Bevacizumab Treatment for Metastatic Colorectal Cancer in Real-World Clinical Practice
Abstract
1. Introduction
2. Patients and Methods
2.1. Study Endpoints
2.2. Statistical Analysis
3. Results
3.1. Pattern of Bevacizumab Treatment
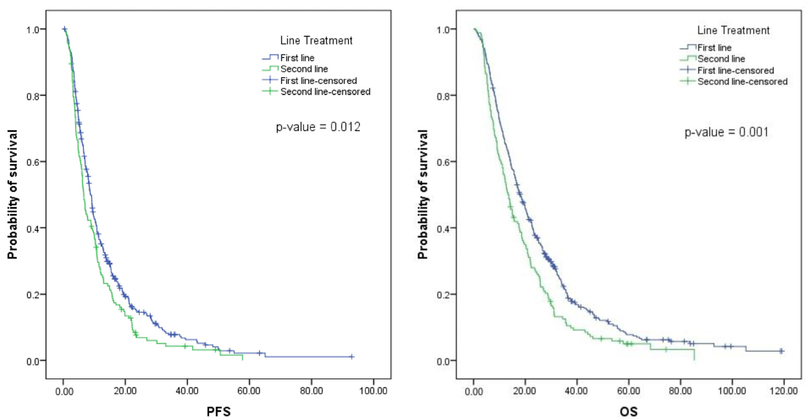
3.2. Efficacy
3.3. Safety
4. Discussion
5. Conclusions
Supplementary Materials
Author Contributions
Funding
Institutional Review Board Statement
Informed Consent Statement
Data Availability Statement
Conflicts of Interest
References
- Ionescu, E.M.; Tieranu, C.G.; Maftei, D.; Grivei, A.; Olteanu, A.O.; Arbanas, T.; Calu, V.; Musat, S.; Mihaescu-Pintia, C.; Cucu, I.C. Colorectal cancer trends of 2018 in Romania—An important geographical variation between northern and southern lands and high mortality versus European averages. J. Gastrointest. Cancer 2021, 52, 222–228. [Google Scholar] [CrossRef] [PubMed]
- Morgan, E.; Arnold, M.; Gini, A.; Lorenzoni, V.; Cabasag, C.; Laversanne, M.; Vignat, J.; Ferlay, J.; Murphy, N.; Bray, F. Global burden of colorectal cancer in 2020 and 2040: Incidence and mortality estimates from GLOBOCAN. Gut 2022, 72, 338–344. [Google Scholar] [CrossRef] [PubMed]
- Globocan. 2020. Available online: https://gco.iarc.fr/ (accessed on 20 December 2022).
- Cervantes, A.; Adam, R.; Roselló, S.; Arnold, D.; Normanno, N.; Taïeb, J.; Seligmann, J.; De Baere, T.; Osterlund, P.; Yoshino, T. Metastatic colorectal cancer: ESMO Clinical Practice Guideline for diagnosis, treatment and follow-up☆. Ann. Oncol. 2022, 34, 10–32. [Google Scholar] [CrossRef]
- Messersmith, W.A. NCCN guidelines updates: Management of metastatic colorectal cancer. J. Natl. Compr. Cancer Netw. 2019, 17, 599–601. [Google Scholar]
- Khakoo, S.; Chau, I.; Pedley, I.; Ellis, R.; Steward, W.; Harrison, M.; Baijal, S.; Tahir, S.; Ross, P.; Raouf, S. ACORN: Observational study of bevacizumab in combination with first-line chemotherapy for treatment of metastatic colorectal cancer in the UK. Clin. Color. Cancer 2019, 18, 280–291.e285. [Google Scholar] [CrossRef]
- Yoshino, T.; Uetake, H.; Tsuchihara, K.; Shitara, K.; Yamazaki, K.; Watanabe, J.; Oki, E.; Sato, T.; Naitoh, T.; Komatsu, Y. PARADIGM study: A multicenter, randomized, phase III study of mFOLFOX6 plus panitumumab or bevacizumab as first-line treatment in patients with RAS (KRAS/NRAS) wild-type metastatic colorectal cancer. Am. Soc. Clin. Oncol. 2021, 39, 85. [Google Scholar] [CrossRef]
- Grothey, A.; Van Cutsem, E.; Sobrero, A.; Siena, S.; Falcone, A.; Ychou, M.; Humblet, Y.; Bouché, O.; Mineur, L.; Barone, C. Regorafenib monotherapy for previously treated metastatic colorectal cancer (CORRECT): An international, multicentre, randomised, placebo-controlled, phase 3 trial. Lancet 2013, 381, 303–312. [Google Scholar] [CrossRef]
