Antioxidant and Anti-Inflammatory Activities from Optimum Formula of Spatholobus littoralis Hassk. and Sauropus androgynus L.: In Vitro and In Silico Studies
Abstract
1. Introduction
2. Materials and Methods
2.1. Plant Collection
2.2. Formulation Optimization Using RSM-SLD
2.3. Determination of DPPH Antioxidant Activity
2.4. Model Verification
2.5. Determination of Extract Toxicity and Optimum Formula Using the BSLT Method
2.6. Determination of Inhibition of Extract Optimum and Optimum Formula Against COX-2 Activity (In Vitro)
2.7. Statistical Analysis
2.8. In Silico Methods
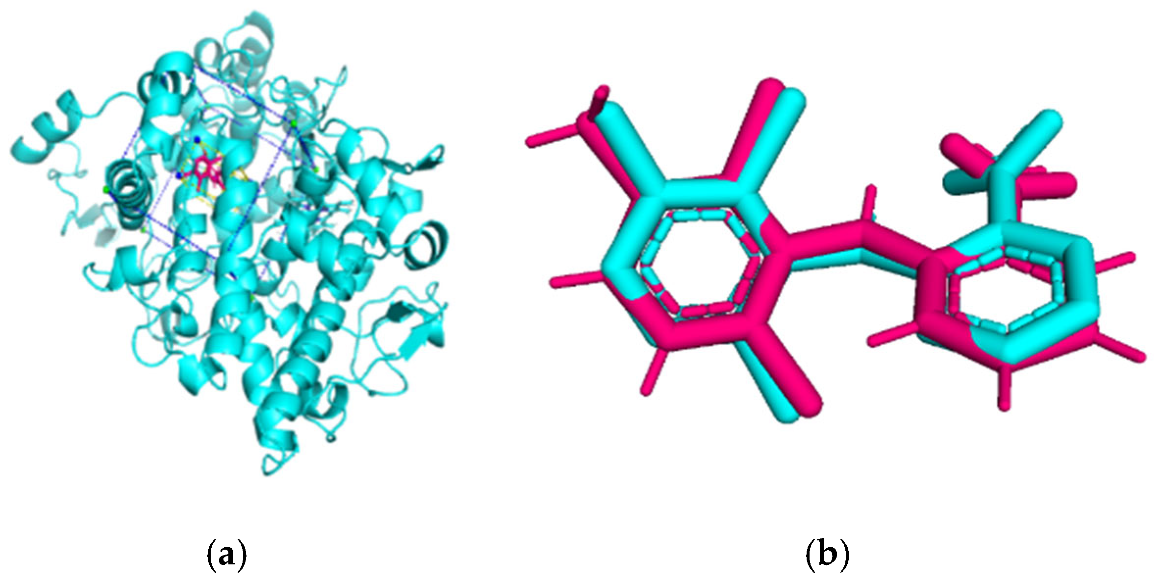
2.8.1. Validation of Molecular Docking: Re-Docking
2.8.2. Cross-Docking
2.8.3. Analysis of LigPlot+
2.8.4. Ligand Preparation
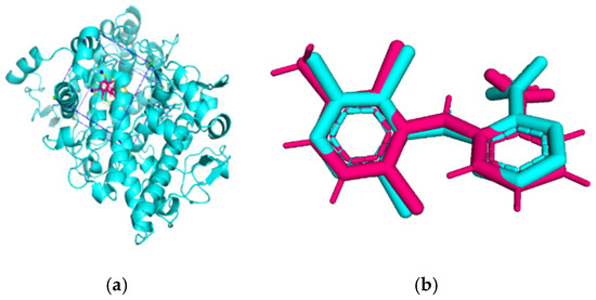
2.8.5. Visualization and Interaction of Molecular Docking
3. Results and Discussion
3.1. Formulation Optimization: Effect of Optimum Extract Concentration Factor on DPPH Antioxidant, Model Fitting, and Verification of Extraction Optimization
3.2. Using Brine Shrimp Lethality Test (BSLT) to Determine Toxicity of Optimum Extract and Formula
3.3. Inhibitory Activity of Extract and Optimum Formula Against COX-2
3.4. Molecular Docking Analysis
4. Conclusions
Author Contributions
Funding
Institutional Review Board Statement
Informed Consent Statement
Data Availability Statement
Acknowledgments
Conflicts of Interest
References
- Khan, J.; Gharai, P.K.; Garg, S.; Gupta, S.; Arshi, M.U.; Mallesh, R.; Ghosh, S. Discovery of Powerful Multifaceted Antioxidant for Combating Oxidative Stress Associated with Neurodegenerative Disorders. Acta Pharm. Sin. B 2025, 15, 4844–4871. [Google Scholar] [CrossRef]
- Chaudhary, P.; Janmeda, P.; Docea, A.O.; Yeskaliyeva, B.; Abdull Razis, A.F.; Modu, B.; Calina, D.; Sharifi-Rad, J. Oxidative Stress, Free Radicals and Antioxidants: Potential Crosstalk in the Pathophysiology of Human Diseases. Front. Chem. 2023, 11, 1158198. [Google Scholar] [CrossRef]
- Zhang, C.; Li, H.; Li, J.; Hu, J.; Yang, K.; Tao, L. Oxidative Stress: A Common Pathological State in a High-Risk Population for Osteoporosis. Biomed. Pharmacother. 2023, 163, 114834. [Google Scholar] [CrossRef]
- Martemucci, G.; Costagliola, C.; Mariano, M.; D’andrea, L.; Napolitano, P.; D’Alessandro, A.G. Free Radical Properties, Source and Targets, Antioxidant Consumption and Health. Oxygen 2022, 2, 48–78. [Google Scholar] [CrossRef]
- Jomova, K.; Raptova, R.; Alomar, S.Y.; Alwasel, S.H.; Nepovimova, E.; Kuca, K.; Valko, M. Reactive Oxygen Species, Toxicity, Oxidative Stress, and Antioxidants: Chronic Diseases and Aging; Springer: Berlin/Heidelberg, Germany, 2023; Volume 97, ISBN 0123456789. [Google Scholar]
