Vancomycin Penetration in Brain Extracellular Fluid of Patients with Post-Surgical Central Nervous System Infections: An Exploratory Study
Abstract
1. Introduction
2. Materials and Methods
2.1. Study Design and Patients
2.2. Treatment and Data Collection
2.3. Vancomycin Administration
2.4. Microdialysis System
2.5. Bioanalysis
2.6. Pharmakokinetic Assessments and Statistical Analysis
3. Results
3.1. Patient Demographics, Neuroinfection Profile, and Clinical Outcomes
3.2. TDM Results
3.2.1. AUC24 and Corresponding ECF/Plasma AUC Ratios
3.2.2. Vancomycin Concentrations and Corresponding ECF/Plasma Ratios
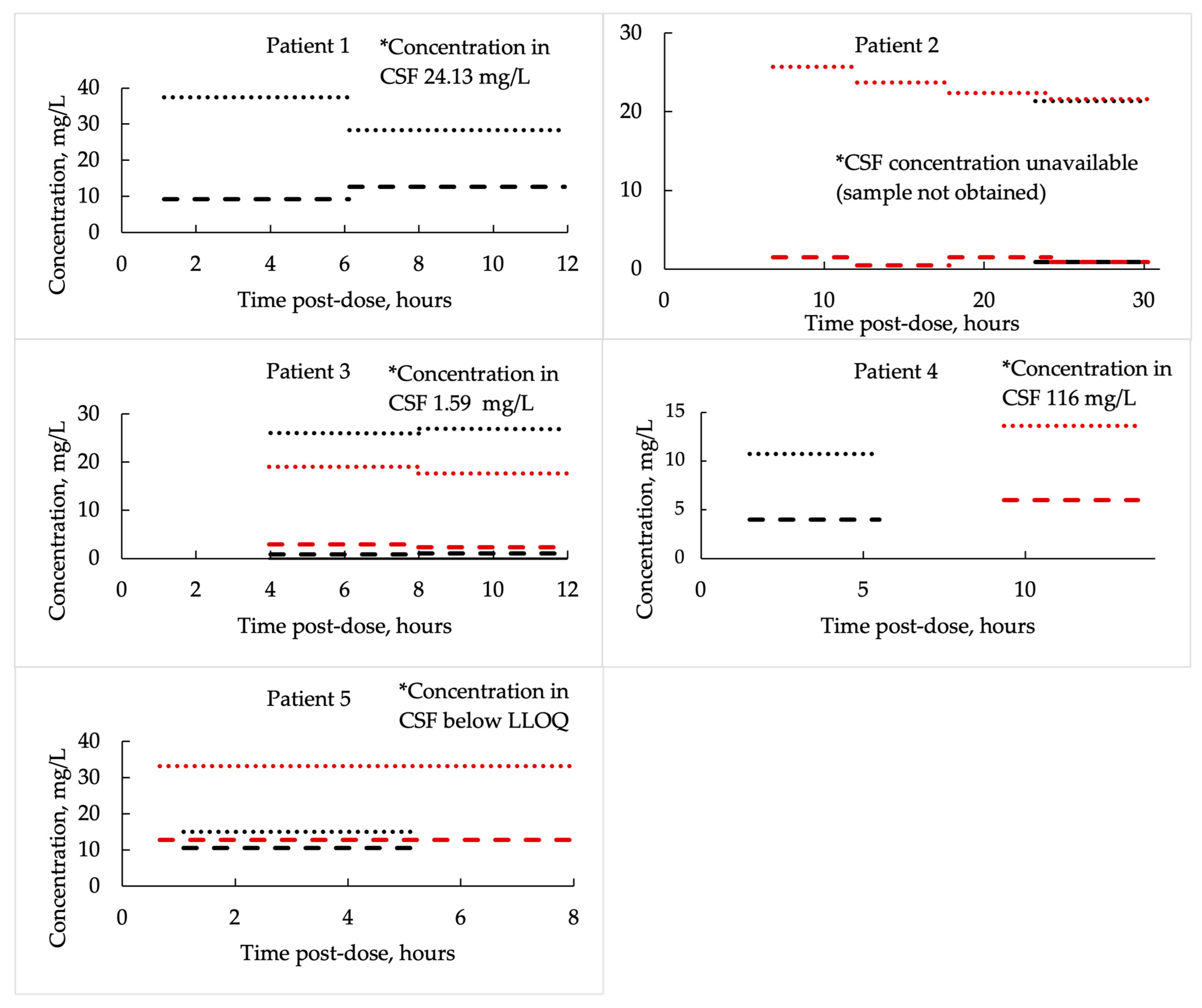
3.2.3. Vancomycin Concentration in CSF
4. Discussion
5. Limitations and Future Directions
6. Conclusions
Supplementary Materials
Author Contributions
Funding
Institutional Review Board Statement
Informed Consent Statement
Data Availability Statement
Acknowledgments
Conflicts of Interest
Abbreviations
| ECF | Extracellular Fluid |
| CNS | Central nervous system |
| BBB | Blood–brain barrier |
| AUC24 | 24-h area under the concentration curve |
| SD | Standard deviation |
| MRSA | Methicillin-resistant Staphylococcus aureus |
| MDR | Multidrug-resistant |
| MIC | Minimum inhibitory concentration |
| APACHE II | Acute Physiology And Chronic Health Evaluation II |
| G6PDH | glucose-6-phosphate dehydrogenase |
| QAlb | CSF/serum albumin quotient |
References
- Korinek, A.-M.; Golmard, J.-L.; Elcheick, A.; Bismuth, R.; van Effenterre, R.; Coriat, P.; Puybasset, L. Risk Factors for Neurosurgical Site Infections after Craniotomy: A Critical Reappraisal of Antibiotic Prophylaxis on 4,578 Patients. Br. J. Neurosurg. 2005, 19, 155–162. [Google Scholar] [CrossRef]
- Kurtaran, B.; Kuscu, F.; Ulu, A.; Inal, A.S.; Komur, S.; Kibar, F.; Cetinalp, N.E.; Ozsoy, K.M.; Arslan, Y.K.; Yilmaz, D.M.; et al. The Causes of Postoperative Meningitis: The Comparison of Gram-Negative and Gram-Positive Pathogens. Turk. Neurosurg. 2018, 28, 589–596. [Google Scholar] [CrossRef]
- Srinivas, D.; Veena Kumari, H.B.; Somanna, S.; Bhagavatula, I.; Anandappa, C.B. The Incidence of Postoperative Meningitis in Neurosurgery: An Institutional Experience. Neurol. India 2011, 59, 195–198. [Google Scholar] [CrossRef]
- Metan, G.; Alp, E.; Aygen, B.; Sumerkan, B. Acinetobacter Baumannii Meningitis in Post-Neurosurgical Patients: Clinical Outcome and Impact of Carbapenem Resistance. J. Antimicrob. Chemother. 2007, 60, 197–199. [Google Scholar] [CrossRef] [PubMed]