- Giantonio, B.J.; Catalano, P.J.; Meropol, N.J.; O'Dwyer, P.J.; Mitchell, E.P.; Alberts, S.R.; Schwartz, M.A.; Benson, A.B., III. Bevacizumab in combination with oxaliplatin, fluorouracil, and leucovorin (FOLFOX4) for previously treated metastatic colorectal cancer: Results from the Eastern Cooperative Oncology Group Study E3200. J. Clin. Oncol. 2007, 25, 1539–1544. [Google Scholar] [CrossRef]
- Van Cutsem, E.; Tabernero, J.; Lakomy, R.; Prenen, H.; Prausová, J.; Macarulla, T.; Ruff, P.; Van Hazel, G.A.; Moiseyenko, V.; Ferry, D. Addition of aflibercept to fluorouracil, leucovorin, and irinotecan improves survival in a phase III randomized trial in patients with metastatic colorectal cancer previously treated with an oxaliplatin-based regimen. J. Clin. Oncol. 2012, 30, 3499–3506. [Google Scholar] [CrossRef]
- Venook, A.P.; Niedzwiecki, D.; Lenz, H.-J.; Innocenti, F.; Fruth, B.; Meyerhardt, J.A.; Schrag, D.; Greene, C.; O'Neil, B.H.; Atkins, J.N. Effect of first-line chemotherapy combined with cetuximab or bevacizumab on overall survival in patients with KRAS wild-type advanced or metastatic colorectal cancer: A randomized clinical trial. JAMA 2017, 317, 2392–2401. [Google Scholar] [CrossRef]
- Baraniskin, A.; Buchberger, B.; Pox, C.; Graeven, U.; Holch, J.W.; Schmiegel, W.; Heinemann, V. Efficacy of bevacizumab in first-line treatment of metastatic colorectal cancer: A systematic review and meta-analysis. Eur. J. Cancer 2019, 106, 37–44. [Google Scholar] [CrossRef] [PubMed]
- Hurwitz, H.; Fehrenbacher, L.; Novotny, W.; Cartwright, T.; Hainsworth, J.; Heim, W.; Berlin, J.; Baron, A.; Griffing, S.; Holmgren, E. Bevacizumab plus irinotecan, fluorouracil, and leucovorin for metastatic colorectal cancer. N. Engl. J. Med. 2004, 350, 2335–2342. [Google Scholar] [CrossRef] [PubMed]
- Tampellini, M.; Sonetto, C.; Scagliotti, G.V. Novel anti-angiogenic therapeutic strategies in colorectal cancer. Expert Opin. Investig. Drugs 2016, 25, 507–520. [Google Scholar] [CrossRef] [PubMed]
- Bennouna, J.; Phelip, J.-M.; André, T.; Asselain, B.; Koné, S.; Ducreux, M. Observational cohort study of patients with metastatic colorectal cancer initiating chemotherapy in combination with bevacizumab (CONCERT). Clin. Color. Cancer 2017, 16, 129–140.e124. [Google Scholar] [CrossRef] [PubMed]
- Bennouna, J.; Sastre, J.; Arnold, D.; Österlund, P.; Greil, R.; Van Cutsem, E.; von Moos, R.; Viéitez, J.M.; Bouché, O.; Borg, C. Continuation of bevacizumab after first progression in metastatic colorectal cancer (ML18147): A randomised phase 3 trial. Lancet Oncol. 2013, 14, 29–37. [Google Scholar] [CrossRef]
- Clark, J.; Sanoff, H. Systemic Therapy for Nonoperable Metastatic Colorectal Cancer: Selecting the Initial Therapeutic Approach. Available online: https://www.wolterskluwer.com/en/solutions/uptodate (accessed on 6 February 2023).
