MicroRNAs: Potential Biomarkers of Disease Severity in Chronic Rhinosinusitis with Nasal Polyps
Abstract
1. Introduction
2. Materials and Methods
2.1. Study Design and Setting
2.2. Participants
2.3. Variables and Measurements
2.4. MiRNAs’ Analysis
2.4.1. RNA Extraction
2.4.2. cDNA Synthesis and qRT-PCR
2.5. Statistical Analysis
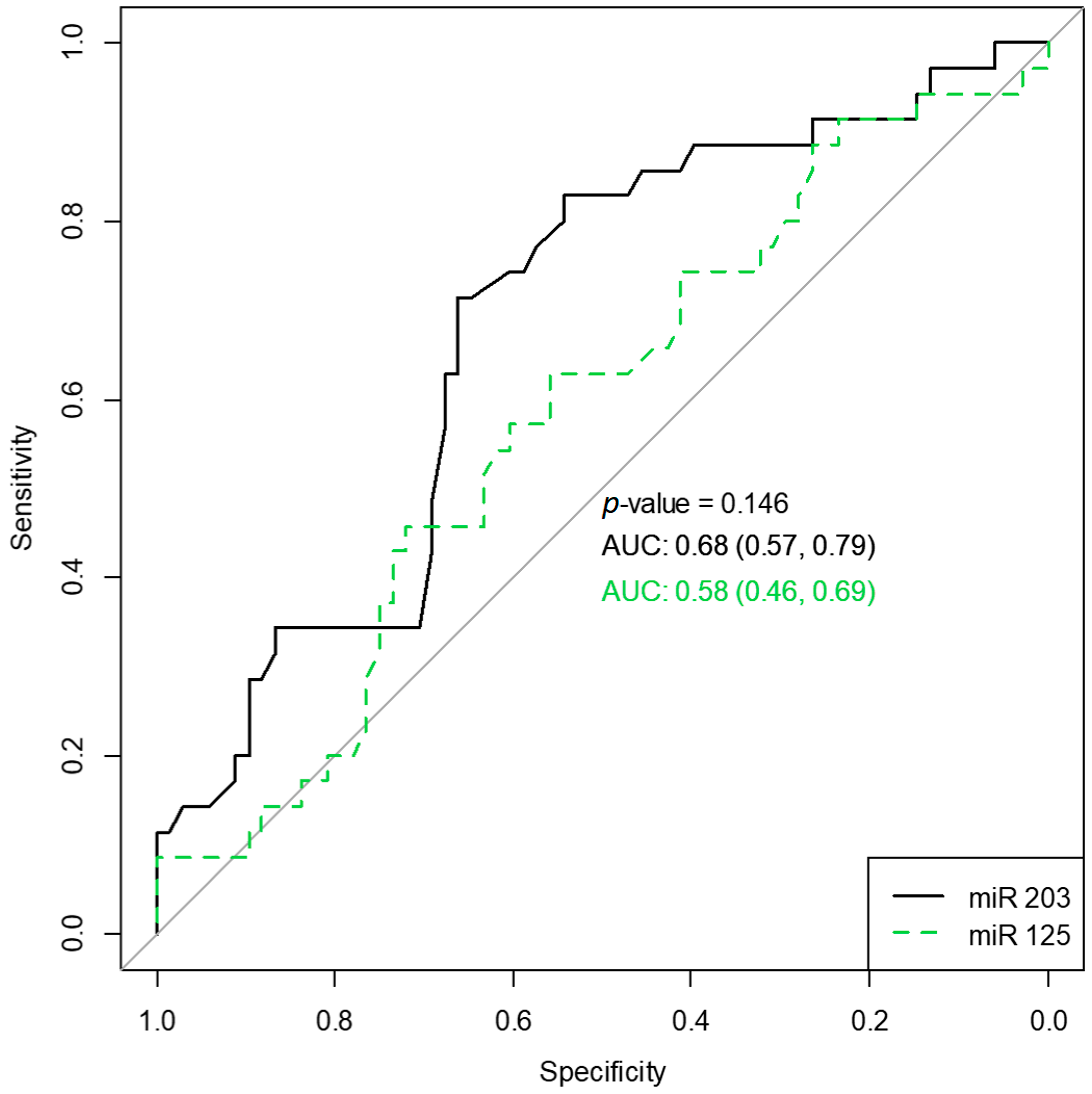
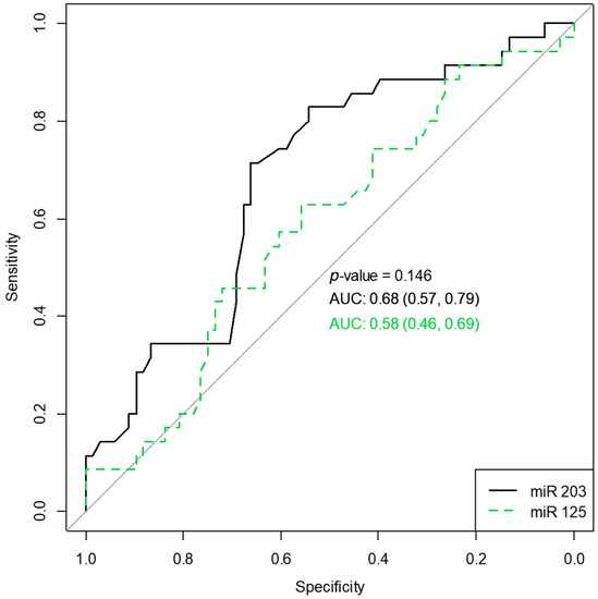
3. Results
4. Discussion
5. Conclusions
Author Contributions
Funding
Institutional Review Board Statement
Informed Consent Statement
Data Availability Statement
Conflicts of Interest
References
- Fokkens, W.J.; Lund, V.J.; Hopkins, C.; Hellings, P.W.; Kern, R.; Reitsma, S.; Toppila-Salmi, S.; Bernal-Sprekelsen, M.; Mullol, J.; Alobid, I.; et al. European Position Paper on Rhinosinusitis and Nasal Polyps 2020. Rhinology 2020, 58 (Suppl. S29), 1–464. [Google Scholar] [CrossRef]
- Hastan, D.; Fokkens, W.J.; Bachert, C.; Newson, R.B.; Bislimovska, J.; Bockelbrink, A.; Burney, P. Chronic rhinosinusitis in Europe—An underestimated disease. A GA²LEN study. Allergy 2011, 66, 1216–1223. [Google Scholar] [CrossRef]
- Cao, P.-P.; Li, H.-B.; Wang, B.-F.; Wang, S.-B.; You, X.-J.; Cui, Y.-H.; Wang, D.-Y.; Desrosiers, M.; Liu, Z. Distinct immunopathologic characteristics of various types of chronic rhinosinusitis in adult Chinese. J. Allergy Clin. Immunol. 2009, 124, 478–484.e2. [Google Scholar] [CrossRef]
- Marcus, S.; DelGaudio, J.M.; Roland, L.T.; Wise, S.K. Chronic Rhinosinusitis: Does Allergy Play a Role? Med. Sci. 2019, 7, 30. [Google Scholar] [CrossRef] [PubMed]
- Tomassen, P.; Vandeplas, G.; Van Zele, T.; Cardell, L.-O.; Arebro, J.; Olze, H.; Förster-Ruhrmann, U.; Kowalski, M.L.; Olszewska-Ziąber, A.; Holtappels, G.; et al. Inflammatory endotypes of chronic rhinosinusitis based on cluster analysis of biomarkers. J. Allergy Clin. Immunol. 2016, 137, 1449–1456.e4. [Google Scholar] [CrossRef] [PubMed]
- Tokunaga, T.; Sakashita, M.; Haruna, T.; Asaka, D.; Takeno, S.; Ikeda, H.; Nakayama, T.; Seki, N.; Ito, S.; Murata, J.; et al. Novel scoring system and algorithm for classifying chronic rhinosinusitis: The JESREC Study. Allergy 2015, 70, 995–1003. [Google Scholar] [CrossRef]
- Orlandi, R.R.; Kingdom, T.T.; Smith, T.L.; Bleier, B.; De Conde, A.; Luong, A.U.; Poetker, D.M.; Soler, Z.; Welch, K.C.; Wise, S.K.; et al. International consensus statement on allergy and rhinology: Rhinosinusitis 2021. Int. Forum Allergy Rhinol. 2020, 11, 213–739. [Google Scholar]
