The Relationship between Changes in Organ-Tissue Mass and Sleeping Energy Expenditure Following Weight Change in College Sumo Wrestlers
Abstract
1. Introduction
2. Materials and Methods
2.1. Subjects
2.2. Anthropometry and Body Composition Measurements Using Dual-Energy X-ray Absorptiometry and Magnetic Resonance Imaging
2.3. Blood Collection and Analysis
2.4. Sleeping Energy Expenditure (SEE) Measurements Using Indirect Human Calorimeter (IHC)
2.5. Statistical Analysis
3. Results
4. Discussion
5. Conclusions
Author Contributions
Funding
Acknowledgments
Conflicts of Interest
References
- Gallagher, D.; Belmonte, D.; Deurenberg, P.; Wang, Z.; Krasnow, N.; Pi-Sunyer, F.X.; Heymsfield, S.B. Organ-tissue mass measurement allows modeling of REE and metabolically active tissue mass. Am. J. Physiol. 1998, 275, 249–258. [Google Scholar] [CrossRef] [PubMed]
- Illner, K.; Brinkmann, G.; Heller, M.; Bosy-Westphal, A.; Muller, M.J. Metabolically active components of fat free mass and resting energy expenditure in nonobese adults. Am. J. Physiol. Endocrinol. Metab. 2000, 278, 308–315. [Google Scholar] [CrossRef] [PubMed]
- Bosy-Westphal, A.; Reinecke, U.; Schlorke, T.; Illner, K.; Kutzner, D.; Heller, M.; Muller, M.J. Effect of organ and tissue masses on resting energy expenditure in underweight, normal weight and obese adults. Int. J. Obes. Relat. Metab. Disord. 2004, 28, 72–79. [Google Scholar] [CrossRef] [PubMed]
- Midorikawa, T.; Kondo, M.; Beekley, M.D.; Koizumi, K.; Abe, T. High REE in Sumo wrestlers attributed to large organ-tissue mass. Med. Sci. Sports Exerc. 2007, 39, 688–693. [Google Scholar] [CrossRef] [PubMed]
- Midorikawa, T.; Tanaka, S.; Ando, T.; Tanaka, C.; Konishi, M.; Ohta, M.; Torii, S.; Sakamoto, S. Is there a chronic elevation in organ-tissue sleeping metabolic rate in very fit runners? Nutrients 2016, 8, 196–207. [Google Scholar] [CrossRef]
- Gallagher, D.; Kelley, D.E.; Thornton, J.; Boxt, L.; Pi-Sunyer, X.; Lipkin, E.; Nyenwe, E.; Janumala, I.; Heshka, S.; MRI ancillary study group of the look AHEAD research group. Changes in skeletal muscle and organ size after a weight-loss intervention in overweight and obese type 2 diabetic patients. Am. J. Clin. Nutr. 2016, 105, 78–84. [Google Scholar] [CrossRef] [PubMed]
- Miyauchi, S.; Oshima, S.; Asaka, M.; Kawano, H.; Torii, S.; Higuchi, M. Organ size increases with weight gain in power-trained athletes. Int. J. Sport Nutr. Exerc. Metab. 2013, 23, 617–623. [Google Scholar] [CrossRef] [PubMed]
