Bmi-1 Immunohistochemical Expression in Endometrial Carcinoma is Correlated with Prognostic Activity
Abstract
1. Introduction
2. Materials and Methods
2.1. Tissue Samples
2.2. Immunohistochemical Staining
2.3. Statistical Analysis
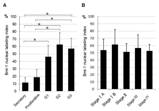
3. Results
3.1. Bmi-1 Protein Expression in Normal and Cancer Endometrial Tissues Determined by Immunohistochemical Staining
3.2. The Nuclear Labeling Index of Bmi-1 and Ki-67, Cyclin A, and p53 in Endometrial Carcinoma
3.3. Correlation of Bmi-1 Expression with Proliferation and Prognostic Markers in Endometrial Carcinoma
4. Discussion
5. Conclusions
Author Contributions
Funding
Acknowledgments
Conflicts of Interest
References
- Yamagami, W.; Nagase, S.; Takahashi, F.; Ino, K.; Hachisuga, T.; Aoki, D.; Katabuchi, H. Clinical statistics of gynecologic cancers in Japan. J. Gynecol. Oncol. 2017, 28, e32. [Google Scholar] [CrossRef] [PubMed]
- Amant, F.; Moerman, P.; Neven, P.; Timmerman, D.; Van Limbergen, E.; Vergote, I. Endometrial cancer. Lancet 2005, 366, 491–505. [Google Scholar] [CrossRef]
- Tran, A.Q.; Gehrig, P. Recent Advances in Endometrial Cancer. F1000Research 2017, 6, 81. [Google Scholar] [CrossRef] [PubMed]
- Zyla, M.M.; Wilczynski, J.R.; Kostrzewa, M.; Ksiezakowska-Lakoma, K.; Nowak, M.; Stachowiak, G.; Szyllo, K.; Stetkiewicz, T. The significance of markers in the diagnosis of endometrial cancer. Prz. Menopauzalny Menopause Rev. 2016, 15, 176–185. [Google Scholar] [CrossRef]
- Perrone, E.; Manara, P.; Lopez, S.; Bellone, S.; Bonazzoli, E.; Manzano, A.; Zammataro, L.; Bianchi, A.; Zeybek, B.; Buza, N.; et al. Sacituzumab Govitecan, an Antibody-Drug Conjugate targeting trophoblast cell-surface antigen 2 (Trop-2), shows cytotoxic activity against poorly differentiated endometrial adenocarcinomas in vitro and in vivo. Mol. Oncol. 2019, 10. [Google Scholar]
- Ren, H.; Du, P.; Ge, Z.; Jin, Y.; Ding, D.; Liu, X.; Zou, Q. TWIST1 and BMI1 in Cancer Metastasis and Chemoresistance. J. Cancer 2016, 7, 1074–1080. [Google Scholar] [CrossRef]
- Sahasrabuddhe, A.A. BMI1: A Biomarker of Hematologic Malignancies. Biomark. Cancer 2016, 8, 65–75. [Google Scholar] [CrossRef]
- Kim, M.; Lee, S.; Park, W.H.; Suh, D.H.; Kim, K.; Kim, Y.B.; No, J.H. Silencing Bmi1 expression suppresses cancer stemness and enhances chemosensitivity in endometrial cancer cells. Biomed. Pharmacother. Biomed. Pharmacother. 2018, 108, 584–589. [Google Scholar] [CrossRef]
- Shao, Z.; Raible, F.; Mollaaghababa, R.; Guyon, J.R.; Wu, C.T.; Bender, W.; Kingston, R.E. Stabilization of chromatin structure by PRC1, a Polycomb complex. Cell 1999, 98, 37–46. [Google Scholar] [CrossRef]
- Lessard, J.; Sauvageau, G. Bmi-1 determines the proliferative capacity of normal and leukaemic stem cells. Nature 2003, 423, 255–260. [Google Scholar] [CrossRef]