- Liu, T.; Sun, Y.; Bai, W. The Role of Epigenetics in the Chronic Sinusitis with Nasal Polyp. Curr. Allergy Asthma Rep. 2020, 21, 1. [Google Scholar] [CrossRef]
- Bartel, D.P. MicroRNAs: Genomics, biogenesis, mechanism, and function. Cell 2004, 116, 281–297. [Google Scholar] [CrossRef] [PubMed]
- Specjalski, K.; Jassem, E. MicroRNAs: Potential Biomarkers and Targets of Therapy in Allergic Diseases? Arch. Immunol. Ther. Exp. 2019, 67, 213–223. [Google Scholar] [CrossRef] [PubMed]
- Sonkoly, E.; Pivarcsi, A. Advances in microRNAs: Implications for immunity and inflammatory diseases. J. Cell. Mol. Med. 2008, 13, 24–38. [Google Scholar] [CrossRef] [PubMed]
- Song, L.; Wang, X.; Qu, X.; Lv, C. Transcription Factor Specificity Protein 1 Regulates Inflammation and Fibrin Deposition in Nasal Polyps Via the Regulation of microRNA-125b and the Wnt/β-catenin Signaling Pathway. Inflammation 2022, 45, 1118–1132. [Google Scholar] [CrossRef] [PubMed]
- Yu, J.; Kang, X.; Xiong, Y.; Luo, Q.; Dai, D.; Ye, J. Gene Expression Profiles of Circular RNAs and MicroRNAs in Chronic Rhinosinusitis With Nasal Polyps. Front. Mol. Biosci. 2021, 8, 643504. [Google Scholar] [CrossRef]
- Xia, G.; Bao, L.; Gao, W.; Liu, S.; Ji, K.; Li, J. Differentially Expressed miRNA in Inflammatory Mucosa of Chronic Rhinosinusitis. J. Nanosci. Nanotechnol. 2015, 15, 2132–2139. [Google Scholar] [CrossRef]
- Zhang, X.-H.; Zhang, Y.-N.; Li, H.-B.; Hu, C.-Y.; Wang, N.; Cao, P.-P.; Liao, B.; Lu, X.; Cui, Y.-H.; Liu, Z. Overexpression of miR-125b, a Novel Regulator of Innate Immunity, in Eosinophilic Chronic Rhinosinusitis with Nasal Polyps. Am. J. Respir. Crit. Care Med. 2012, 185, 140–151. [Google Scholar] [CrossRef]
- Fan, Q.; Jian, Y. MiR-203a-3p regulates TGF-β1-induced epithelial–mesenchymal transition (EMT) in asthma by regulating Smad3 pathway through SIX1. Biosci. Rep. 2020, 40, BSR20192645. [Google Scholar] [CrossRef]
- Fokkens, W.J.; Lund, V.J.; Mullol, J.; Bachert, C.; Alobid, I.; Baroody, F.; Wormald, P.J. EPOS 2012: European position paper on rhinosinusitis and nasal polyps 2012. A summary for otorhinolaryngologists. Rhinology 2012, 50, 1–12. [Google Scholar] [CrossRef]
- Lildholdt, T.; Rundcrantz, H.; Lindqvist, N. Efficacy of topical corticosteroid powder for nasal polyps: A double-blind, placebo-controlled study of budesonide. Clin. Otolaryngol. 1995, 20, 26–30. [Google Scholar] [CrossRef] [PubMed]
