Characteristics of Pedaling Muscle Stiffness among Cyclists of Different Performance Levels
Abstract
1. Introduction
2. Materials and Methods
2.1. Research Design
2.2. Participants
2.3. Data Collection
2.4. Statistical Analyses
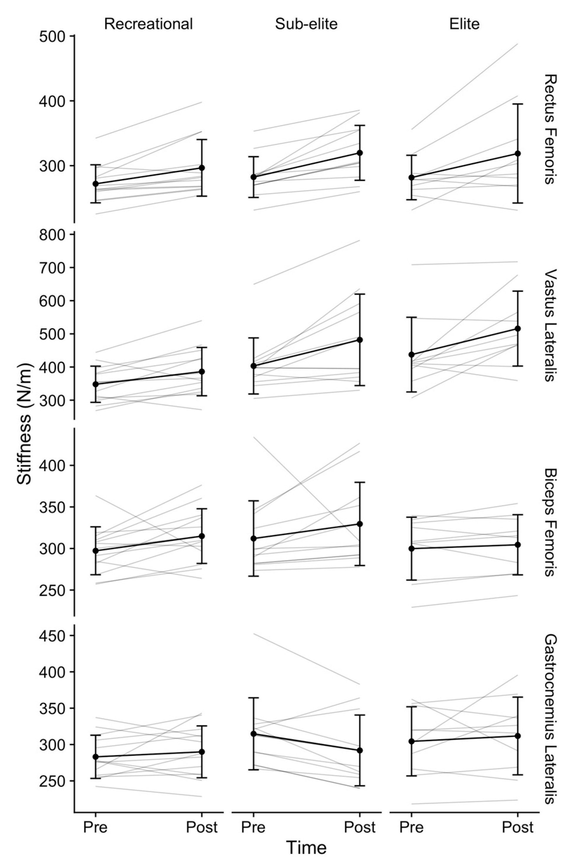
3. Results
4. Discussion
5. Conclusions
Author Contributions
Funding
Institutional Review Board Statement
Informed Consent Statement
Conflicts of Interest
References
- Castronovo, A.M.; Conforto, S.; Schmid, M.; Bibbo, D.; D’Alessio, T. How to assess performance in cycling: The multivariate nature of influencing factors and related indicators. Front. Physiol. 2013, 21, 116–125. [Google Scholar] [CrossRef]
- Lucia, A.; Hoyos, J.; Chicharro, J.L. Physiology of professional road cycling. Sport Med. 2001, 3, 325–337. [Google Scholar] [CrossRef]
- De Pauw, K.; Roelands, B.; Cheung, S.S.; de Geus, B.; Rietjens, G.; Meeusen, R. Guidelines to classify subject groups in sport-science research. Int. J. Sports Physiol. Perform. 2013, 8, 111–122. [Google Scholar] [CrossRef]
- Phillips, K.E.; Hopkins, W.G. Determinants of cycling performance: A review of the dimensions and features regulating performance in elite cycling competitions. Sport Med. 2020, 6, 23–29. [Google Scholar] [CrossRef]
- Lucía, A.; Joyos, H.; Chicharro, J.L. Physiological response to professional road cycling: Climbers vs. time trialists. Int. J. Sports Med. 2000, 21, 505–512. [Google Scholar] [CrossRef] [PubMed]
- Hopker, J.G.; Coleman, D.A.; Gregson, H.C.; Jobson, S.A.; Von der Haar, T.; Wiles, J.; Passfield, L. The influence of training status, age, and muscle fiber type on cycling efficiency and endurance performance. J. Appl. Physiol. 2013, 115, 723–729. [Google Scholar] [CrossRef] [PubMed]
- Gissis, I.; Papadopoulos, C.; Kalapotharakos, V.I.; Sotiropoulos, A.; Komsis, G.; Manolopoulos, E. Strength and speed characteristics of elite, subelite, and recreational young soccer players. Res. Sports Med. 2006, 14, 205–214. [Google Scholar] [CrossRef] [PubMed]
- Zinder, S.M.; Padua, D.A. Reliability, validity, and precision of a handheld myometer for assessing in vivo muscle stiffness. J. Sport Rehabil. 2011, 20. [Google Scholar] [CrossRef]
- Mroczek, D.; Maćkała, K.; Chmura, P.; Superlak, E.; Konefał, M.; Seweryniak, T.; Borzucka, D.; Rektor, Z.; Chmura, J. Effects of plyometrics training on muscle stiffness changes in male volleyball players. J. Strength Cond. Res. 2019, 33, 910–921. [Google Scholar] [CrossRef]
- Dankel, S.J.; Razzano, B.M. The impact of acute and chronic resistance exercise on muscle stiffness: A systematic review and meta-analysis. J. Ultrasound. 2020, 23, 473–480. [Google Scholar] [CrossRef]
- Bojsen-Møller, J.; Magnusson, S.P.; Rasmussen, L.R.; Kjaer, M.; Aagaard, P. Muscle performance during maximal isometric and dynamic contractions is influenced by the stiffness of the tendinous structures. J. Appl. Physiol. 2005, 99, 986–994. [Google Scholar] [CrossRef]
