The Association between Iron-Deficiency Anemia (IDA) and Septic Arthritis (SA): The Real-World Data
Abstract
:1. Introduction
2. Materials and Methods
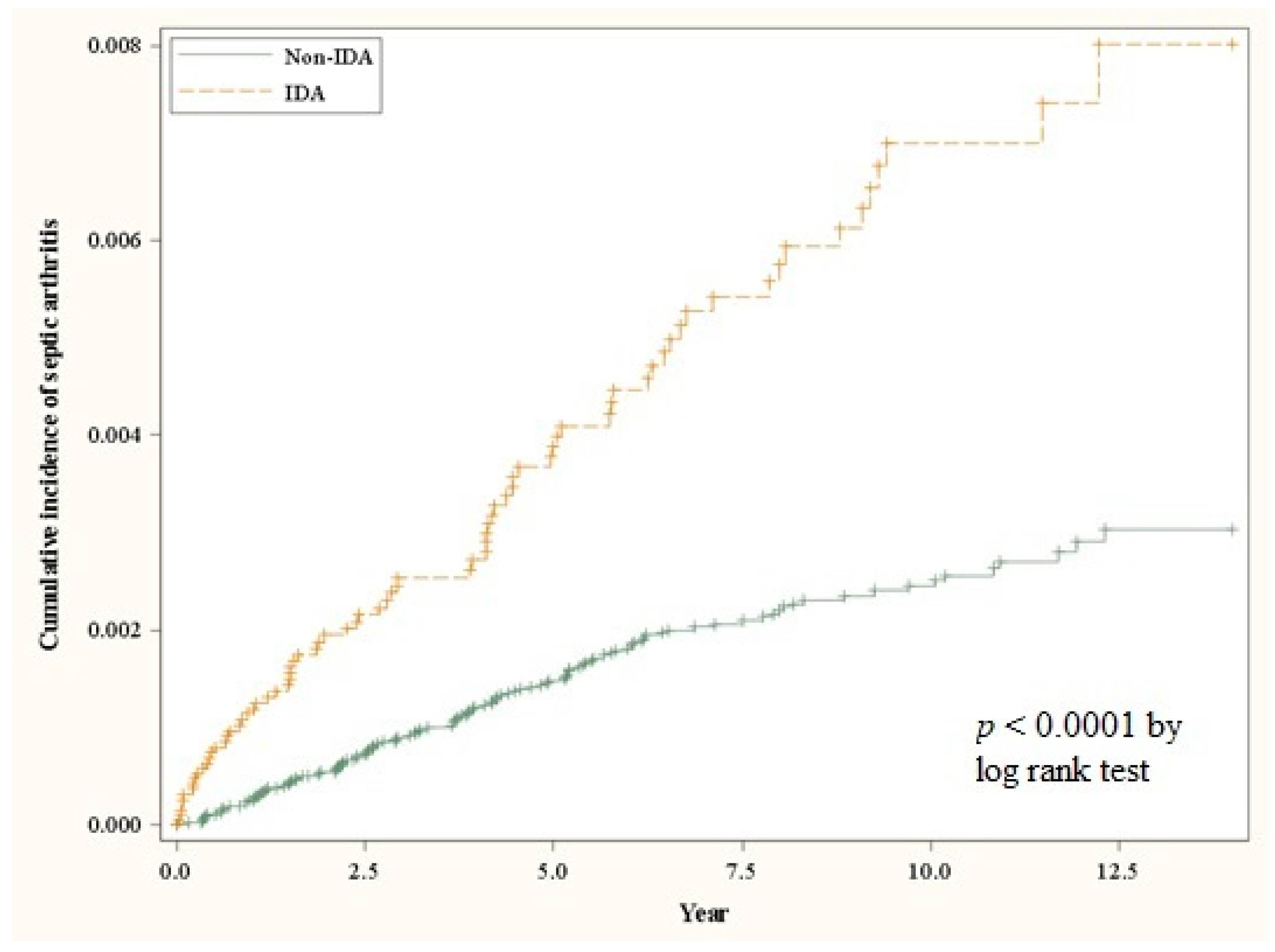
3. Results
4. Discussion
5. Conclusions
Author Contributions
Funding
Institutional Review Board Statement
Informed Consent Statement
Data Availability Statement
Conflicts of Interest
References
- Camaschella, C. Iron-deficiency anemia. N. Engl. J. Med. 2015, 372, 1832–1843. [Google Scholar] [CrossRef] [PubMed] [Green Version]
- Tansarli, G.S.; Karageorgopoulos, D.E.; Kapaskelis, A.; Gkegkes, I.; Falagas, M.E. Iron deficiency and susceptibility to infections: Evaluation of the clinical evidence. Eur. J. Clin. Microbiol. Infect. Dis. 2013, 32, 1253–1258. [Google Scholar] [CrossRef] [PubMed]
- Jonker, F.A.M.; Te Poel, E.; Bates, I.; Boele van Hensbroek, M. Anaemia, iron deficiency and susceptibility to infection in children in sub-Saharan Africa, guideline dilemmas. Br. J. Haematol. 2017, 177, 878–883. [Google Scholar] [CrossRef] [PubMed] [Green Version]
- Toxqui, L.; Vaquero, M.P. Chronic iron deficiency as an emerging risk factor for osteoporosis: A hypothesis. Nutrients 2015, 7, 2324–2344. [Google Scholar] [CrossRef] [PubMed] [Green Version]
- Jin, T.; Mohammad, M.; Pullerits, R.; Ali, A. Bacteria and Host Interplay in Staphylococcus aureus Septic Arthritis and Sepsis. Pathogens 2021, 10, 158. [Google Scholar] [CrossRef] [PubMed]
- Tarkowski, A. Infection and musculoskeletal conditions: Infectious arthritis. Best Pr. Res. Clin. Rheumatol. 2006, 20, 1029–1044. [Google Scholar] [CrossRef] [PubMed]
- Lai, S.W.; Liao, K.F.; Lin, C.L.; Lin, C.H. Association between Parkinson’s disease and proton pump inhibitors therapy in older people. Biomedicine 2020, 10, 1–4. [Google Scholar] [CrossRef] [PubMed]
- Lai, S.W.; Liao, K.F.; Lin, C.L.; Lin, C.C.; Lin, C.H. Longitudinal data of multimorbidity and polypharmacy in older adults in Taiwan from 2000 to 2013. Biomedicine 2020, 10, 1–4. [Google Scholar] [CrossRef] [PubMed]
- Lai, S.W.; Lin, C.L.; Liao, K.F. Hyperuricemia might be an early manifestation of undiagnosed adult leukemia in a population-based cohort study. Biomedicine 2020, 10, 40–44. [Google Scholar] [CrossRef] [PubMed] [Green Version]
