Diuretic Enhanced Ultrasonography in the Diagnosis of Pyeloureteral Obstruction
Abstract
:1. Introduction
2. Materials and Methods
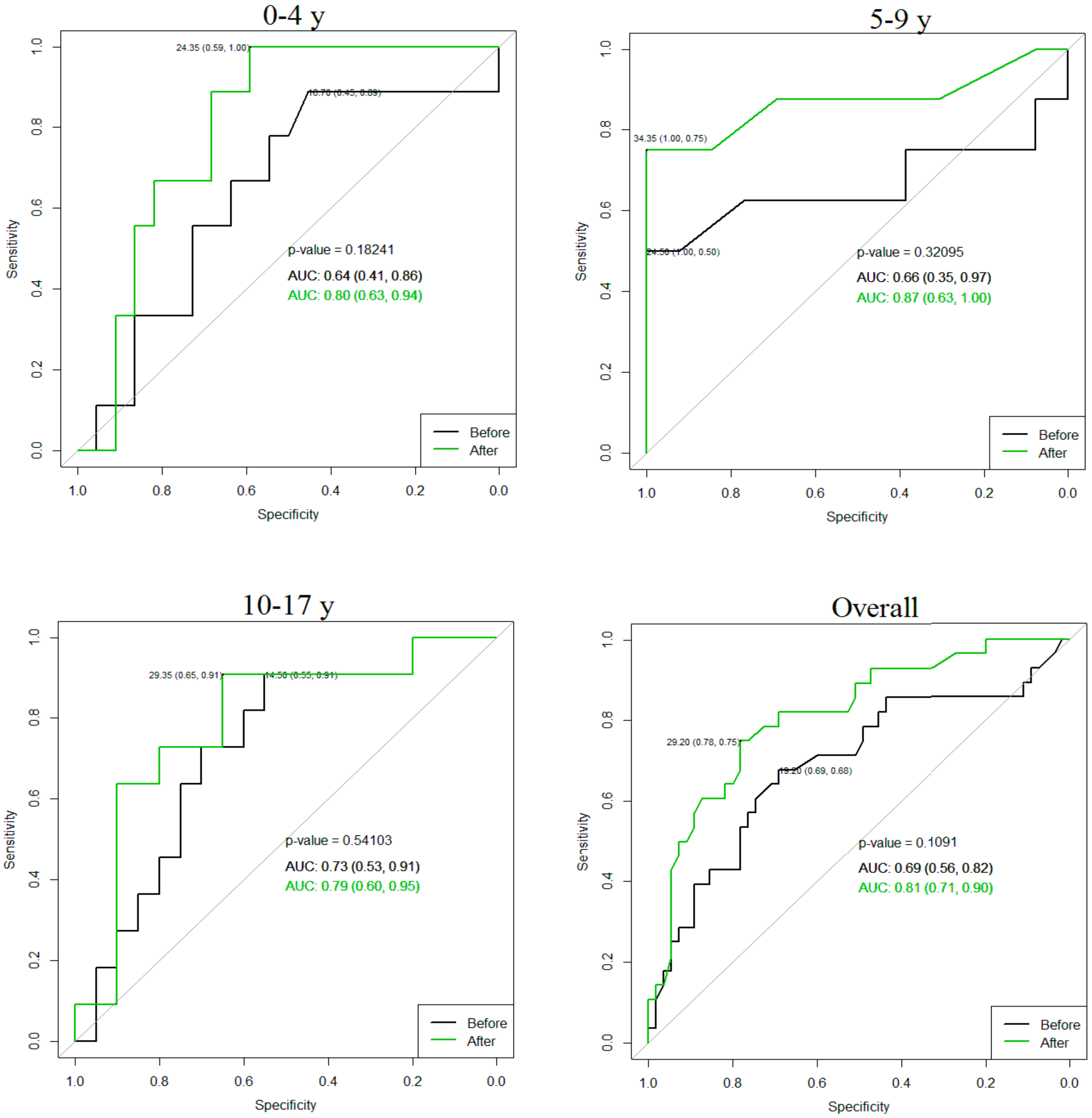
3. Results
4. Discussion
5. Conclusions
Author Contributions
Funding
Conflicts of Interest
References
- Sairam, S.; Al-Habib, A.; Sasson, S.; Thilaganathan, B. Natural history of fetal hydronephrosis diagnosed on mid-trimester ultrasound. Ultrasound Obstet. Gynecol. 2001, 17, 191–196. [Google Scholar] [CrossRef] [PubMed]
- Riccabona, M. Assessment and management of newborn hydronephrosis. World J. Urol. 2004, 22, 73–78. [Google Scholar] [CrossRef] [PubMed]
- Longpre, M.; Nguan, A.; Macneily, A.E.; Afshar, K. Prediction of the outcome of antenatally diagnosed hydronephrosis: A multivariable analysis. J. Pediatr. Urol. 2012, 8, 135–139. [Google Scholar] [CrossRef] [PubMed]
- Tam, J.C.; Hodson, E.M.; Choong, K.K.; Cass, D.T.; Cohen, R.C.; Gruenewald, S.M.; Hayden, L.J. Postnatal diagnosis and outcome of urinary tract abnormalities detected by antenatal ultrasound. Med. J. Aust. 1994, 160, 633–637. [Google Scholar] [PubMed]
- Krajewski, W.; Wojciechowska, J.; Dembowski, J.; Zdrojowy, R.; Szydełko, T. Hydronephrosis in the course of ureteropelvic junction obstruction: An underestimated problem? Current opinions on the pathogenesis, diagnosis and treatment. Adv. Clin. Exp. Med. 2017, 26, 857–864. [Google Scholar] [CrossRef] [PubMed]
- Fernbach, S.K.; Maizels, M.; Conway, J.J. Ultrasound grading of hydronephrosis: Introduction to the system used by the Society for Fetal Urology. Pediatr. Radiol. 1993, 23, 478–480. [Google Scholar] [CrossRef]
- Jamar, F.; Piret, L.; Wese, F.; Beckers, C. Influence of ureteral status on kidney washout during technetium-99m-DTPA diuresis renography in children. J. Nucl. Med. 1992, 33, 73–78. [Google Scholar]
- Jacobson, D.L.; Flink, C.C.; Johnson, E.K.; Maizels, M.; Yerkes, E.B.; Lindgren, B.W.; Liu, D.B.; Rosoklija, I.; Cheng, E.Y.; Gong, E.M. The Correlation between Serial Ultrasound and Diuretic Renography in Children with Severe Unilateral Hydronephrosis. J. Urol. 2018, 200, 440–447. [Google Scholar] [CrossRef]
- Koff, S.A.; Campbell, K. Nonoperative management of unilateral neonatal hydronephrosis. J. Urol. 1992, 148, 525–531. [Google Scholar] [CrossRef]
- Gulur, D.M.; Young, J.G.; Painter, D.J.; Keeley, F.X., Jr.; Timoney, A.G. How successful is the conservative management of pelvi-ureteric junction obstruction in adults? BJU Int. 2009, 103, 1414–1416. [Google Scholar] [CrossRef]
