PubMed]
- Zurauskaite, G.; Meier, M.; Voegeli, A.; Koch, D.; Haubitz, S.; Kutz, A.; Bernasconi, L.; Huber, A.; Bargetzi, M.; Mueller, B.; et al. Biological Pathways Underlying the Association of Red Cell Distribution Width and Adverse Clinical Outcome: Results of a Prospective Cohort Study. PLoS ONE 2018, 13, e0191280. [Google Scholar] [CrossRef]
- Lippi, G.; Buonocore, R.; Cervellin, G. Value of Red Blood Cell Distribution Width on Emergency Department Admission in Patients with Venous Thrombosis. Am. J. Cardiol. 2016, 117, 670–675. [Google Scholar] [CrossRef]
- Zöller, B.; Melander, O.; Svensson, P.; Engström, G. Red Cell Distribution Width and Risk for Venous Thromboembolism: A Population-Based Cohort Study. Thromb. Res. 2014, 133, 334–339. [Google Scholar] [CrossRef] [PubMed]
- Beckman, M.G.; Hooper, W.C.; Critchley, S.E.; Ortel, T.L. Venous Thromboembolism: A Public Health Concern. Am. J. Prev. Med. 2010, 38, S495–S501. [Google Scholar] [CrossRef]
- Talay, F.; Ocak, T.; Alcelik, A.; Erkuran, K.; Akkaya, A.; Duran, A.; Demirhan, A.; Kurt, O.K.; Asuk, Z. A New Diagnostic Marker For Acute Pulmonary Embolism In Emergency Department: Mean Platelet Volume. Afr. Health Sci. 2014, 14, 94. [Google Scholar] [CrossRef] [PubMed][Green Version]
- Huang, J.; Chen, Y.; Cai, Z.; Chen, P. Diagnostic Value of Platelet Indexes for Pulmonary Embolism. Am. J. Emerg. Med. 2015, 33, 760–763. [Google Scholar] [CrossRef]
- Ertem, A.G.; Yayla, C.; Acar, B.; Kirbas, O.; Unal, S.; Uzel Sener, M.; Akboga, M.K.; Efe, T.H.; Sivri, S.; Sen, F.; et al. Relation between Lymphocyte to Monocyte Ratio and Short-Term Mortality in Patients with Acute Pulmonary Embolism. Clin. Respir. J. 2018, 12, 580–586. [Google Scholar] [CrossRef]
- Bontekoe, E.; Brailovsky, Y.; Hoppensteadt, D.; Bontekoe, J.; Siddiqui, F.; Newman, J.; Iqbal, O.; Reed, T.; Fareed, J.; Darki, A. Upregulation of Inflammatory Cytokines in Pulmonary Embolism Using Biochip-Array Profiling. Clin. Appl. Thromb. Hemost. 2021, 27, 10760296211013107. [Google Scholar] [CrossRef]
- Phan, T.; Brailovsky, Y.; Fareed, J.; Hoppensteadt, D.; Iqbal, O.; Darki, A. Neutrophil-to-Lymphocyte and Platelet-to-Lymphocyte Ratios Predict All-Cause Mortality in Acute Pulmonary Embolism. Clin. Appl. Thromb. Hemost. 2020, 26, 1076029619900549. [Google Scholar] [CrossRef]
- Ma, Y.; Mao, Y.; He, X.; Sun, Y.; Huang, S.; Qiu, J. The Values of Neutrophil to Lymphocyte Ratio and Platelet to Lymphocyte Ratio in Predicting 30 Day Mortality in Patients with Acute Pulmonary Embolism. BMC Cardiovasc. Disord. 2016, 16, 123. [Google Scholar] [CrossRef] [PubMed]
- Özcan, S.; Dönmez, E.; Yavuz Tuğrul, S.; Şahin, İ.; İnce, O.; Ziyrek, M.; Varol, S.; Karahan, S.; Okuyan, E. The Prognostic Value of C-Reactive Protein/Albumin Ratio in Acute Pulmonary Embolism. Rev. Investig. Clin. 2022, 74, 097–103. [Google Scholar] [CrossRef] [PubMed]
- Nicklas, J.M.; Gordon, A.E.; Henke, P.K. Resolution of Deep Venous Thrombosis: Proposed Immune Paradigms. Int. J. Mol. Sci. 2020, 21, 2080. [Google Scholar] [CrossRef]
- Pulmonary Embolism Severity Index (PESI) Online Calculations. Available online: https://www.mdcalc.com/calc/1304/pulmonary-embolism-severity-index-pesi (accessed on 4 May 2025).