- Watsford, M.L.; Murphy, A.J.; McLachlan, K.A.; Bryant, A.L.; Cameron, M.T.; Crossley, K.M.; Makddisse, M. Prospective study of the relationship between lower body stiffness and hamstring injury in professional Australian rules footballers. Am. J. Sports Med. 2010, 38, 2058–2064. [Google Scholar] [CrossRef]
- García-Manso, J.M.; Rodríguez-Ruiz, D.; Rodríguez-Matoso, D.; de Yves, S.; Sarmiento, S.; Quiroga, M. Assessment of muscle fatigue after an ultra-endurance triathlon using tensiomyography (TMG). J. Sports Sci. 2011, 29, 619–625. [Google Scholar] [CrossRef] [PubMed]
- Andonian, P.; Viallon, M.; Le Goff, C.; de Bourguignon, C.; Tourel, C.; Morel, J.; Giardini, G.; Gergelé, L.; Millet, G.P.; Croisille, P. Shear-wave elastography assessments of quadriceps stiffness changes prior to, during and after prolonged exercise: A longitudinal study during an extreme mountain ultra-marathon. PLoS ONE 2016, 11, 1–21. [Google Scholar] [CrossRef]
- Watsford, M.; Ditroilo, M.; Fernández-Peña, E.; D’Amen, G.; Lucertini, F. Muscle stiffness and rate of torque development during sprint cycling. Med. Sci. Sports Exerc. 2010, 42, 1324–1332. [Google Scholar] [CrossRef] [PubMed]
- Uchiyama, T.; Saito, K.; Shinjo, K. Muscle stiffness estimation using a system identification technique applied to evoked mechanomyogram during cycling exercise. J. Electromyogr. Kinesiol. 2015, 25, 847–852. [Google Scholar] [CrossRef]
- Klich, S.; Ficek, K.; Krymski, I.; Klimek, A.; Kawcznski, A.; Madeleine, P.; Fernández-de-las-Peñas, C. Quadriceps and patellar tendon thickness and stiffness in elite track cyclists: An ultrasonographic and myotonometric evaluation. Front. Physiol. 2020, 11, 1–12. [Google Scholar] [CrossRef]
- Ditroilo, M.; Watsford, M.; Fernández-Peña, E.; D’Amen, G.; Lucertini, F.; de Vito, G. Effects of fatigue on muscle stiffness and intermittent sprinting during cycling. Med. Sci. Sports Exerc. 2011, 43, 837–845. [Google Scholar] [CrossRef] [PubMed]
- Hu, X.; Lei, D.; Li, L.; Leng, Y.; Yu, Q.; Wei, X.; Lo, W.L.A. Quantifying paraspinal muscle tone and stiffness in young adults with chronic low back pain: A reliability study. Sci. Rep. 2018, 8, 14343. [Google Scholar] [CrossRef]
- Huang, J.; Qin, K.; Tang, C.; Zhu, Y.; Klein, C.S.; Zhang, Z.; Li, C. Assessment of passive stiffness of medial and lateral heads of gastrocnemius muscle, Achilles tendon, and plantar fascia at different ankle and knee positions using the MyotonPRO. Med. Sci. Monit. 2018, 24, 7570–7576. [Google Scholar] [CrossRef] [PubMed]
- Bizzini, M.; Mannion, A.F. Reliability of a new, hand-held device for assessing skeletal muscle stiffness. Clin. Biomech. 2003, 18, 459–461. [Google Scholar] [CrossRef]
- Aird, L.; Samuel, D.; Stokes, M. Quadriceps muscle tone, elasticity and stiffness in older males: Reliability and symmetry using the MyotonPRO. Arch. Gerontol. Geriatr. 2012, 55, 31–39. [Google Scholar] [CrossRef] [PubMed]
- Agyapong-Badu, S.; Warner, M.; Samuel, D.; Stokes, M. Measurement of ageing effects on muscle tone and mechanical properties of rectus femoris and biceps brachii in healthy males and females using a novel hand-held myometric device. Arch. Gerontol. Geriatr. 2016, 62, 59–67. [Google Scholar] [CrossRef]
