Optimization of the “Perth CT” Protocol for Preoperative Planning and Postoperative Evaluation in Total Knee Arthroplasty
Abstract
1. Introduction
2. Material and Methods
2.1. Study Design and Participants
2.2. Protocols of Examinations
2.3. Data Collection
2.4. Statistical Analysis
3. Results
4. Discussion
5. Conclusions
Author Contributions
Funding
Institutional Review Board Statement
Informed Consent Statement
Data Availability Statement
Conflicts of Interest
Abbreviations
| TKA | Total knee arthroplasty |
| US | United States |
| AURORA | Australian Universal Resection Orientation and Rotation Analysis |
| UNSCEAR | United Nations Scientific Committee on the Effects of Atomic Radiation |
| mSv | Millisievert |
| UKCS | University Clinical Center of Serbia |
| ACR | American College of Radiology |
| AEC | Automatic exposure control |
| IR | Iterative reconstruction |
| SEMAR | Single-energy projection-based MAR (metal artifact reduction) |
| MAR | metal artifact reduction |
| PF | pitch factor |
| HP | helical pitch |
| CTDIvol | CT dose index-volume |
| mGy | Milligray |
| DLP | Dose length product |
| Cm | Centimeter |
| E | Effective dose |
| Sv | Sievert |
| QC | Quality control |
| FOM | Figure of merit |
| SdNR | Signal difference to noise ratio |
| ROI | Region of interest |
| HU | Hounsfield units |
| I | Intensity |
| OPT | Optimized Perth CT protocol |
| STP | Standard Perth CT protocol |
| ICC | Intraclass correlation coefficient |
| FOV | Field of view |
| THA | Total hip arthroplasty |
| MBIR | Model-based iterative reconstruction |
| ASIR | Adaptive statistical iterative reconstruction |
| FBP | Filtered back projection |
| DLM | Deep learning model |
| ALARA | As Low As Reasonably Achievable |
References
- Jones, L.C.; Wood, J.A.; MacDessi, S.J. Interobserver Agreement of Post-operative Perth Computed Tomography Protocol Data in Total Knee Arthroplasty. Cureus 2023, 15, e34349. [Google Scholar] [CrossRef] [PubMed]
- Suchowersky, A.; Dickison, D.; Ashton, L.A. Current variability in the assessment of component position for the unhappy knee replacement. ANZ J. Surg. 2020, 90, 1246–1252. [Google Scholar] [CrossRef] [PubMed]
- Kurtz, S.; Ong, K.; Lau, E.; Mowat, F.; Halpern, M. Projections of primary and revision hip and knee arthroplasty in the United States from 2005 to 2030. J. Bone Jt. Surg. Am. 2007, 89, 780–785. [Google Scholar] [CrossRef]
- Inacio, M.C.S.; Paxton, E.W.; Graves, S.E.; Namba, R.S.; Nemes, S. Projected increase in total knee arthroplasty in the United States—An alternative projection model. Osteoarthr. Cartil. 2017, 25, 1797–1803. [Google Scholar] [CrossRef] [PubMed]
