Investigation of the Usefulness of HALP Score in Predicting Short-Term Mortality in Patients with Acute Decompensated Heart Failure in a Coronary Care Unit
Abstract
1. Introduction
2. Materials and Methods
2.1. Study Design and Dataset
2.2. Inclusion and Exclusion Criteria
- (a)
- Age <18 years and >80 years;
- (b)
- Use of drugs known to affect the complete blood count;
- (c)
- A hemoglobin value of less than 8 g/dL;
- (d)
- Active bleeding;
- (e)
- Severe renal impairment [estimated glomerular filtration rate (eGFR) 15 mL/min/m2];
- (f)
- A history of cancer detected within the previous year;
- (g)
- Severe liver impairment;
- (h)
- Presence of missing data about the patient.
2.3. Data Collection
2.4. HALP Score Calculation
2.5. Statistical Analysis
3. Results
4. Discussion
5. Conclusions
Supplementary Materials
Author Contributions
Funding
Institutional Review Board Statement
Informed Consent Statement
Data Availability Statement
Conflicts of Interest
References
- McDonagh, T.A.; Metra, M.; Adamo, M.; Gardner, R.S.; Baumbach, A.; Böhm, M.; Burri, H.; Butler, J.; Čelutkienė, J.; Chioncel, O.; et al. 2021 ESC Guidelines for the diagnosis and treatment of acute and chronic heart failure: Developed by the Task Force for the diagnosis and treatment of acute and chronic heart failure of the European Society of Cardiology (ESC) With the special contribution of the Heart Failure Association (HFA) of the ESC. Eur. Heart J. 2021, 42, 3599–3726. [Google Scholar]
- Arrigo, M.; Jessup, M.; Mullens, W.; Reza, N.; Shah, A.M.; Sliwa, K.; Mebazaa, A. Acute heart failure. Nat. Rev. Dis. Primers 2020, 6, 16. [Google Scholar] [CrossRef] [PubMed]
- Van Linthout, S.; Tschöpe, C. Inflammation—Cause or consequence of heart failure or both? Curr. Heart Fail. Rep. 2017, 14, 251–265. [Google Scholar] [CrossRef]
- Murphy, S.P.; Kakkar, R.; McCarthy, C.P.; Januzzi, J.L., Jr. Inflammation in heart failure: JACC state-of-the-art review. J. Am. Coll. Cardiol. 2020, 75, 1324–1340. [Google Scholar] [CrossRef]