- Simplified PESI (Pulmonary Embolism Severity Index) Online Calculations. Available online: https://www.mdcalc.com/calc/1247/simplified-pesipulmonary-embolism-severity-index#evidence (accessed on 4 May 2025).
- IBM Corp. IBM SPSS Statistics for Windows; Version 25.0; IBM Corp.: Armonk, NY, USA, 2017. [Google Scholar]
- Faul, F.; Erdfelder, E.; Buchner, A.; Lang, A.-G. Statistical Power Analyses Using G*Power 3.1: Tests for Correlation and Regression Analyses. Behav. Res. Methods 2009, 41, 1149–1160. [Google Scholar] [CrossRef] [PubMed]
- Afzal, A.; Noor, H.A.; Gill, S.A.; Brawncr, C.; Stein, P.D. Leukocytosis in Acute Pulmonary Embolism. Chest 1999, 115, 1329–1332. [Google Scholar] [CrossRef]
- Liu, J.; Liu, Y.; Zhang, F.; Fu, C.; Ling, Y.; Fang, P.; Xie, X.; Wang, X.; Yang, H.; Wei, Y.; et al. Short-Term Prognostic Value of Clinical Data in Hospitalized Patients with Intermediate-Risk Acute Pulmonary Embolism. BMC Cardiovasc. Disord. 2022, 22, 335. [Google Scholar] [CrossRef]
- Obradovic, S.; Dzudovic, B.; Subotic, B.; Salinger, S.; Matijasevic, J.; Benic, M.; Kovacevic, T.; Kovacevic-Kuzmanovic, A.; Mitevska, I.; Miloradovic, V.; et al. Association of Blood Leukocytes and Hemoglobin with Hospital Mortality in Acute Pulmonary Embolism. J. Clin. Med. 2023, 12, 6269. [Google Scholar] [CrossRef]
- Li, T.; Peng, R.; Wang, F.; Hua, L.; Liu, S.; Han, Z.; Pei, J.; Pei, S.; Zhao, Z.; Jiang, X.; et al. Lysophosphatidic Acid Promotes Thrombus Stability by Inducing Rapid Formation of Neutrophil Extracellular Traps: A New Mechanism of Thrombosis. J. Thromb. Haemost. 2020, 18, 1952–1964. [Google Scholar] [CrossRef]
- Ozcan, S.; Dönmez, E. The Predictive Ability of Hematologic Parameters for In-Hospital Mortality in Patients Presenting with Pulmonary Embolism. Ann. Med. Res. 2023, 30, 87–92. [Google Scholar] [CrossRef]
- Teodoru, M.; Negrea, M.O.; Cozgarea, A.; Cozma, D.; Boicean, A. Enhancing Pulmonary Embolism Mortality Risk Stratification Using Machine Learning: The Role of the Neutrophil-to-Lymphocyte Ratio. J. Clin. Med. 2024, 13, 1191. [Google Scholar] [CrossRef]
- Grilz, E.; Posch, F.; Königsbrügge, O.; Schwarzinger, I.; Lang, I.M.; Marosi, C.; Pabinger, I.; Ay, C. Association of Platelet-to-Lymphocyte Ratio and Neutrophil-to-Lymphocyte Ratio with the Risk of Thromboembolism and Mortality in Patients with Cancer. Thromb. Haemost. 2018, 118, 1875–1884. [Google Scholar] [CrossRef] [PubMed]
- Yao, C.; Zhang, Z.; Yao, Y.; Xu, X.; Jiang, Q.; Shi, D. Predictive Value of Neutrophil to Lymphocyte Ratio and Platelet to Lymphocyte Ratio for Acute Deep Vein Thrombosis after Total Joint Arthroplasty: A Retrospective Study. J. Orthop. Surg. Res. 2018, 13, 40. [Google Scholar] [CrossRef]
- Kurtipek, E.; Büyükterzi, Z.; Büyükterzi, M.; Alpaydın, M.S.; Erdem, S.S. Endothelial Dysfunction in Patients with Pulmonary Thromboembolism: Neutrophil to Lymphocyte Ratio and Platelet to Lymphocyte Ratio. Clin. Respir. J. 2017, 11, 78–82. [Google Scholar] [CrossRef]