- Chu, K.A.; Hsu, C.H.; Lin, M.C.; Chu, Y.H.; Hung, Y.M.; Wei, J.C. Association of iron deficiency anemia with tuberculosis in Taiwan: A nationwide population-based study. PLoS ONE 2019, 14, e0221908. [Google Scholar] [CrossRef] [PubMed]
- Nairz, M.; Weiss, G. Iron in infection and immunity. Mol. Aspects Med. 2020, 75, 100864. [Google Scholar] [CrossRef] [PubMed]
- Cronin, S.J.F.; Woolf, C.J.; Weiss, G.; Penninger, J.M. The Role of Iron Regulation in Immunometabolism and Immune-Related Disease. Front. Mol. Biosci. 2019, 6, 116. [Google Scholar] [CrossRef] [PubMed] [Green Version]
- Nairz, M.; Theurl, I.; Swirski, F.K.; Weiss, G. “Pumping iron”-how macrophages handle iron at the systemic, microenvironmental, and cellular levels. Pflug. Arch. 2017, 469, 397–418. [Google Scholar] [CrossRef] [PubMed] [Green Version]
- Cronin, S.J.F.; Seehus, C.; Weidinger, A.; Talbot, S.; Reissig, S.; Seifert, M.; Pierson, Y.; McNeill, E.; Longhi, M.S.; Turnes, B.L.; et al. The metabolite BH4 controls T cell proliferation in autoimmunity and cancer. Nature 2018, 563, 564–568. [Google Scholar] [CrossRef] [PubMed]
- Batista, A.; Millan, J.; Mittelbrunn, M.; Sanchez-Madrid, F.; Alonso, M.A. Recruitment of transferrin receptor to immunological synapse in response to TCR engagement. J. Immunol. 2004, 172, 6709–6714. [Google Scholar] [CrossRef] [PubMed] [Green Version]
- Vanoaica, L.; Richman, L.; Jaworski, M.; Darshan, D.; Luther, S.A.; Kuhn, L.C. Conditional deletion of ferritin h in mice reduces B and T lymphocyte populations. PLoS ONE 2014, 9, e89270. [Google Scholar] [CrossRef] [PubMed] [Green Version]
- Jiang, Y.; Li, C.; Wu, Q.; An, P.; Huang, L.; Wang, J.; Chen, C.; Chen, X.; Zhang, F.; Ma, L.; et al. Iron-dependent histone 3 lysine 9 demethylation controls B cell proliferation and humoral immune responses. Nat. Commun. 2019, 10, 2935. [Google Scholar] [CrossRef] [PubMed] [Green Version]
- Minton, K. Ironing out the causes of B-cell dysfunction. Nat. Rev. Immunol. 2008, 8, 662. [Google Scholar] [CrossRef]
- Kumar, V.; Choudhry, V.P. Iron deficiency and infection. Indian J. Pediatr. 2010, 77, 789–793. [Google Scholar] [CrossRef] [PubMed]

