Inhibition of Inflammatory Regulators for Chronic Obstructive Pulmonary Disease (COPD) Treatment from Indonesian Medicinal Plants: A Systematic Review
Abstract
1. Introduction
2. Materials and Methods
2.1. Search Strategy
2.2. Inclusion and Exclusion Criteria
3. Results and Discussion
3.1. Bibliometric Analysis
3.2. The Connection Between COPD and Inflammation
3.3. Characteristics of Included Studies
3.4. In Vitro Studies
3.5. In Silico Studies
3.6. In Vivo Studies
4. Conclusions
5. Future and Prospects
Author Contributions
Funding
Acknowledgments
Conflicts of Interest
References
- WHO COVID-19 Dashboard. Available online: https://data.who.int/dashboards/covid19/deaths?n=o (accessed on 20 February 2025).
- Santiago, V.H.; Fagbamigbe, A.F.; Sullivan, F.M.; Agrawal, U.; Morales, D.; McCowan, C.; Lipworth, B. Intranasal steroid use and COVID-19 mortality among patients with asthma and COPD: A retrospective cohort study. Ann. Allergy Asthma Immunol. 2023, 131, 474–481.e2. [Google Scholar] [CrossRef]
- Gómez-Antúnez, M.; Muiño-Míguez, A.; Bacete-Cebrián, M.; Rubio-Rivas, M.; Ramos, J.M.L.; de Cossío Tejido, S.; Peris-García, J.J.; López-Caleya, J.F.; Casas-Rojo, J.M.; Millán Núñez-Cortés, J. Patients with COPD Hospitalized Due to COVID-19 in Spain: A Comparison between the First and Second Wave. Rev. Clínica Española 2023, 223, 298–309. [Google Scholar] [CrossRef]
- Pfortmueller, C.A.; Intensivist, A. Since January 2020 Elsevier has created a COVID-19 resource centre with free information in English and Mandarin on the novel coronavirus COVID-19. In The COVID-19 Resource Centre is Hosted on Elsevier Connect; The Company’ s Public News and Information; Elsevier: Amsterdam, The Netherlands, 2020. [Google Scholar]
- Hu, B.; Guo, H.; Zhou, P.; Shi, Z.L. Characteristics of SARS-CoV-2 and COVID-19. Nat. Rev. Microbiol. 2021, 19, 141–154. [Google Scholar] [CrossRef]
- Beloncle, F.M. Is COVID-19 different from other causes of acute respiratory distress syndrome? J. Intensive Med. 2023, 3, 212–219. [Google Scholar] [CrossRef] [PubMed]
- Aslan, A.; Aslan, C.; Zolbanin, N.M.; Jafari, R. Acute respiratory distress syndrome in COVID-19: Possible mechanisms and therapeutic management. Pneumonia 2021, 13, 14. [Google Scholar] [CrossRef]
- Torres Acosta, M.A.; Singer, B.D. Pathogenesis of COVID-19-induced ARDS: Implications for an ageing population. Eur. Respir. J. 2020, 56, 2002049. [Google Scholar] [CrossRef]
- Cha, S.R.; Jang, J.; Park, S.M.; Ryu, S.M.; Cho, S.J.; Yang, S.R. Cigarette Smoke-Induced Respiratory Response: Insights into Cellular Processes and Biomarkers. Antioxidants 2023, 12, 1210. [Google Scholar] [CrossRef] [PubMed]
- Lin, H.; Wang, C.; Yu, H.; Liu, Y.; Tan, L.; He, S.; Li, Z.; Wang, C.; Wang, F.; Li, P.; et al. Protective effect of total Saponins from American ginseng against cigarette smoke-induced COPD in mice based on integrated metabolomics and network pharmacology. Biomed. Pharmacother. 2022, 149, 112823. [Google Scholar] [CrossRef]
- Rahminiwati, M.; Trivadila, T.; Iswantini, D.; Takemori, H.; Koketsu, M.; Sianipar, R.N.R.; Achmadi, S.S.; Sjahriza, A.; Soebrata, B.M.; Wulanawati, A. Indonesian Medicinal Plants with Anti-inflammatory Properties and Potency as Chronic Obstructive Pulmonary Disease (COPD) Herbal Medicine. Pharmacogn. J. 2022, 14, 432–444. [Google Scholar] [CrossRef]
- Li, W.; Li, Y.; Wang, Q.; Liu, R.; Lu, J.; Lu, W.; Qin, S. Therapeutic effect of phycocyanin on chronic obstructive pulmonary disease in mice. J. Adv. Res. 2024, 66, 285–301. [Google Scholar] [CrossRef]
- Ocampo-Ortega, S.A.; Cabrera-Becerra, S.E.; Sierra-Sanchez, V.M.; García-Rubio, V.G.; Blancas-Napoles, C.M.; Romero-Nava, R.; Huang, F.; Hong, E.; Aguilera-Méndez, A.; Villafaña, S. Attenuation of Pulmonary Damage Associated with COPD in a Cadmium-Exposed Model Due to the Administration of a siRNA Targeting PAD4. Sci. Pharm. 2024, 92, 12. [Google Scholar] [CrossRef]
- Lu, Z.; Coll, P.; Maitre, B.; Epaud, R.; Lanone, S. Air pollution as an early determinant of COPD. Eur. Respir. Rev. 2022, 31, 220059. [Google Scholar] [CrossRef]
- Clarke, R.; Lundy, F.T.; McGarvey, L. Herbal treatment in asthma and COPD—Current evidence. Clin. Phytosci. 2015, 1, 4. [Google Scholar] [CrossRef]