- Jiang, L.; Li, J.; Song, L. Bmi-1, stem cells and cancer. Acta Biochim. Biophys. Sin. 2009, 41, 527–534. [Google Scholar] [CrossRef] [PubMed]
- Yin, T.; Wei, H.; Leng, Z.; Yang, Z.; Gou, S.; Wu, H.; Zhao, G.; Hu, X.; Wang, C. Bmi-1 promotes the chemoresistance, invasion and tumorigenesis of pancreatic cancer cells. Chemotherapy 2011, 57, 488–496. [Google Scholar] [CrossRef] [PubMed]
- Bednar, F.; Schofield, H.K.; Collins, M.A.; Yan, W.; Zhang, Y.; Shyam, N.; Eberle, J.A.; Almada, L.L.; Olive, K.P.; Bardeesy, N.; et al. Bmi1 is required for the initiation of pancreatic cancer through an Ink4a-independent mechanism. Carcinogenesis 2015, 36, 730–738. [Google Scholar] [CrossRef] [PubMed]
- Tong, Y.Q.; Liu, B.; Zheng, H.Y.; He, Y.J.; Gu, J.; Li, F.; Li, Y. BMI-1 autoantibody as a new potential biomarker for cervical carcinoma. PLoS ONE 2011, 6, e27804. [Google Scholar] [CrossRef] [PubMed]
- Chen, H.; Zhou, L.; Wan, G.; Dou, T.; Tian, J. BMI1 promotes the progression of laryngeal squamous cell carcinoma. Oral Oncol. 2011, 47, 472–481. [Google Scholar] [CrossRef] [PubMed]
- Li, W.; Li, Y.; Tan, Y.; Ma, K.; Cui, J. Bmi-1 is critical for the proliferation and invasiveness of gastric carcinoma cells. J. Gastroenterol. Hepatol. 2010, 25, 568–575. [Google Scholar] [CrossRef] [PubMed]
- Liu, J.H.; Song, L.B.; Zhang, X.; Guo, B.H.; Feng, Y.; Li, X.X.; Liao, W.T.; Zeng, M.S.; Huang, K.H. Bmi-1 expression predicts prognosis for patients with gastric carcinoma. J. Surg. Oncol. 2008, 97, 267–272. [Google Scholar] [CrossRef]
- Buechel, M.; Dey, A.; Dwivedi, S.K.D.; Crim, A.; Ding, K.; Zhang, R.; Mukherjee, P.; Moore, K.N.; Cao, L.; Branstrom, A.; et al. Inhibition of BMI1, a Therapeutic Approach in Endometrial Cancer. Mol. Cancer Ther. 2018, 17, 2136–2143. [Google Scholar] [CrossRef]
- Dong, P.; Kaneuchi, M.; Watari, H.; Hamada, J.; Sudo, S.; Ju, J.; Sakuragi, N. MicroRNA-194 inhibits epithelial to mesenchymal transition of endometrial cancer cells by targeting oncogene BMI-1. Mol. Cancer 2011, 10, 99. [Google Scholar] [CrossRef]
- Engelsen, I.B.; Mannelqvist, M.; Stefansson, I.M.; Carter, S.L.; Beroukhim, R.; Oyan, A.M.; Otte, A.P.; Kalland, K.H.; Akslen, L.A.; Salvesen, H.B. Low BMI-1 expression is associated with an activated BMI-1-driven signature, vascular invasion, and hormone receptor loss in endometrial carcinoma. Br. J. Cancer 2008, 98, 1662–1669. [Google Scholar] [CrossRef]
- Honig, A.; Weidler, C.; Hausler, S.; Krockenberger, M.; Buchholz, S.; Koster, F.; Segerer, S.E.; Dietl, J.; Engel, J.B. Overexpression of polycomb protein BMI-1 in human specimens of breast, ovarian, endometrial and cervical cancer. Anticancer Res. 2010, 30, 1559–1564. [Google Scholar] [PubMed]
