A Nonrandomized Phase 2 Trial of EG-Mirotin, a Novel, First-in-Class, Subcutaneously Deliverable Peptide Drug for Nonproliferative Diabetic Retinopathy
Abstract
1. Introduction
2. Materials and Methods
2.1. Study Drug
2.2. Trial Design
2.3. Study Population
2.4. Drug Administration
2.5. Evaluation of the Ischemic Index and Leakage Index
2.6. Evaluation Criteria
2.7. Statistical Analysis
3. Results
3.1. Study Population
3.2. Safety Evaluation
3.3. Drug Efficacy
3.3.1. Primary Efficacy Outcomes
3.3.2. Secondary Efficacy Outcomes
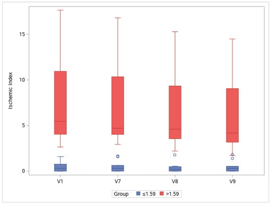
3.4. Ischemic Index
3.5. Retinal Leakage Index
4. Discussion
5. Conclusions
Author Contributions
Funding
Institutional Review Board Statement
Informed Consent Statement
Data Availability Statement
Conflicts of Interest
Clinical Trial Registration
References
- Saeedi, P.; Petersohn, I.; Salpea, P.; Malanda, B.; Karuranga, S.; Unwin, N.; Colagiuri, S.; Guariguata, L.; Motala, A.A.; Ogurtsova, K.; et al. Global and regional diabetes prevalence estimates for 2019 and projections for 2030 and 2045: Results from the International Diabetes Federation Diabetes Atlas, 9(th) edition. Diabetes Res. Clin. Pract. 2019, 157, 107843. [Google Scholar] [CrossRef] [PubMed]
- Fong, D.; Aiello, L.; Gardner, T.; King, G.; Blankenship, G.; Cavallerano, J.; Ferris, F.L., 3rd; Klein, R.; American Diabetes Association. Retinopathy in diabetes. Diabetes Care 2004, 27 (Suppl. S1), S84–S87. [Google Scholar] [CrossRef] [PubMed]
- Chistiakov, D.A. Diabetic retinopathy: Pathogenic mechanisms and current treatments. Diabetes Metab. Syndr. 2011, 5, 165–172. [Google Scholar] [CrossRef]
- Wilkinson, C.; Ferris, F.; Klein, R.; Lee, P.; Agardh, C.D.; Davis, M.; Dills, D.; Kampik, A.; Pararajasegaram, R.; Verdaguer, J.T. Proposed international clinical diabetic retinopathy and diabetic macular edema disease severity scales. Ophthalmology 2003, 110, 1677–1682. [Google Scholar] [CrossRef]
- Suganya, N.; Bhakkiyalakshmi, E.; Sarada, D.V.L.; Ramkumar, K.M. Reversibility of endothelial dysfunction in diabetes: Role of polyphenols. Br. J. Nutr. 2016, 116, 223–246. [Google Scholar] [CrossRef] [PubMed]
- Bergers, G.; Song, S. The role of pericytes in blood-vessel formation and maintenance. Neuro-Oncol. 2005, 7, 452–464. [Google Scholar] [CrossRef] [PubMed]
- Zhao, H.; Chappell, J.C. Microvascular bioengineering: A focus on pericytes. J. Biol. Eng. 2019, 13, 26. [Google Scholar] [CrossRef]
- Bayazid, A.B.; Kim, J.G.; Azam, S.; Jeong, S.A.; Kim, D.H.; Park, C.W.; Lim, B.O. Sodium butyrate ameliorates neurotoxicity and exerts anti-inflammatory effects in high fat diet-fed mice. Food Chem. Toxicol. 2022, 159, 112743. [Google Scholar] [CrossRef]
- Jang, J.-W.; Cho, Y.J.; Kim, H.J.; Kim, J.M.; Lee, S.J.; Kwon, O.W.; Kim, D.-S. Blood Vessel Maturation by Disintegrin in Oxygen-Induced Retinopathy. Curr. Eye Res. 2016, 41, 689–699. [Google Scholar] [CrossRef]
- KUWABARA, T.; COGAN, D.G. Retinal Vascular Patterns: VI. Mural Cells of the Retinal Capillaries. Arch. Ophthalmol. 1963, 69, 492–502. [Google Scholar] [CrossRef]
- Heimann, H.; Damato, B. Congenital vascular malformations of the retina and choroid. Eye 2010, 24, 459–467. [Google Scholar] [CrossRef]
- Klein, R.; Klein, B.E.K.; Moss, S.E.; DeMets, D.L.; Kaufman, I.; Voss, P.S. Prevalence of diabetes mellitus in southern Wisconsin. Am. J. Epidemiol. 1984, 119, 54–61. [Google Scholar] [CrossRef] [PubMed]
- Lee, R.; Wong, T.Y.; Sabanayagam, C. Epidemiology of diabetic retinopathy, diabetic macular edema and related vision loss. Eye Vis. 2015, 2, 17. [Google Scholar] [CrossRef] [PubMed]
- Das, A.; Stroud, S.; Mehta, A.; Rangasamy, S. New treatments for diabetic retinopathy. Diabetes Obes. Metab. 2015, 17, 219–230. [Google Scholar] [CrossRef] [PubMed]