- Lund, V.J.; Mackay, I.S. Staging in rhinosinusitus. Rhinology 1993, 31, 183–184. [Google Scholar]
- Ba, V.E.D.; Rafaels, N.; Kim, J. Peripheral blood eosinophilia correlates with hyperplastic nasal polyp growth. Int. Forum Allergy Rhinol. 2016, 6, 926–934. [Google Scholar]
- Lou, H.; Zhang, N.; Bachert, C.; Zhang, L. Highlights of eosinophilic chronic rhinosinusitis with nasal polyps in definition, prognosis, and advancement. Int. Forum Allergy Rhinol. 2018, 8, 1218–1225. [Google Scholar] [CrossRef]
- Matsuwaki, Y.; Ookushi, T.; Asaka, D.; Mori, E.; Nakajima, T.; Yoshida, T.; Kojima, J.; Chiba, S.; Ootori, N.; Moriyama, H. Chronic Rhinosinusitis: Risk Factors for the Recurrence of Chronic Rhinosinusitis Based on 5-Year Follow-Up after Endoscopic Sinus Surgery. Int. Arch. Allergy Immunol. 2008, 146 (Suppl. 1), 77–81. [Google Scholar] [CrossRef] [PubMed]
- Hu, Y.; Cao, P.-P.; Liang, G.-T.; Cui, Y.-H.; Liu, Z. Diagnostic significance of blood eosinophil count in eosinophilic chronic rhinosinusitis with nasal polyps in Chinese adults. Laryngoscope 2012, 122, 498–503. [Google Scholar] [CrossRef]
- Hopkins, C.; Rudmik, L.; Lund, V.J. The predictive value of the preoperative Sinonasal Outcome Test-22 score in patients undergoing endoscopic sinus surgery for chronic rhinosinusitis. Laryngoscope 2015, 125, 1779–1784. [Google Scholar] [CrossRef] [PubMed]
- Gâta, A.; Valean, D.; Trombitás, V.E.; Albu, S. Impact of depression on the outcomes of endoscopic sinus surgery. Hum. Vet. Med. 2022, 14, 1–4. [Google Scholar]
- I Parikh, N.; Vasan, R.S. Assessing the clinical utility of biomarkers in medicine. Biomark. Med. 2007, 1, 419–436. [Google Scholar] [CrossRef]
- Panganiban, R.P.; Wang, Y.; Howrylak, J.; Chinchilli, V.M.; Craig, T.J.; August, A.; Ishmael, F.T. Circulating microRNAs as biomarkers in patients with allergic rhinitis and asthma. J. Allergy Clin. Immunol. 2016, 137, 1423–1432. [Google Scholar] [CrossRef]
- Roffel, M.P.; Boudewijn, I.M.; van Nijnatten, J.L.; Faiz, A.; Vermeulen, C.J.; van Oosterhout, A.J.; Affleck, K.; Timens, W.; Bracke, K.R.; Maes, T.; et al. Identification of asthma-associated microRNAs in bronchial biopsies. Eur. Respir. J. 2021, 59, 2101294. [Google Scholar] [CrossRef] [PubMed]