| Variable | Total | Non-IDA | IDA | p-Value |
|---|---|---|---|---|
| N = 97,390 | N = 77,912 | N = 19,478 | ||
| n | n (%)/Mean ± SD | n (%)/Mean ± SD | ||
| Age (year) * | 1.0000 | |||
| 20–39 | 22,015 | 17,612 (22.60) | 4403 (22.60) | |
| 40–64 | 42,145 | 33,716 (43.27) | 8429 (43.27) | |
| ≥65 | 33,230 | 26,584 (34.12) | 6646 (34.12) | |
| Mean ± SD a | 55.0 ± 18.6 | 55.1 ± 18.6 | 0.6955 | |
| Gender * | 0.9557 | |||
| Female | 67,336 | 53,872 (69.14) | 13,464 (69.12) | |
| Male | 30,054 | 24,040 (30.86) | 6014 (30.88) | |
| Comorbidities * | ||||
| Hypertension | 28,545 | 21,531 (27.64) | 7014 (36.01) | <0.0001 |
| Diabetes mellitus | 13,384 | 9461 (12.14) | 3923 (20.14) | <0.0001 |
| Hyperlipidemia | 14,054 | 10,779 (13.83) | 3275 (16.81) | <0.0001 |
| CKD | 2682 | 1363 (1.75) | 1319 (6.77) | <0.0001 |
| Cancer | 2284 | 1193 (1.53) | 1091 (5.60) | <0.0001 |
| COPD | 9706 | 7085 (9.09) | 2621 (13.46) | <0.0001 |
| ALD | 434 | 179 (0.23) | 255 (1.31) | <0.0001 |
| Chronic hepatitis | 7755 | 5517 (7.08) | 2238 (11.49) | <0.0001 |
| Hepatitis B | 1984 | 1400 (1.80) | 584 (3.00) | <0.0001 |
| Hepatitis C | 1183 | 745 (0.96) | 438 (2.25) | <0.0001 |
| HIV infection | 26 | 17 (0.02) | 9 (0.05) | 0.0624 |
| Pneumoconiosis | 617 | 389 (0.50) | 228 (1.17) | <0.0001 |
| Treatment in baseline * | ||||
| Splenectomy | 26 | 8 (0.01) | 18 (0.09) | <0.0001 |
| Gastrectomy | 116 | 53 (0.07) | 63 (0.32) | <0.0001 |
| Variable | Event | PYs | IR | Crude | Adjusted * | ||
|---|---|---|---|---|---|---|---|
| n = 211 | 10,000 PYs | HR (95% CI) | p-Value | HR (95% CI) | p-Value | ||
| IDA | |||||||
| No | 133 | 504,708 | 2.64 | 1 (Reference) | 1 (Reference) | ||
| Yes | 78 | 109,533 | 7.12 | 2.68 (2.03, 3.55) | <0.0001 | 2.53 (1.89, 3.38) | <0.0001 |
| Age (year) | |||||||
| 20–39 | 16 | 156,595 | 1.02 | 1 (Reference) | 1 (Reference) | ||
| 40–64 | 58 | 289,851 | 2.00 | 1.95 (1.12, 3.39) | 0.0180 | 1.59 (0.91, 2.79) | 0.1054 |
| ≥65 | 137 | 167,794 | 8.16 | 7.74 (4.61, 13.01) | <0.0001 | 4.53 (2.56, 8.04) | <0.0001 |
| Gender | |||||||
| Female | 116 | 445,865 | 2.60 | 1 (Reference) | 1 (Reference) | ||
| Male | 95 | 168,376 | 5.64 | 2.12 (1.62, 2.78) | <0.0001 | 1.38 (1.04, 1.83) | 0.0258 |