- Panahi, Y.; Tavana, S.; Sahebkar, A.; Masoudi, H.; Madanchi, N. Impact of adjunctive therapy with Chlorella vulgaris extract on antioxidant status, pulmonary function, and clinical symptoms of patients with obstructive pulmonary diseases. Sci. Pharm. 2012, 80, 719–730. [Google Scholar] [CrossRef]
- Yasir, M.; Goyal, A.; Bansal, P.; Sonthalia, S. Corticosteroid Adverse Effects—StatPearls—NCBI Bookshelf; StatPearls: Tampa/St. Petersburg, FL, USA, 2021. [Google Scholar]
- Balkrishna, A.; Sharma, N.; Srivastava, D.; Kukreti, A.; Srivastava, S.; Arya, V. Exploring the Safety, Efficacy, and Bioactivity of Herbal Medicines: Bridging Traditional Wisdom and Modern Science in Healthcare. Futur. Integr. Med. 2024, 3, 35–49. [Google Scholar] [CrossRef]
- HOSSAIN, C.M.; GERA, M.; ALI, K.A. Current Status and Challenges of Herbal Drug Development and Regulatory Aspect: A Global Perspective. Asian J. Pharm. Clin. Res. 2022, 15, 31–41. [Google Scholar] [CrossRef]
- Gou, Z.; Yang, H.; Wang, R.; Wang, S.; Chen, Q.; Liu, Z.; Zhang, Y. A new frontier in precision medicine: Exploring the role of extracellular vesicles in chronic obstructive pulmonary disease. Biomed. Pharmacother. 2024, 174, 116443. [Google Scholar] [CrossRef]
- Tahir, A.H.; Hussain, Z.; Yousuf, H.; Fazal, F.; Tahir, M.A.; Kashif, M. Traditional Herbal Medicine and Its Clinical Relevance: A Need to Preserve the Past for the Future. J. Biosci. Med. 2022, 10, 64–75. [Google Scholar] [CrossRef]
- Antonelli, R.; Massei, V.; Ferrari, E.; Gallo, M.; Pertinhez, T.A.; Vescovi, P.; Pizzi, S.; Meleti, M. Salivary Diagnosis of Dental Caries: A Systematic Review. Curr. Issues Mol. Biol. 2024, 46, 4234–4250. [Google Scholar] [CrossRef]
- Fortis, S.; Georgopoulos, D.; Tzanakis, N.; Sciurba, F.; Zabner, J.; Comellas, A.P. Chronic obstructive pulmonary disease (COPD) and COPD-like phenotypes. Front. Med. 2024, 11, 1375457. [Google Scholar] [CrossRef]
- Bakeer, M.; Funk, G.-C.; Valipour, A. Chronic obstructive pulmonary disease phenotypes: Imprint on pharmacological and non-pharmacological therapy. Ann. Transl. Med. 2020, 8, 1472. [Google Scholar] [CrossRef] [PubMed]
- Rodrigues, S.D.O.; da Cunha, C.M.C.; Soares, G.M.V.; Silva, P.L.; Silva, A.R.; Gonçalves-De-albuquerque, C.F. Mechanisms, pathophysiology and currently proposed treatments of chronic obstructive pulmonary disease. Pharmaceuticals 2021, 14, 979. [Google Scholar] [CrossRef]
- Li, C.L.; Liu, S.F. Exploring Molecular Mechanisms and Biomarkers in COPD: An Overview of Current Advancements and Perspectives. Int. J. Mol. Sci. 2024, 25, 7347. [Google Scholar] [CrossRef]
- Kokkinis, S.; Singh, M.; Paudel, K.R.; De Rubis, G.; Bani Saeid, A.; Jessamine, V.; Datsyuk, J.; Singh, S.K.; Vishwas, S.; Adams, J.; et al. Plant-based therapeutics for chronic obstructive pulmonary diseases: Nanoformulation strategies to overcome delivery challenges. Food Biosci. 2024, 58, 103761. [Google Scholar] [CrossRef]
- Vogelmeier, C.F.; Román-Rodríguez, M.; Singh, D.; Han, M.L.K.; Rodríguez-Roisin, R.; Ferguson, G.T. Goals of COPD treatment: Focus on symptoms and exacerbations. Respir. Med. 2020, 166, 105938. [Google Scholar] [CrossRef]
- Zailani, H.; Satyanarayanan, S.K.; Liao, W.C.; Hsu, Y.T.; Huang, S.Y.; Gałecki, P.; Su, K.P.; Chang, J.P.C. Roles of Omega-3 Polyunsaturated Fatty Acids in Managing Cognitive Impairment in Chronic Obstructive Pulmonary Disease: A Review. Nutrients 2023, 15, 4363. [Google Scholar] [CrossRef] [PubMed]
- Mariniello, D.F.; D’Agnano, V.; Cennamo, D.; Conte, S.; Quarcio, G.; Notizia, L.; Pagliaro, R.; Schiattarella, A.; Salvi, R.; Bianco, A.; et al. Comorbidities in COPD: Current and Future Treatment Challenges. J. Clin. Med. 2024, 13, 743. [Google Scholar] [CrossRef]
- Rabe, K.F.; Rennard, S.; Martinez, F.J.; Celli, B.R.; Singh, D.; Papi, A.; Bafadhel, M.; Heble, J.; Radwan, A.; Soler, X.; et al. Targeting Type 2 Inflammation and Epithelial Alarmins in Chronic Obstructive Pulmonary Disease: A Biologics Outlook. Am. J. Respir. Crit. Care Med. 2023, 208, 395–405. [Google Scholar] [CrossRef]
- Ramos Jesus, F.; Correia Passos, F.; Miranda Lopes Falcão, M.; Vincenzo Sarno Filho, M.; Neves da Silva, I.L.; Santiago Moraes, A.C.; Lima Costa Neves, M.C.; Baccan, G.C. Immunosenescence and Inflammation in Chronic Obstructive Pulmonary Disease: A Systematic Review. J. Clin. Med. 2024, 13, 3449. [Google Scholar] [CrossRef]