- Chauhan, S.; Scott, R.G.; Breidahl, W.; Beaver, R.J. Computer-assisted knee arthroplasty versus a conventional jig-based technique. A randomised, prospective trial. J. Bone Jt. Surg. Br. 2004, 86, 372–377. [Google Scholar] [CrossRef] [PubMed]
- Cherian, J.J.; Kapadia, B.H.; Banerjee, S.; Jauregui, J.J.; Issa, K.; Mont, M.A. Mechanical, Anatomical, and Kinematic Axis in TKA: Concepts and Practical Applications. Curr. Rev. Musculoskelet. Med. 2014, 7, 89–95. [Google Scholar] [CrossRef] [PubMed]
- Silva, A.N.; Tay, Y.W.A.; Si Heng, S.T.; Foo, S.S.L.; Pang, H.N.; Keng Jin, D.T.; Lo, N.N.; Yeo, S.J. CT-based TruMatch® Personal Solutions for knee replacement Surgery … Does it really match? J. Orthop. 2019, 19, 17–20. [Google Scholar] [CrossRef]
- Hannan, R.; Free, M.; Arora, V.; Harle, R.; Harvie, P. Accuracy of computer navigation in total knee arthroplasty: A prospective computed tomography-based study. Med. Eng. Phys. 2020, 79, 52–59. [Google Scholar] [CrossRef]
- Williams, D.; Metcalfe, A.; Madete, J.; Whatling, G.; Kempshall, P.; Forster, M.; Lyons, K.; Holt, C. The relationship between alignment, function and loading in total knee replacement: In-vivo analysis of a unique patient population. J. Biomech. 2020, 112, 110042. [Google Scholar] [CrossRef]
- Fosco, M.; Ben Ayad, R.; Fantasia, R.; Dallari, D.; Tigani, D. Concepts in computer assisted total knee replacement surgery. In Recent Advances in Hip and Knee Arthroplasty—Chapter 27; Fokter, S.K., Ed.; InTech: London, UK, 2012; 464p, ISBN 978-953-307-841-0. [Google Scholar]
- Hochman, M.G.; Melenevsky, Y.V.; Metter, D.; Roberts, C.C.; Bencardino, J.T.; Cassidy, R.C.; Fox, M.; Kransdorf, M.J.; Mintz, D.N.; Shah, N.A.; et al. ACR Appropriateness Criteria® Imaging after Total Knee Arthroplasty. J. Am. Coll. Radiol. 2017, 14, S421–S448. [Google Scholar] [CrossRef]
- Ueyama, H.; Minoda, Y.; Sugama, R.; Ohta, Y.; Yamamura, K.; Nakamura, S.; Takemura, S.; Nakamura, H. Two-dimensional measurement misidentifies alignment outliers in total knee arthroplasty: A comparison of two- and three-dimensional measurements. Knee Surg. Sports Traumatol. Arthrosc. 2019, 27, 1497–1503. [Google Scholar] [CrossRef] [PubMed]
- Chauhan, S.K.; Clark, G.W.; Lloyd, S.; Scott, R.G.; Breidahl, W.; Sikorski, J.M. Computer-assisted total knee replacement. A controlled cadaver study using a multi-parameter quantitative CT assessment of alignment (the Perth CT Protocol). J. Bone Jt. Surg. Br. 2004, 86, 818–823. [Google Scholar] [CrossRef] [PubMed]