- Elia, M. The inter-organ flux of substrates in fed and fasted man, as indicated by arterio-venous balance studies. Nutr. Res. Rev. 1991, 4, 3–31. [Google Scholar] [CrossRef] [PubMed]
- Ganpule, A.A.; Tanaka, S.; Ishikawa-Takata, K.; Tabata, I. Interindividual variability in sleeping metabolic rate in Japanese subjects. Eur. J. Clin. Nutr. 2007, 61, 1256–1261. [Google Scholar] [CrossRef] [PubMed]
- Kondo, M.; Abe, T.; Ikegawa, S.; Kawakami, Y.; Fukunaga, T. Upper limit of fat-free mass in humans: A study on Japanese Sumo wrestlers. Am. J. Hum. Biol. 1994, 6, 613–618. [Google Scholar] [CrossRef] [PubMed]
- Abe, T.; Kearns, C.F.; Fukunaga, T. Sex differences in whole body skeletal muscle mass measured by magnetic resonance imaging and its distribution in young Japanese adults. Br. J. Sports Med. 2003, 37, 436–440. [Google Scholar] [CrossRef] [PubMed]
- Snyder, W.S.; Cooke, M.J.; Nasset, E.S.; Karhausen, L.R.; Howells, G.P.; Tipton, I.H. Report of the Task Group on Reference Man; Pergamon: Oxford, UK, 1975; pp. 112, 282–285. [Google Scholar]
- Duck, F.A. Chapter 5—Mechanical properties of tissue. In Physical Properties of Tissue; Elsevier: New York, NY, USA, 1990; p. 138. [Google Scholar]
- Futami, J.; Tanaka, S.; Yamamura, C.; Oka, J.; Ishikawa-Takata, K.; Kashiwazaki, H. Measurement of energy expenditure by whole-body indirect human calorimeter–evaluation of validity and error factors. Nippon Eiyo Shokuryo Gakkaishi J. Jpn. Soc. Nutr. Food Sci. 2003, 56, 229–236. (In Japanese) [Google Scholar] [CrossRef]
- Yamamura, C.; Tanaka, S.; Futami, J.; Oka, J.; Ishikawa-Takata, K.; Kashiwazaki, H. Activity diary method for predicting energy expenditure as evaluated by a whole-body indirect human calorimeter. J. Nutr. Sci. Vitam. 2003, 49, 262–269. [Google Scholar] [CrossRef] [PubMed][Green Version]
- Usui, C.; Ando, T.; Ohkawara, K.; Miyake, R.; Oshima, Y.; Hibi, M.; Oishi, S.; Tokuyama, K.; Tanaka, S. Validity and reproducibility of a novel method for time-course evaluation of diet-induced thermogenesis in a respiratory chamber. Physiol. Rep. 2015, 3, e12410. [Google Scholar] [CrossRef] [PubMed]
- Weir, J.B. New methods for calculating metabolic rate with special reference to protein metabolism. J. Physiol. 1949, 109, 1–9. [Google Scholar] [CrossRef] [PubMed]
- Pourhassan, M.; Bosy-Westphal, A.; Schautz, B.; Braun, W.; Glüer, C.C.; Müller, M.J. Impact of body composition during weight change on resting energy expenditure and homeostasis model assessment index in overweight nonsmoking adults. Am. J. Clin. Nutr. 2014, 99, 779–791. [Google Scholar] [CrossRef] [PubMed]