- Briggs, S.; Ellis-Pegler, R.; Raymond, N.; Thomas, M.; Wilkinson, L. Gram-Negative Bacillary Meningitis after Cranial Surgery or Trauma in Adults. Scand. J. Infect. Dis. 2004, 36, 165–173. [Google Scholar] [CrossRef]
- Federico, G.; Tumbarello, M.; Spanu, T.; Rosell, R.; Iacoangeli, M.; Scerrati, M.; Tacconelli, E. Risk Factors and Prognostic Indicators of Bacterial Meningitis in a Cohort of 3580 Postneurosurgical Patients. Scand. J. Infect. Dis. 2001, 33, 533–537. [Google Scholar] [CrossRef] [PubMed]
- Panic, H.; Gjurasin, B.; Santini, M.; Kutlesa, M.; Papic, N. Etiology and Outcomes of Healthcare-Associated Meningitis and Ventriculitis—A Single Center Cohort Study. Infect. Dis. Rep. 2022, 14, 420–427. [Google Scholar] [CrossRef] [PubMed]
- Tunkel, A.R.; Hasbun, R.; Bhimraj, A.; Byers, K.; Kaplan, S.L.; Scheld, W.M.; van de Beek, D.; Bleck, T.P.; Garton, H.J.L.; Zunt, J.R. 2017 Infectious Diseases Society of America’s Clinical Practice Guidelines for Healthcare-Associated Ventriculitis and Meningitis. Clin. Infect. Dis. 2017, 64, e34–e65. [Google Scholar] [CrossRef]
- McClelland, S., III; Hall, W.A. Postoperative Central Nervous System Infection: Incidence and Associated Factors in 2111 Neurosurgical Procedures. Clin. Infect. Dis. 2007, 45, 55–59. [Google Scholar] [CrossRef]
- Zhan, R.; Zhu, Y.; Shen, Y.; Shen, J.; Tong, Y.; Yu, H.; Wen, L. Post-Operative Central Nervous System Infections after Cranial Surgery in China: Incidence, Causative Agents, and Risk Factors in 1,470 Patients. Eur. J. Clin. Microbiol. Infect. Dis. 2014, 33, 861–866. [Google Scholar] [CrossRef]
- Markakis, K.; Kapiki, K.; Edric, A.A.A.; Pappas, A.A.; Feretos, G.; Nanoudis, S.; Pilalas, D.; Michailidis, T.; Protonotariou, E.; Skoura, L.; et al. Post-Surgical Central Nervous System Infections in the Era of Multidrug Antibiotic Resistance in Greece—A Single-Center Experience of a Decade. Pathogens 2025, 14, 390. [Google Scholar] [CrossRef] [PubMed]
- Chojak, R.; Koźba-Gosztyła, M.; Gaik, M.; Madej, M.; Majerska, A.; Soczyński, O.; Czapiga, B. Meningitis after Elective Intracranial Surgery: A Systematic Review and Meta-Analysis of Prevalence. Eur. J. Med. Res. 2023, 28, 184. [Google Scholar] [CrossRef] [PubMed]
- Vancomycin 1000 Mg Powder for Concentrate for Solution for Infusion—Summary of Product Characteristics (SmPC)—(Emc) | 15737. Available online: https://www.medicines.org.uk/emc/product/15737/smpc (accessed on 31 July 2025).