- Jazrawi, L.M.; Birdzell, L.; Kummer, F.J.; Di Cesare, P.E. The accuracy of computed tomography for determining femoral and tibial total knee arthroplasty component rotation. J. Arthroplast. 2000, 15, 761–766. [Google Scholar] [CrossRef] [PubMed]
- Holme, T.J.; Hirschmann, M.T.; Henckel, J. Determination of component orientation and position in patients after total knee replacement. In The Unhappy Total Knee Replacement: A Comprehensive Review and Management Guide; Hirschmann, M.T., Becker, R., Eds.; Springer: Cham, Switzerland, 2015. [Google Scholar]
- Hughes, J.S.; Watson, S.J.; Jones, A.L.; Oatway, W.B. Review of the radiation exposure of the UK population. J. Radiol. Prot. 2005, 25, 493–496. [Google Scholar] [CrossRef] [PubMed]
- Hart, D.; Hillier, M.; Wall, B.F.; Shrimpton, P.C.; Bungay, D. Doses to Patients from Medical X-ray Examinations in the UK: 1995 Review; NRPB-R289; HMSO: London, UK, 1994. [Google Scholar]
- Henckel, J.; Richards, R.; Lozhkin, K.; Harris, S.; Rodriguez y Baena, F.M.; Barrett, A.R.; Cobb, J.P. Very low-dose computed tomography for planning and outcome measurement in knee replacement. The imperial knee protocol. J. Bone Jt. Surg. Br. 2006, 88, 1513–1518. [Google Scholar] [CrossRef] [PubMed]
- Wakelin, E.; Tran, L.; Twiggs, J.G.; Theodore, W.; Roe, J.P.; Solomon, M.I.; Fritsch, B.; Miles, B.P. Accurate determination of post-operative 3D component positioning in total knee arthroplasty: The AURORA protocol. J. Orthop. Surg. Res. 2018, 13, 275. [Google Scholar] [CrossRef]
- United Nations Scientific Committee on the Effects of Atomic Radiation. 2020/21 Report to the General Assembly, Appendix B: Levels and Trends of Exposure in Diagnostic Radiology; United Nations: New York, NY, USA, 2022. [Google Scholar]
- Bongartz, G.; Golding, S.J.; Jurik, A.G.; Leonardi, M.; van Meerten, E.v.P.; Geleijns, J.; Jessen, K.A.; Panzer, W.; Shrimpton, P.C.; Tosi, G. European Guidelines and Quality Criteria for Computed Tomography; Report EUR 16262; European Commission: Brussels, Belgium, 1999. [Google Scholar]
- Kalra, M.K.; Maher, M.M.; Toth, T.L.; Hamberg, L.M.; Blake, M.A.; Shepard, J.A.; Saini, S. Strategies for CT radiation dose optimization. Radiology 2004, 230, 619–628. [Google Scholar] [CrossRef]
- McNitt-Gray, M.F. AAPM/RSNA Physics Tutorial for Residents: Topics in CT. Radiation dose in CT. Radiographics 2002, 22, 1541–1553. [Google Scholar] [CrossRef]