- Wang, M.C.; Li, C.L.; Cui, J.; Jiao, M.; Wu, T.; Jing, L.I.; Nan, K.J. BMI-1, a promising therapeutic target for human cancer. Oncol. Lett. 2015, 10, 583–588. [Google Scholar] [CrossRef] [PubMed]
- Pecorelli, S. Revised FIGO staging for carcinoma of the vulva, cervix, and endometrium. Int. J. Gynaecol. Obstet. Off. Organ Int. Fed. Gynaecol. Obstet. 2009, 105, 103–104. [Google Scholar] [CrossRef] [PubMed]
- Kato, T.; Watari, H.; Endo, D.; Mitamura, T.; Odagiri, T.; Konno, Y.; Hosaka, M.; Kobayashi, N.; Todo, Y.; Sudo, S.; et al. New revised FIGO 2008 staging system for endometrial cancer produces better discrimination in survival compared with the 1988 staging system. J. Surg. Oncol. 2012, 106, 938–941. [Google Scholar] [CrossRef]
- Gavrilescu, M.M.; Todosi, A.M.; Anitei, M.G.; Filip, B.; Scripcariu, V. Expression of bmi-1 protein in cervical, breast and ovarian cancer. Rev. Med. Chir. Soc. Med. Nat. Iasi 2012, 116, 1112–1117. [Google Scholar]
- Salvesen, H.B.; Iversen, O.E.; Akslen, L.A. Identification of high-risk patients by assessment of nuclear Ki-67 expression in a prospective study of endometrial carcinomas. Clin. Cancer Res. Off. J. Am. Assoc. Cancer Res. 1998, 4, 2779–2785. [Google Scholar]
- Kitson, S.; Sivalingam, V.N.; Bolton, J.; McVey, R.; Nickkho-Amiry, M.; Powell, M.E.; Leary, A.; Nijman, H.W.; Nout, R.A.; Bosse, T.; et al. Ki-67 in endometrial cancer: Scoring optimization and prognostic relevance for window studies. Mod. Pathol. Off. J. U.S. Can. Acad. Pathol. Inc 2017, 30, 459–468. [Google Scholar] [CrossRef]
- Geisler, J.P.; Geisler, H.E.; Miller, G.A.; Wiemann, M.C.; Zhou, Z.; Crabtree, W. MIB-1 in endometrial carcinoma: Prognostic significance with 5-year follow-up. Gynecologic oncology 1999, 75, 432–436. [Google Scholar] [CrossRef]
- Kosmas, K.; Stamoulas, M.; Marouga, A.; Kavantzas, N.; Patsouris, E.; Athanassiadou, P. Expression of Ki-67 as proliferation biomarker in imprint smears of endometrial carcinoma. Diagn. Cytopathol. 2013, 41, 212–217. [Google Scholar] [CrossRef]
- Gerdes, J.; Lemke, H.; Baisch, H.; Wacker, H.H.; Schwab, U.; Stein, H. Cell cycle analysis of a cell proliferation-associated human nuclear antigen defined by the monoclonal antibody Ki-67. J. Immunol. 1984, 133, 1710–1715. [Google Scholar]
- Horie, K.; Yamamoto, H.; Karube, K.; Takebayashi, K.; Yoshino, H.; Yoshioka, H.; Watanabe, J. Cyclin A is a reliable proliferation marker in endometrial cancer cell lines. Oncol. Lett. 2019, 17, 4455–4462. [Google Scholar] [CrossRef] [PubMed]
- Geisler, J.P.; Wiemann, M.C.; Zhou, Z.; Miller, G.A.; Geisler, H.E. p53 as a prognostic indicator in endometrial cancer. Gynecol. Oncol. 1996, 61, 245–248. [Google Scholar] [CrossRef] [PubMed]
- Sung, C.J.; Zheng, Y.; Quddus, M.R.; Kang, X.; Zhang, Z.F.; Lauchlan, S.C.; Zheng, W. p53 as a significant prognostic marker in endometrial carcinoma. Int. J. Gynecol. Cancer Off. J. Int. Gynecol. Cancer Soc. 2000, 10, 119–127. [Google Scholar] [CrossRef] [PubMed]