- Mene-Afejuku, T.O.; Moisa, E.A.; Akinlonu, A.; Dumancas, C.; Veranyan, S.; Perez, J.A.; Salazar, P.; Chaudhari, S.; Pekler, G.; Mushiyev, S.; et al. The relevance of serum albumin among elderly patients with acute decompensated heart failure. J. Geriatr. Cardiol. 2019, 16, 522–528. [Google Scholar] [CrossRef] [PubMed]
- Ancion, A.; Allepaerts, S.; Robinet, S.; Oury, C.; Pierard, L.; Lancellotti, P. Serum albumin level and long-term outcome in acute heart failure. Acta Cardiol. 2019, 74, 465–471. [Google Scholar] [CrossRef] [PubMed]
- Matsumoto, H.; Kasai, T.; Sato, A.; Ishiwata, S.; Tatsu, S.; Shitara, J.; Murata, A.; Kato, T.; Suda, S.; Matsue, Y.; et al. Association between C-reactive protein levels at hospital admission and long-term mortality in patients with acute decompensated heart failure. Heart Vessels 2019, 34, 1961–1968. [Google Scholar] [CrossRef]
- Marçula, M.; de Souza Buto, M.F.; Madaloso, B.A.; Nunes, R.A.; Cuoco, M.A.; de Paula, R.S.; Yamada, A.T.; Sandoval, M.C.; Botter, D.A.; Mansur, D.J. Lymphocyte count and prognosis in patients with heart failure. Int. J. Cardiol. 2015, 188, 60–62. [Google Scholar] [CrossRef]
- Antar, R.; Farag, C.; Xu, V.; Drouaud, A.; Gordon, O.; Whalen, M.J. Evaluating the baseline hemoglobin, albumin, lymphocyte, and platelet (HALP) score in the United States adult population and comorbidities: An analysis of the NHANES. Front. Nutr. 2023, 10, 1206958. [Google Scholar] [CrossRef] [PubMed] [PubMed Central]
- Pan, H.; Lin, S. Association of hemoglobin, albumin, lymphocyte, and platelet score with risk of cerebrovascular, cardiovascular, and all-cause mortality in the general population: Results from the NHANES 1999–2018. Front. Endocrinol. 2023, 14, 1173399. [Google Scholar] [CrossRef] [PubMed] [PubMed Central]
- Silverberg, D.S.; Wexler, D.; Blum, M.; Keren, G.; Sheps, D.; Leibovitch, E.; Brosh, D.; Laniado, S.; Schwartz, D.; Yachnin, T.; et al. The use of subcutaneous erythropoietin and intravenous iron for the treatment of the anemia of severe, resistant congestive heart failure improves cardiac and renal function and functional cardiac class, and markedly reduces hospitalisations. J. Am. Coll. Cardiol. 2000, 35, 1737–1744. [Google Scholar] [CrossRef] [PubMed]