- Hurwitz, H.I.; Tebbutt, N.C.; Kabbinavar, F.; Giantonio, B.J.; Guan, Z.Z.; Mitchell, L.; Waterkamp, D.; Tabernero, J. Efficacy and safety of bevacizumab in metastatic colorectal cancer: Pooled analysis from seven randomized controlled trials. Oncologist 2013, 18, 1004–1012. [Google Scholar] [CrossRef]
- Scappaticci, F.A.; Skillings, J.R.; Holden, S.N.; Gerber, H.-P.; Miller, K.; Kabbinavar, F.; Bergsland, E.; Ngai, J.; Holmgren, E.; Wang, J. Arterial thromboembolic events in patients with metastatic carcinoma treated with chemotherapy and bevacizumab. J. Natl. Cancer Inst. 2007, 99, 1232–1239. [Google Scholar] [CrossRef]
- Kabbinavar, F.; Hurwitz, H.I.; Fehrenbacher, L.; Meropol, N.J.; Novotny, W.F.; Lieberman, G.; Griffing, S.; Bergsland, E. Phase II, randomized trial comparing bevacizumab plus fluorouracil (FU)/leucovorin (LV) with FU/LV alone in patients with metastatic colorectal cancer. J. Clin. Oncol. 2003, 21, 60–65. [Google Scholar] [CrossRef]
- Kozloff, M.; Yood, M.U.; Berlin, J.; Flynn, P.J.; Kabbinavar, F.F.; Purdie, D.M.; Ashby, M.A.; Dong, W.; Sugrue, M.M.; Grothey, A. Clinical outcomes associated with bevacizumab-containing treatment of metastatic colorectal cancer: The BRiTE observational cohort study. Oncologist 2009, 14, 862–870. [Google Scholar] [CrossRef]
- Saltz, L.B.; Clarke, S.; Díaz-Rubio, E.; Scheithauer, W.; Figer, A.; Wong, R.; Koski, S.; Lichinitser, M.; Yang, T.-S.; Rivera, F. Bevacizumab in combination with oxaliplatin-based chemotherapy as first-line therapy in metastatic colorectal cancer: A randomized phase III study. J. Clin. Oncol. 2008, 26, 2013–2019. [Google Scholar] [CrossRef]
- Guan, Z.-Z.; Xu, J.-M.; Luo, R.-C.; Feng, F.-Y.; Wang, L.-W.; Shen, L.; Yu, S.-Y.; Ba, Y.; Liang, J.; Wang, D. Efficacy and safety of bevacizumab plus chemotherapy in Chinese patients with metastatic colorectal cancer: A randomized phase III ARTIST trial. Chin. J. Cancer 2011, 30, 682–689. [Google Scholar] [CrossRef] [PubMed]
- Karim, S.; Xu, Y.; Kong, S.; Abdel-Rahman, O.; Quan, M.; Cheung, W. Generalisability of common oncology clinical trial eligibility criteria in the real world. Clin. Oncol. 2019, 31, e160–e166. [Google Scholar] [CrossRef]
- Huang, S.-C.; Lin, C.-C.; Teng, H.-W.; Lin, H.-H.; Chang, S.-C.; Lan, Y.-T.; Wang, H.-S.; Yang, S.-H.; Chen, W.-S.; Jiang, J.-K. A Long-Term and Large-Scale Real-World Study in Taiwan: Efficacy of Target Therapy in Stage IV Colorectal Cancer. Front. Oncol. 2022, 12, 808808. [Google Scholar] [CrossRef] [PubMed]