- Cavalli, G.; Colafrancesco, S.; Emmi, G.; Imazio, M.; Lopalco, G.; Maggio, M.C.; Sota, J.; Dinarello, C.A. Interleukin 1α: A comprehensive review on the role of IL-1α in the pathogenesis and treatment of autoimmune and inflammatory diseases. Autoimmun. Rev. 2021, 20, 102763. [Google Scholar] [CrossRef]
- Shetty, B.S.P.; Chaya, S.K.; Sravan Kumar, V.; Mahendra, M.; Jayaraj, B.S.; Lokesh, K.S.; Ganguly, K.; Mahesh, P.A. Inflammatory biomarkers interleukin 1 beta (Il-1β) and tumour necrosis factor alpha (tnf-α) are differentially elevated in tobacco smoke associated copd and biomass smoke associated copd. Toxics 2021, 9, 72. [Google Scholar] [CrossRef] [PubMed]
- Emam, R.M.; Abdelfattah, R.A.; Abdelghany, E.A.E.; Aziz, M.O.A.; Abdullah, N.M.; Abdelaziz, A.O. Assessment of trace elements, systemic inflammation, and electrolytes in patients with chronic obstructive pulmonary disease. Egypt. J. Bronchol. 2023, 17, 14. [Google Scholar] [CrossRef]
- Tejwani, V.; Villabona-Rueda, A.F.; Khare, P.; Zhang, C.; Le, A.; Putcha, N.; D’Alessio, F.; Alexis, N.E.; Hansel, N.N.; Fawzy, A. Airway and Systemic Prostaglandin E2 Association with COPD Symptoms and Macrophage Phenotype. Chronic Obstr. Pulm. Dis. 2023, 10, 159–169. [Google Scholar] [CrossRef] [PubMed]
- Moussa, N.; Dayoub, N. Exploring the role of COX-2 in Alzheimer’s disease: Potential therapeutic implications of COX-2 inhibitors. Saudi Pharm. J. 2023, 31, 101729. [Google Scholar] [CrossRef]
- Yadav, R.S.; Kant, S.; Tripathi, P.M.; Pathak, A.K.; Mahdi, A.A. Transcript levels of COX-2, TNF-α, IL-6 and IL-10 in chronic obstructive pulmonary disease: An association with smoking and severity. Res. J. Biotechnol. 2022, 17, 90–97. [Google Scholar] [CrossRef]
- Eisa, M.; Fathy, M.; Nazmy, M. Potential COX2 mediated Therapeutic effect of Ciprofloxacin. Minia J. Med. Res. 2021, 32, 47–57. [Google Scholar] [CrossRef]
- Abbaszadeh, H.; Ghorbani, F.; Abbaspour-Aghdam, S.; Kamrani, A.; Valizadeh, H.; Nadiri, M.; Sadeghi, A.; Shamsasenjan, K.; Jadidi-Niaragh, F.; Roshangar, L.; et al. Chronic obstructive pulmonary disease and asthma: Mesenchymal stem cells and their extracellular vesicles as potential therapeutic tools. Stem Cell Res. Ther. 2022, 13, 262. [Google Scholar] [CrossRef]
- Kharwar, A.; Mishra, A.; Singh, V.K.; Tiwari, A.K. In silico approach to design new cyclooxygenase-2 (COX-2) inhibitors based on MM/QM and ADMET analysis. Chem. Phys. Impact 2024, 8, 100509. [Google Scholar] [CrossRef]
- Duan, J.-X.; Guan, X.-X.; Cheng, W.; Deng, D.-D.; Chen, P.; Liu, C.; Zhou, Y.; Hammock, B.D.; Yang, H.-H. COX-2/SEH-Mediated Macrophage Activation Is a Target for Pulmonary Protection in Mouse Models of Chronic Obstructive Pulmonary Disease. Lab. Investig. 2024, 104, 100319. [Google Scholar] [CrossRef]
- Lukito, E.W.; Iswantini, D.; Antariksa, B.; Rafi, M.; Wahyudi, S.T. Screening and Identification of Metabolites from Sambiloto (Andrographis paniculata) Ethanol Extract for Pro-Inflammatory Cytokines Inhibitory through In Silico and In Vitro Approaches. Pharmacogn. J. 2024, 16, 131–140. [Google Scholar] [CrossRef]
- Astuti, F.W. Analisis Potensi Ekstrak Adenostemma Lavenia dan Ageratum Conyzoides Sebagai Inhibitor Interleukin-6; Institut Pertanian Bogor: Bogor, Indonesia, 2021. [Google Scholar]
- Maeda, M.; Suzuki, M.; Fuchino, H.; Tanaka, N.; Kobayashi, T.; Isogai, R.; Batubara, I.; Iswantini, D.; Matsuno, M.; Kawahara, N.; et al. Diversity of Adenostemma lavenia, Multi-Potential Herbs, and Its Kaurenoic Acid Composition between Japan and Taiwan. J. Nat. Med. 2022, 76, 132–143. [Google Scholar] [CrossRef] [PubMed]
- Kobayashi, T.; Tanaka, N.; Suzuki, M.; Maeda, M.; Batubara, I.; Iswantini, D.; Koketsu, M.; Hamamoto, A.; Takemori, H. Adenostemmoic Acid B Suppresses NO Production by Downregulating the Expression and Inhibiting the Enzymatic Activity of INOS. Phytochem. Lett. 2022, 49, 131–137. [Google Scholar] [CrossRef]
- Tuwalaid, B.; Iswantini, D.; Tri Wahyudi, S. Potential Adenostemma lavenia and Muntingia calabura Extracts to Inhibit Cyclooxygenase-2 Activity as a Therapeutic Strategy for Anti-inflammation: Experimental and Theoretical Studies. Indones. J. Chem. 2022, 22, 754. [Google Scholar] [CrossRef]