| Comorbidities | |||||||
| Hypertension | 120 | 149,781 | 8.01 | 3.97 (3.02, 5.22) | <0.0001 | 1.69 (1.22, 2.34) | 0.0016 |
| Diabetes mellitus | 58 | 68,024 | 8.53 | 2.95 (2.18, 4.00) | <0.0001 | 1.33 (0.95, 1.86) | 0.0923 |
| Hyperlipidemia | 47 | 78,269 | 6.00 | 1.92 (1.38, 2.65) | <0.0001 | 0.94 (0.66, 1.33) | 0.7255 |
| Chronic kidney disease | 21 | 10,757 | 19.52 | 5.94 (3.78, 9.33) | <0.0001 | 2.24 (1.40, 3.60) | 0.0008 |
| Cancer | 6 | 8846 | 6.78 | 1.93 (0.86, 4.34) | 0.1134 | 1.12 (0.49, 2.53) | 0.7909 |
| COPD | 43 | 52,632 | 8.17 | 2.69 (1.92, 3.76) | <0.0001 | 1.25 (0.88, 1.78) | 0.2054 |
| Alcoholic liver disease | 0 | 2238 | 0.00 | 0.00 (0.00, >100) | 0.9683 | 0.00 (0.00, >100) | 0.9737 |
| Chronic hepatitis | 29 | 50,483 | 5.74 | 1.79 (1.21, 2.65) | 0.0036 | 1.15 (0.76, 1.76) | 0.5107 |
| Hepatitis B | 8 | 10,600 | 7.55 | 2.18 (1.08, 4.43) | 0.0301 | 1.90 (0.91, 3.95) | 0.0855 |
| Hepatitis C | 7 | 5508 | 12.71 | 3.64 (1.71, 7.74) | 0.0008 | 1.83 (0.83, 4.04) | 0.1355 |
| HIV infection | 0 | 179 | 0.00 | 0.00 (0.00, >100) | 0.9710 | N/A | |
| Pneumoconiosis | 1 | 2473 | 4.04 | 1.16 (0.16, 8.25) | 0.8850 | 0.47 (0.07, 3.36) | 0.4502 |
| Treatment in baseline | |||||||
| Splenectomy | 0 | 64 | 0.00 | 0.00 (0.00, >100) | 0.9732 | N/A | |
| Gastrectomy | 0 | 524 | 0.00 | 0.00 (0.00, >100) | 0.9658 | NA | |
| Variable | Non-IDA | IDA | IDA vs. Non-IDA | |||||||
|---|---|---|---|---|---|---|---|---|---|---|
| Event | PYs | IR | Event | PYs | IR | Crude | Adjusted * | |||
| n = 133 | 10,000 PYs | n = 78 | 10,000 PYs | HR (95% CI) | p-Value | HR (95% CI) | p-Value | |||
| All | 133 | 504,708 | 2.64 | 78 | 109,533 | 7.12 | 2.68 (2.03, 3.55) | <0.0001 | 2.53 (1.89, 3.38) | <0.0001 |
| Age (years) | ||||||||||
| 20–39 | 10 | 125,754 | 0.80 | 6 | 30,841 | 1.95 | 2.45 (0.89, 6.74) | 0.0828 | 1.70 (0.57, 5.08) | 0.3386 |
| 40–64 | 34 | 236,559 | 1.44 | 24 | 53,292 | 4.50 | 3.14 (1.86, 5.29) | <0.0001 | 2.89 (1.69, 4.97) | 0.0001 |
| ≥65 | 89 | 142,394 | 6.25 | 48 | 25,400 | 18.90 | 2.98 (2.10, 4.24) | <0.0001 | 2.49 (1.73, 3.58) | <0.0001 |
| Gender | ||||||||||
| Female | 74 | 362,679 | 2.04 | 42 | 83,186 | 5.05 | 2.47 (1.69, 3.61) | <0.0001 | 2.20 (1.48, 3.26) | <0.0001 |