- Bosy-Westphal, A.; Kossel, E.; Goele, K.; Later, W.; Hitze, B.; Settler, U.; Heller, M.; Glüer, C.C.; Heymsfield, S.B.; Müller, M.J. Contribution of individual organ mass loss to weight loss–associated decline in resting energy expenditure. Am. J. Clin. Nutr. 2009, 90, 993–1001. [Google Scholar] [CrossRef] [PubMed]
- Dolezal, B.A.; Potteiger, J.A. Concurrent resistance and endurance training influence basal metabolic rate in nondieting individuals. J. Appl. Physiol. 1998, 85, 695–700. [Google Scholar] [CrossRef] [PubMed]
- Lemmer, J.T.; Ivey, F.M.; Ryan, A.S.; Martel, G.F.; Hurlbut, D.E.; Metter, J.E.; Fozard, J.L.; Fleg, J.L.; Hurley, B.F. Effect of strength training on resting metabolic rate and physical activity: Age and gender comparisons. Med. Sci. Sports Exerc. 2001, 33, 532–541. [Google Scholar] [CrossRef] [PubMed]
- Midorikawa, T.; Hikihara, Y.; Ohta, M.; Ando, T.; Torii, S.; Sakamoto, S.; Tanaka, S. The relationship between organ-tissue body composition and resting energy expenditure in prepubertal children. Eur. J. Clin. Nutr. 2019, 73, 1149–1154. [Google Scholar] [CrossRef] [PubMed]



| Pre | Post | Change | |||||||
|---|---|---|---|---|---|---|---|---|---|
| Age (year) | 19 | ± | 1 | 22 | ± | 1 | 3 | ± | 1 |
| Standing height (cm) | 172.4 | ± | 4.9 | 173.0 | ± | 4.7 | 0.5 | ± | 0.7 * |
| Body mass (kg) | 108.4 | ± | 14.4 | 109.7 | ± | 12.6 | 1.3 | ± | 6.9 |
| BMI (kg/m2) | 36.4 | ± | 3.9 | 36.6 | ± | 3.7 | 0.2 | ± | 2.1 |
| Fat (%) | 25.0 | ± | 4.7 | 26.1 | ± | 4.3 | 1.1 | ± | 3.7 |
| Fat mass (kg) | 27.7 | ± | 8.3 | 29.0 | ± | 7.9 | 1.3 | ± | 5.4 |
| Lean soft tissue mass (kg) | 77.5 | ± | 6.9 | 77.3 | ± | 6.4 | −0.1 | ± | 3.7 |
| SEE (kcal/day) | 2306 | ± | 179 | 2243 | ± | 220 | −63 | ± | 285 |
| Organ-Tissue Mass (kg) | Pre | Post | Change | ||||||
|---|---|---|---|---|---|---|---|---|---|
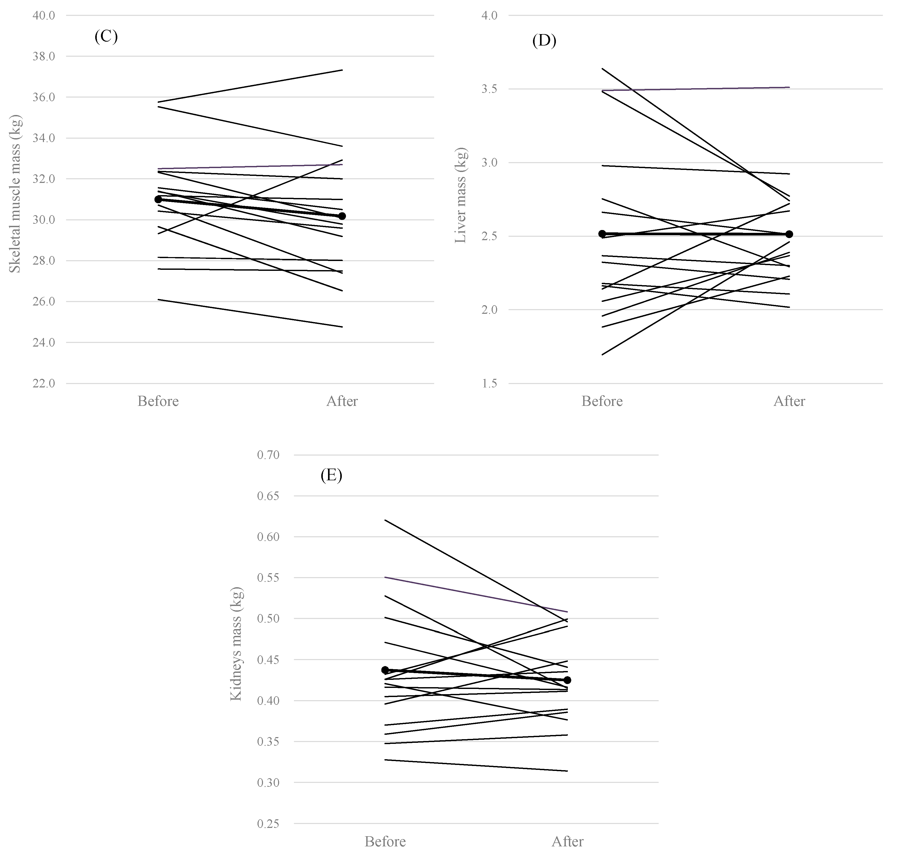
| Skeletal muscle 1 | 31.00 | ± | 2.56 | 30.18 | ± | 3.10 | -0.82 | ± | 1.74 |
| Liver | 2.52 | ± | 0.60 | 2.51 | ± | 0.37 | 0.00 | ± | 0.44 |
| Kidneys | 0.44 | ± | 0.08 | 0.42 | ± | 0.05 | -0.01 | ± | 0.06 |
| Pre | Post | Change | |||||||
|---|---|---|---|---|---|---|---|---|---|
| TSH (μIU/mL) | 3.0 | ± | 2.0 | 3.7 | ± | 3.0 | 0.7 | ± | 3.2 |
| Total T3 (ng/mL) | 1.2 | ± | 0.1 | 1.3 | ± | 0.3 | 0.1 | ± | 0.3 |
| Free T3 (pg/mL) | 3.7 | ± | 0.3 | 3.8 | ± | 0.9 | 0.1 | ± | 1.0 |