- Lin, J.T.; Chang, Y.Y.; Chen, Y.C.; Shen, B.Y.; Yang, D.J. Molecular mechanisms of the effects of the ethanolic extract of Muntingia calabura Linn. fruit on lipopolysaccharide-induced pro-inflammatory mediators in macrophages. Food Funct. 2017, 8, 1245–1253. [Google Scholar] [CrossRef]
- Kongsomros, S.; Boonyarattanasoonthorn, T.; Phongphaew, W.; Kasorndorkbua, C.; Sunyakumthorn, P.; Im-Erbsin, R.; Lugo-Roman, L.A.; Kongratanapasert, T.; Paha, J.; Manopwisedjaroen, S.; et al. In vivo evaluation of Andrographis paniculata and Boesenbergia rotunda extract activity against SARS-CoV-2 Delta variant in Golden Syrian hamsters: Potential herbal alternative for COVID-19 treatment. J. Tradit. Complement. Med. 2024, 14, 598–610. [Google Scholar] [CrossRef] [PubMed]
- Nurhasanah, N.; Phalanisong, P.; Fadilah, F.; Bahtiar, A. Muntingia calabura Leaves Extracts to Ameliorate chronic obstruction pulmonary diseases by Inhibiting IL-17a Signaling: In silico and in vivo studies. J. Appl. Pharm. Sci. 2023, 13, 169–189. [Google Scholar] [CrossRef]
- Widyaningrum, N.R.; Wahyuningsih, S.S.; Priyono, C. Antiinflammation activity of Muntingia calabura L. leaves ethanol, ethylacetate and chloroform extracts. Nat. Sci. J. Sci. Technol. 2022, 11, 1. [Google Scholar] [CrossRef]
- Nugrahaeni, F.; Efendi, K.; Aziz, A.K. The Anti-Inflammatory Activity of Cherry Leaf Extract (Muntingia calabura L.) Balm Stick. IOP Conf. Ser. Earth Environ. Sci. 2022, 1041, 012069. [Google Scholar] [CrossRef]
- Sani, M.H.M.; Zakaria, Z.A.; Balan, T.; Teh, L.K.; Salleh, M.Z. Antinociceptive activity of methanol extract of Muntingia calabura leaves and the mechanisms of action involved. Evidence-based Complement. Altern. Med. 2012, 2012, 890361. [Google Scholar] [CrossRef]
- Preethi, K.; Premasudha, P.; Keerthana, K. Anti-inflammatory activity of Muntingia calabura fruits. Pharmacogn. J. 2012, 4, 51–56. [Google Scholar] [CrossRef]
- Xu, Z.; Ji, R.; Zha, X.; Zhao, H.; Zhou, S. The Aqueous Extracts of Ageratum conyzoides Inhibit Inflammation by Suppressing NLRP3 Inflammasome Activation. J. Ethnopharmacol. 2023, 309, 116353. [Google Scholar] [CrossRef]
- Vikasari, S.N.; Sukandar, E.Y.; Suciati, T.; Adnyana, I.K. Anti-inflammatory effect of the mixture of Ageratum conyzoides L. extract and eggshell membrane hydrolysates and in silico active compound predictions. J. Pharm. Pharmacogn. Res. 2024, 12, 972–993. [Google Scholar] [CrossRef]
- Vigil de Mello, S.V.G.; da Rosa, J.S.; Facchin, B.M.; Luz, A.B.G.; Vicente, G.; Faqueti, L.G.; Rosa, D.W.; Biavatti, M.W.; Fröde, T.S. Beneficial effect of Ageratum conyzoides Linn (Asteraceae) upon inflammatory response induced by carrageenan into the mice pleural cavity. J. Ethnopharmacol. 2016, 194, 337–347. [Google Scholar] [CrossRef] [PubMed]
- Galati, E.M.; Miceli, N.; Taviano, M.F.; Sanogo, R.; Raneri, E. Anti-inflammatory and antioxidant activity of Ageratum conyzoides. Pharm. Biol. 2001, 39, 336–339. [Google Scholar] [CrossRef]
- Samsuar, S.; Rokiban, A.; Nur, R. Fraksi Etanol Daun Sembung Rambat (Mikania micrantha Kunth) Sebagai Antiinflamasi Terhadap Tikus Putih Jantan Galur Wistar. JFL J. Farm. Lampung 1970, 7, 343444. [Google Scholar] [CrossRef]
- Deori, C.; Dutta, G.; Das, S.; Phukan, D.; Gogoi, G. To Evaluate the Anti-Inflammatory Activity of Ethanolic Extract of Leaves of Mikania Micrantha on Experimental Animal Models. J. Evol. Med. Dent. Sci. 2017, 6, 3818–3821. [Google Scholar] [CrossRef]
- Mosmann, T. Rapid Colorimetric Assay for Cellular Growth and Survival: Application to Proliferation and Cytotoxicity Assays. J. Immunol. Meth. 1983, 65, 55–63. [Google Scholar]
- Buranaamnuay, K. The MTT assay application to measure the viability of spermatozoa: A variety of the assay protocols. Open Vet. J. 2021, 11, 251–269. [Google Scholar] [CrossRef]
- Ahmad, S.; Bano, N.; Khanna, K.; Gupta, D.; Raza, K. Reporting Multitargeted Potency of Tiaprofenic Acid against Lung Cancer: Molecular Fingerprinting, MD Simulation, and MTT-Based Cell Viability Assay Studies. Int. J. Biol. Macromol. 2024, 276, 133872. [Google Scholar] [CrossRef]
- Kamiloglu, S.; Sari, G.; Ozdal, T.; Capanoglu, E. Guidelines for cell viability assays. Food Front. 2020, 1, 332–349. [Google Scholar] [CrossRef]
- Ghasemi, M.; Turnbull, T.; Sebastian, S.; Kempson, I. The mtt assay: Utility, limitations, pitfalls, and interpretation in bulk and single-cell analysis. Int. J. Mol. Sci. 2021, 22, 12827. [Google Scholar] [CrossRef] [PubMed]