- Rybak, M.J.; Le, J.; Lodise, T.P.; Levine, D.P.; Bradley, J.S.; Liu, C.; Mueller, B.A.; Pai, M.P.; Wong-Beringer, A.; Rotschafer, J.C.; et al. Therapeutic Monitoring of Vancomycin for Serious Methicillin-Resistant Staphylococcus Aureus Infections: A Revised Consensus Guideline and Review by the American Society of Health-System Pharmacists, the Infectious Diseases Society of America, the Pediatric Infectious Diseases Society, and the Society of Infectious Diseases Pharmacists. Am. J. Health-Syst. Pharm. AJHP Off. J. Am. Soc. Health-Syst. Pharm. 2020, 77, 835–864. [Google Scholar] [CrossRef]
- Chai, M.G.; Cotta, M.O.; Abdul-Aziz, M.H.; Roberts, J.A. What Are the Current Approaches to Optimising Antimicrobial Dosing in the Intensive Care Unit? Pharmaceutics 2020, 12, 638. [Google Scholar] [CrossRef]
- Nau, R.; Seele, J.; Djukic, M.; Eiffert, H. Pharmacokinetics and Pharmacodynamics of Antibiotics in Central Nervous System Infections. Curr. Opin. Infect. Dis. 2018, 31, 57. [Google Scholar] [CrossRef]
- Nau, R.; Seele, J.; Eiffert, H. New Antibiotics for the Treatment of Nosocomial Central Nervous System Infections. Antibiotics 2024, 13, 58. [Google Scholar] [CrossRef]
- Jalusic, K.O.; Hempel, G.; Arnemann, P.-H.; Spiekermann, C.; Kampmeier, T.-G.; Ertmer, C.; Gastine, S.; Hessler, M. Population Pharmacokinetics of Vancomycin in Patients with External Ventricular Drain-Associated Ventriculitis. Br. J. Clin. Pharmacol. 2021, 87, 2502–2510. [Google Scholar] [CrossRef]
- Caricato, A.; Pennisi, M.; Mancino, A.; Vigna, G.; Sandroni, C.; Arcangeli, A.; Antonelli, M. Levels of Vancomycin in the Cerebral Interstitial Fluid after Severe Head Injury. Intensive Care Med. 2006, 32, 325–328. [Google Scholar] [CrossRef]
- Costea, L.; Mészáros, Á.; Bauer, H.; Bauer, H.-C.; Traweger, A.; Wilhelm, I.; Farkas, A.E.; Krizbai, I.A. The Blood–Brain Barrier and Its Intercellular Junctions in Age-Related Brain Disorders. Int. J. Mol. Sci. 2019, 20, 5472. [Google Scholar] [CrossRef]
- Zhao, Y.; Gan, L.; Ren, L.; Lin, Y.; Ma, C.; Lin, X. Factors Influencing the Blood-Brain Barrier Permeability. Brain Res. 2022, 1788, 147937. [Google Scholar] [CrossRef]
- Segarra, M.; Aburto, M.R.; Acker-Palmer, A. Blood–Brain Barrier Dynamics to Maintain Brain Homeostasis. Trends Neurosci. 2021, 44, 393–405. [Google Scholar] [CrossRef]
- Almutairi, M.M.A.; Gong, C.; Xu, Y.G.; Chang, Y.; Shi, H. Factors Controlling Permeability of the Blood–Brain Barrier. Cell. Mol. Life Sci. 2015, 73, 57–77. [Google Scholar] [CrossRef]
- Nau, R.; Sörgel, F.; Eiffert, H. Penetration of Drugs through the Blood-Cerebrospinal Fluid/Blood-Brain Barrier for Treatment of Central Nervous System Infections. Clin. Microbiol. Rev. 2010, 23, 858–883. [Google Scholar] [CrossRef]