- Bayazid, A.B.; Lim, B.O. Quercetin Is An Active Agent in Berries against Neurodegenerative Diseases Progression through Modulation of Nrf2/HO1. Nutrients 2022, 14, 5132. [Google Scholar] [CrossRef]
- Simó, R.; Hernández, C. Intravitreous anti-VEGF for diabetic retinopathy: Hopes and fears for a new therapeutic strategy. Diabetologia 2008, 51, 1574–1580. [Google Scholar] [CrossRef]
- Romero-Aroca, P. Managing diabetic macular edema: The leading cause of diabetes blindness. World J. Diabetes 2011, 2, 98–104. [Google Scholar] [CrossRef]
- Díaz-Flores, L.; Gutiérrez, R.; Varela, H.; Rancel, N.; Valladares, F. Microvascular pericytes: A review of their morphological and functional characteristics. Histol. Histopathol. 1991, 6, 269–286. [Google Scholar]
- Fu, X.; Gens, J.S.; Glazier, J.A.; Burns, S.A.; Gast, T.J. Progression of Diabetic Capillary Occlusion: A Model. PLoS Comput. Biol. 2016, 12, e1004932. [Google Scholar] [CrossRef]
- Afaya, R.A.; Bam, V.; Azongo, T.B.; Afaya, A. Knowledge of chronic complications of diabetes among persons living with type 2 diabetes mellitus in northern Ghana. PLoS ONE 2020, 15, e0241424. [Google Scholar] [CrossRef]
- Lin, K.Y.; Hsih, W.H.; Lin, Y.B.; Wen, C.Y.; Chang, T.J. Update in the epidemiology, risk factors, screening, and treatment of diabetic retinopathy. J. Diabetes Investig. 2021, 12, 1322–1325. [Google Scholar] [CrossRef] [PubMed]
- Gardner, T.W.; Sundstrom, J.M. A proposal for early and personalized treatment of diabetic retinopathy based on clinical pathophysiology and molecular phenotyping. Vision Res. 2017, 139, 153–160. [Google Scholar] [CrossRef]
- Wang, J.-H.; Roberts, G.E.; Liu, G.-S. Updates on Gene Therapy for Diabetic Retinopathy. Curr. Diabetes Rep. 2020, 20, 22. [Google Scholar] [CrossRef] [PubMed]
- Fong, D.; Aiello, L.; Gardner, T.; King, G.; Blankenship, G.; Cavallerano, J.; Ferris, F.L., 3rd; Klein, R.; American Diabetes Association. Diabetic Retinopathy. Diabetes Care 2003, 26, 226–229. [Google Scholar] [CrossRef] [PubMed]
- Whitehead, M.; Wickremasinghe, S.; Osborne, A.; Van Wijngaarden, P.; Martin, K.R. Diabetic retinopathy: A complex pathophysiology requiring novel therapeutic strategies. Expert Opin. Biol. Ther. 2018, 18, 1257–1270. [Google Scholar] [CrossRef]
- Fong, D.S.; Girach, A.; Boney, A. Visual side effects of successful scatter laser photocoagulation surgery for proliferative diabetic retinopathy: A literature review. Retina 2007, 27, 816–824. [Google Scholar] [CrossRef] [PubMed]
- Zhao, Y.; Singh, R. The role of anti-vascular endothelial growth factor (anti-VEGF) in the management of proliferative diabetic retinopathy. Drugs Context 2018, 7, 212532. [Google Scholar] [CrossRef]
- Falavarjani, K.G.; Nguyen, Q.D. Adverse events and complications associated with intravitreal injection of anti-VEGF agents: A review of literature. Eye 2013, 27, 787–794. [Google Scholar] [CrossRef]
- Rask-Madsen, C.; King, G.L. Vascular complications of diabetes: Mechanisms of injury and protective factors. Cell Metab. 2013, 17, 20–33. [Google Scholar] [CrossRef]
- Ra, H.; Park, J.H.; Baek, J.U.; Baek, J. Relationships among Retinal Nonperfusion, Neovascularization, and Vascular Endothelial Growth Factor Levels in Quiescent Proliferative Diabetic Retinopathy. J. Clin. Med. 2020, 9, 1462. [Google Scholar] [CrossRef]
- Han, J.; Mandal, A.K.; Hiebert, L.M. Endothelial cell injury by high glucose and heparanase is prevented by insulin, heparin and basic fibroblast growth factor. Cardiovasc. Diabetol. 2005, 4, 12. [Google Scholar] [CrossRef] [PubMed]
- Koch, L.; Deiwick, A.; Chichkov, B. Capillary-like Formations of Endothelial Cells in Defined Patterns Generated by Laser Bioprinting. Micromachines 2021, 12, 1538. [Google Scholar] [CrossRef] [PubMed]