| Male | 59 | 142,029 | 4.15 | 36 | 26,347 | 13.66 | 3.21 (2.12, 4.86) | <0.0001 | 3.04 (1.97, 4.67) | <0.0001 |
| Comorbidities | ||||||||||
| Hypertension | 69 | 118,975 | 5.80 | 51 | 30,806 | 16.56 | 2.84 (1.98, 4.09) | <0.0001 | 2.75 (1.88, 4.01) | <0.0001 |
| DM | 33 | 51,041 | 6.47 | 25 | 16,983 | 14.72 | 2.27 (1.35, 3.82) | 0.0020 | 2.07 (1.21, 3.54) | 0.0081 |
| Hyperlipidemia | 26 | 61,864 | 4.20 | 21 | 16,404 | 12.80 | 3.06 (1.72, 5.44) | 0.0001 | 2.79 (1.53, 5.09) | 0.0008 |
| CKD | 10 | 5477 | 18.26 | 11 | 5280 | 20.83 | 1.18 (0.50, 2.78) | 0.7048 | 1.39 (0.58, 3.35) | 0.4641 |
| Cancer | 2 | 5413 | 3.69 | 4 | 3433 | 11.65 | 3.24 (0.59, 17.69) | 0.1751 | 2.67 (0.35, 20.14) | 0.3398 |
| COPD | 24 | 41,047 | 5.85 | 19 | 11,585 | 16.40 | 2.76 (1.51, 5.04) | 0.0010 | 2.76 (1.49, 5.13) | 0.0013 |
| ALD | 0 | 1166 | 0.00 | 0 | 1072 | 0.00 | N/A | NA | ||
| Chronic hepatitis | 12 | 37,694 | 3.18 | 17 | 12,789 | 13.29 | 4.11 (1.96, 8.61) | 0.0002 | 3.78 (1.76, 8.13) | 0.0007 |
| Hepatitis B | 4 | 7885 | 5.07 | 4 | 2715 | 14.74 | 2.98 (0.74, 11.91) | 0.1229 | 2.44 (0.58, 10.37) | 0.2261 |
| Hepatitis C | 3 | 3912 | 7.67 | 4 | 1596 | 25.06 | 3.21 (0.72, 14.40) | 0.1280 | 3.95 (0.84, 18.62) | 0.0829 |
| HIV infection | 0 | 130 | 0.00 | 0 | 49 | 0.00 | N/A | N/A | ||
| Pneumoconiosis | 1 | 1857 | 5.39 | 0 | 617 | 0.00 | N/A | N/A | ||
| Baseline treatment | ||||||||||
| Splenectomy | 0 | 29 | 0.00 | 0 | 35 | 0.00 | N/A | N/A | ||
| Gastrectomy | 0 | 278 | 0.00 | 0 | 247 | 0.00 | N/A | N/A | ||
| Variable | Non-IDA | IDA | IDA vs. Non-IDA | |||||||
|---|---|---|---|---|---|---|---|---|---|---|
| Event | PYs | IR | Event | PYs | IR | Crude | Adjusted * | |||
| 10,000 PYs | 10,000 PYs | HR (95% CI) | p-Value | HR (95% CI) | p-Value | |||||
| Age < 40 years | ||||||||||
| <2 | 1 | 2630 | 3.80 | 4 | 717 | 55.77 | 15.11 (1.69, >100) | 0.0152 | 11.61 (0.93, >100) | 0.0569 |
| 2–5 | 6 | 15,859 | 3.78 | 1 | 3920 | 2.55 | 0.68 (0.08, 5.68) | 0.7258 | 0.55 (0.06, 5.46) | 0.6084 |
| ≥5 | 3 | 107,265 | 0.28 | 1 | 26,203 | 0.38 | 1.37 (0.14, 13.14) | 0.7864 | 1.11 (0.11, 10.72) | 0.9311 |
| Age 40–64 years | ||||||||||
