Stroke Volume Variation and Stroke Volume Index Can Predict Fluid Responsiveness after Mini-Volume Challenge Test in Patients Undergoing Laparoscopic Cholecystectomy
Abstract
1. Introduction
2. Methods
2.1. Patients
2.2. Surgical Procedure
2.3. Anaesthesia Protocol
2.4. Hemodynamic Monitoring
2.5. Fluid Challenge Protocol
2.6. Outcome Measurement
2.7. Statistical Analysis
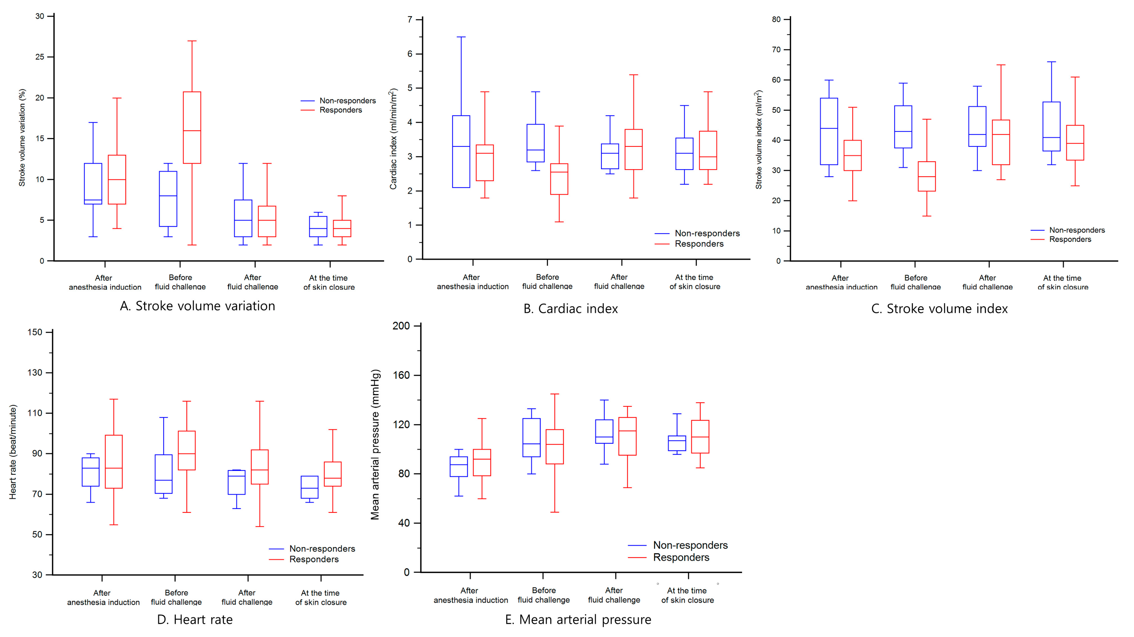
3. Results
4. Discussion
5. Conclusions
Author Contributions
Funding
Conflicts of Interest
References
- Mealy, K.; Gallagher, H.; Barry, M.; Lennon, F.; Traynor, O.; Hyland, J. Physiological and metabolic responses to open and laparoscopic cholecystectomy. Br. J. Surg. 1992, 79, 1061–1064. [Google Scholar] [CrossRef] [PubMed]
- Soper, N.J.; Barteau, J.A.; Clayman, R.V.; Ashley, S.W.; Dunnegan, D.L. Comparison of early postoperative results for laparoscopic versus standard open cholecystectomy. Surg. Gynecol. Obstet. 1992, 174, 114–118. [Google Scholar] [PubMed]
- Miller, T.E.; Roche, A.M.; Mythen, M. Fluid management and goal-directed therapy as an adjunct to Enhanced Recovery After Surgery (ERAS). Can. J. Anaesth. 2015, 62, 158–168. [Google Scholar] [CrossRef] [PubMed]
- Makaryus, R.; Miller, T.E.; Gan, T.J. Current concepts of fluid management in enhanced recovery pathways. Br. J. Anaesth. 2018, 120, 376–383. [Google Scholar] [CrossRef]
- Marik, P.E.; Cavallazzi, R.; Vasu, T.; Hirani, A. Dynamic changes in arterial waveform derived variables and fluid responsiveness in mechanically ventilated patients: A systematic review of the literature. Crit. Care Med. 2009, 37, 2642–2647. [Google Scholar] [CrossRef]
- Michard, F.; Boussat, S.; Chemla, D.; Anguel, N.; Mercat, A.; Lecarpentier, Y.; Richard, C.; Pinsky, M.R.; Teboul, J.L. Relation between respiratory changes in arterial pulse pressure and fluid responsiveness in septic patients with acute circulatory failure. Am. J. Respir. Crit. Care Med. 2000, 162, 134–138. [Google Scholar] [CrossRef]
- Hofer, C.K.; Muller, S.M.; Furrer, L.; Klaghofer, R.; Genoni, M.; Zollinger, A. Stroke volume and pulse pressure variation for prediction of fluid responsiveness in patients undergoing off-pump coronary artery bypass grafting. Chest 2005, 128, 848–854. [Google Scholar] [CrossRef]
- Reuter, D.A.; Kirchner, A.; Felbinger, T.W.; Weis, F.C.; Kilger, E.; Lamm, P.; Goetz, A.E. Usefulness of left ventricular stroke volume variation to assess fluid responsiveness in patients with reduced cardiac function. Crit. Care Med. 2003, 31, 1399–1404. [Google Scholar] [CrossRef]
- Becker, B.F.; Chappell, D.; Jacob, M. Endothelial glycocalyx and coronary vascular permeability: The fringe benefit. Basic Res. Cardiol. 2010, 105, 687–701. [Google Scholar] [CrossRef]
- Bellamy, M.C. Wet, dry or something else? Br. J. Anaesth. 2006, 97, 755–757. [Google Scholar] [CrossRef]
- Gurgel, S.T.; do Nascimento, P., Jr. Maintaining tissue perfusion in high-risk surgical patients: A systematic review of randomized clinical trials. Anesth. Analg. 2011, 112, 1384–1391. [Google Scholar] [CrossRef] [PubMed]