- Klich, S.; Krymski, I.; Kawczynski, A. Viscoelastic properties of lower extremity muscles after elite track cycling sprint events: A case report. Cent. Eur. J. Sport Sci. Med. 2020, 29, 5–10. [Google Scholar] [CrossRef]
- Hermens, H.J.; Freriks, B.; Disselhorst-Klung, C.; Rau, G. Development of recommendations for SEMG sensors and sensor placement procedures. J. Electromyogr. Kinesiol. 2000, 10, 361–374. [Google Scholar] [CrossRef]
- Faul, F.; Erdfelder, E.; Buchner, A.; Lang, A.G. Statistical power analyses using G*Power 3.1: Tests for correlation and regression analyses. Behav. Res. Methods 2009, 41, 1149–1160. [Google Scholar] [CrossRef]
- Witjaksono, F.; Lestari, W.; Sutanto, K.; Wulandari, Y.; Mutu-Manikam, N.R.; Octovia, L.I. Proportion of malnourished ambulatory hospitalized patients based on international criteria at Cipto Mangunkusumo Hospital, Indonesia. J. Pak. Med. Assoc. 2021, 71, 107–111. [Google Scholar]
- Chen, G.; Wu, J.; Chen, G.; Lu, Y.; Ren, W.; Xu, W.; Xu, X.; Wu, Z.; Guan, Y.; Zheng, Y.; et al. Reliability of a portable device for quantifying tone and stiffness of quadriceps femoris and patellar tendon at different knee flexion angles. PLoS ONE 2019, 14, 1–17. [Google Scholar] [CrossRef] [PubMed]
- Gore, C.J.; Catcheside, P.G.; French, S.N.; Bennett, J.M.; Laforgia, J. Automated VO2max calibrator for open-circuit indirect calorimetry systems. Med. Sci. Sports Exerc. 1997, 29, 1095–1103. [Google Scholar] [CrossRef]
- Zadow, E.K.; Kitic, C.M.; Wu, S.S.X.; Smith, S.T.; Fell, J.W. Validity of power settings of the Wahoo KICKR Power Trainer. Int. J. Sports Physiol. Perform. 2016, 11, 1115–1117. [Google Scholar] [CrossRef] [PubMed]
- Mcnaughton, L.R.; Roberts, S.; Bentley, D.J. The relationship among peak power output, lactate threshold, and short-distance cycling performance. J. Strength Con. Res. 2006, 20, 157–161. [Google Scholar] [CrossRef]
- Beltz, N.M.; Gibson, A.L.; Janot, J.M.; Kravitz, L.; Mermier, C.M.; Dalleck, L.C. Graded exercise testing protocols for the determination of VO2max: Historical perspectives, progress, and future considerations. J. Sports Med. 2016. [Google Scholar] [CrossRef]
- Borg, G.A. Psychophysical bases of perceived exertion. Med. Sci. Sports Exerc. 1982, 14, 377–381. [Google Scholar] [CrossRef] [PubMed]
- Wakeling, J.M.; Hodson-Tole, E.F. How do the mechanical demands of cycling affect the information content of the EMG? Med. Sci. Sports Exerc. 2018, 50, 2518–2525. [Google Scholar] [CrossRef] [PubMed]
- Wakeling, J.M.; Horn, T. Neuromechanics of muscle synergies during cycling. J. Neurophysiol. 2009, 101, 843–854. [Google Scholar] [CrossRef]
- Sarto, F.; Spörri, J.; Fitze, D.P.; Quinlan, J.I.; Narici, M.V.; Franchi, M.V. Implementing ultrasound imaging for the assessment of muscle and tendon properties in elite sports: Practical aspects, methodological considerations and future directions. Sports Med. 2021, 8. [Google Scholar] [CrossRef]
- Pruyn, E.C.; Watsford, M.L.; Murphy, A.J. Diferences in lower-body stiffness between levels of netball competition. J. strtrength Cond. Res. 2015, 29, 1197–1202. [Google Scholar] [CrossRef] [PubMed]