- Bendell, J.C.; Bekaii-Saab, T.S.; Cohn, A.L.; Hurwitz, H.I.; Kozloff, M.; Tezcan, H.; Roach, N.; Mun, Y.; Fish, S.; Flick, E.D. Treatment patterns and clinical outcomes in patients with metastatic colorectal cancer initially treated with FOLFOX–bevacizumab or FOLFIRI–bevacizumab: Results from ARIES, a bevacizumab observational cohort study. Oncologist 2012, 17, 1486–1495. [Google Scholar] [CrossRef] [PubMed]
- Van Cutsem, E.; Rivera, F.; Berry, S.; Kretzschmar, A.; Michael, M.; DiBartolomeo, M.; Mazier, M.-A.; Canon, J.-L.; Georgoulias, V.; Peeters, M. Safety and efficacy of first-line bevacizumab with FOLFOX, XELOX, FOLFIRI and fluoropyrimidines in metastatic colorectal cancer: The BEAT study. Ann. Oncol. 2009, 20, 1842–1847. [Google Scholar] [CrossRef] [PubMed]
- Arnold, D.; Eggers, E.; Uhlig, J.; Reichert, D.; Becker, L.; Thiebach, L. Treatment of Metastatic Colorectal Carcinoma with Bevacizumab in First-Line and beyond First Progression: The KORALLE Non-Interventional Cohort Study. Oncol. Res. Treat. 2022, 45, 576–587. [Google Scholar] [CrossRef] [PubMed]
- Grothey, A.; Sugrue, M.M.; Purdie, D.M.; Dong, W.; Sargent, D.; Hedrick, E.; Kozloff, M. Bevacizumab beyond first progression is associated with prolonged overall survival in metastatic colorectal cancer: Results from a large observational cohort study (BRiTE). J. Clin. Oncol. 2008, 26, 5326–5334. [Google Scholar] [CrossRef]
- Goldberg, R.M.; Sargent, D.J.; Morton, R.F.; Fuchs, C.S.; Ramanathan, R.K.; Williamson, S.K.; Findlay, B.P.; Pitot, H.C.; Alberts, S.R. A randomized controlled trial of fluorouracil plus leucovorin, irinotecan, and oxaliplatin combinations in patients with previously untreated metastatic colorectal cancer. J. Clin. Oncol. 2004, 22, 23–30. [Google Scholar] [CrossRef]
- Tang, W.; Ren, L.; Liu, T.; Ye, Q.; Wei, Y.; He, G.; Lin, Q.; Wang, X.; Wang, M.; Liang, F. Bevacizumab plus mFOLFOX6 versus mFOLFOX6 alone as first-line treatment for RAS mutant unresectable colorectal liver-limited metastases: The BECOME randomized controlled trial. J. Clin. Oncol. 2020, 38, 3175–3184. [Google Scholar] [CrossRef]
- Beattie, A.; Prach, A.; Baxter, J.; Pennington, C. A randomised controlled trial evaluating the use of enteral nutritional supplements postoperatively in malnourished surgical patients. Gut 2000, 46, 813–818. [Google Scholar] [CrossRef]
- Ferrand, F.; Malka, D.; Bourredjem, A.; Allonier, C.; Bouche, O.; Louafi, S.; Boige, V.; Mousseau, M.; Raoul, J.; Bedenne, L. Impact of primary tumour resection on survival of patients with colorectal cancer and synchronous metastases treated by chemotherapy: Results from the multicenter, randomised trial Federation Francophone de Cancerologie Digestive 9601. Eur. J. Cancer 2013, 49, 90–97. [Google Scholar] [CrossRef] [PubMed]