- Salvesen, H.B.; Iversen, O.E.; Akslen, L.A. Prognostic significance of angiogenesis and Ki-67, p53, and p21 expression: A population-based endometrial carcinoma study. J. Clin. Oncol. Off. J. Am. Soc. Clin. Oncol. 1999, 17, 1382–1390. [Google Scholar] [CrossRef]
- Stanescu, A.D.; Nistor, I.; Poteca, A.G.; Ditescu, D.; Comanescu, M. Prognostic biomarkers in endometrial adenocarcinoma. Rom. J. Morphol. Embryol. Rev. Roum. Morphol. Embryol. 2014, 55, 1339–1344. [Google Scholar]
- Santala, S.; Talvensaari-Mattila, A.; Soini, Y.; Honkavuori-Toivola, M.; Santala, M. High expression of cyclin A is associated with poor prognosis in endometrial endometrioid adenocarcinoma. Tumour Biol. J. Int. Soc. Oncodev. Biol. Med. 2014, 35, 5395–5399. [Google Scholar] [CrossRef]
- Di Tucci, C.; Capone, C.; Galati, G.; Iacobelli, V.; Schiavi, M.C.; Di Donato, V.; Muzii, L.; Panici, P.B. Immunotherapy in endometrial cancer: New scenarios on the horizon. J. Gynecol. Oncol. 2019, 30, e46. [Google Scholar] [CrossRef]
- Zhai, H.; Karaayvaz, M.; Dong, P.; Sakuragi, N.; Ju, J. Prognostic significance of miR-194 in endometrial cancer. Biomark. Res. 2013, 1. [Google Scholar] [CrossRef][Green Version]



| Histological Type | Correlation (rs) | p-Value | Number of Cases |
|---|---|---|---|
| Bmi-1 and Ki-67 | 0.9 | 0.037 * | 37 |
| Bmi-1 and cyclin A | 0.9 | 0.037 * | 35 |
| Bmi-1 and p53 | 0.97 | 0.004 ** | 23 |
© 2020 by the authors. Licensee MDPI, Basel, Switzerland. This article is an open access article distributed under the terms and conditions of the Creative Commons Attribution (CC BY) license (http://creativecommons.org/licenses/by/4.0/).
Share and Cite
Horie, K.; Iseki, C.; Kikuchi, M.; Miyakawa, K.; Yoshizaki, M.; Yoshioka, H.; Watanabe, J. Bmi-1 Immunohistochemical Expression in Endometrial Carcinoma is Correlated with Prognostic Activity. Medicina 2020, 56, 72. https://doi.org/10.3390/medicina56020072
Horie K, Iseki C, Kikuchi M, Miyakawa K, Yoshizaki M, Yoshioka H, Watanabe J. Bmi-1 Immunohistochemical Expression in Endometrial Carcinoma is Correlated with Prognostic Activity. Medicina. 2020; 56(2):72. https://doi.org/10.3390/medicina56020072
Chicago/Turabian StyleHorie, Kayo, Chihiro Iseki, Moe Kikuchi, Keita Miyakawa, Mao Yoshizaki, Haruhiko Yoshioka, and Jun Watanabe. 2020. "Bmi-1 Immunohistochemical Expression in Endometrial Carcinoma is Correlated with Prognostic Activity" Medicina 56, no. 2: 72. https://doi.org/10.3390/medicina56020072
APA StyleHorie, K., Iseki, C., Kikuchi, M., Miyakawa, K., Yoshizaki, M., Yoshioka, H., & Watanabe, J. (2020). Bmi-1 Immunohistochemical Expression in Endometrial Carcinoma is Correlated with Prognostic Activity. Medicina, 56(2), 72. https://doi.org/10.3390/medicina56020072