- Blassmann, U.; Hope, W.; Roehr, A.C.; Frey, O.R.; Vetter-Kerkhoff, C.; Thon, N.; Briegel, J.; Huge, V. CSF Penetration of Vancomycin in Critical Care Patients with Proven or Suspected Ventriculitis: A Prospective Observational Study. J. Antimicrob. Chemother. 2019, 74, 991–996. [Google Scholar] [CrossRef] [PubMed]
- Tuon, F.F.; Yamada, C.H.; Cieslinski, J.; Dos Santos Oliveira, D.; Ribeiro, V.S.T.; Gasparetto, J.; Telles, J.P. Cerebrospinal Fluid Penetration of Vancomycin During Continuous Infusion Therapy in Patients with Nosocomial Ventriculitis. Ther. Drug Monit. 2021, 43, 807–811. [Google Scholar] [CrossRef]
- Fan, M.-C.; Sun, J.-L.; Sun, J.; Ma, J.-W.; Wang, N.; Fang, W. The CSF Vancomycin Concentration in Patients with Post-Operative Intracranial Infection Can Be Predicted by the WBCs to Total Cells Ratio and the Serum Trough Concentration. Front. Neurol. 2022, 13, 893089. [Google Scholar] [CrossRef] [PubMed]
- Arkell, P.; Wilson, R.; Antcliffe, D.B.; Gilchrist, M.; Noel, A.R.; Wilson, M.; Barnes, S.C.; Watkins, K.; Holmes, A.; Rawson, T.M. A Pilot Observational Study of CSF Vancomycin Therapeutic Drug Monitoring during the Treatment of Nosocomial Ventriculitis. J. Infect. 2022, 84, 834–872. [Google Scholar] [CrossRef] [PubMed]
- Lewin, J.J.; Cook, A.M.; Gonzales, C.; Merola, D.; Neyens, R.; Peppard, W.J.; Brophy, G.M.; Kurczewski, L.; Giarratano, M.; Makii, J.; et al. Current Practices of Intraventricular Antibiotic Therapy in the Treatment of Meningitis and Ventriculitis: Results from a Multicenter Retrospective Cohort Study. Neurocrit. Care 2019, 30, 609–616. [Google Scholar] [CrossRef]
- Liu, S.-P.; Xiao, J.; Liu, Y.-L.; Wu, Y.-E.; Qi, H.; Wang, Z.-Z.; Shen, A.-D.; Liu, G.; Zhao, W. Systematic Review of Efficacy, Safety and Pharmacokinetics of Intravenous and Intraventricular Vancomycin for Central Nervous System Infections. Front. Pharmacol. 2022, 13, 1056148. [Google Scholar] [CrossRef]
- Engelhardt, B.; Sorokin, L. The Blood–Brain and the Blood–Cerebrospinal Fluid Barriers: Function and Dysfunction. Semin. Immunopathol. 2009, 31, 497–511. [Google Scholar] [CrossRef]
- Tietz, S.; Engelhardt, B. Brain Barriers: Crosstalk between Complex Tight Junctions and Adherens Junctions. J. Cell Biol. 2015, 209, 493–506. [Google Scholar] [CrossRef]
- Shannon, R.J.; Carpenter, K.L.H.; Guilfoyle, M.R.; Helmy, A.; Hutchinson, P.J. Cerebral Microdialysis in Clinical Studies of Drugs: Pharmacokinetic Applications. J. Pharmacokinet. Pharmacodyn. 2013, 40, 343–358. [Google Scholar] [CrossRef]