- Sumaryada, T.; Pramudita, C.A. Molecular docking evaluation of some indonesian’s popular herbals for a possible COVID-19 treatment. Biointerface Res. Appl. Chem. 2021, 11, 9827–9835. [Google Scholar] [CrossRef]
- Wahyudi, S.T.; Muscifa, Z.S.; Sumaryada, T.; Ambarsari, L. Computational Simulation of Indonesian Natural Compounds as Main Protease. Indones. J. Comput. Biol. 2023, 2, 11–21. [Google Scholar]
- Agu, P.C.; Afiukwa, C.A.; Orji, O.U.; Ezeh, E.M.; Ofoke, I.H.; Ogbu, C.O.; Ugwuja, E.I.; Aja, P.M. Molecular docking as a tool for the discovery of molecular targets of nutraceuticals in diseases management. Sci. Rep. 2023, 13, 13398. [Google Scholar] [CrossRef]
- Tan, W.S.D.; Liao, W.; Zhou, S.; Wong, W.S.F. Is there a future for andrographolide to be an anti-inflammatory drug? Deciphering its major mechanisms of action. Biochem. Pharmacol. 2017, 139, 71–81. [Google Scholar] [CrossRef]
- Viranti, M.; Baroroh, U.; Astriany, D. In silico study of Andrographolide from Andrographis paniculata (Burm F.) Ness as an anti-colorectal cancer agent. J. Penelit. 2020, 21, 36–45. [Google Scholar]
- Mussard, E.; Jousselin, S.; Cesaro, A.; Legrain, B.; Lespessailles, E.; Esteve, E.; Berteina-raboin, S.; Toumi, H. Andrographis paniculata and its bioactive diterpenoids against inflammation and oxidative stress in keratinocytes. Antioxidants 2020, 9, 530. [Google Scholar] [CrossRef]
- Das, S.; Mishra, K.P.; Ganju, L.; Singh, S.B. Andrographolide—A Promising Therapeutic Agent, Negatively Regulates Glial Cell Derived Neurodegeneration of Prefrontal Cortex, Hippocampus and Working Memory Impairment; Elsevier: Amsterdam, The Netherlands, 2017; Volume 313, ISBN 9111230142. [Google Scholar]
- Kotta, J.C.; Lestari, A.B.S.; Candrasari, D.S.; Hariono, M. Medicinal Effect, in Silico Bioactivity Prediction, and Pharmaceutical Formulation of Ageratum conyzoides L.: A Review. Scientifica 2020, 2020, 6420909. [Google Scholar] [CrossRef]
- Kumar Chadalawada, P.; Boyapati, P.; Thadanki, M.L. In-silico Study And Drug Target For Anti-Inflammatory Study With COX-2 Receptor (1PXX) From Elucidated Compounds of Muntingia calabura. Int. J. Pharm. Biol. Sci. 2018, 8, 1161–1166. [Google Scholar]
- Pérez-Rial, S.; Girón-Martínez, Á.; Peces-Barba, G. Animal models of chronic obstructive pulmonary disease. Arch. Bronconeumol. 2015, 51, 121–127. [Google Scholar] [CrossRef]
- Ghorani, V.; Boskabady, M.H.; Khazdair, M.R.; Kianmeher, M. Experimental animal models for COPD: A methodological review. Tob. Induc. Dis. 2017, 15, 25. [Google Scholar] [CrossRef] [PubMed]
- Wang, L.; Pelgrim, C.E.; Peralta Marzal, L.N.; Korver, S.; van Ark, I.; Leusink-Muis, T.; van Helvoort, A.; Keshavarzian, A.; Kraneveld, A.D.; Garssen, J.; et al. Changes in intestinal homeostasis and immunity in a cigarette smoke- and LPS-induced murine model for COPD: The lung-gut axis. Am. J. Physiol. Lung Cell Mol. Physiol. 2022, 323, L266–L280. [Google Scholar] [CrossRef] [PubMed]
- Gao, H.; Tian, Y.; Wang, W. Levels of interleukin-6, superoxide dismutase and malondialdehyde in the lung tissue of a rat model of hypoxia-induced acute pulmonary edema. Exp. Ther. Med. 2016, 11, 993–997. [Google Scholar] [CrossRef]
- Kevin, M.; Widyastiti, N.S.; Budijitno, S.; Prajoko, Y.W.; Susilaningsih, N. The Protective Effect of Andrographis paniculata Against Lipopolysaccharide-induced Sepsis in Lung Tissues of a Rat Model Through the Decrease of ICAM-1 and E-selectin Expression. Indones. Biomed. J. 2023, 15, 411–419. [Google Scholar] [CrossRef]
- Sandhiutami, N.M.D.; Khairani, S.; Dewi, R.S.; Hakim, Z.R.; Pradani, A.R. Anti-Inflammatory and Analgesic Activity of Musa balbisiana Peels In Vivo. Borneo J. Pharm. 2022, 5, 81–92. [Google Scholar] [CrossRef]








| Inclusion Criteria | Exclusion Criteria |
|---|---|
|
|
| Number of Cluster | Number of Items | Items |
|---|---|---|
| 1. | 1. | Anti-inflammatory activity |
| 2. | Article | |
| 3. | Chronic Obstructive Pulmonary Disease | |
| 4. | Evaluation | |
| 5. | Inflammation | |
| 6. | Inflammatory | |
| 7. | Mechanism | |
| 8. | Selected medicinal plant | |
| 9. | Therapeutic potential | |
| 2. | 1. | Application |
| 2. | Aromatic plant | |