- Soylu, K.; Gedikli, Ö.; Ekşi, A.; Avciodlu, Y.; Soylu, A.I.; Yüksel, S.; Aksan, G.; Gülel, O.; Yilmaz, Ö. Neutrophil-to-Lymphocyte Ratio for the Assessment of Hospital Mortality in Patients with Acute Pulmonary Embolism. Arch. Med. Sci. 2016, 12, 95–100. [Google Scholar] [CrossRef] [PubMed]
- Melekoğlu, A.; Özkan, S.; Öztürk, D. Relationship Between Hematological Parameters and Mortality in Patients with Acute PTE. Glob. Emerg. Crit. Care 2023, 2, 1–7. [Google Scholar] [CrossRef]
- Liu, C.; Zhan, H.L.; Huang, Z.H.; Hu, C.; Tong, Y.X.; Fan, Z.Y.; Zheng, M.Y.; Zhao, C.L.; Ma, G.Y. Prognostic Role of the Preoperative Neutrophil-to-Lymphocyte Ratio and Albumin for 30-Day Mortality in Patients with Postoperative Acute Pulmonary Embolism. BMC Pulm. Med. 2020, 20, 180. [Google Scholar] [CrossRef] [PubMed]
- Ates, H.; Ates, I.; Kundi, H.; Yilmaz, F.M. Diagnostic Validity of Hematologic Parameters in Evaluation of Massive Pulmonary Embolism. J. Clin. Lab. Anal. 2017, 31, e22072. [Google Scholar] [CrossRef]
- Jia, D.; Liu, F.; Zhang, Q.; Zeng, G.Q.; Li, X.L.; Hou, G. Rapid On-Site Evaluation of Routine Biochemical Parameters to Predict Right Ventricular Dysfunction in and the Prognosis of Patients with Acute Pulmonary Embolism upon Admission to the Emergency Room. J. Clin. Lab. Anal. 2018, 32, e22362. [Google Scholar] [CrossRef]
- Babes, E.E.; Stoicescu, M.; Bungau, S.G.; Uivarosan, D.; Tit, D.M.; Toma, M.M.; Bungau, A.F.; Bustea, C. Left Ventricle Outflow Tract Velocity-Time Index and Right Ventricle to Left Ventricle Ratio as Predictors for in Hospital Outcome in Intermediate-Risk Pulmonary Embolism. Diagnostics 2022, 12, 1226. [Google Scholar] [CrossRef]
- Peng, R.; Yin, W.; Wang, F.; Cong, X.; Lu, B.; Hua, L.; Chen, X. Neutrophil Levels upon Admission for the Assessment of Acute Pulmonary Embolism with Intermediate- and High-Risk: An Indicator of Thrombosis and Inflammation. Thromb. J. 2023, 21, 28. [Google Scholar] [CrossRef]
- Kasapoğlu, U.S.; Olgun Yildizel, Ş.; Arikan, H.; Erer, A.; Kabadayi, F.; Yalçinkaya, E.; Aslan, M.; Cimşit, N.Ç.; Eryüksel, E.; Karakurt, S. Comparison of Neutrophil to Lymphocyte Ratio with Other Prognostic Markers Affecting 30 Day Mortality in Acute Pulmonary Embolism. Tuberk. Toraks 2019, 67, 179–189. [Google Scholar] [CrossRef] [PubMed]
- Yurtseven, A.; Ensarioğlu, K. The Prognostic Value of Total Blood Count Parameter Ratios in Acute Pulmonary Embolism. Diagnostics 2024, 15, 71. [Google Scholar] [CrossRef]
- Duman, D.; Sonkaya, E.; Yıldırım, E.; Gıdık, E.; Tanülkü, U.; Saltürk, C.; Karakurt, Z. Association of Inflammatory Markers with Mortality in Patients Hospitalized with Non-Massive Pulmonary Embolism. Turkish Thorac. J. 2021, 22, 24–30. [Google Scholar] [CrossRef] [PubMed]
- Ozcan Cetin, E.H.; Cetin, M.S.; Canpolat, U.; Akdi, A.; Aras, D.; Temizhan, A.; Aydogdu, S. Platelet-to-Lymphocyte Ratio as a Novel Marker of in-Hospital and Long-Term Adverse Outcomes among Patients with Acute Pulmonary Embolism: A Single Center Large-Scale Study. Thromb. Res. 2017, 150, 33–40. [Google Scholar] [CrossRef] [PubMed]