- Atashbasteh, M.; Mortaz, E.; Mahdaviani, S.A.; Jamaati, H.; Allameh, A. Expression levels of plasma exosomal miR-124, miR-125b, miR-133b, miR-130a and miR-125b-1-3p in severe asthma patients and normal individuals with emphasis on inflammatory factors. Allergy Asthma Clin. Immunol. 2021, 17, 51. [Google Scholar] [CrossRef]
- Kalluri, R.; Neilson, E.G. Epithelial-mesenchymal transition and its implications for fibrosis. J. Clin. Investig. 2003, 112, 1776–1784. [Google Scholar] [CrossRef]
- Hackett, T.L.; Warner, S.M.; Stefanowicz, D.; Shaheen, F.; Pechkovsky, D.V.; Murray, L.A.; Knight, D.A. Induction of epithelial-mesenchymal transition in primary airway epithelial cells from patients with asthma by transforming growth factor-beta1. Am. J. Respir. Crit. Care Med. 2009, 180, 122–133. [Google Scholar] [CrossRef] [PubMed]
- Liu, R.; Du, J.; Zhou, J.; Zhong, B.; Ba, L.; Zhang, J.; Liu, Y.; Liu, S. Elevated microRNA-21 Is a Brake of Inflammation Involved in the Development of Nasal Polyps. Front. Immunol. 2021, 12, 530488. [Google Scholar] [CrossRef] [PubMed]
- Tsai, M.J.; Tsai, Y.C.; Chang, W.A.; Lin, Y.S.; Tsai, P.H.; Sheu, C.C.; Hsu, Y.L. Deducting MicroRNA-Mediated Changes Common in Bronchial Epithelial Cells of Asthma and Chronic Obstructive Pulmonary Disease-A Next-Generation Sequencing-Guided Bioinformatic Approach. Int. J. Mol. Sci. 2019, 20, 553. [Google Scholar] [CrossRef]
- Marcus, S.; Roland, L.T.; DelGaudio, J.M.; Wise, S.K. The relationship between allergy and chronic rhinosinusitis. Laryngoscope Investig. Otolaryngol. 2018, 4, 13–17. [Google Scholar] [CrossRef]
- Morawska-Kochman, M.; Śmieszek, A.; Marcinkowska, K.; Marycz, K.M.; Nelke, K.; Zub, K.; Zatoński, T.; Bochnia, M. Expression of Apoptosis-Related Biomarkers in Inflamed Nasal Sinus Epithelium of Patients with Chronic Rhinosinusitis with Nasal Polyps (CRSwNP)-Evaluation at mRNA and miRNA Levels. Biomedicines 2022, 10, 1400. [Google Scholar] [CrossRef]
- Colina, R.; Costa-Mattioli, M.; Dowling, R.J.O.; Jaramillo, M.; Tai, L.-H.; Breitbach, C.J.; Martineau, Y.; Larsson, O.; Rong, L.; Svitkin, Y.V.; et al. Translational control of the innate immune response through IRF-7. Nature 2008, 452, 323–328. [Google Scholar] [CrossRef]
- Martín-Saavedra, F.M.; González-García, C.; Bravo, B.; Ballester, S. Beta interferon restricts the inflammatory potential of CD4+ cells through the boost of the Th2 phenotype, the inhibition of Th17 response and the prevalence of naturally occurring T regulatory cells. Mol. Immunol. 2008, 45, 4008–4019. [Google Scholar] [CrossRef] [PubMed]