- Faron, M.; Pignon, J.-P.; Malka, D.; Bourredjem, A.; Douillard, J.-Y.; Adenis, A.; Elias, D.; Bouché, O.; Ducreux, M. Is primary tumour resection associated with survival improvement in patients with colorectal cancer and unresectable synchronous metastases? A pooled analysis of individual data from four randomised trials. Eur. J. Cancer 2015, 51, 166–176. [Google Scholar] [CrossRef] [PubMed]
- Cao, D.; Zheng, Y.; Xu, H.; Ge, W.; Xu, X. Bevacizumab improves survival in metastatic colorectal cancer patients with primary tumor resection: A meta-analysis. Sci. Rep. 2019, 9, 20326. [Google Scholar] [CrossRef] [PubMed]

| Whole Group (N = 554) | First Line (N = 392) | Second Line (N = 162) | p-Value | |
|---|---|---|---|---|
| Age, years mean, standard deviation median, interquartile range | 59.9 (10.6) 61 (54–67) | 59.7 (10.9) 61 (53–67.8) | 60.5 (9.8) 61 (54–67) | 0.680 1 |
| Gender Female Male | 215 (38.8%) 339 (61.2%) | 158 (40.3%) 234 (59.7%) | 57 (35.2%) 105 (64.8%) | 0.2920 2 |
| Primary tumor site Cecum | 41 (7.4%) | 27 (6.9%) | 14 (8.6%) | |
| Ascending colon | 43 (7.8%) | 31 (7.9%) | 12 (7.4%) | |
| Descending colon Sigmoid colon | 42 (7.6%) 134 (24.2%) | 30 (7.7%) 89 (22.7%) | 12 (7.4%) 45 (27.8%) | |
| Transverse colon | 26 (4.7%) | 20 (5.1%) | 6 (3.7%) | |
| Hepatic flexure Splenic flexure | 30 (5.4%) 26 (4.7%) | 24 (6.1%) 22 (5.6%) | 6 (3.7%) 4 (2.5%) | |
| Recto-sigmoid junction | 69 (12.5%) | 48 (12.2%) | 21 (13%) | |
| Rectum | 143 (25.8%) | 101 (25.8%) | 42 (25.9%) | |
| Primary tumor localization Left Right | 414 (74.7%) 140 (25.3%) | 290 (74%) 102 (26%) | 124 (76.5%) 38 (23.5%) | 0.5913 2 |
| Cancer grading G1 G2 G3 | 140 (25.3% 282 (50.9%) 47 (8.5%) | 88 (22.4%) 206 (52.6%) 33 (8.4%) | 52 (32.1%) 76 (46.9%) 14 (8.6%) | 0.0998 |
| Resection status of the primary tumor Yes No | 454 (81.9%) 96 (17.3%) | 312 (79.6%) 77 (19.6%) | 142 (87.7%) 19 (11.7%) | 0.0262 2,* |
| Metastases resection Yes No | 131 (23.6%) 419 (75.6%) | 89 (22.7%) 300 (76.5%) | 42 (25.9%) 119 (73.5%) | 0.4421 2 |
| RAS Non-mutant Mutant NA | 154 (27.8%) 166 (30%) 234 (42.2%) | 94 (24%) 133 (33.9%) 165 (42.1%) | 60 (37%) 33 (20.4%) 69 (42.6%) | 0.0009 3,* |
| Whole Group (N = 554) | First Line (N = 392) | Second Line (N = 162) | p-Value | |
|---|---|---|---|---|
| Chemotherapy regimen Capecitabine MCT | 16 (2.9%) | 7 (1.8%) | 9 (5.6%) | |
| Capecitabine + Irinotecan | 86 (15.5%) | 43 (11%) | 43 (26.5%) | |
| Capecitabine + Oxaliplatin | 175(31.6%) | 158 (40.3%) | 17 (10.5%) | |
| LV + 5-FU + Irinotecan | 116 (20.9%) | 57 (14.5%) | 59 (36.4%) | |
| LV + 5-FU + Oxaliplatin | 134 (24.2%) | 116 (29.6%) | 18 (11.1%) | |
| LV + 5-FU + Irinotecan + Oxaliplatin LV + 5-FU | 4 (0.7%) 23 (4.2%) | 4 (1%) 7 (1.8%) | 0 (0%) 16 (9.9%) | |