- Huppertz, A.; Lembcke, A.; Sariali, E.-H.; Durmus, T.; Schwenke, C.; Hamm, B.; Sparmann, M.; Baur, A.D. Low Dose Computed Tomography for 3D Planning of Total Hip Arthroplasty: Evaluation of Radiation Exposure and Image Quality. J. Comput. Assist. Tomogr. 2015, 39, 649–656. [Google Scholar] [CrossRef]
- McCollough, C.H.; Bruesewitz, M.R.; Kofler, J.M., Jr. CT dose reduction and dose management tools: Overview of available options. Radiographics 2006, 26, 503–512. [Google Scholar] [CrossRef]
- Singh, S.; Kalra, M.K.; Thrall, J.H.; Mahesh, M. Automatic exposure control in CT: Applications and limitations. J. Am. Coll. Radiol. 2011, 8, 446–449. [Google Scholar] [CrossRef] [PubMed]
- Greess, H.; Wolf, H.; Baum, U.; Lell, M.; Pirkl, M.; Kalender, W.; Bautz, W.A. Dose reduction in computed tomography by attenuation-based on-line modulation of tube current: Evaluation of six anatomical regions. Eur. Radiol. 2000, 10, 391–394. [Google Scholar] [CrossRef]
- Tsalafoutas, I.A.; AlKhazzam, S.; AlNaemi, H.; Kharita, M.H. Evaluation of automatic tube current modulation of CT scanners using a dedicated and the CTDI dosimetry phantoms. J. Appl. Clin. Med. Phys. 2022, 23, e13620. [Google Scholar] [CrossRef] [PubMed]
- Nakayama, Y.; Awai, K.; Funama, Y.; Hatemura, M.; Imuta, M.; Nakaura, T.; Ryu, D.; Morishita, S.; Sultana, S.; Sato, N.; et al. Abdominal CT with low tube voltage: Preliminary observations about radiation dose, contrast enhancement, image quality, and noise. Radiology 2005, 237, 945–951. [Google Scholar] [CrossRef]
- McCollough, C.H. Automatic exposure control in CT: Are we done yet? Radiology 2005, 237, 755–756. [Google Scholar] [CrossRef] [PubMed]
- Padole, A.; Ali Khawaja, R.D.; Kalra, M.; Singh, S. CT radiation dose and iterative reconstruction techniques. AJR Am. J. Roentgenol. 2015, 204, W384–W392. [Google Scholar] [CrossRef] [PubMed]
- Hara, A.; Paden, R.G.; Silva, A.C.; Kujak, J.L.; Lawder, H.J.; Pavlicek, W. Iterative reconstruction technique for reducing body radiation dose at CT: Feasibility study. AJR Am. J. Roentgenol. 2009, 193, 764–771. [Google Scholar] [CrossRef]
- Gsling, O.; Loader, R.; Venables, P.; Roobottom, C.; Rowles, N.; Bellenger, N.; Morgan-Hughes, G. A comparison of radiation doses between state-of-the-art multislice CT coronary angiography with iterative reconstruction, multislice CT coronary angiography with standard filtered back-projection and invasive diagnostic coronary angiography. Heart 2010, 96, 922–926. [Google Scholar] [CrossRef]
- Deák, Z.; Grimm, J.M.; Treitl, M.; Geyer, L.L.; Linsenmaier, U.; Körner, M.; Reiser, M.F.; Wirth, S. Filtered back projection, adaptive statistical iterative reconstruction, and a model-based iterative reconstruction in abdominal CT: An experimental clinical study. Radiology 2013, 266, 197–206. [Google Scholar] [CrossRef]