- Sega, S.; Wraber, B.; Mesec, A.; Horvat, A.; Ihan, A. IFN-beta1a and IFN-beta1b have different patterns of influence on cytokines. Clin. Neurol. Neurosurg. 2004, 106, 255–258. [Google Scholar] [CrossRef] [PubMed]
- Takabayashi, T.; Kato, A.; Peters, A.T.; Hulse, K.E.; Suh, L.A.; Carter, R.; Norton, J.; Grammer, L.C.; Cho, S.H.; Tan, B.K.; et al. Excessive Fibrin Deposition in Nasal Polyps Caused by Fibrinolytic Impairment through Reduction of Tissue Plasminogen Activator Expression. Am. J. Respir. Crit. Care Med. 2013, 187, 49–57. [Google Scholar] [CrossRef]
- Katoh, M. Multi-layered prevention and treatment of chronic inflammation, organ fibrosis and cancer associated with canonical WNT/β-catenin signaling activation (Review). Int. J. Mol. Med. 2018, 42, 713–725. [Google Scholar] [CrossRef]




| hsa-miR-203a-3p | 000507 | GUGAAAUGUUUAGGACCACU |
| hsa-miR-125b | 000449 | UCCCUGAGACCCUAACUUGUGA |
| U6 snRNA | 001973 | GTGCTCGCTTCGGCAGCACATATACTAAAATTGGAACGATACAGAGAAGATTAGCATGGCCCCTGCGCAAGGATGACACGCAAATTCGTGAAGCGTTCCATATTT |
| RNU48 | 001006 | GATGACCCCAGGTAACTCTGAGTGTGTCGCTGATGCCATCACCGCAGCGCTCTGACC |
| Group | Normal | Polyposis | Difference (95% CI) | p-Value |
|---|---|---|---|---|
| (n = 20) | (n = 86) | |||
| Age (years), mean (SD) | 37.12 (12.8) | 49.57 (12.76) | <0.001 | |
| Sex (F), n (%) | 8 (40) | 29 (33.72) | 0.596 | |
| Smoking, n (%) | 3 (15) | 20 (23.25) | 0.554 | |
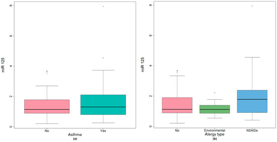
| Asthma, n (%) | 0 (0) | 28 (32.55) | 0.010 | |
| Allergy, n (%) | 0.09 | |||
| Environmental | 3 (15) | 18 (20.93) | ||
| NSAIDs | 0 (0) | 14 (16.28) | ||
| No | 17 (85) | 54 (62.79) | ||
| miR-125, median (IQR) | 0.4 (0.3–0.64) | 1.19 (0.88–1.85) | 0.74 (−1.08–−0.53) | <0.001 |
| miR-203, median (IQR) | 1.42 (0.78–2.97) | 0.4 (0.26–0.62) | 1.02 (0.59–1.37) | <0.001 |
| Environmental Allergy: | No (n = 82) | Yes (n = 21) | Difference (95% CI) | p |
|---|---|---|---|---|
| miR-125, median (IQR) | 0.96 (0.64–1.82) | 0.98 (0.71–1.39) | 0.03 (−0.24–0.41) | 0.658 |
| miR-203, median (IQR) | 0.53 (0.34–0.77) | 0.3 (0.2–0.52) | 0–14 (0–0.31) | 0.047 |
| miR-125b Overexpression: | No | Yes | p |
|---|---|---|---|
| (n = 41) | (n = 45) | ||
| Age (years), median (IQR) | 50 (44–61) | 46 (36–55) | 0.073 |
| Sex (F), nr (%) | 18 (43.9) | 11 (24.44) | 0.057 |
| Smoking (Yes), nr (%) | 11 (26.83) | 9 (20) | 0.454 |
| Allergy (Yes), nr (%) | 15 (36.59) | 17 (37.78) | 0.909 |