- Ommen, S.R.; Gibbons, R.J.; Hodge, D.O.; Thomson, S.P. Usefulness of the lymphocyte concentration as a prognostic marker in coronary artery disease. Am. J. Cardiol. 1997, 79, 812–814. [Google Scholar] [CrossRef] [PubMed]
- Reininger, A.J.; Bernlochner, I.; Penz, S.M.; Ravanat, C.; Smethurst, P.; Farndale, R.W.; Gachet, C.; Brandl, R.; Siess, W. A 2-step mechanism of arterial thrombus formation induced by human atherosclerotic plaques. J. Am. Coll. Cardiol. 2010, 55, 1147–1158. [Google Scholar] [CrossRef]
- Guo, Y.; Shi, D.; Mao, S.; Wang, L.; Zhang, W.; Zhang, Z.; Jin, L.; Yang, B.; Ye, L.; Yao, X. The hemoglobin, albumin, lymphocyte, and platelet (Halp) score is a novel significant prognostic factor for patients with metastatic prostate cancer undergoing cytoreductive radical prostatectomy. J. Cancer 2019, 10, 81–91. [Google Scholar] [CrossRef] [PubMed]
- Peng, D.; Zhang, C.-J.; Tang, Q.; Zhang, L.; Yang, K.-W.; Yu, X.-T.; Gong, Y.; Li, X.-S.; He, Z.-S.; Zhou, L.-Q. Prognostic significance of the combination of preoperative hemoglobin and albumin levels and lymphocyte and platelet counts (Halp) in patients with renal cell carcinoma after nephrectomy. BMC Urol. 2018, 18, 1–8. [Google Scholar] [CrossRef]
- Chen, X.-L.; Xue, L.; Wang, W.; Chen, H.-N.; Zhang, W.-H.; Liu, K.; Chen, X.-Z.; Yang, K.; Zhang, B.; Chen, Z.-X.; et al. Prognosticsignificance of the combination of preoperative hemoglobin, albumin, lymphocyte and platelet in patients with gastric carcinoma: A retrospective cohort study. Oncotarget 2015, 6, 41370–41382. [Google Scholar] [CrossRef]
- Tian, M.; Li, Y.; Wang, X.; Tian, X.; Pei, L.-l.; Wang, X.; Zhang, L.; Sun, W.; Wu, J.; Sun, S.; et al. The hemoglobin, albumin, lymphocyte, and platelet (Halp) score is associated with poor outcome of acute ischemic stroke. Front. Neurol. 2020, 11, 610318. [Google Scholar] [CrossRef]
- Toprak, K.; Toprak, İ.H.; Acar, O.; Ermiş, M.F. The predictive value of the HALP score for no-reflow phenomenon and short-term mortality in patients with ST-elevation myocardial infarction. Postgrad. Med. 2024, 136, 169–179. [Google Scholar] [CrossRef]