- Kundi, H.; Balun, A.; Cicekcioglu, H.; Cetin, M.; Kiziltunc, E.; Cetin, Z.G.; Mansuroglu, C.; Ornek, E. The Relation between Platelet-to-Lymphocyte Ratio and Pulmonary Embolism Severity Index in Acute Pulmonary Embolism. Heart Lung 2015, 44, 340–343. [Google Scholar] [CrossRef]
- Wang, Q.; Ma, J.; Jiang, Z.; Ming, L. Prognostic Value of Neutrophil-to-Lymphocyte Ratio and Platelet-to-Lymphocyte Ratio in Acute Pulmonary Embolism: A Systematic Review and Meta-Analysis. Int. Angiol. 2018, 37, 4–11. [Google Scholar] [CrossRef]
- Ghaffari, S.; Parvizian, N.; Pourafkari, L.; Separham, A.; Hajizadeh, R.; Nader, N.D.; Javanshir, E.; Sepehrvand, N.; Tajlil, A.; Nasiri, B. Prognostic Value of Platelet Indices in Patients with Acute Pulmonary Thromboembolism. J. Cardiovasc. Thorac. Res. 2020, 12, 56–62. [Google Scholar] [CrossRef]
- Theofilis, P.; Sagris, M.; Oikonomou, E.; Antonopoulos, A.S.; Siasos, G.; Tsioufis, C.; Tousoulis, D. Inflammatory Mechanisms Contributing to Endothelial Dysfunction. Biomedicines 2021, 9, 781. [Google Scholar] [CrossRef]
- Whelihan, M.F.; Mann, K.G. The Role of the Red Cell Membrane in Thrombin Generation. Thromb. Res. 2013, 131, 377–382. [Google Scholar] [CrossRef]
- Patel, G.R.; Mahapatra, M.; Aggarwal, S.; Saxena, R. Serial Values of Hematologic Variables and Deep Venous Thrombosis: Red Cell Distribution Width Is Associated with Deep Venous Thrombosis. Hematol. Transfus. Cell Ther. 2024, 46, 22–29. [Google Scholar] [CrossRef]
- Ince, L.M.; Weber, J.; Scheiermann, C. Control of Leukocyte Trafficking by Stress-Associated Hormones. Front. Immunol. 2019, 9, 3143. [Google Scholar] [CrossRef] [PubMed]
- Watts, J.A.; Gellar, M.A.; Obraztsova, M.; Kline, J.A.; Zagorski, J. Role of Inflammation in Right Ventricular Damage and Repair Following Experimental Pulmonary Embolism in Rats. Int. J. Exp. Pathol. 2008, 89, 389–399. [Google Scholar] [CrossRef]
- Kantarcioglu, B.; Darki, A.; Siddiqui, F.; Krupa, E.; Vural, M.; Kacmaz, M.; Hoppensteadt, D.; Iqbal, O.; Jeske, W.; Walenga, J.; et al. Predictive Role of Blood Cellular Indices and Their Relationship with Endogenous Glycosaminoglycans as Determinants of Inflammatory Biomarkers in Pulmonary Embolism. Clin. Appl. Thromb. Hemost. 2022, 28, 10760296221104801. [Google Scholar] [CrossRef] [PubMed]
- Sevuk, U.; Bahadir, M.V.; Altindag, R.; Baysal, E.; Yaylak, B.; Ay, N.; Ayaz, F.; Demirtas, E. Value of Serial Platelet Indices Measurements for the Prediction of Pulmonary Embolism in Patients with Deep Venous Thrombosis. Ther. Clin. Risk Manag. 2015, 11, 1243–1249. [Google Scholar] [CrossRef]
- Kostrubiec, M.; Łabyk, A.; Pedowska-Włoszek, J.; Hrynkiewicz-Szymańska, A.; Pacho, S.; Jankowski, K.; Lichodziejewska, B.; Pruszczyk, P. Mean Platelet Volume Predicts Early Death in Acute Pulmonary Embolism. Heart 2010, 96, 460–465. [Google Scholar] [CrossRef] [PubMed]