| 3. | Conservation | |
| 4. | Cultivation | |
| 5. | Ethnobotanical study | |
| 6. | Identification | |
| 7. | Information | |
| 8. | Medicinal | |
| 9. | Region | |
| 3. | 1. | Activity |
| 2. | Anti-inflammatory | |
| 3. | COVID-19 | |
| 4. | Indonesian medicinal plant | |
| 5. | Traditional medicinal plant | |
| 4. | 1. | Life |
| 2. | Patient | |
| 3. | Quality | |
| 5. | 1. | Essential oil |
| 6. | 1. | Production |
| 2. | Variety |
| No. | Aims of the Study | Methodology | Overall Findings | Reference |
|---|---|---|---|---|
| 1. | To investigate the anti-proinflammatory cytokines of a 98% ethanol extract of A. paniculata using in vitro and in silico methods. |
|
| Lukito et al. [43] |
| 2. | To identify bioactive compounds that can inhibit IL-6 in Adenostemma Lavenia (A. lavenia) and Ageratum conyzoides (A. conyzoides) herbs; and to verify the findings of in silico evaluation with anti-inflammatory effects of A. lavenia herb extracts in vitro and A. conyzoides herb extracts to be developed as raw material for COPD herbal medicine. |
|
| Astuti [44] |
| 3. | To investigate phylogenic and biochemical of A. lavenia from Japan and Taiwan. |
|
| Maeda et al. [45] |
| 4. | To modify the structure of Adenostemmoic acid B (AB) and to investigate the anti-inflammation activity of modified AB. | Through modifying the 19th position (carboxy: implicated in the prevention of cytotoxicity) of AB and to investigate the anti-inflammation of modified AB. |
| Kobayashi et al. [46] |
| 5. | To explore the potential utilization of plant extracts of A. lavenia and Muntingia calabura as anti-inflammatory agents in suppressing COX-2 activity using in vitro and in silico experiments. |
|
| Tuwalaid et al. [47] |
| 6. | To use an in vitro method to examine the anti-inflammatory effects of M. calabura’s ethanolic extract | Determining the productions of pro-inflammatory mediators and protein expressions iNOS and COX-2 in LPS-stimulated RAW264.7 cells. | iNOS, COX-2, NO, and pro-inflammatory cytokines (TNF-α, IL-1β, and IL-6) in RAW264.7 macrophages can all be suppressed by M. calabura ethanolic extract. | Lin et al. [48] |
| 7. | To examine the antiviral and anti-inflammatory potential of herbal extracts from Andrographis paniculata and Boesenbergia rotunda. | Applying a Golden Syrian hamster model infected with Delta, a representative variation connected to severe COVID-19. |
| Kongsomros et al. [49] |
| 8. | To investigate the connection between COPD pathophysiology and the potential of kersen (M. calabura) leaves, as well as analyze the mechanism of action of this plant as a therapeutic agent for treating COPD symptoms. |
|
| Nurhasanah et al. [50] |
| 9. | To investigate the anti-inflammatory properties of M. calabura L. leaves extract. | Using ethanolic, ethyl acetate, and chloroform solvents and observing a reduction in edema mice after 4 h of 1% carrageenan induction. | The ethanolic extract of M. calabura leaves exhibited anti-inflammatory properties. Since the results were nearly identical to the positive control (acetosal), the dose of 240 mg/kg BW was the most effective. | Widyaningrum et al. [51] |
| 10. | To investigate the balm stick of M. calabura leaves extract’s topical anti-inflammatory properties. | Carrageenan-induced male white rats to investigate the anti-inflammatory effects of M. calabura leaves extract at different concentrations of 2.5%, 5%, and 10%. | Balm stick with a concentration of 10% extract demonstrated the highest anti-inflammatory action of more than 50% (95.83%). | Nugrahaeni et al. [52] |
| 11. | To investigate the effect of the nitric oxide/cyclic-guanosine monophosphate (NO/cGMP) pathway in modulating the antinociceptive action of the methanol extract of M. calabura leaves (MEMC). | Mice (n = 6) were pretreated with 20 mg/kg L-arginine for 5 min before receiving 10% DMSO or MEMC (500 mg/kg). Mice were given an intraperitoneal injection of 0.6% acetic acid 60 min after receiving test solutions. | The peripheral and central processes are activated, and the NO/cGMP pathway and opioid receptors are partially modulated, as part of the MEMC antinociceptive implementation. | Sani et al. [53] |