- Manar, M.; Linton, K.D.; Mackinnon, R.; Hall, J. Conservative management of pelvi-ureteric junction obstruction (PUJO): Is it appropriate and if so what duration of follow-up is needed? BJU Int. 2012, 110, 446–448. [Google Scholar]
- McCarthy, C.S.; Sarkar, D.; Izquierdo, G.; Dunn, E.K.; Strashun, A.N.; Herskowitz, M.; Glassberg, K.I. Pitfalls and Limitations of Diuretic Renography. Abdom. Imaging 1994, 19, 78–81. [Google Scholar] [CrossRef] [PubMed]
- Sarhan, O.M.; El Helaly, A.; Al Otay, A.H.; Al Ghanbar, M.; Nakshabandi, Z. Prenatally detected, unilateral, high-grade hydronephrosis: Can we predict the natural history? Can. Urol. Assoc. J. 2018, 12, 137–141. [Google Scholar] [CrossRef] [PubMed]
- Eskild-Jensen, A.; Gordon, I.; Piepsz, A.; Frøkiaer, J. Congenital unilateral hydronephrosis: A review of the impact of diuretic renography on clinical treatment. J. Urol. 2005, 173, 1471–1476. [Google Scholar] [CrossRef] [PubMed]
- Josephson, S. Antenatally detected, unilateral dilatation of the renal pelvis: A critical review. I. Postnatal non-operative treatment ears on—Is it safe? Scand. J. Urol. Nephrol. 2002, 36, 243–250. [Google Scholar] [CrossRef] [PubMed]
- Cornford, P.A.; Rickwood, A.M. Functional results of pyeloplasty in patients with ante-natally diagnosed pelvi-ureteric junction obstruction. Br. J. Urol. 1998, 81, 152e5. [Google Scholar] [CrossRef] [PubMed]
- Subramaniam, R.; Kouriefs, C.; Dickson, A.P. Antenatally detected pelvi-ureteric junction obstruction: Concerns about conservative management. BJU Int. 1999, 84, 335e8. [Google Scholar] [CrossRef]
- Kumar, M.; Singh, S.K.; Arora, S.; Mittal, V.; Patidar, N.; Sureka, S.K.; Ansari, M.S. Follow-up imaging after pediatric pyeloplasty. Indian J. Urol. 2016, 32, 221–226. [Google Scholar]
- Faure, A.; London, K.; Smith, G.H. Early mercaptoacetyltriglycine (MAG-3) diuretic renography results after pyeloplasty. BJU Int. 2016, 118, 790–796. [Google Scholar] [CrossRef]
- Sarin, Y.K. Is it Always Necessary to Treat an Asymptomatic Hydronephrosis Due to Ureteropelvic Junction Obstruction? Indian J. Pediatr. 2017, 84, 531–539. [Google Scholar] [CrossRef]
- Schmidt, M.; Laube, G. Primary non-surgical management of unilateral ureteropelvic junction obstruction in children: A systematic review. Pediatr. Nephrol. 2017, 32, 2203–2213. [Google Scholar]
- Ulman, I.; Jayanthi, V.R.; Koff, S.A. The long-term follow up of newborns with severe unilateral hydronephrosis initially treated nonoperatively. J. Urol. 2000, 164, 1101–1105. [Google Scholar] [CrossRef]