- Abu-Rajab, R.B.; Deakin, A.H.; Kandasami, M.; McGlynn, J.; Picard, F.; Kinninmonth, A.W. Hip-Knee-Ankle Radiographs Are More Appropriate for Assessment of Post-Operative Mechanical Alignment of Total Knee Arthroplasties than Standard AP Knee Radiographs. J. Arthroplast. 2015, 30, 695–700. [Google Scholar] [CrossRef]
- Math, K.R.; Zaidi, S.F.; Petchprapa, C.; Harwin, S.F. Imaging of total knee arthroplasty. Semin. Musculoskelet. Radiol. 2006, 10, 47–63. [Google Scholar] [CrossRef] [PubMed]
- Cehic, M.; Jackman, E.; Wilson, C. Long Leg Radiographs vs. CT Perth protocol: Mechanical alignment analysis. Open Access J. Biomed. Sci. 2022, 4, 1981–1985. [Google Scholar] [CrossRef]
- Wellenberg, R.H.H.; Hakvoort, E.T.; Slump, C.H.; Boomsma, M.F.; Maas, M.; Streekstra, G.J. Metal artifact reduction techniques in musculoskeletal CT-imaging. Eur. J. Radiol. 2018, 107, 60–69. [Google Scholar] [CrossRef] [PubMed]
- Katsura, M.; Sato, J.; Akahane, M.; Kunimatsu, A.; Abe, O. Current and Novel Techniques for Metal Artifact Reduction at CT: Practical Guide for Radiologists. Radiographics 2018, 38, 450–461. [Google Scholar] [CrossRef] [PubMed]
- Zhang, F.; Li, R.C.; Zhang, X.L.; Zhang, Z.H.; Ma, L.; Ding, L. Reduction of metal artifacts from knee tumor prostheses on CT images: Value of the single energy metal artifact reduction (SEMAR) algorithm. BMC Cancer 2021, 21, 1288. [Google Scholar] [CrossRef] [PubMed]
- Gondim Teixeira, P.A.; Meyer, J.B.; Baumann, C.; Raymond, A.; Sirveaux, F.; Coudane, H.; Blum, A. Total hip prosthesis CT with single-energy projection-based metallic artifact reduction: Impact on the visualization of specific periprosthetic soft tissue structures. Skelet. Radiol. 2014, 43, 1237–1246. [Google Scholar] [CrossRef] [PubMed]
- Kidoh, M.; Utsunomiya, D.; Oda, S.; Nakaura, T.; Funama, Y.; Yuki, H.; Hirata, K.; Hatemura, M.; Namimoto, T.; Yamashita, Y. CT venography after knee replacement surgery: Comparison of dual-energy CT-based monochromatic imaging and single-energy metal artifact reduction techniques on a 320-row CT scanner. Acta Radiol. Open 2017, 6, 2058460117693463. [Google Scholar] [CrossRef] [PubMed]
- Barreto, I.; Pepin, E.; Davis, I.; Dean, C.; Massini, T.; Rees, J.; Olguin, C.; Quails, N.; Correa, N.; Rill, L.; et al. Comparison of metal artifact reduction using single-energy CT and dual-energy CT with various metallic implants in cadavers. Eur. J. Radiol. 2020, 133, 109357. [Google Scholar] [CrossRef]