- Žukaitienė, S.; Žygaitė, A.; Milkintaitė, G.; Pancerė, J.; Balčiūnienė, N.; Vitkauskienė, A.; Mačiulaitis, R. An In Vitro Calibration Model for Vancomycin Quantification in Brain Extracellular Fluid: Toward Improved Dosing in Postoperative Infections. Pharmacol. Res. Perspect. 2025, 13, e70179. [Google Scholar] [CrossRef]
- Cheng, X.; Ma, J.; Su, J. An Overview of Analytical Methodologies for Determination of Vancomycin in Human Plasma. Molecules 2022, 27, 7319. [Google Scholar] [CrossRef]
- Pai, M.P.; Neely, M.; Rodvold, K.A.; Lodise, T.P. Innovative Approaches to Optimizing the Delivery of Vancomycin in Individual Patients. Adv. Drug Deliv. Rev. 2014, 77, 50–57. [Google Scholar] [CrossRef]
- Roberts, J.A.; Lipman, J. Pharmacokinetic Issues for Antibiotics in the Critically Ill Patient. Crit. Care Med. 2009, 37, 840–851; quiz 859. [Google Scholar] [CrossRef]
- Vancomycin Calculator—ClinCalc.Com. Available online: https://clincalc.com/vancomycin/ (accessed on 29 September 2025).
- Eucast: Clinical Breakpoints and Dosing of Antibiotics. Available online: https://www.eucast.org/clinical_breakpoints (accessed on 7 October 2025).
- Chidambaram, S.; Nair, M.N.; Krishnan, S.S.; Cai, L.; Gu, W.; Vasudevan, M.C. Postoperative Central Nervous System Infection After Neurosurgery in a Modernized, Resource-Limited Tertiary Neurosurgical Center in South Asia. World Neurosurg. 2015, 84, 1668–1673. [Google Scholar] [CrossRef] [PubMed]
- Tang, W.; Zhu, H.; Feng, Y.; Guo, R.; Wan, D. The Impact of Gut Microbiota Disorders on the Blood–Brain Barrier. Infect. Drug Resist. 2020, 13, 3351–3363. [Google Scholar] [CrossRef] [PubMed]
- Elahy, M.; Jackaman, C.; Mamo, J.C.; Lam, V.; Dhaliwal, S.S.; Giles, C.; Nelson, D.; Takechi, R. Blood–Brain Barrier Dysfunction Developed during Normal Aging Is Associated with Inflammation and Loss of Tight Junctions but Not with Leukocyte Recruitment. Immun. Ageing 2015, 12, 2. [Google Scholar] [CrossRef]
- Mautes, A.E.; Müller, M.; Cortbus, F.; Schwerdtfeger, K.; Maier, B.; Holanda, M.; Nacimiento, A.; Marzi, I.; Steudel, W.I. Homburg Traumatic Injury Group (HOTBIG) Alterations of Norepinephrine Levels in Plasma and CSF of Patients after Traumatic Brain Injury in Relation to Disruption of the Blood-Brain Barrier. Acta Neurochir. 2001, 143, 51–57, discussion 57–58. [Google Scholar] [CrossRef] [PubMed]
- Blyth, B.J.; Farahvar, A.; He, H.; Nayak, A.; Yang, C.; Shaw, G.; Bazarian, J.J. Elevated Serum Ubiquitin Carboxy-Terminal Hydrolase L1 Is Associated with Abnormal Blood-Brain Barrier Function after Traumatic Brain Injury. J. Neurotrauma 2011, 28, 2453–2462. [Google Scholar] [CrossRef] [PubMed]