| Allergy type, nr (%) | 0.187 | ||
| NSAIDs | 4 (9.76) | 10 (22.22) | |
| Environmental | 11 (26.83) | 7 (15.56) | |
| No | 26 (63.41) | 28 (62.22) | |
| Asthma (Yes), nr (%) | 12 (29.27) | 16 (35.56) | 0.534 |
| Endoscopy score average score, median (IQR) | 2 (1.5–2.5) | 2.5 (2–3) | 0.021 |
| Endoscopy score maxim score, median (IQR) | 2 (2–3) | 3 (2–3) | 0.027 |
| Endoscopy score sum score, median (IQR) | 4 (3–5) | 5 (4–6) | 0.021 |
| Eosinophiles (%), median (IQR) | 6.42 (5.62–7.29) | 8.37 (6.54–11.09) | 0.018 |
| PHQ-9 preop, median (IQR) | 4 (2–6) | 5 (3–8) | 0.107 |
| Lund Mackay sum score, median (IQR) | 15 (13–19) | 17 (14–20) | 0.063 |
| SNOT initial, median (IQR) | 36 (26–54) | 49 (28–65) | 0.093 |
Disclaimer/Publisher’s Note: The statements, opinions and data contained in all publications are solely those of the individual author(s) and contributor(s) and not of MDPI and/or the editor(s). MDPI and/or the editor(s) disclaim responsibility for any injury to people or property resulting from any ideas, methods, instructions or products referred to in the content. |
© 2023 by the authors. Licensee MDPI, Basel, Switzerland. This article is an open access article distributed under the terms and conditions of the Creative Commons Attribution (CC BY) license (https://creativecommons.org/licenses/by/4.0/).
Share and Cite
Gata, A.; Neagoe, I.B.; Leucuta, D.-C.; Budisan, L.; Raduly, L.; Trombitas, V.E.; Albu, S. MicroRNAs: Potential Biomarkers of Disease Severity in Chronic Rhinosinusitis with Nasal Polyps. Medicina 2023, 59, 550. https://doi.org/10.3390/medicina59030550
Gata A, Neagoe IB, Leucuta D-C, Budisan L, Raduly L, Trombitas VE, Albu S. MicroRNAs: Potential Biomarkers of Disease Severity in Chronic Rhinosinusitis with Nasal Polyps. Medicina. 2023; 59(3):550. https://doi.org/10.3390/medicina59030550
Chicago/Turabian StyleGata, Anda, Ioana Berindan Neagoe, Daniel-Corneliu Leucuta, Liviuta Budisan, Lajos Raduly, Veronica Elena Trombitas, and Silviu Albu. 2023. "MicroRNAs: Potential Biomarkers of Disease Severity in Chronic Rhinosinusitis with Nasal Polyps" Medicina 59, no. 3: 550. https://doi.org/10.3390/medicina59030550
APA StyleGata, A., Neagoe, I. B., Leucuta, D.-C., Budisan, L., Raduly, L., Trombitas, V. E., & Albu, S. (2023). MicroRNAs: Potential Biomarkers of Disease Severity in Chronic Rhinosinusitis with Nasal Polyps. Medicina, 59(3), 550. https://doi.org/10.3390/medicina59030550