- Chun, M.; Choi, J.H.; Kim, S.; Ahn, C.; Kim, J.H. Fully automated image quality evaluation on patient CT: Multi-vendor and multi-reconstruction study. PLoS ONE 2022, 17, e0271724. [Google Scholar] [CrossRef]
- Moldovan, F.; Gligor, A.; Moldovan, L.; Bataga, T. An Investigation for Future Practice of Elective Hip and Knee Arthroplasties during COVID-19 in Romania. Medicina 2023, 59, 314. [Google Scholar] [CrossRef]




| Standard Perth CT Protocol | Optimized Perth CT Protocol | |
|---|---|---|
| kV | 120 | 100 |
| mA | 200 | Sure expose (150–180) |
| Collimation | HP standard 0.5 × 0.8 | HP fast 0.5 × 0.8 |
| Pitch factor | 0.813/HP 65 | 1.388/HP 111 |
| SEMAR | + | + |
| Slice thickness | 0.5 mm | 0.5 mm |
| Reconstruction | 3 mm | 3 mm |
| Rotation time | 0.5 s | 0.5 s |
| Kernel | FC08 | FC08 |
| OPT Mean ± SE 95% CI for Mean | STP Mean ± SE 95% CI for Mean | Mean Difference ± SE 95% CI for Mean Difference | p | |
|---|---|---|---|---|
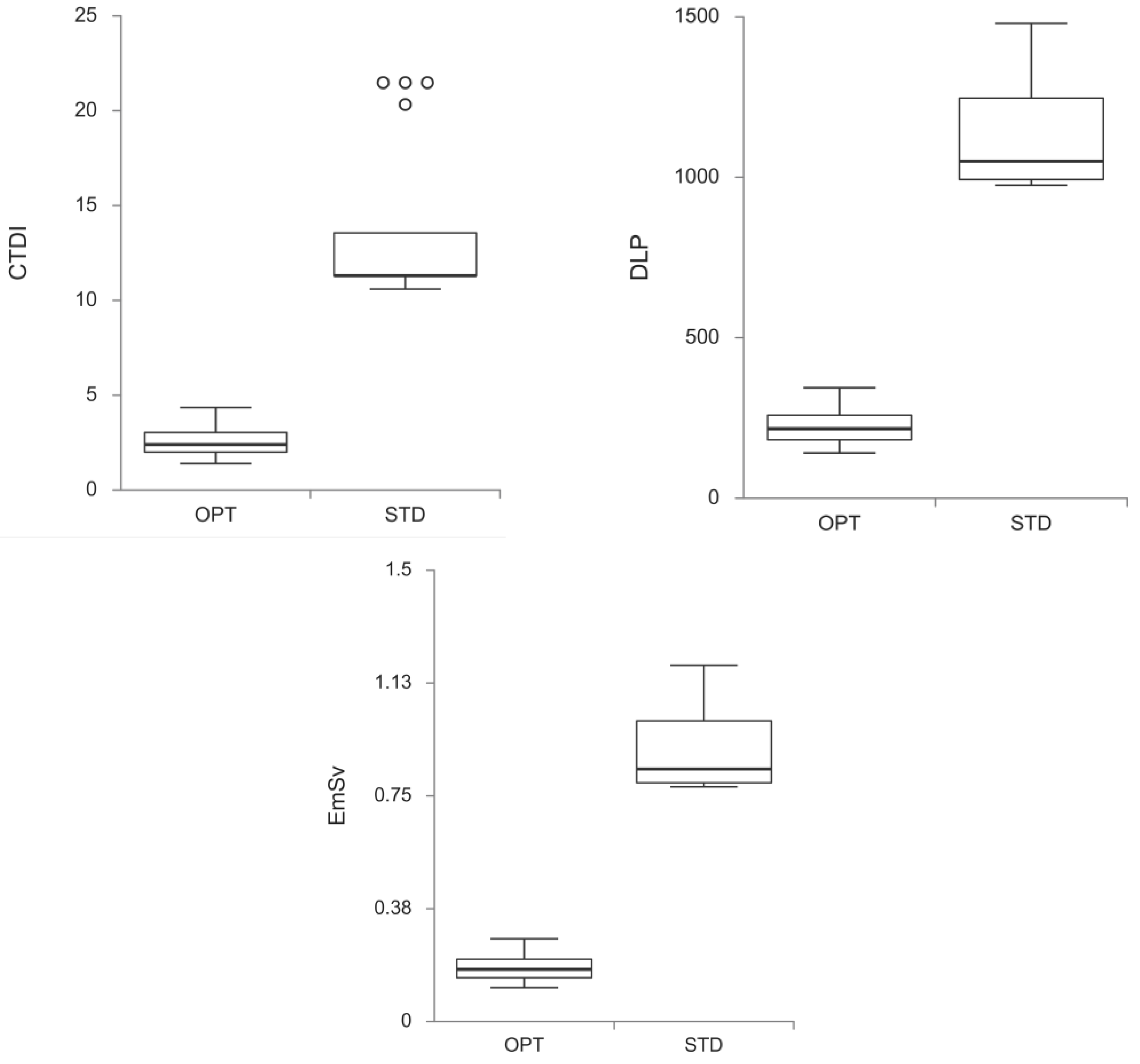
| CTDIvol (mGy) | 2.58 ± 0.23 (2.12–3.04) | 13.64 ± 1.13 (11.33–15.95) | 11.06 ± 1.15 (8.71–13.41) | <0.001 |
| DLP (mGy·cm) | 225 ± 16 (193–257) | 1123 ± 42 (1037–1210) | 898.59 ± 45.02 (806.65–990.54) | <0.001 |
| E (Sv) | 0.180 ± 0.013 (0.155–0.206) | 0.900 ± 0.034 (0.830–0.969) | 0.72 ± 0.04 (0.65–0.79) | <0.001 |
| OPT | STP | ||
|---|---|---|---|
| CDTIvol (mGy) | Without prothesis | 2.13 ± 0.08 (1.97–2.29) | 11.13 ± 0.42 (10.30–12.00) |
| With prothesis | 3.95 ± 0.26 (3.46–4.50) * | 21.19 ± 1.40 (18.57–24.19) | |
| DLP (mGy·cm) | Without prothesis | 201 ± 9 (1.97–2.29) | 1043 ± 46 (952–1042) |
| With prothesis | 297 ± 22.8 (254–348) * | 1367 ± 104 (1168–1600) | |
| E (Sv) | Without prothesis | 0.161 ± 0.007 (0.147–0.176) | 0.834 ± 0.037 (0.761–0.913) |
| With prothesis | 0.238 ± 0.018 (0.203–0.278) * | 1.098 ± 0.084 (0.938–1.284) | |
| OPT | STP | p | |
|---|---|---|---|
| SdNR | 6.22 ± 0.50 (5.20–7.31) | 9.00 ± 0.73 (7.66–10.57) | 0.002 |
| FOM | 252 ± 36 (181–324) | 139 ± 36 (68–210) | 0.028 |
| OPT | STP | ||
|---|---|---|---|
| SdNR | Hip | 6.61 ± 0.93 (5.83–8.73) | 7.83 ± 1.10 (7.66–10.57) |
| Knee | 5.24 ± 0.74 (4.00–6.92) | 8.37 ± 1.18 (3.33–11.00) | |
| Ankle | 6.94 ± 0.98 (5.25–9.18) | 11.16 ± 1.56 (8.41–14.69) | |
| FOM | Hip | 285 ± 62 (162–409) | 78 ± 61 (−45–201) |
| Knee | 202 ± 62 (79–325) | 118 ± 62 (−5–242) | |
| Ankle | 270 ± 62 (147–393) | 221 ± 62 (98–345) | |
| OPT | STP | ||
|---|---|---|---|
| SdNR | Without prothesis | 6.11 ± 0.58 (5.05–7.39) | 9.59 ± 0.92 (7.93–11.59) |
| With prothesis | 6.72 ± 1.11 (4.84–9.37) | 7.64 ± 1.26 (5.50–10.62) | |