- Bozkus, F.; Bilal, B.; Aktas Samur, A.; Çetinkaya, A. Prognostic Value of Mean Platelet Volume and Neutrophil/Lymphocyte Ratio in Patients with Pulmonary Embolism. Acta Medica Mediterr. 2015, 31, 109–114. [Google Scholar]
- Hilal, E.; Neslihan, Y.; Gazi, G.; Sinan, T.; Zeynep Ayfer, A. Does the Mean Platelet Volume Have Any Importance in Patients with Acute Pulmonary Embolism? Wien. Klin. Wochenschr. 2013, 125, 381–385. [Google Scholar] [CrossRef]
- Zhou, X.Y.; Chen, H.L.; Ni, S.S. Red Cell Distribution Width in Predicting 30-Day Mortality in Patients with Pulmonary Embolism. J. Crit. Care 2017, 37, 197–201. [Google Scholar] [CrossRef]
- Jurin, I.; Trkulja, V.; Lucijanić, M.; Pejić, J.; Letilović, T.; Radonić, V.; Manola, Š.; Rudan, D.; Hadžibegović, I. Red Cell Distribution Width in Acute Pulmonary Embolism Patients Improves 30-Day Mortality Risk Stratification Based on the Pulmonary Embolism Severity Index. Heart. Lung Circ. 2022, 31, 859–866. [Google Scholar] [CrossRef]
- Vedovati, M.C.; Germini, F.; Agnelli, G.; Becattini, C. Prognostic Role of Embolic Burden Assessed at Computed Tomography Angiography in Patients with Acute Pulmonary Embolism: Systematic Review and Meta-Analysis. J. Thromb. Haemost. 2013, 11, 2092–2102. [Google Scholar] [CrossRef]
- Forget, P.; Khalifa, C.; Defour, J.-P.; Latinne, D.; Van Pel, M.-C.; De Kock, M. What Is the Normal Value of the Neutrophil-to-Lymphocyte Ratio? BMC Res. Notes 2017, 10, 12. [Google Scholar] [CrossRef] [PubMed]
- Lin, W.; Wu, Y.; Lu, X.; Hu, Y. Association between Mean Platelet Volume and Pulmonary Embolism: A Systematic Review and Meta-Analysis. Aging 2021, 13, 17253–17273. [Google Scholar] [CrossRef] [PubMed]
- Abd El-Hady Abd El-Ghany, E.; Abdelaziz, A.; Abd El-Raof Abd El-Fatah, R.; Magdy, M.-E.-H.; Abdelaziz, M.; Abd Elghany, H.; Othman, A. Role of Hemogram Parameters in Diagnosis and Assessing Severity of Pulmonary Embolism. Egypt. J. Chest Dis. Tuberc. 2019, 68, 194. [Google Scholar] [CrossRef]





| Variables | Total Cohort | Presence with Adverse Outcomes | Presence Without Adverse Outcomes | p Value |
|---|---|---|---|---|
| Adverse outcome | Total (904) | Yes (165) | No (739) | – |
| Age (years) | 69.76 ± 14.379 | 73.08 ± 11.745 | 69.11 ± 14.775 | 0.002 1* |
| Sex (F) | 475/904 (52.54%) | 83/165 (50.3%) | 392/739 (53.04%) | 0.26 2 |
| Smoking | 215/904 (23.78%) | 62/165 (37.57%) | 153/739 (20.70%) | <0.001 2* |
| History of cancer | 131/904 (14.49%) | 22/165 (13.33%) | 109/739 (14.75%) | 0.595 2 |
| History of CVD | 678/904 (75%) | 102/165 (61.81%) | 576/739 (77.94%) | 0.001 2* |
| Heart failure | 254/904 (28.097%) | 54/165 (32.73%) | 200/739 (26.67%) | <0.001 2* |
| Coronary artery disease | 174/904 (19.24%) | 41/165 (24.74%) | 133/739 (17.99%) | 0.02 2* |
| Valvular heart disease | 202/904 (22.34%) | 44/165 (26.66%) | 158/739 (21.38%) | 0.07 2 |
| Hypertension | 425/904 (47.01%) | 63/165 (38.18%) | 362/739 (48.98%) | <0.001 2* |