- Nguyen, H.T.; Herndon, C.D.; Cooper, C.; Gatti, J.; Kirsch, A.; Kokorowski, P.; Lee, R.; Perez-Brayfield, M.; Metcalfe, P.; Yerkes, E.; et al. The Society for Fetal Urology consensus statement on the evaluation and management of antenatal hydronephrosis. J. Pediatr. Urol. 2010, 6, 212–231. [Google Scholar] [CrossRef] [PubMed]
- Lee, J.N.; Kang, J.K.; Jeong, S.Y.; Lee, S.M.; Cho, M.H.; Ha, Y.S.; Kim, H.T.; Kim, T.H.; Yoo, E.S.; Kwon, T.G.; et al. Predictive value of cortical transit time on MAG3 for surgery in antenatally detected unilateralhydronephrosis caused by ureteropelvic junction stenosis. J. Pediatr. Urol. 2018, 14, 55.e1–55.e6. [Google Scholar] [CrossRef] [PubMed]
- Kiener, T.A.; Wohlmuth, C.; Schimke, C.; Brandtner, M.G.; Wertaschnigg, D. Ultrasound Markers in Fetal Hydronephrosis to Predict Postnatal Surgery. Ultraschall Med. 2018, 5. [Google Scholar] [CrossRef] [PubMed]
- Mudrik-Zohar, H.; Meizner, I.; Bar-Sever, Z.; Ben-Meir, D.; Davidovits, M. Prenatal sonographic predictors of postnatal pyeloplasty in fetuses with isolated hydronephrosis. Diagnosis 2015, 35, 142–147. [Google Scholar] [CrossRef] [PubMed]
- Kandur, Y.; Salan, A.; Guler, A.G.; Tuten, F. Diuretic renography in hydronephrosis: A retrospective single-center study. Int. Urol. Nephrol. 2018, 50, 1199–1204. [Google Scholar] [CrossRef]
- De Bessa, J., Jr.; Rodrigues, C.M.; Chammas, M.C.; Miranda, E.P.; Gomes, C.M.; Moscardi, P.R.; Bessa, M.C.; Molina, C.A.; Tiraboschi, R.B.; Netto, J.M.; et al. Diagnostic accuracy of Onen’s Alternative Grading System combined with Doppler evaluation of ureteral jets as an alternative in the diagnosis of obstructive hydronephrosis in children. Peer J. 2018, 6, e4791. [Google Scholar] [CrossRef]
- Rickard, M.; Lorenzo, A.J.; Braga, L.H. Renal Parenchyma to Hydronephrosis Area Ratio (PHAR) as a Predictor of Future Surgical Intervention for Infants with High-grade Prenatal Hydronephrosis. Urology 2017, 101, 85–89. [Google Scholar] [CrossRef]
- Akgun, V.; Battal, B.; Kocaoglu, M.; Ozcan, E.; Akay, S.; Ilgan, S. Sonographic measurement of diuretic-induced renal length changes: Are they correlated with renal function? J. Ultrasound Med. 2012, 31, 1351–1356. [Google Scholar] [CrossRef]
- Von Rundstedt, F.C.; Scovell, J.M.; Bian, S.X.; Lee, D.; Mayer, W.A.; Link, R.E. Percent of Tracer Clearance at 40 Minutes in MAG3 Renal Scans is More Sensitive Than T1/2 for Symptomatic Ureteropelvic Junction Obstruction. Urology 2017, 103, 245–250. [Google Scholar] [CrossRef] [PubMed]