- Morganti-Kossmann, M.C.; Hans, V.H.J.; Lenzlinger, P.M.; Dubs, R.; Ludwig, E.; Trentz, O.; Kossmann, T. TGF-β Is Elevated in the CSF of Patients with Severe Traumatic Brain Injuries and Parallels Blood-Brain Barrier Function. J. Neurotrauma 1999, 16, 617–628. [Google Scholar] [CrossRef]
- French, S.R.; Meyer, B.P.; Arias, J.C.; Levendovzsky, S.R.; Weinkauf, C.C. Biomarkers of Blood–Brain Barrier and Neurovascular Unit Integrity in Human Cognitive Impairment and Dementia. Alzheimer’s Dement. 2025, 21, e70104. [Google Scholar] [CrossRef] [PubMed]
- Rosenfeld, J.V.; Maas, A.I.; Bragge, P.; Morganti-Kossmann, M.C.; Manley, G.T.; Gruen, R.L. Early Management of Severe Traumatic Brain Injury. Lancet 2012, 380, 1088–1098. [Google Scholar] [CrossRef]
- Shlosberg, D.; Benifla, M.; Kaufer, D.; Friedman, A. Blood–Brain Barrier Breakdown as a Therapeutic Target in Traumatic Brain Injury. Nat. Rev. Neurol. 2010, 6, 393–403. [Google Scholar] [CrossRef]
- Rico-Fontalvo, J.; Correa-Guerrero, J.; Martínez-Ávila, M.C.; Daza-Arnedo, R.; Rodriguez-Yanez, T.; Almanza-Hurtado, A.; Cabrales, J.; Mendoza-Paternina, C.J.; Frías-Salazar, A.; Morales-Fernández, J. Critically Ill Patients with Renal Hyperfiltration: Optimizing Antibiotic Dose. Int. J. Nephrol. 2023, 2023, 6059079. [Google Scholar] [CrossRef]
- Schroepf, S.; Burau, D.; Muench, H.-G.; Derendorf, H.; Zeitlinger, M.; Genzel-Boroviczény, O.; Adam, D.; Kloft, C. Microdialysis Sampling to Monitor Target-Site Vancomycin Concentrations in Septic Infants: A Feasible Way to Close the Knowledge Gap. Int. J. Antimicrob. Agents 2021, 58, 106405. [Google Scholar] [CrossRef] [PubMed]
- Beringer, P.M. Winter’s Basic Clinical Pharmacokinetics, 6th ed.; Lippincott Williams & Wilkins: Philadelphia, PA, USA, 2018; pp. 467–496. [Google Scholar]



| Patient No. | Age (Years) | Sex | ClCr (mL/min) | Renal Function Change | GCS Score | Underlying Surgical Condition |
|---|---|---|---|---|---|---|
| 1 | 28 | Male | 146 | No | 6–7 | Frontobasal encephalocele |
| 2 | 69 | Male | 92 | Yes (decrease) | 10 | Traumatic brain injury with subdural hemorrhage |
| 3 | 74 | Male | 82 | No | 5 | Hemorrhagic stroke: intracerebral & intraventricular hematoma |
| 4 | 40 | Female | 271 | No | 7 | Arteriovenous malformation with secondary intracerebral & intraventricular hemorrhage after embolization |
| 5 | 53 | Male | 183 | No | 10 | Ruptured aneurysm with subarachnoid hemorrhage |
| Patient | Dosing Interval | AUC24 (mg·h/L) | AUC24ECF/AUC24Plasma Ratio | |||||
|---|---|---|---|---|---|---|---|---|
| Plasma | Brain ECF | Total | Unbound 0.7 * | Unbound 0.45 * | ||||