| 12. | To investigate the anti-inflammatory activity from the fruits of M. calabura. | In three hours, the methanolic fruit extracts decreased the edema caused by carrageenan in the hind paws of adult male Wistar Albino rats. The activity was contrasted with the activity of a common drug known as indomethacin. | The greatest percentage of inhibition (6243%) occurs at an extract concentration of 300 mg/kg, whereas the standard is 80.48%. | Preethi et al. [54] |
| 13. | To identify how EAC (aqueous extracts of A. conyzoides leaf) works as an anti-inflammatory. |
|
| Xu et al. [55] |
| 14. | To determine the anti-inflammatory properties of eggshell membrane hydrolysates and A. conyzoides extract in vivo. | Using diclofenac-Na as a reference, the long-term anti-inflammatory effects of A. conyzoides extract and eggshell membrane hydrolysates were assessed in rats given cotton pellets. | Eggshell membrane hydrolysates and extract from A. conyzoides function in combination to reduce the severity of chronic inflammation. | Vikasari et al. [56] |
| 15. | The crude extract (CE), its derived fractions (ethanol (EtOH-F), hexane (HEX-F), ethyl acetate (EtOAc-F), and dichloromethane (DCM-F), as well as isolated compounds like 5′-methoxy nobiletin (MeONOB), 1,2-benzopyrone, and eupalestin, which are obtained from the aerial parts of A. conyzoides L., were evaluated for their anti-inflammatory properties. | Using an animal model of carrageenan-induced inflammation. The five main inflammatory markers examined were TNF-α, IL-10, IL-17A, IL-6, and leukocyte inflow. | Isolated compounds are substantially reduced TNF-α, IL-17A, and IL-6. | Vigil de Mello et al. [57] |
| 16. | To determine the effect of methanol extract of A. conyzoides and flavonoid fraction from the plant’s aerial component on carrageenan-induced edema in rats. | Edema was generated in each rat’s right hind paw by a subplantar injection of 0.05 mL of a 1% carrageenan suspension. The methanol extract and flavonoid fraction were provided 1 h before carrageenan injection, at a dose equivalent to 500 mg/kg of dried medication. A water plethysmometer was used to measure the volume of each paw. | The methanol extract of A. conyzoides inhibits 58.71% ± 0.0430 carrageenan-induced sub-plantar edema in rats for 60 min, whereas flavonoid fraction is 59.97% ± 0.0187. | Galati et al. [58] |
| 17. | To investigate the implications of ethanol fraction on sembung rambat (Mikania micrantha Kunth) as an anti-inflammatory on male white rats of the wistar strain. | Following the extraction, additional fractionation is performed. The resulting fraction was subsequently administered at three doses: 112.5 mg/kgBW, 225 mg/kgBW, and 450 mg/kgBW. | Male white rats of the wistar strain showed anti-inflammatory effects from the ethanol portion of caustic granules. The optimal dosage is 450 mg/kgBW, with an average area under the curve (AUC) of 11.22 mm.s. | Samsuar et al. [59] |
| 18. | To determine the anti-inflammatory properties of the ethanolic extracts of Mikania micrantha leaves (EEMM) on experimental animals with adjuvant-induced chronic arthritis, granuloma-pouch technique, and carrageenan-induced rat paw edema. |
| EEMM at doses of 200–400 mg/kg significantly reduced paw oedema in carrageenan-induced acute and sub-acute inflammation compared to control (p < 0.05). EEMM works in the chronic arthritis model in a dose-dependent way. | Deori et al. [60] |
| No. | Compounds | Probability Score | Chemical Structure |
|---|---|---|---|
| 1. | Ent-11α-hydroxy-15-oxo-kaur-16-en-19-oic acid | 0.688690476 | ![]() |
| 2. | 4-O-[3-acetyl-1-(trimethylsilyl)-1h-indolyl]-D-glucose | 0.616309524 | ![]() |
| 3. | 6,7-Dihydro-3-nitro-5h-cyclopenta[b]pyridine-2(1h)-one | 0.579642857 | ![]() |
| 4. | 5H-cyclopenta[b]pyridine | 0.530434343 | ![]() |
| No. | Compounds | Probability Score | Chemical Structure |
|---|---|---|---|
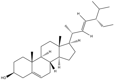
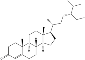
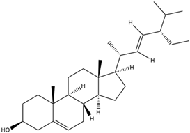
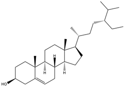
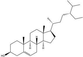
| 1. | 22,23-Dihydrospinasterol | 0.7262 | ![]() |
| 2. | Spinasterol | 0.7248 | ![]() |
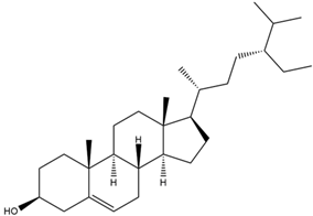
| 3. | β-sitosterol | 0.7112 | ![]() |
| 4. | Brassicasterol | 0.7098 | ![]() |
| 5. | Stigmasterol | 0.7098 | ![]() |
| No. | Compounds | Receptor 1 | Receptor 2 | Receptor 3 | Receptor 4 | Chemical Structure | ||||