- Sun, Y.; Chai, F.; Pan, C.; Romeiser, J.L.; Gan, T.J. Effect of perioperative goal-directed hemodynamic therapy on postoperative recovery following major abdominal surgery-a systematic review and meta-analysis of randomized controlled trials. Crit. Care. 2017, 21, 141. [Google Scholar] [CrossRef] [PubMed]
- Malbouisson, L.M.S.; Silva, J.M.; Carmona, M.J.C.; Lopes, M.R.; Assunção, M.S.; dos Santos Valiatti, J.L.; Simões, M.C.; Auler, J.O.C. A pragmatic multi-center trial of goal-directed fluid management based on pulse pressure variation monitoring during high-risk surgery. BMC Anesthesiol. 2017, 17, 70. [Google Scholar] [CrossRef] [PubMed]
- Biais, M.; Bernard, O.; Ha, J.C.; Degryse, C.; Sztark, F. Abilities of pulse pressure variations and stroke volume variations to predict fluid responsiveness in prone position during scoliosis surgery. Br. J. Anaesth. 2010, 104, 407–413. [Google Scholar] [CrossRef] [PubMed]
- Chin, J.H.; Lee, E.H.; Hwang, G.S.; Choi, W.J. Prediction of fluid responsiveness using dynamic preload indices in patients undergoing robot-assisted surgery with pneumoperitoneum in the Trendelenburg position. Anaesth. Intensive Care 2013, 41, 515–522. [Google Scholar] [CrossRef] [PubMed]
- Lanspa, M.J.; Brown, S.M.; Hirshberg, E.L.; Jones, J.P.; Grissom, C.K. Central venous pressure and shock index predict lack of hemodynamic response to volume expansion in septic shock: A prospective, observational study. J. Crit. Care 2012, 27, 609–615. [Google Scholar] [CrossRef]
- Aya, H.D.; Rhodes, A.; Chis Ster, I.; Fletcher, N.; Grounds, R.M.; Cecconi, M. Hemodynamic Effect of Different Doses of Fluids for a Fluid Challenge: A Quasi-Randomized Controlled Study. Crit. Care Med. 2017, 45, 161–168. [Google Scholar] [CrossRef]
- Monnet, X.; Marik, P.E.; Teboul, J.L. Prediction of fluid responsiveness: An update. Ann. Intensive Care 2016, 6, 111. [Google Scholar] [CrossRef]
- Andrijauskas, A.; Ivaskevicius, J.; Porvaneckas, N.; Stankevicius, E.; Svensen, C.H.; Uvarovas, V.; Švedienė, S.; Kvederas, G. A mini volume loading test for indication of preoperative dehydration in surgical patients. Medicina 2015, 51, 81–91. [Google Scholar] [CrossRef]
- Joris, J.L.; Noirot, D.P.; Legrand, M.J.; Jacquet, N.J.; Lamy, M.L. Hemodynamic changes during laparoscopic cholecystectomy. Anesth. Analg. 1993, 76, 1067–1071. [Google Scholar] [CrossRef]
- Dorsay, D.A.; Greene, F.L.; Baysinger, C.L. Hemodynamic changes during laparoscopic cholecystectomy monitored with transesophageal echocardiography. Surg. Endosc. 1995, 9, 128–133, discussion 33–4. [Google Scholar] [CrossRef] [PubMed]
- Zuckerman, R.; Gold, M.; Jenkins, P.; Rauscher, L.A.; Jones, M.; Heneghan, S. The effects of pneumoperitoneum and patient position on hemodynamics during laparoscopic cholecystectomy. Surg. Endosc. 2001, 15, 562–565. [Google Scholar] [CrossRef] [PubMed]


| Variables | Nonresponders (n = 11) | Responders (n = 31) |
|---|---|---|
| Age (years) | 55 ± 17 | 54 ± 11 |
| Sex (male) | 6 (54.5%) | 18 (58.1%) |
| Weight (kg) | 64.5 ± 12.7 | 67.7 ± 14.2 |
| Height (cm) | 160.1 ± 8.9 | 162.0 ± 10.3 |
| Serum albumin (g/dL) | 3.9 ± 0.6 | 4.2 ± 0.4 |
| Serum creatinine (mg/dL) | 0.69 ± 0.09 | 0.79 ± 0.18 |
| Serum hemoglobin (g/dL) | 13.2 ± 1.1 | 14.1 ± 1.8 |
| Perioperative data | ||