| Total | Unbound 0.7 * | Unbound 0.45 * | ||||||
| * 1 | 1 | 773 | 541 | 348 | 249 | 0.32 | 0.46 | 0.72 |
| 2 | 813 | 569 | 366 | 418 | 0.51 | 0.73 | 1.14 | |
| 3 | 986 | 690 | 444 | 261 | 0.26 | 0.38 | 0.59 | |
| Mean (SD) | 857 (113) | 600 (79) | 386 (51) | 309 (94) | 0.37 (0.13) | 0.52 (0.19) | 0.82 (0.29) | |
| 2 | 1 | 526 | 368 | 237 | 23 | 0.04 | 0.06 | 0.10 |
| 2 | 592 | 414 | 266 | 26 | 0.04 | 0.06 | 0.10 | |
| Mean (SD) | 559 (47) | 391 (33) | 252 (21) | 24 (2) | 0.04 (0.00) | 0.06 (0.00) | 0.10 (0.00) | |
| 3 | 1 | 635 | 444 | 286 | 32 | 0.05 | 0.07 | 0.11 |
| 2 | 451 | 316 | 203 | 53 | 0.12 | 0.17 | 0.26 | |
| Mean (SD) | 543 (130) | 380 (91) | 244 (58) | 43 (15) | 0.08 (0.05) | 0.12 (0.07) | 0.19 (0.11) | |
| 4 | 1 | 348 | 243 | 157 | 143 | 0.41 | 0.59 | 0.92 |
| 2 | 255 | 178 | 115 | 117 | 0.46 | 0.66 | 1.02 | |
| 3 | 327 | 229 | 147 | 131 | 0.40 | 0.57 | 0.89 | |
| 4 | 323 | 226 | 146 | 143 | 0.44 | 0.63 | 0.98 | |
| Mean (SD) | 313 (40) | 219 (28) | 141 (18) | 134 (12) | 0.43 (0.03) | 0.61 (0.04) | 0.95 (0.06) | |
| 5 | 1 | 434 | 304 | 195 | 96 | 0.22 | 0.32 | 0.49 |
| 2 | 361 | 252 | 162 | 211 | 0.59 | 0.84 | 1.30 | |
| 3 | 559 | 391 | 252 | 247 | 0.44 | 0.63 | 0.98 | |
| 4 | 796 | 557 | 358 | 281 | 0.35 | 0.50 | 0.79 | |
| Mean (SD) | 537 (191) | 376 (134) | 242 (86) | 209 (81) | 0.40 (0.22) | 0.57 (0.22) | 0.89 (0.34) | |
| Patient | Post-Dose Time (h) | Concentration, mg/L | ECF/Plasma Ratio | ECF/Plasma Ratio (0.7) * | ECF/Plasma Ratio (0.45) * | |||
|---|---|---|---|---|---|---|---|---|
| Plasma Total | Plasma Unbound (0.7) * | Plasma Unbound (0.45) * | ECF | |||||
| 1 | 1–6 | 37.39 | 26.17 | 16.83 | 9.24 | 0.25 | 0.35 | 0.50 |
| 6–12 | 28.33 | 19.83 | 12.75 | 12.71 | 0.45 | 0.64 | 1.00 | |
| Mean (SD) | 32.86 (6.40) | 23.00 (4.48) | 14.79 (2.88) | 10.98 (2.45) | 0.35 (0.14) | 0.50 (0.20) | 0.77 (0.32) | |
| 2 | 23–30 | 21.38 | 14.96 | 9.62 | 0.86 | 0.04 | 0.06 | 0.09 |
| 7–12 | 25.72 | 18.00 | 11.57 | 1.48 | 0.06 | 0.08 | 0.13 | |
| 12–18 | 23.70 | 16.59 | 10.67 | 0.45 | 0.02 | 0.03 | 0.04 | |
| 18–24 | 22.39 | 15.67 | 10.08 | 1.48 | 0.07 | 0.09 | 0.15 | |
| 24–30 | 21.59 | 15.11 | 9.72 | 0.86 | 0.04 | 0.06 | 0.09 | |
| Mean (SD) | 22.96 (1.79) | 16.07 (1.26) | 10.33 (0.81) | 1.03 (0.48) | 0.04 (0.02) | 0.06 (0.03) | 0.10 (0.04) | |
| 3 | 4–8 | 26.01 | 18.21 | 11.71 | 0.86 | 0.03 | 0.05 | 0.07 |
| 8–12 | 26.88 | 18.82 | 12.10 | 1.07 | 0.04 | 0.06 | 0.09 | |
| 4–8 | 18.99 | 13.29 | 8.54 | 2.91 | 0.15 | 0.22 | 0.34 | |
| 8–12 | 17.61 | 12.33 | 7.92 | 2.29 | 0.13 | 0.19 | 0.29 | |