| History of pulmonary disease | 200/904 (22.123%) | 31/165 (18.79%) | 169/739 (22.87) | 0.659 2 |
| Diabetes | 186/904 (20.57%) | 46/165 (27.87%) | 140/739 (18.94%) | <0.001 2* |
| History of stroke | 77/904 (8.51%) | 23/165 (13.94%) | 54/739 (7.31%) | <0.001 2* |
| History of recent surgery | 70/904 (7.74%) | 9/165 (5.45%) | 64/739 (8.66) | 0.001 2* |
| History of recent orthopedic surgery/major trauma | 40/904 (4.42%) | 6/165 (3.63%) | 31/739 (4.19) | 0.37 2 |
| Previous DVT/PE | 109/904 (12.057%) | 23/165 (13.84%) | 86/739 (11.63%) | 0.21 2 |
| BMI (kg/m2) | 31.12 ± 7.07 | 33.62 ± 7.05 | 28.62 ± 7.8 | 0.61 1 |
| Systolic BP (mmHg) | 125.88 ± 23.442 | 108.27 ± 29.847 | 128.89 ± 20.846 | <0.001 1* |
| HR | 90.27 ± 18.85 | 98.57 ± 21.14 | 88.42 ± 18.34 | 0.32 1 |
| PESI score | 103.659 ± 28.92 | 132.42 ± 31.36 | 97.04 ± 23.84 | <0.001 1* |
| sPESI | 3.702 ± 1.023 | 4.34 ± 0.92 | 3.065 ± 1.126 | <0.001 1* |
| DVT | 174/904 (19.24%) | 13/165 (7.87%) | 161/739 (21.78) | <0.001 2* |
| Cholesterol (mg/dL) | 229.73 ± 44.11 | 241.13 ± 33,21 | 218.33 ± 52.11 | 0.18 1 |
| NT-proBNP (pg/mL) | 4714.84 ± 14,514.95 | 6851.866 ± 7715.463 | 3856.591 ± 16,478.369 | 0.03 1* |
| Hs-Troponin (pg/mL) | 250.464 ± 1143.271 | 1430.067 ± 2146.590 | 134.108 ± 403.271 | <0.001 1* |
| RVD (TTE/CTPA) | 579/905 (63.97%) | 129/165 (78.18%) | 450/739 (60.89%) | <0.001 2* |
| LVEF (%) | 48.28 ± 7.80 | 47.91% ± 9.04 | 48.32% ± 7.64 | 0.71 1 |
| Variables | Total Cohort | Presence with Adverse Outcomes | Presence Without Adverse Outcomes | p-Value |
|---|---|---|---|---|
| Adverse outcome | Total (904) | Yes (165) | No (739) | – |
| Leukocytes (×103/μL) | 12.06 ± 5.48 | 13.98 ± 6.09 | 11.63 ± 5.24 | 0.116 |
| Neutrophils (×103/μL) | 9.25 ± 4.77 | 11.43 ± 5.69 | 8.76 ± 4.40 | 0.02 * |
| Lymphocytes (×103/μL) | 1.88 ± 1.69 | 1.54 ± 1.16 | 1.96 ± 1.78 | 0.509 |
| Platelets (×103/μL) | 227.635 ± 93.45 | 218.21 ± 100.88 | 229.73 ± 91.72 | 0.05 |
| MPV (fl) | 7.89 ± 1.669 | 7.88 ± 1.65 | 7.88 ± 1.65 | 0.074 |
| Hb (g/dL) | 13.56 ± 6.05 | 14.10 ± 13.49 | 13.45 ± 2.076 | 0.21 |
| RDW (%) | 13.22 ± 2.14 | 13.62 ± 2.42 | 13.12 ± 2.03 | 0.07 |
| NLR | 7.05 ± 6.58 | 10.88 ± 9.22 | 6.17 ± 5.46 | <0.001 * |
| PLR | 193.57 ± 129.254 | 366.93 ± 237.381 | 154.624 ± 114.857 | <0.001 * |
| CBC | AUC | p | Sensitivity % | Specificity % | Cutoff Youden Index |
|---|---|---|---|---|---|
| NLR | 0.712 (95% CI 0.661–0.742) | <0.001 * | 72.56 | 64.19 | >5.493 (95% CI 3.44–6.96) |
| Neutrophils (×103/μL) | 0.668 (95% CI 0.636–0.699) | <0.001 * | 75.61 | 56.67 | >8.47 (95% CI 7.19–8.76) |
| Lymphocyte (×103/μL) | 0.657 (95% CI 0.624–0.688) | <0.001 * | 64.63 | 64.97 | <1.4 (95% CI 1.214–1.686) |
| Leukocyte (×103/μL) | 0.640 (95% CI 0.608–0.672) | <0.001 * | 76.97 | 49.59 | >10.63 (95% CI 9.8–11.3) |
| RDW (%) | 0.564 (95% CI 0.53–10.597) | 0.009 * | 88.05 | 23.09 | <11.65 (95% CI 11.27–13.04) |
| Hb (g/dL) | 0.555 (95% CI 0.522–0.588) | 0.033 * | 61.96 | 51.86 | <13.55 (95% CI <11.52–<15.96) |