- Alghadyan, A.A. Diabetic retinopathy—An update. Saudi J. Ophthalmol. 2011, 25, 99–111. [Google Scholar] [CrossRef] [PubMed]
- Keane, P.A.; Sadda, S.R. Development of Anti-VEGF Therapies for Intraocular Use: A Guide for Clinicians. J. Ophthalmol. 2012, 2012, 483034. [Google Scholar] [CrossRef]
- Ferrara, N. VEGF and Intraocular Neovascularization: From Discovery to Therapy. Transl. Vis. Sci. Technol. 2016, 5, 10. [Google Scholar] [CrossRef] [PubMed]
- Keating, G.M. Aflibercept: A Review of Its Use in Diabetic Macular Oedema. Drugs 2015, 75, 1153–1160. [Google Scholar] [CrossRef]
- Hammes, H.-P.; Feng, Y.; Pfister, F.; Brownlee, M. Diabetic retinopathy: Targeting vasoregression. Diabetes 2011, 60, 9–16. [Google Scholar] [CrossRef]
- Rodríguez, M.L.; Pérez, S.; Mena-Mollá, S.; Desco, M.C.; Ortega, Á.L. Oxidative Stress and Microvascular Alterations in Diabetic Retinopathy: Future Therapies. Oxidative Med. Cell. Longev. 2019, 2019, 4940825. [Google Scholar] [CrossRef] [PubMed]
- Romero-Aroca, P.; Fernández-Ballart, J.; Almena-Garcia, M.; Méndez-Marín, I.; Salvat-Serra, M.; Buil-Calvo, J.A. Nonproliferative diabetic retinopathy and macular edema progression after phacoemulsification: Prospective study. J. Cataract. Refract. Surg. 2006, 32, 1438–1444. [Google Scholar] [CrossRef]
- Coller, B.S.; Anderson, K.; Weisman, H.F. New antiplatelet agents: Platelet GPIIb/IIIa antagonists. Thromb. Haemost. 1995, 74, 302–308. [Google Scholar]
- Jang, J.W.; Lim, H.; Kim, K.S.; Ko, K.C.; Kwon, O.W.; Kim, D.S. Preclinical Evaluation of EG-Mirotin and Comparison With Anti-VEGF Agents for Ischemic Retinal Diseases. Investig. Ophthalmol. Vis. Sci. 2008, 49, 884. [Google Scholar]








| Patients/Eyes | 10/20 |
| Age | 61.50 ± 0.17 |
| Gender (Male/Female) | 8/2 |
| Total Ischemic Retina | 793.00 ± 20.03 |
| Nonperfused Retina | 29.78 ± 36.33 |
| Ischemic Index | 2.12 ± 4.78 |
| Total Leakage Retina | 796 ± 21.62 |
| Capillary Leakage | 108.65 ± 90.26 |
| Leakage Index | 13.59 ± 11.21 |
Disclaimer/Publisher’s Note: The statements, opinions and data contained in all publications are solely those of the individual author(s) and contributor(s) and not of MDPI and/or the editor(s). MDPI and/or the editor(s) disclaim responsibility for any injury to people or property resulting from any ideas, methods, instructions or products referred to in the content. |
© 2023 by the authors. Licensee MDPI, Basel, Switzerland. This article is an open access article distributed under the terms and conditions of the Creative Commons Attribution (CC BY) license (https://creativecommons.org/licenses/by/4.0/).
Share and Cite
Yoo, S.; You, D.H.; Lee, J.; Hong, H.C.; Lee, S.J. A Nonrandomized Phase 2 Trial of EG-Mirotin, a Novel, First-in-Class, Subcutaneously Deliverable Peptide Drug for Nonproliferative Diabetic Retinopathy. Medicina 2023, 59, 178. https://doi.org/10.3390/medicina59010178
Yoo S, You DH, Lee J, Hong HC, Lee SJ. A Nonrandomized Phase 2 Trial of EG-Mirotin, a Novel, First-in-Class, Subcutaneously Deliverable Peptide Drug for Nonproliferative Diabetic Retinopathy. Medicina. 2023; 59(1):178. https://doi.org/10.3390/medicina59010178
Chicago/Turabian StyleYoo, Seunghoon, Dae Hyuk You, Jeongyoon Lee, H. Christian Hong, and Sung Jin Lee. 2023. "A Nonrandomized Phase 2 Trial of EG-Mirotin, a Novel, First-in-Class, Subcutaneously Deliverable Peptide Drug for Nonproliferative Diabetic Retinopathy" Medicina 59, no. 1: 178. https://doi.org/10.3390/medicina59010178
APA StyleYoo, S., You, D. H., Lee, J., Hong, H. C., & Lee, S. J. (2023). A Nonrandomized Phase 2 Trial of EG-Mirotin, a Novel, First-in-Class, Subcutaneously Deliverable Peptide Drug for Nonproliferative Diabetic Retinopathy. Medicina, 59(1), 178. https://doi.org/10.3390/medicina59010178