| Chemotherapy regimen Irinotecan-based Oxaliplatin-based Mono fluoropyrimidine-based | 202 (36.5%) 309 (55.8%) 39 (7%) | 100 (25.5%) 274 (69.9%) 14 (3.6%) | 102 (62.9%) 35 (21.6%) 25 (15.4%) | <0.0001 1,* |
| Bevacizumab/Oxaliplatin-Based Chemotherapy | Bevacizumab/Irinotecan-Based Chemotherapy | p-Value | |
|---|---|---|---|
| First-Line Therapy | |||
| Patients (N) | 274 | 100 | |
| Patients evaluable for response (N) | 172 | 62 | |
| PR (N) | 50 | 17 | |
| CR (N) | 7 | 4 | |
| SD (N) | 117 | 41 | |
| PD (N) | 100 | 38 | |
| RR (PR + CR) (%) | 20.8% | 21% | 0.421 |
| DCR (PR + SD + CR) (%) | 63.5% | 62% | 0.979 |
| Second-Line Therapy | |||
| Patients (N) | 35 | 102 | |
| Patients evaluable for response (N) | 15 | 56 | |
| PR (N) | 2 | 12 | |
| SD (N) | 12 | 43 | |
| CR (N) | 1 | 1 | |
| PD (N) | 20 | 47 | |
| RR (PR + CR) (%) | 8.6% | 12.6% | 0.023 |
| DCR (CR + PR + SD) (%) | 42.9% | 54.4% | 0.530 |
| (a) | |||||
|---|---|---|---|---|---|
| Factors | Univariate Analysis | Multivariate Analysis | |||
| Hazard Ratio | p-Value | Hazard Ratio | p-Value | ||
| Age | 1.01 (0.986–1.016) | 0.883 | |||
| Cancer grading | G1 vs. G3 G2 vs. G3 | 0.91 (0.45–1.81) 0.92 (0.48–1.77) | 0.782 0.802 | ||
| Resection status of the primary tumor | yes vs. no | 0.84 (0.54–1.28) | 0.407 | ||
| Location of metastases | liver vs. other | 1.089 (0.73–1.62) | 0.673 | ||
| Location of the tumor | right vs. left | 1.13 (0.8–1.58) | 0.499 | ||
| Chemotherapy regimen | Irinotecan vs. oxali-based Fluoropy vs. oxali-based | 0.92 (0.63–1.35) 1.11 (0.57–2.16) | 0.666 0.759 | ||
| RAS status | 0.88 (0.75–1.04) | 0.126 | |||
| (b) | |||||
| Factors | Univariate Analysis | Multivariate Analysis | |||
| Hazard Ratio | p-Value | Hazard Ratio | p-Value | ||
| Age | 0.77 (0.51–1.18) | 0.437 | 1.02 (1–1.03) | 0.46 | |
| Cancer grading | G1 vs. G3 G2 vs. G3 | 0.91 (0.46–1.81) 1.09 (0.57–2.09) | 0.782 0.799 | ||
| Resection status of the primary tumor | yes vs. no | 1.02 (1.003–1.03) | 0.016 | ||
| Location of metastases | liver vs. other | 1.14 (0.77–1.69) | 0.524 | ||
| Location of the tumor | right vs. left | 1.54 (1.09–2.16) | 0.014 | 1.42 (1.0–2.02) | 0.047 |
| Chemotherapy regimen | Irinotecan vs. oxali-based Fluoropy vs. oxali-based | 0.87 (0.59–1.28) 1.34 (0.69–2.61) | 0.474 0.391 | ||
| RAS status | 0.88 (0.75–1.03) | 0.114 | |||
| Adverse Event | Whole Group (N = 537) * | Bevacizumab in First Line (N = 382) * | Bevacizumab in Second Line (N = 155) * | |||
|---|---|---|---|---|---|---|
| Grade 1–2 | Grade 3–4 | Grade 1–2 | Grade 3–4 | Grade 1–2 | Grade 3–4 | |
| Hypertension | 75 (14%) | 11 (2%) | 48 (13%) | 7 (1.8%) | 27 (17%) | 4 (2.6%) |