| <2 | 6 | 4806 | 12.48 | 6 | 1566 | 38.32 | 3.10 (1.00, 9.65) | 0.0504 | 2.43 (0.73, 8.02) | 0.1464 |
| 2–5 | 16 | 31,625 | 5.06 | 7 | 7907 | 8.85 | 1.79 (0.74, 4.35) | 0.1998 | 1.65 (0.66, 4.15) | 0.2843 |
| ≥5 | 12 | 200,128 | 0.60 | 11 | 43,819 | 2.51 | 4.23 (1.87, 9.59) | 0.0006 | 4.49 (1.94, 10.35) | 0.0004 |
| Age ≥ 65 years | ||||||||||
| <2 | 33 | 6472 | 50.99 | 24 | 2254 | 106.50 | 2.22 (1.31, 3.77) | 0.0030 | 2.19 (1.27, 3.77) | 0.0047 |
| 2–5 | 31 | 30,527 | 10.16 | 14 | 6876 | 20.36 | 2.10 (1.12, 3.95) | 0.0214 | 1.67 (0.87, 3.22) | 0.1244 |
| ≥5 | 25 | 105,396 | 2.37 | 10 | 16,270 | 6.15 | 2.71 (1.30, 5.65) | 0.0076 | 2.25 (1.05, 4.82) | 0.0360 |
| Variable | Event | Person-Year | IR | Crude | Adjusted * | ||
|---|---|---|---|---|---|---|---|
| n = 44,434 | 100 Person-Years | HR (95% CI) | p-Value | HR (95% CI) | p-Value | ||
| IDA | |||||||
| No | 35,589 | 367,934 | 9.67 | 1 (Reference) | 1 (Reference) | ||
| Yes | 8845 | 85,266 | 10.37 | 1.08 (1.06, 1.11) | <0.0001 | 1.07 (1.04, 1.09) | <0.0001 |
| Age (year) | |||||||
| 20–39 | 10,198 | 109,205 | 9.34 | 1 (Reference) | 1 (Reference) | ||
| 40–64 | 19,513 | 204,647 | 9.53 | 1.03 (1.01, 1.06) | 0.0078 | 1.02 (1.00, 1.05) | 0.0608 |
| ≥65 | 14,723 | 139,347 | 10.57 | 1.21 (1.18, 1.24) | <0.0001 | 1.16 (1.13, 1.20) | <0.0001 |
| Gender | |||||||
| Female | 31,134 | 321,502 | 9.68 | 1 (Reference) | 1 (Reference) | ||
| Male | 13,300 | 131,698 | 10.10 | 1.08 (1.06, 1.10) | <0.0001 | 1.02 (1.00, 1.05) | 0.0299 |
| Comorbidities | |||||||
| Hypertension | 12,286 | 120,354 | 10.21 | 1.11 (1.09, 1.14) | <0.0001 | 1.01 (0.99, 1.04) | 0.3027 |
| Diabetes mellitus | 5746 | 55,024 | 10.44 | 1.12 (1.09, 1.16) | <0.0001 | 1.06 (1.03, 1.10) | <0.0001 |
| Hyperlipidemia | 5739 | 59,955 | 9.57 | 1.01 (0.99, 1.04) | 0.3322 | 0.94 (0.91, 0.97) | <0.0001 |
| Chronic kidney disease | 1094 | 9873 | 11.08 | 1.19 (1.12, 1.26) | <0.0001 | 1.08 (1.02, 1.15) | 0.0138 |
| Cancer | 978 | 8476 | 11.54 | 1.23 (1.15, 1.31) | <0.0001 | 1.15 (1.08, 1.23) | <0.0001 |
| COPD | 4766 | 43,088 | 11.06 | 1.15 (1.12, 1.19) | <0.0001 | 1.06 (1.03, 1.10) | 0.0001 |
| Alcoholic liver disease | 181 | 1789 | 10.12 | 1.05 (0.91, 1.21) | 0.5173 | 1.01 (0.87, 1.17) | 0.8593 |