- Ponto, L.L.; Schoenwald, R.D. Furosemide (frusemide). A pharmacokinetic/pharmacodynamic review (Part I). Clin. Pharmacokinet. 1990, 18, 381–408. [Google Scholar] [PubMed]


| Age (Years) N = 83 | Diuretic Status | Op (Pelvis AD mm) | Non-Op (Pelvis AD mm) | p-Value |
|---|---|---|---|---|
| 0–4 | Before | 22.0 (18.20, 25.900) | 17.5 (13.85, 22.625) | 0.1115 |
| Op 9 (29%) | After | 29.3 (26.0, 33.000) | 23.5 (18.3, 27.675) | 0.003886 * |
| Non-op 22 (71%) | Increase of AD 60 min after | 8.0 (6.200, 9.60) | 4.2 (0.025, 6.85) | 0.07684 |
| 5–9 | Before | 23.0 (14.3, 35.25) | 17.8 (13.5, 18.20) | 0.1157 |
| Op 8 (38%) | After | 39.5 (35.75, 43.7) | 26.0 (20.00, 29.0) | 0.00285 * |
| Non-op 13 (62%) | Increase of AD 60 min after | 4 (2.75, 26.4) | 8 (4.00, 11.0) | 0.572 |
| 10–17 | Before | 23.40 (19.525, 28.100) | 13.75 (10.875, 21.425) | 0.01313 * |
| Op 11 (35%) | After | 37.15 (32.8, 39.20) | 27.55 (20.4, 32.25) | 0.003213 * |
| Non op 20 (55%) | Increase of AD 60 min after | 12.60 (7.0; 16.300) | 9.35 (6.9; 12.325) | 0.1603 |
| N = 144 | Primarily Dilated RU | Primarily Non-Dilated RU | Chi-Squared Test | p-Value |
|---|---|---|---|---|
| Response to furosemide | 71 (86%) | 16 (22%) | 51.722 | <0.001 |
| No response to furosemide | 12 (14%) | 45 (74%) | ||
| Odds of reaction to furosemide | 5.92 | 0.36 |
© 2019 by the authors. Licensee MDPI, Basel, Switzerland. This article is an open access article distributed under the terms and conditions of the Creative Commons Attribution (CC BY) license (http://creativecommons.org/licenses/by/4.0/).
Share and Cite
Kazlauskas, V.; Cekuolis, A.; Bilius, V.; Anglickis, M.; Verkauskas, G. Diuretic Enhanced Ultrasonography in the Diagnosis of Pyeloureteral Obstruction. Medicina 2019, 55, 670. https://doi.org/10.3390/medicina55100670
Kazlauskas V, Cekuolis A, Bilius V, Anglickis M, Verkauskas G. Diuretic Enhanced Ultrasonography in the Diagnosis of Pyeloureteral Obstruction. Medicina. 2019; 55(10):670. https://doi.org/10.3390/medicina55100670
Chicago/Turabian StyleKazlauskas, Vytis, Andrius Cekuolis, Vytautas Bilius, Marius Anglickis, and Gilvydas Verkauskas. 2019. "Diuretic Enhanced Ultrasonography in the Diagnosis of Pyeloureteral Obstruction" Medicina 55, no. 10: 670. https://doi.org/10.3390/medicina55100670
APA StyleKazlauskas, V., Cekuolis, A., Bilius, V., Anglickis, M., & Verkauskas, G. (2019). Diuretic Enhanced Ultrasonography in the Diagnosis of Pyeloureteral Obstruction. Medicina, 55(10), 670. https://doi.org/10.3390/medicina55100670