| Proteinuria | 64 (12%) | 2 (0.4%) | 40 (10%) | 1 (0.2%) | 24 (15%) | 1 (0.6%) |
| Bleeding | 134 (25%) | 5 (0.9%) | 80 (21%) | 3 (0.8%) | 54 (34%) | 2 (1.3) |
| Venous thromboembolic events | 27 (5%) | 11 (2%) | 18 (4.7%) | 6 (1.6%) | 9 (5.8%) | 5 (3.2%) |
| Arterial thromboembolic events | 11 (2%) | 5 (0.9%) | 6 (1.6%) | 3 (0.8%) | 5 (3.2%) | 2 (1.3%) |
| Gastrointestinal perforation | 3 (0.5%) | 6 (1%) | 3 (0.8%) | 4 (1%) | 0 | 2 (1.3%) |
| Wound healing complications | 11 (2%) | 2 (0.3%) | 11 (2.8%) | 2 (0.5%) | 0 | 0 |
| Fistula | 8 (1.5%) | 7 (1.3%) | 5 (1.3%) | 6 (1.5%) | 3 (2%) | 1 (0.6%) |
Disclaimer/Publisher’s Note: The statements, opinions and data contained in all publications are solely those of the individual author(s) and contributor(s) and not of MDPI and/or the editor(s). MDPI and/or the editor(s) disclaim responsibility for any injury to people or property resulting from any ideas, methods, instructions or products referred to in the content. |
© 2023 by the authors. Licensee MDPI, Basel, Switzerland. This article is an open access article distributed under the terms and conditions of the Creative Commons Attribution (CC BY) license (https://creativecommons.org/licenses/by/4.0/).
Share and Cite
Dinu, I.M.; Mihăilă, M.; Diculescu, M.M.; Croitoru, V.M.; Turcu-Stiolica, A.; Bogdan, D.; Miron, M.I.; Lungulescu, C.V.; Alexandrescu, S.T.; Dumitrașcu, T.; et al. Bevacizumab Treatment for Metastatic Colorectal Cancer in Real-World Clinical Practice. Medicina 2023, 59, 350. https://doi.org/10.3390/medicina59020350
Dinu IM, Mihăilă M, Diculescu MM, Croitoru VM, Turcu-Stiolica A, Bogdan D, Miron MI, Lungulescu CV, Alexandrescu ST, Dumitrașcu T, et al. Bevacizumab Treatment for Metastatic Colorectal Cancer in Real-World Clinical Practice. Medicina. 2023; 59(2):350. https://doi.org/10.3390/medicina59020350
Chicago/Turabian StyleDinu, Ioana Mihaela, Mariana Mihăilă, Mircea Mihai Diculescu, Vlad Mihai Croitoru, Adina Turcu-Stiolica, Diana Bogdan, Monica Ionela Miron, Cristian Virgil Lungulescu, Sorin Tiberiu Alexandrescu, Traian Dumitrașcu, and et al. 2023. "Bevacizumab Treatment for Metastatic Colorectal Cancer in Real-World Clinical Practice" Medicina 59, no. 2: 350. https://doi.org/10.3390/medicina59020350
APA StyleDinu, I. M., Mihăilă, M., Diculescu, M. M., Croitoru, V. M., Turcu-Stiolica, A., Bogdan, D., Miron, M. I., Lungulescu, C. V., Alexandrescu, S. T., Dumitrașcu, T., Buică, F., Luca, I. N., Lungulescu, C., Negulescu, M. C., Gramaticu, I. M., Cazacu, I. M., & Croitoru, A. E. (2023). Bevacizumab Treatment for Metastatic Colorectal Cancer in Real-World Clinical Practice. Medicina, 59(2), 350. https://doi.org/10.3390/medicina59020350