- Núñez, J.; Núñez, E.; Miñana, G.; Sanchis, J.; Bodí, V.; Rumiz, E.; Palau, P.; Olivares, M.; Merlos, P.; Bonanad, C.; et al. Effectiveness of the relative lymphocyte count to predict one-year mortality in patients with acute heart failure. Am. J. Cardiol. 2011, 107, 1034–1039. [Google Scholar] [CrossRef]
- Cikrikcioglu, M.A.; Soysal, P.; Dikerdem, D.; Cakirca, M.; Kazancioglu, R.; Yolbas, S.; Erkal, H.; Hursitoglu, M.; Karakose, T.K.; Kiskac, M.; et al. Absolute blood eosinophil count and 1-year mortality risk following hospitalization with acute heart failure. Eur. J. Emerg. Med. 2012, 19, 257–263. [Google Scholar] [CrossRef]
- Groenveld, H.F.; Januzzi, J.L.; Damman, K.; van Wijngaarden, J.; Hillege, H.L.; van Veldhuisen, D.J.; van der Meer, P. Anemia and mortality in heart failure patients a systematic review and meta-analysis. J. Am. Coll. Cardiol. 2008, 52, 818–827. [Google Scholar] [CrossRef] [PubMed]
- Pascual-Figal, D.A.; Bonaque, J.C.; Redondo, B.; Caro, C.; Manzano-Fernandez, S.; Sánchez-Mas, J.; Garrido, I.P.; Valdes, M. Red blood cell distribution width predicts long-term outcome regardless of anaemia status in acute heart failure patients. Eur. J. Heart Fail. 2009, 11, 840–846. [Google Scholar] [CrossRef] [PubMed]
- Gheorghiade, M.; Vaduganathan, M.; Fonarow, G.C.; Bonow, R.O. Rehospitalization for Heart Failure Problems and Per-spectives. J. Am. Coll. Cardiol. 2013, 61, 391–403. [Google Scholar] [CrossRef]
- Heidenreich, P.A.; Albert, N.M.; Allen, L.A.; Bluemke, D.A.; Butler, J.; Fonarow, G.C.; Ikonomidis, J.S.; Khavjou, O.; Konstam, M.A.; Maddox, T.M.; et al. Forecast-ing the impact of heart failure in the United States a policy statement from the american heart association. Circ. Heart Fail. 2013, 6, 606–619. [Google Scholar] [CrossRef] [PubMed]
- Peng, D.; Zhang, C.J.; Gong, Y.Q.; Hao, H.; Guan, B.; Li, X.S.; Zhou, L.Q. Prognostic significance of HALP (hemoglobin, albumin, lymphocyte, and platelet) in patients with bladder cancer after radical cystectomy. Sci. Rep. 2018, 8, 794. [Google Scholar] [CrossRef] [PubMed]
- Kocaoglu, S.; Alatli, T. The Efficiency of the HALP Score and the Modified HALP Score in Predicting Mortality in Patients with Acute Heart Failure Presenting to the Emergency Department. J. Coll. Physicians Surg. Pak. 2022, 32, 706–711. [Google Scholar] [CrossRef] [PubMed]