| Anaesthesia time (min) | 60 (52–65) | 55 (50–60) |
| Fluid, total administered (mL) | 350 (300–432) | 330 (319–387) |
| Gas out time (hours after surgery) | 30.2 ± 21.8 | 30.4 ± 17.9 |
| Postoperative nausea incidence | ||
| at PACU/ until postoperative 24 h | 0 (0%)/4 (36.4%) | 1 (3.2%)/9 (29.0%) |
| Postoperative vomiting incidence | ||
| at PACU/ until postoperative 24 h | 0 (0%)/1 (9.1%) | 0 (0%)/2 (6.4%) |
| Variables | Nonresponders (n = 11) | Responders (n = 31) |
|---|---|---|
| Stroke volume variation (%) | ||
| before fluid challenge | 8 ± 4 | 16 ± 6 * |
| after fluid challenge | 6 ± 4 | 6 ± 4 † |
| Cardiac index (L/m2) | ||
| before fluid challenge | 3.4 ± 0.7 | 2.5 ± 0.6 * |
| after fluid challenge | 3.0 ± 1.0 | 3.3 ± 0.8 † |
| Stroke volume index (mL/m2/beat) | ||
| before fluid challenge | 44 ± 9 | 28 ± 7 * |
| after fluid challenge | 43 ± 3 | 41 ± 10 † |
| Heart rate (beat/min) | ||
| before fluid challenge | 82 ± 13 | 90 ± 17 |
| after fluid challenge | 77 ± 3 | 82 ± 14 † |
| Mean arterial pressure (mmHg) | ||
| before fluid challenge | 108 ± 18 | 100 ± 24 |
| after fluid challenge | 112 ± 16 | 111 ± 18 † |
| Variables | Area Under Curve (95% CI) | p | Cut-off Value | Sensitivity | Specificity |
|---|---|---|---|---|---|
| Stroke volume variation (%) | 0.900 (0.766–0.971) | <0.0001 | 11 | 80.7% | 90.9% |
| Cardiac index (mL/min/m2) | 0.833 (0.684–0.931) | <0.0001 | 2.7 | 70.0% | 81.8% |
| Stroke volume index (ml/m2) | 0.909 (0.779–0.976) | <0.0001 | 40 | 96.8% | 72.7% |
| Mean arterial pressure (mmHg) | 0.617 (0.452–0.764) | 0.254 | 123 | 90.3% | 36.4% |
| Heart rate (beats/min) | 0.639 (0.462–0.773) | 0.134 | 77 | 77.4% | 54.6% |
© 2019 by the authors. Licensee MDPI, Basel, Switzerland. This article is an open access article distributed under the terms and conditions of the Creative Commons Attribution (CC BY) license (http://creativecommons.org/licenses/by/4.0/).
Share and Cite
Moon, E.-J.; Lee, S.; Yi, J.-W.; Kim, J.H.; Lee, B.-J.; Seo, H. Stroke Volume Variation and Stroke Volume Index Can Predict Fluid Responsiveness after Mini-Volume Challenge Test in Patients Undergoing Laparoscopic Cholecystectomy. Medicina 2020, 56, 3. https://doi.org/10.3390/medicina56010003
Moon E-J, Lee S, Yi J-W, Kim JH, Lee B-J, Seo H. Stroke Volume Variation and Stroke Volume Index Can Predict Fluid Responsiveness after Mini-Volume Challenge Test in Patients Undergoing Laparoscopic Cholecystectomy. Medicina. 2020; 56(1):3. https://doi.org/10.3390/medicina56010003
Chicago/Turabian StyleMoon, Eun-Jin, Seunghwan Lee, Jae-Woo Yi, Ju Hyun Kim, Bong-Jae Lee, and Hyungseok Seo. 2020. "Stroke Volume Variation and Stroke Volume Index Can Predict Fluid Responsiveness after Mini-Volume Challenge Test in Patients Undergoing Laparoscopic Cholecystectomy" Medicina 56, no. 1: 3. https://doi.org/10.3390/medicina56010003
APA StyleMoon, E.-J., Lee, S., Yi, J.-W., Kim, J. H., Lee, B.-J., & Seo, H. (2020). Stroke Volume Variation and Stroke Volume Index Can Predict Fluid Responsiveness after Mini-Volume Challenge Test in Patients Undergoing Laparoscopic Cholecystectomy. Medicina, 56(1), 3. https://doi.org/10.3390/medicina56010003