| FOM | Without prothesis | 256 ± 43 (184–359) | 164 ± 28 (118–230) |
| With prothesis | 240 ± 70 (134–429) | 64 ± 19 (36–114) | |
| Viewer | Image Quality | STP (n) | OPT (n) | ||||
|---|---|---|---|---|---|---|---|
| Hip | Knee | Ankle | Hip | Knee | Ankle | ||
| Viewer 1 | Hardly visible | 0 | 0 | 0 | 0 | 0 | 0 |
| Present | 0 | 4 | 0 | 0 | 4 | 0 | |
| Clearly visible | 16 | 12 | 16 | 16 | 12 | 16 | |
| Viewer 2 | Hardly visible | 0 | 2 | 0 | 0 | 2 | 0 |
| Present | 2 | 4 | 2 | 3 | 4 | 3 | |
| Clearly visible | 14 | 10 | 14 | 13 | 10 | 13 | |
| Viewer 3 | Hardly visible | 0 | 1 | 0 | 0 | 1 | 0 |
| Present | 2 | 3 | 2 | 2 | 4 | 2 | |
| Clearly visible | 14 | 12 | 14 | 14 | 11 | 14 | |
Disclaimer/Publisher’s Note: The statements, opinions and data contained in all publications are solely those of the individual author(s) and contributor(s) and not of MDPI and/or the editor(s). MDPI and/or the editor(s) disclaim responsibility for any injury to people or property resulting from any ideas, methods, instructions or products referred to in the content. |
© 2024 by the authors. Licensee MDPI, Basel, Switzerland. This article is an open access article distributed under the terms and conditions of the Creative Commons Attribution (CC BY) license (https://creativecommons.org/licenses/by/4.0/).
Share and Cite
Stojadinović, M.; Mašulović, D.; Kadija, M.; Milovanović, D.; Milić, N.; Marković, K.; Ciraj-Bjelac, O. Optimization of the “Perth CT” Protocol for Preoperative Planning and Postoperative Evaluation in Total Knee Arthroplasty. Medicina 2024, 60, 98. https://doi.org/10.3390/medicina60010098
Stojadinović M, Mašulović D, Kadija M, Milovanović D, Milić N, Marković K, Ciraj-Bjelac O. Optimization of the “Perth CT” Protocol for Preoperative Planning and Postoperative Evaluation in Total Knee Arthroplasty. Medicina. 2024; 60(1):98. https://doi.org/10.3390/medicina60010098
Chicago/Turabian StyleStojadinović, Milica, Dragan Mašulović, Marko Kadija, Darko Milovanović, Nataša Milić, Ksenija Marković, and Olivera Ciraj-Bjelac. 2024. "Optimization of the “Perth CT” Protocol for Preoperative Planning and Postoperative Evaluation in Total Knee Arthroplasty" Medicina 60, no. 1: 98. https://doi.org/10.3390/medicina60010098
APA StyleStojadinović, M., Mašulović, D., Kadija, M., Milovanović, D., Milić, N., Marković, K., & Ciraj-Bjelac, O. (2024). Optimization of the “Perth CT” Protocol for Preoperative Planning and Postoperative Evaluation in Total Knee Arthroplasty. Medicina, 60(1), 98. https://doi.org/10.3390/medicina60010098