- Cleland, J.G.F.; Zhang, J.; Pellicori, P.; Dicken, B.; Dierckx, R.; Shoaib, A.; Wong, K.; Rigby, A.; Goode, K.; Clark, A.L. Prevalence and outcomes of anemia and hematinic deficiencies in patients with chronic heart failure. JAMA Cardiol. 2016, 1, 539–547. [Google Scholar] [CrossRef]
- Grote Beverborg, N.; van Veldhuisen, D.J.; van der Meer, P. Anemia in Heart Failure: Still Relevant? JACC Hear. Fail. 2018, 6, 201–208. [Google Scholar] [CrossRef]
- Alnuwaysir, R.I.S.; Hoes, M.F.; van Veldhuisen, D.J.; van der Meer, P.; Grote Beverborg, N. Iron Deficiency in Heart Failure: Mechanisms and Pathophysiology. J. Clin. Med. 2021, 11, 125. [Google Scholar] [CrossRef] [PubMed] [PubMed Central]
- Bansal, S.S.; Ismahil, M.A.; Goel, M.; Patel, B.; Hamid, T.; Rokosh, G.; Prabhu, S.D. Activated T Lymphocytes are Essential Drivers of Pathological Remodeling in Ischemic Heart Failure. Circ. Heart Fail. 2017, 10, e003688. [Google Scholar] [CrossRef] [PubMed] [PubMed Central]
- Majmundar, M.; Kansara, T.; Park, H.; Ibarra, G.; Marta Lenik, J.; Shah, P.; Kumar, A.; Doshi, R.; Zala, H.; Chaudhari, S.; et al. Absolute lymphocyte count as a predictor of mortality and readmission in heart failure hospitalization. Int. J. Cardiol. Heart Vasc. 2022, 39, 100981. [Google Scholar] [CrossRef] [PubMed] [PubMed Central]
- Hui, P.; Cook, D.J.; Lim, W.; Fraser, G.A.; Arnold, D.M. The frequency and clinical significance of thrombocytopenia complicating critical illness: A systematic review. Chest 2011, 139, 271–278. [Google Scholar] [CrossRef] [PubMed]
- Moreau, D.; Timsit, J.-F.; Vesin, A.; Garrouste-Orgeas, M.; de Lassence, A.; Zahar, J.-R.; Adrie, C.; Vincent, F.; Cohen, Y.; Schlemmer, B.; et al. Platelet count decline: An early prognostic marker in critically ill patients with prolonged ICU stays. Chest. 2007, 131, 1735–1741. [Google Scholar] [CrossRef] [PubMed]
- Westenbrink, B.D.; Voors, A.A.; de Boer, R.A.; Schuringa, J.J.; Klinkenberg, T.; van der Harst, P.; Vellenga, E.; van Veldhuisen, D.J.; van Gilst, W.H. Bone marrow dysfunction in chronic heart failure patients. Eur. J. Heart Fail. 2010, 12, 676–684. [Google Scholar] [CrossRef] [PubMed]