| Platelets (×103/μL) | 0.548 (95% CI 0.514–0.581) | 0.08 | 26.71 | 86.91 | <148.2 (95% CI <134.6–<208.508) |
| PLR | 0.534 (95% CI 0.500–0.567) | 0.225 | 34.46 | 78.80 | >190.58 (95% CI 45.36–288.93) |
| MPV (fl) | 0.515 (95% CI −0.434–0.537) | 0.577 | 28.3 | 78.8 | <6.65 (95% CI 5.36–8.19) |
| ESC-Risk Class | High Risk (132) | Intermediate Risk (567) | Low Risk (205) | p |
|---|---|---|---|---|
| Leukocytes (×103/μL) | 14.21 ± 6.56 | 11.84 ± 5.53 | 11.32 ± 4.05 | <0.001 * (H vs. I and L) |
| Neutrophils (×103/μL) | 11.56 ± 6.14 | 9.06 ± 4.23 | 8.34 ± 4.77 | <0.001 * (H vs. I and L) |
| Lymphocytes (×103/μL) | 1.62 ± 1.26 | 1.77 ± 1.25 | 2.39 ± 2.66 | <0.001 * (L vs. I and H) |
| Platelets (×103/μL) | 220.873 ± 104.855 | 223.90 ± 89.94 | 243.067 ± 94.14 | 0.052 |
| MPV (fl) | 7.89 ± 1.85 | 7.91 ± 1.69 | 7.80 ± 1.60 | 0.884 |
| Hb (g/dL) | 14.19 ± 14.07 | 13.43 ± 2.09 | 13.52 ± 2.02 | 0.398 |
| RDW (%) | 13.92 ± 2.70 | 13.23 ± 1.97 | 12.77 ± 2.04 | 0.02 * |
| NLR | 10.85 ± 9.68 | 7.07 ± 6.14 | 4.70 ± 3.87 | <0.001 * |
| PLR | 411.639 ± 2645.235 | 165.556 ± 126.385 | 134.322 ± 82.65 | <0.005 * (H vs. I and L) |
Disclaimer/Publisher’s Note: The statements, opinions and data contained in all publications are solely those of the individual author(s) and contributor(s) and not of MDPI and/or the editor(s). MDPI and/or the editor(s) disclaim responsibility for any injury to people or property resulting from any ideas, methods, instructions or products referred to in the content. |
© 2025 by the authors. Published by MDPI on behalf of the Lithuanian University of Health Sciences. Licensee MDPI, Basel, Switzerland. This article is an open access article distributed under the terms and conditions of the Creative Commons Attribution (CC BY) license (https://creativecommons.org/licenses/by/4.0/).
Share and Cite
Babes, E.E.; Radu, A.-F.; Babeş, V.V.; Tunduc, P.I.; Radu, A.; Bungau, G.; Bustea, C. The Prognostic Role of Hematological Markers in Acute Pulmonary Embolism: Enhancing Risk Stratification. Medicina 2025, 61, 1095. https://doi.org/10.3390/medicina61061095
Babes EE, Radu A-F, Babeş VV, Tunduc PI, Radu A, Bungau G, Bustea C. The Prognostic Role of Hematological Markers in Acute Pulmonary Embolism: Enhancing Risk Stratification. Medicina. 2025; 61(6):1095. https://doi.org/10.3390/medicina61061095
Chicago/Turabian StyleBabes, Elena Emilia, Andrei-Flavius Radu, Victor Vlad Babeş, Paula Ioana Tunduc, Ada Radu, Gabriela Bungau, and Cristiana Bustea. 2025. "The Prognostic Role of Hematological Markers in Acute Pulmonary Embolism: Enhancing Risk Stratification" Medicina 61, no. 6: 1095. https://doi.org/10.3390/medicina61061095
APA StyleBabes, E. E., Radu, A.-F., Babeş, V. V., Tunduc, P. I., Radu, A., Bungau, G., & Bustea, C. (2025). The Prognostic Role of Hematological Markers in Acute Pulmonary Embolism: Enhancing Risk Stratification. Medicina, 61(6), 1095. https://doi.org/10.3390/medicina61061095