| Chronic hepatitis | 3838 | 37,286 | 10.29 | 1.05 (1.01, 1.08) | 0.0055 | 1.02 (0.99, 1.06) | 0.2234 |
| Hepatitis B | 793 | 8223 | 9.64 | 1.03 (0.96, 1.11) | 0.3799 | 1.03 (0.95, 1.10) | 0.4897 |
| Hepatitis C | 450 | 4597 | 9.79 | 1.05 (0.96, 1.15) | 0.2963 | 0.98 (0.89, 1.08) | 0.6408 |
| HIV infection | 10 | 122 | 8.18 | 0.84 (0.46, 1.56) | 0.5905 | 0.83 (0.45, 1.55) | 0.5683 |
| Pneumoconiosis | 301 | 2278 | 13.21 | 1.37 (1.23, 1.54) | <0.0001 | 1.21 (1.08, 1.36) | 0.0008 |
| Treatment in baseline | |||||||
| Splenectomy | 11 | 96 | 11.46 | 1.18 (0.65, 2.12) | 0.5885 | 0.95 (0.52, 1.74) | 0.8648 |
| Gastrectomy | 51 | 477 | 10.70 | 1.12 (0.85, 1.48) | 0.4103 | 0.94 (0.71, 1.25) | 0.6903 |
Publisher’s Note: MDPI stays neutral with regard to jurisdictional claims in published maps and institutional affiliations. |
© 2022 by the authors. Licensee MDPI, Basel, Switzerland. This article is an open access article distributed under the terms and conditions of the Creative Commons Attribution (CC BY) license (https://creativecommons.org/licenses/by/4.0/).
Share and Cite
Chiang, C.-H.; Li, C.-Y.; Hu, K.-C.; Fu, Y.-H.; Chiu, C.-C.; Hsia, C.-C.; Kuo, S.-J.; Hung, C.-H. The Association between Iron-Deficiency Anemia (IDA) and Septic Arthritis (SA): The Real-World Data. Medicina 2022, 58, 617. https://doi.org/10.3390/medicina58050617
Chiang C-H, Li C-Y, Hu K-C, Fu Y-H, Chiu C-C, Hsia C-C, Kuo S-J, Hung C-H. The Association between Iron-Deficiency Anemia (IDA) and Septic Arthritis (SA): The Real-World Data. Medicina. 2022; 58(5):617. https://doi.org/10.3390/medicina58050617
Chicago/Turabian StyleChiang, Cheng-Hung, Cheng-Yen Li, Kai-Chieh Hu, Yi-Hsiu Fu, Ching-Chih Chiu, Chia-Chun Hsia, Shu-Jui Kuo, and Chih-Hung Hung. 2022. "The Association between Iron-Deficiency Anemia (IDA) and Septic Arthritis (SA): The Real-World Data" Medicina 58, no. 5: 617. https://doi.org/10.3390/medicina58050617
APA StyleChiang, C.-H., Li, C.-Y., Hu, K.-C., Fu, Y.-H., Chiu, C.-C., Hsia, C.-C., Kuo, S.-J., & Hung, C.-H. (2022). The Association between Iron-Deficiency Anemia (IDA) and Septic Arthritis (SA): The Real-World Data. Medicina, 58(5), 617. https://doi.org/10.3390/medicina58050617