- Wang, L.; Liu, T.; Zhu, Z.; Wang, B.; Lu, Z.; Pan, Y.; Sun, L. Associations between static and dynamic changes of platelet counts and in-hospital mortality in critical patients with acute heart failure. Sci. Rep. 2024, 14, 9147. [Google Scholar] [CrossRef]
- Chao, P.; Cui, X.; Wang, S.; Zhang, L.; Ma, Q.; Zhang, X. Serum albumin and the short-term mortality in individuals with congestive heart failure in intensive care unit: An analysis of MIMIC. Sci. Rep. 2022, 12, 16251. [Google Scholar] [CrossRef]
- Wang, J.; Li, N.; Mu, Y.; Wang, K.; Feng, G. Association between serum albumin creatinine ratio and all-cause mortality in intensive care unit patients with heart failure. Front. Cardiovasc. Med. 2024, 11, 1406294. [Google Scholar] [CrossRef]



| Variable | Survivor N = 163 (71.8%) | Exitus N = 64 (28.2%) | p-Value | |||
|---|---|---|---|---|---|---|
| Demographic | Mean ± SD | Median | Mean ± SD | Median | ||
| AGE | 63.66 ± 8.10 | 63.00 | 66.75 ± 8.88 | 68.00 | 0.004 ** | |
| Hematological and Biochemical | Mean ± SD | Median | Mean ± SD | Median | ||
| HGB (g/dL) | 13.88 ± 1.71 | 14.00 | 12.25 ± 2.39 | 12.35 | <0.001 ** | |
| LY (109/L) | 2.98 ± 1.62 | 2.52 | 1.98 ± 1.54 | 1.40 | <0.001 ** | |
| PLT (109/L) | 269.69 ± 79.44 | 265.00 | 240.02 ± 92.73 | 224.50 | 0.004 ** | |
| ALBUMIN (mg/dL) | 40.89 ± 3.30 | 41.00 | 34.07 ± 6.81 | 34.00 | <0.001 ** | |
| HALP SCORE | 6.60 ± 3.74 | 6.03 | 3.78 ± 3.49 | 2.68 | <0.001 ** | |
| Categorical | N (%) | N (%) | ||||
| GENDER | Female | 50 (30.7) | 26 (40.6) | 0.153 | ||
| Male | 113 (69.3) | 38 (59.4) | ||||
| DM | Yes | 89 (54.6) | 34 (53.1) | 0.841 | ||
| No | 74 (45.4) | 30 (46.9) | ||||
| HT | Yes | 107 (65.6) | 51 (79.7) | 0.038 * | ||
| No | 56 (34.4) | 13 (20.3) | ||||
| CAD | Yes | 85 (52.1) | 39 (60.9) | 0.231 | ||
| No | 78 (47.9) | 25 (39.1) | ||||
| EF (%) | >50 | 55 (33.7) | 22 (34.4) | 0.934 | ||
| 40–50 | 42 (25.8) | 15 (23.4) | ||||
| <40 | 66 (40.5) | 27 (42.2) | ||||
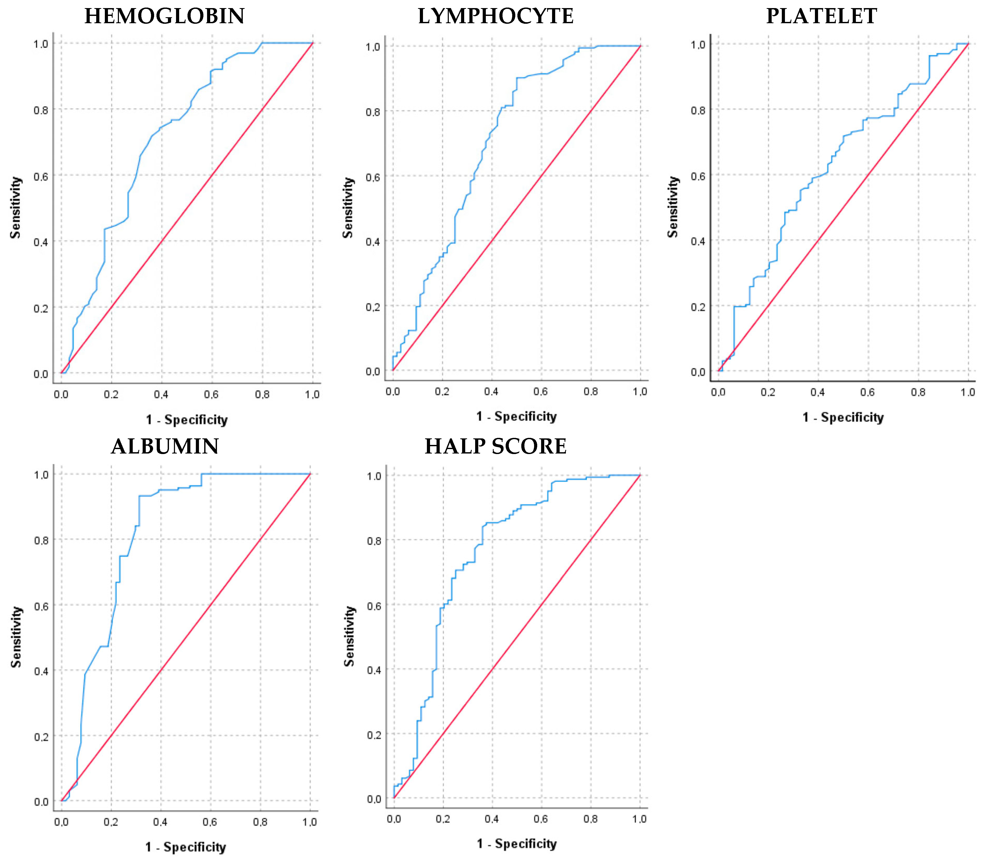
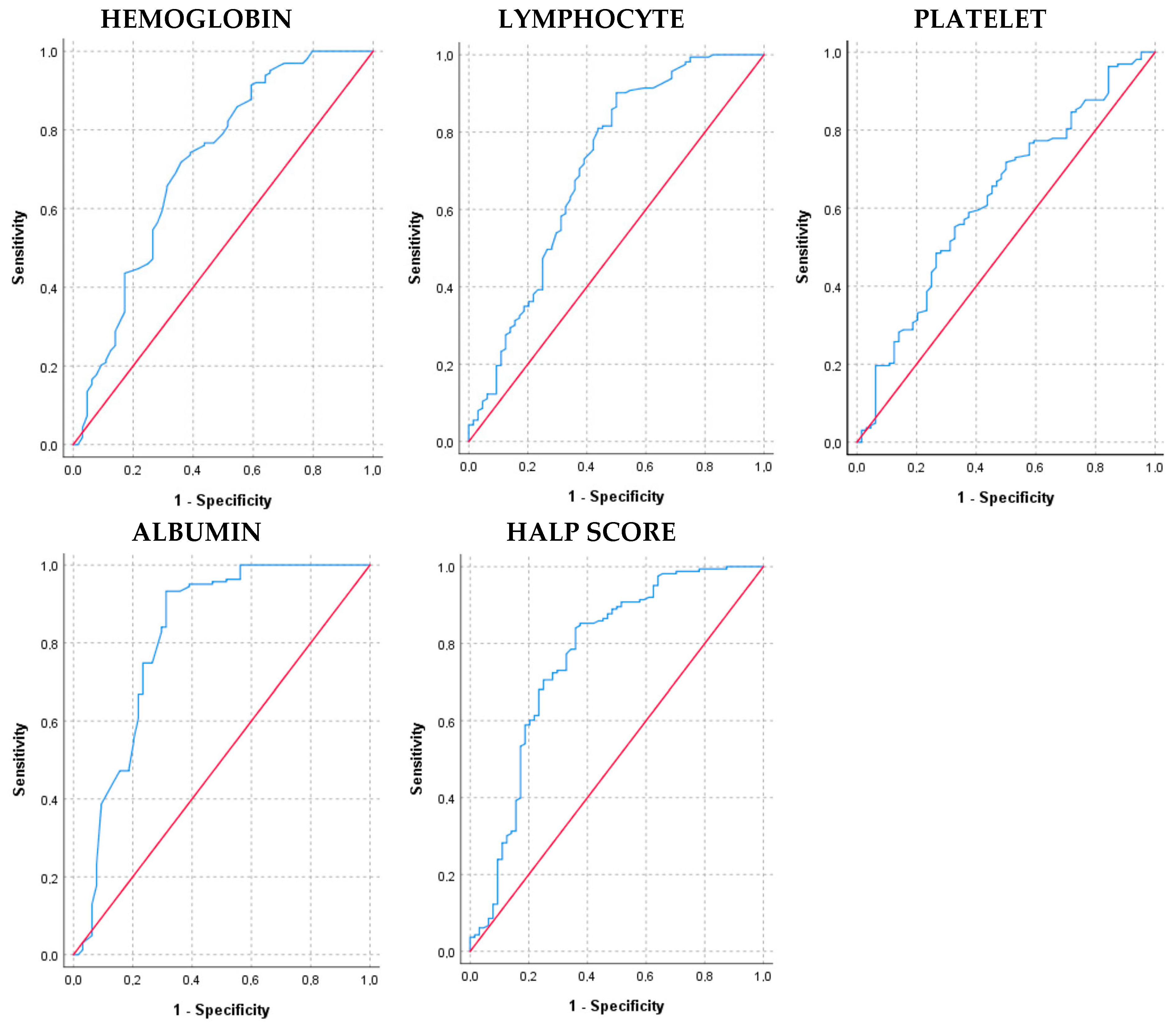
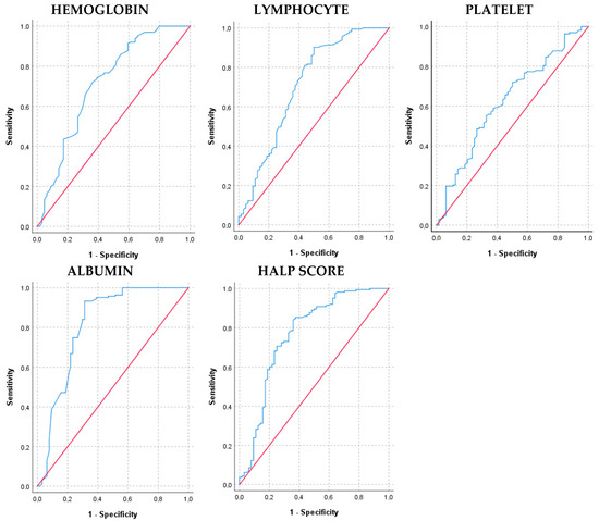