- Kalkhoven, J.T.; Watsford, M.L. The relationship between mechanical stiffness and athletic performance markers in sub-elite footballers. J. Sports Sci. 2018, 36, 1022–1029. [Google Scholar] [CrossRef]
- da Silva, J.C.L.; Tarassova, O.; Ekblom, M.M.; Andersson, E.; Rönquist, G.; Arndt, A. Quadriceps and hamstring muscle activity during cycling as measured with intramuscular electromyography. Eur. J. Appl. Physiol. 2016, 116, 1807–1817. [Google Scholar] [CrossRef]
- da Silva, J.C.L.; Ekblom, M.M.; Tarassova, O.; Andersson, E.; Rönquist, G.; Grundström, H.; Arndt, A. Effect of increasing workload on knee extensor and flexor muscular activity during cycling as measured with intramuscular electromyography. PLoS ONE 2018, 13, e0201014. [Google Scholar] [CrossRef]
- McLachlan, K.A.; Murphy, A.J.; Watsford, M.L.; Rees, S. The interday reliability of leg and ankle musculotendinous stiffness measures. J. Appl. Biomech. 2006, 22, 296–304. [Google Scholar] [CrossRef] [PubMed]
- Pruyn, E.C.; Watsford, M.; Murphy, A. The relationship between lower-body stiffness and dynamic performance. Appl. Physiol. Nutr. Metab. 2014, 39, 1144–1150. [Google Scholar] [CrossRef] [PubMed]


| Recreational (n = 13) | Sub-Elite (n = 12) | Elite (n = 10) | |
|---|---|---|---|
| Age (y) | 42.3 ± 7.3 | 38.2 ± 10.4 | 32.3 ± 9.2 <R (p = 0.037) |
| Height (cm) | 177. 7 ± 8.8 | 179.25 ± 1.7 | 177.7 ± 8.3 |
| Mass (kg) | 75.7 ± 7.8 | 74.1 ± 7.7 | 69.3 ± 8.7 |
| Fat (%) | 13.4 ± 4.7 | 12.8 ± 4.7 | 8.2 ± 2.1 <S (p = 0.041); <R (p = 0.016) |
| VO2max (mL/kg/min) | 49.9 ± 3.1 | 58.6 ± 2.9 >R (p < 0.001) | 69.6 ± 4.7 >S (p < 0.001); >R (p < 0.001) |
| Wattsmax | 273.13 ± 2.7 | 312.5 ± 39.3 >R (p < 0.001) | 360.0 ± 40.0 >S (p < 0.001); >R (p < 0.001) |
Publisher’s Note: MDPI stays neutral with regard to jurisdictional claims in published maps and institutional affiliations. |
© 2021 by the authors. Licensee MDPI, Basel, Switzerland. This article is an open access article distributed under the terms and conditions of the Creative Commons Attribution (CC BY) license (https://creativecommons.org/licenses/by/4.0/).
Share and Cite
López-Laval, I.; Cirer-Sastre, R.; Corbi, F.; Sitko, S. Characteristics of Pedaling Muscle Stiffness among Cyclists of Different Performance Levels. Medicina 2021, 57, 606. https://doi.org/10.3390/medicina57060606
López-Laval I, Cirer-Sastre R, Corbi F, Sitko S. Characteristics of Pedaling Muscle Stiffness among Cyclists of Different Performance Levels. Medicina. 2021; 57(6):606. https://doi.org/10.3390/medicina57060606
Chicago/Turabian StyleLópez-Laval, Isaac, Rafel Cirer-Sastre, Francisco Corbi, and Sebastian Sitko. 2021. "Characteristics of Pedaling Muscle Stiffness among Cyclists of Different Performance Levels" Medicina 57, no. 6: 606. https://doi.org/10.3390/medicina57060606
APA StyleLópez-Laval, I., Cirer-Sastre, R., Corbi, F., & Sitko, S. (2021). Characteristics of Pedaling Muscle Stiffness among Cyclists of Different Performance Levels. Medicina, 57(6), 606. https://doi.org/10.3390/medicina57060606