| Total T4 (μg/dL) | 7.6 | ± | 1.0 | 7.6 | ± | 1.8 | 0.1 | ± | 1.8 |
| Free T4 (ng/dL) | 1.3 | ± | 0.2 | 1.5 | ± | 0.3 | 0.2 | ± | 0.4 |
| Epinephrin (pg/mL) | 50.7 | ± | 23.3 | 42.4 | ± | 23.4 | −8.3 | ± | 28.2 |
| Norepinephrin (pg/mL) | 432.5 | ± | 173.3 | 477.5 | ± | 235.6 | 45.0 | ± | 223.9 |
| SM | Liver | Kidneys | TSH | Total T3 | Free T3 | Total T4 | Free T4 | Epinephrin | NE | |
|---|---|---|---|---|---|---|---|---|---|---|
| Liver | 0.42 | |||||||||
| Kidneys | 0.32 | 0.07 | ||||||||
| TSH | 0.17 | −0.18 | −0.14 | |||||||
| Total T3 | −0.15 | −0.16 | 0.04 | −0.26 | ||||||
| Free T3 | −0.24 | 0.04 | 0.00 | −0.17 | 0.87 ** | |||||
| Total T4 | −0.33 | −0.35 | −0.42 | −0.23 | 0.73 ** | 0.62 * | ||||
| Free T4 | −0.28 | 0.03 | −0.39 | −0.37 | 0.72 ** | 0.83 ** | 0.79 ** | |||
| Epinephrin | −0.54 * | −0.49 | −0.16 | 0.17 | 0.21 | 0.32 | 0.46 | 0.25 | ||
| NE | −0.36 | 0.03 | −0.18 | 0.32 | 0.19 | 0.41 | 0.34 | 0.31 | 0.43 | |
| SEE | 0.28 | 0.38 | 0.53 * | −0.05 | 0.19 | 0.21 | −0.07 | −0.14 | 0.11 | 0.18 |
© 2020 by the authors. Licensee MDPI, Basel, Switzerland. This article is an open access article distributed under the terms and conditions of the Creative Commons Attribution (CC BY) license (http://creativecommons.org/licenses/by/4.0/).
Share and Cite
Midorikawa, T.; Tanaka, S.; Ando, T.; Konishi, M.; Ohta, M.; Torii, S.; Sakamoto, S. The Relationship between Changes in Organ-Tissue Mass and Sleeping Energy Expenditure Following Weight Change in College Sumo Wrestlers. Medicina 2020, 56, 536. https://doi.org/10.3390/medicina56100536
Midorikawa T, Tanaka S, Ando T, Konishi M, Ohta M, Torii S, Sakamoto S. The Relationship between Changes in Organ-Tissue Mass and Sleeping Energy Expenditure Following Weight Change in College Sumo Wrestlers. Medicina. 2020; 56(10):536. https://doi.org/10.3390/medicina56100536
Chicago/Turabian StyleMidorikawa, Taishi, Shigeho Tanaka, Takafumi Ando, Masayuki Konishi, Megumi Ohta, Suguru Torii, and Shizuo Sakamoto. 2020. "The Relationship between Changes in Organ-Tissue Mass and Sleeping Energy Expenditure Following Weight Change in College Sumo Wrestlers" Medicina 56, no. 10: 536. https://doi.org/10.3390/medicina56100536
APA StyleMidorikawa, T., Tanaka, S., Ando, T., Konishi, M., Ohta, M., Torii, S., & Sakamoto, S. (2020). The Relationship between Changes in Organ-Tissue Mass and Sleeping Energy Expenditure Following Weight Change in College Sumo Wrestlers. Medicina, 56(10), 536. https://doi.org/10.3390/medicina56100536