|---|---|---|---|---|---|---|---|---|---|---|
| COX-2 | Binding Energy (kcal/mol) | TNF-α | Binding Energy (kcal/mol) | IL-1β | Binding Energy (kcal/mol) | IL-6 | Binding Energy (kcal/mol) | |||
| 1 | 1a,9b-Dihydro-1H-cyclopropa[a]anthracene | ✓ | −8.7 | ✓ | −7.7 | ✓ | −6.9 | ✓ | −6.2 | ![]() |
| 2 | Biphenyl, 3,4-Diethyl | ✓ | −8.7 | ✓ | −7.4 | ✓ | −6.2 | ✓ | −6.2 | ![]() |
| 3 | 3,6-Dimethylphenanthrene | ✓ | −8.3 | ✓ | −7.8 | ✓ | −6.9 | ✓ | −6.5 | ![]() |
| 4 | Diclofenac | ✓ | −8.1 | ND | ND | ND | ND | ND | ND | ![]() |
| 5 | Linoleic acid | ✓ | −7.0 | ND | ND | ND | ND | ND | ND | ![]() |
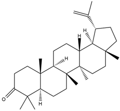
| 6 | ent-11α-hydroxy-15-oxo-kaur-16-en-19-oic acid | ND | ND | ✓ | −9 | ✓ | −7.1 | ✓ | −7.1 | ![]() |
| 7 | 1-cyano-3-methylisoquinoline | ND | ND | ✓ | −7.5 | ✓ | −6.2 | ✓ | −6 | ![]() |
| No. | Compounds | Receptor 1 | Receptor 2 | Receptor 3 | Receptor 4 | Chemical Structure | ||||
|---|---|---|---|---|---|---|---|---|---|---|
| COX-2 | Binding Energy (kcal/mol) | TNF-α | Binding Energy (kcal/mol) | IL-1β | Binding Energy (kcal/mol) | IL-6 | Binding Energy (kcal/mol) | |||
| 1 | 7-Hydroxyflavone | ✓ | −9.1 | ND | ND | ND | ND | ND | ND | ![]() |
| 2 | 7-Hydroxyisoflavone | ✓ | −9.0 | ND | ND | ND | ND | ND | ND | ![]() |
| 3 | 8-Hydroxy-6-methoxyflavone | ✓ | −9.0 | ND | ND | ND | ND | ND | ND | ![]() |
| 4 | (2S)-7-Hydroxyflavanone | ✓ | −8.9 | ND | ND | ND | ND | ✓ | −6.7 | ![]() |
| 5 | 5,7-Dihydroxyflavone | ✓ | −8.9 | ND | ND | ND | ND | ND | ND | ![]() |
| 6 | Diclofenac | ✓ | −8.1 | ND | ND | ND | ND | ND | ND | ![]() |
| 7 | β-Amyrenone | ND | ND | ✓ | −9.2 | ✓ | −9.1 | ✓ | −7.8 | ![]() |
| 8 | Lupenone | ND | ND | ✓ | −9.1 | ✓ | −9.0 | ✓ | −7.9 | ![]() |
| 9 | Stigmasterol | ND | ND | ✓ | −9.0 | ✓ | −7.1 | ![]() | ||
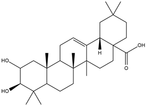
| 10 | 2alpha,3beta-Dihydroxy-olean-12-en-28-oic acid | ND | ND | ✓ | −8.5 | ✓ | −8.2 | ✓ | −7.5 | ![]() |
| 11 | β-Sitosterol | ND | ND | ✓ | −8.4 | ND | ND | ND | ND | ![]() |
| 12 | β-Sitostenone | ND | ND | ND | ND | ✓ | −7.5 | ND | ND | ![]() |
| 13 | (2S)-5-Hydroxy-7-methoxyflavanone | ND | ND | ND | ND | ✓ | −7.4 | ND | ND | ![]() |
Disclaimer/Publisher’s Note: The statements, opinions and data contained in all publications are solely those of the individual author(s) and contributor(s) and not of MDPI and/or the editor(s). MDPI and/or the editor(s) disclaim responsibility for any injury to people or property resulting from any ideas, methods, instructions or products referred to in the content. |
© 2025 by the authors. Licensee MDPI, Basel, Switzerland. This article is an open access article distributed under the terms and conditions of the Creative Commons Attribution (CC BY) license (https://creativecommons.org/licenses/by/4.0/).
Share and Cite
Iswantini, D.; Rahminiwati, M.; Trivadila, T.; Sadiah, S.; Hanif, N.; Sianipar, R.N.R.; Indariani, S. Inhibition of Inflammatory Regulators for Chronic Obstructive Pulmonary Disease (COPD) Treatment from Indonesian Medicinal Plants: A Systematic Review. Curr. Issues Mol. Biol. 2025, 47, 262. https://doi.org/10.3390/cimb47040262
Iswantini D, Rahminiwati M, Trivadila T, Sadiah S, Hanif N, Sianipar RNR, Indariani S. Inhibition of Inflammatory Regulators for Chronic Obstructive Pulmonary Disease (COPD) Treatment from Indonesian Medicinal Plants: A Systematic Review. Current Issues in Molecular Biology. 2025; 47(4):262. https://doi.org/10.3390/cimb47040262
Chicago/Turabian StyleIswantini, Dyah, Min Rahminiwati, Trivadila Trivadila, Siti Sadiah, Novriyandi Hanif, Rut Novalia Rahmawati Sianipar, and Susi Indariani. 2025. "Inhibition of Inflammatory Regulators for Chronic Obstructive Pulmonary Disease (COPD) Treatment from Indonesian Medicinal Plants: A Systematic Review" Current Issues in Molecular Biology 47, no. 4: 262. https://doi.org/10.3390/cimb47040262
APA StyleIswantini, D., Rahminiwati, M., Trivadila, T., Sadiah, S., Hanif, N., Sianipar, R. N. R., & Indariani, S. (2025). Inhibition of Inflammatory Regulators for Chronic Obstructive Pulmonary Disease (COPD) Treatment from Indonesian Medicinal Plants: A Systematic Review. Current Issues in Molecular Biology, 47(4), 262. https://doi.org/10.3390/cimb47040262






