| AUC | p-Value | Cut-Off | Sensitivity | Specificity | |
|---|---|---|---|---|---|
| HEMOGLOBIN | 0.714 | <0.001 | 12.95 | 0.718 | 0.641 |
| LYMPHOCYTE | 0.709 | <0.001 | 1.33 | 0.902 | 0.500 |
| PLATELET | 0.624 | 0.003 | 256.50 | 0.552 | 0.672 |
| ALBUMIN | 0.814 | <0.001 | 36.70 | 0.933 | 0.687 |
| HALP SCORE | 0.765 | <0.001 | 3.305 | 0.840 | 0.641 |
Disclaimer/Publisher’s Note: The statements, opinions and data contained in all publications are solely those of the individual author(s) and contributor(s) and not of MDPI and/or the editor(s). MDPI and/or the editor(s) disclaim responsibility for any injury to people or property resulting from any ideas, methods, instructions or products referred to in the content. |
© 2024 by the authors. Licensee MDPI, Basel, Switzerland. This article is an open access article distributed under the terms and conditions of the Creative Commons Attribution (CC BY) license (https://creativecommons.org/licenses/by/4.0/).
Share and Cite
Yilmaz, R.; Toprak, K.; Yilmaz, M.; Karagoz, A.; Öz, E. Investigation of the Usefulness of HALP Score in Predicting Short-Term Mortality in Patients with Acute Decompensated Heart Failure in a Coronary Care Unit. Medicina 2024, 60, 1385. https://doi.org/10.3390/medicina60091385
Yilmaz R, Toprak K, Yilmaz M, Karagoz A, Öz E. Investigation of the Usefulness of HALP Score in Predicting Short-Term Mortality in Patients with Acute Decompensated Heart Failure in a Coronary Care Unit. Medicina. 2024; 60(9):1385. https://doi.org/10.3390/medicina60091385
Chicago/Turabian StyleYilmaz, Rustem, Kenan Toprak, Mustafa Yilmaz, Ahmet Karagoz, and Ersoy Öz. 2024. "Investigation of the Usefulness of HALP Score in Predicting Short-Term Mortality in Patients with Acute Decompensated Heart Failure in a Coronary Care Unit" Medicina 60, no. 9: 1385. https://doi.org/10.3390/medicina60091385
APA StyleYilmaz, R., Toprak, K., Yilmaz, M., Karagoz, A., & Öz, E. (2024). Investigation of the Usefulness of HALP Score in Predicting Short-Term Mortality in Patients with Acute Decompensated Heart Failure in a Coronary Care Unit. Medicina, 60(9), 1385. https://doi.org/10.3390/medicina60091385