| Mean (SD) | 22.37 (4.75) | 15.66 (3.33) | 10.07 (2.14) | 1.78 (1.07) | 0.09 (0.06) | 0.13 (0.09) | 0.20 (0.14) | |
| 4 | 2–6 | 10.72 | 7.51 | 4.83 | 3.99 | 0.37 | 0.53 | 0.83 |
| 9–13 | 13.62 | 9.54 | 6.13 | 5.97 | 0.44 | 0.63 | 0.97 | |
| Mean (SD) | 12.17 (2.05) | 8.52 (1.43) | 5.48 (0.92) | 4.98 (1.40) | 0.41 (0.05) | 0.58 (0.07) | 0.90 (0.10) | |
| 5 | 1–5 | 15.02 | 10.52 | 6.76 | 10.57 | 0.70 | 1.01 | 1.56 |
| 1–8 | 33.15 | 23.21 | 14.92 | 12.84 | 0.39 | 0.55 | 0.86 | |
| Mean (SD) | 24.09 (12.82) | 16.86 (8.97) | 10.84 (5.77) | 11.71 (1.61) | 0.55 (0.22) | 0.78 (0.32) | 1.21 (0.50) | |
Disclaimer/Publisher’s Note: The statements, opinions and data contained in all publications are solely those of the individual author(s) and contributor(s) and not of MDPI and/or the editor(s). MDPI and/or the editor(s) disclaim responsibility for any injury to people or property resulting from any ideas, methods, instructions or products referred to in the content. |
© 2025 by the authors. Published by MDPI on behalf of the Lithuanian University of Health Sciences. Licensee MDPI, Basel, Switzerland. This article is an open access article distributed under the terms and conditions of the Creative Commons Attribution (CC BY) license (https://creativecommons.org/licenses/by/4.0/).
Share and Cite
Žukaitienė, S.; Bareikis, K.; Stankevičiūtė, S.; Ūsaitė, A.; Balčiūnienė, N.; Tamošuitis, T.; Mačiulaitis, R. Vancomycin Penetration in Brain Extracellular Fluid of Patients with Post-Surgical Central Nervous System Infections: An Exploratory Study. Medicina 2025, 61, 1989. https://doi.org/10.3390/medicina61111989
Žukaitienė S, Bareikis K, Stankevičiūtė S, Ūsaitė A, Balčiūnienė N, Tamošuitis T, Mačiulaitis R. Vancomycin Penetration in Brain Extracellular Fluid of Patients with Post-Surgical Central Nervous System Infections: An Exploratory Study. Medicina. 2025; 61(11):1989. https://doi.org/10.3390/medicina61111989
Chicago/Turabian StyleŽukaitienė, Skaistė, Karolis Bareikis, Simona Stankevičiūtė, Akvilė Ūsaitė, Neringa Balčiūnienė, Tomas Tamošuitis, and Romaldas Mačiulaitis. 2025. "Vancomycin Penetration in Brain Extracellular Fluid of Patients with Post-Surgical Central Nervous System Infections: An Exploratory Study" Medicina 61, no. 11: 1989. https://doi.org/10.3390/medicina61111989
APA StyleŽukaitienė, S., Bareikis, K., Stankevičiūtė, S., Ūsaitė, A., Balčiūnienė, N., Tamošuitis, T., & Mačiulaitis, R. (2025). Vancomycin Penetration in Brain Extracellular Fluid of Patients with Post-Surgical Central Nervous System Infections: An Exploratory Study. Medicina, 61(11), 1989. https://doi.org/10.3390/medicina61111989