- Wang, C.; Ge, F.; Ge, F.; Xu, Z.; Jiang, J. Harnessing Stem Cell Therapeutics in LPS-Induced Animal Models: Mechanisms, Efficacies, and Future Directions. Stem Cell Res. Ther. 2025, 16, 176. [Google Scholar] [CrossRef]
- Torres, H.M.; Arnold, K.M.; Oviedo, M.; Westendorf, J.J.; Weaver, S.R. Inflammatory Processes Affecting Bone Health and Repair. Curr. Osteoporos. Rep. 2023, 21, 842–853. [Google Scholar] [CrossRef]
- Zhang, L.; Zheng, Y.L.; Wang, R.; Wang, X.Q.; Zhang, H. Exercise for Osteoporosis: A Literature Review of Pathology and Mechanism. Front. Immunol. 2022, 13, 1005665. [Google Scholar] [CrossRef]
- Sharma, A.R.; Lee, Y.; Bat-ulzii, A.; Chatterjee, S.; Bhattacharya, M.; Chakraborty, C.; Lee, S. Bioactivity, Molecular Mechanism, and Targeted Delivery of Flavonoids for Bone Loss. Nutrients 2023, 15, 919. [Google Scholar] [CrossRef]
- Barańska, A.; Kanadys, W.; Bogdan, M.; Stępień, E.; Barczyński, B.; Kłak, A.; Augustynowicz, A.; Szajnik, M.; Religioni, U. The Role of Soy Isoflavones in the Prevention of Bone Loss in Postmenopausal Women: A Systematic Review with Meta-Analysis of Randomized Controlled Trials. J. Clin. Med. 2022, 11, 4676. [Google Scholar] [CrossRef]
- Zahra, M.; Abrahamse, H.; George, B.P. Flavonoids: Antioxidant Powerhouses and Their Role in Nanomedicine. Antioxidants 2024, 13, 922. [Google Scholar] [CrossRef]
- Karimi, S.M.; Bayat, M.; Rahimi, R. Plant-Derived Natural Medicines for the Management of Osteoporosis: A Comprehensive Review of Clinical Trials. J. Tradit. Complement. Med. 2024, 14, 1–18. [Google Scholar] [CrossRef]
- Pradubyat, N.; Wunnakup, T.; Praparatana, R.; Wongwiwatthananukit, S.; Jongrungruangchok, S.; Songsak, T.; Madaka, F.; Sudsai, T. Evaluation of Antioxidant and Anti-Inflammatory Properties, Bioactive Compound Profiling, and Molecular Mechanisms of a Multicomponent Thai Herbal Formulation. Phytomed. Plus 2024, 4, 100662. [Google Scholar] [CrossRef]
- Sianipar, R.N.R.; Iswantini, D.; Charlena, C.; Wahyudi, S.T.; Prasetyo, J. Phytoestrogens Therapy for Osteoporosis Treatment Using Indonesian Medicinal Plants: A Brief Review. Sci. Technol. Indones. 2024, 9, 949–964. [Google Scholar] [CrossRef]
- Sianipar, R.N.R.; Iswantini, D.; Charlena, C.; Tri, S. Simultaneous Optimization of Extraction Yield, Flavonoid, and Phenolic Compounds from Spatholobus littoralis Hassk and Sauropus androgynus L. Using Response Surface Methodology. Iran. J. Chem. Chem. Eng. (IJCCE) 2025, 44, 3007–3029. [Google Scholar] [CrossRef]
- Cendrowski, A.; Studnicki, M. Applied Sciences Impact of Different Solvents and Temperatures on the Extraction of Bioactive Compounds from Rose Fruits (Rosa rugosa) Pomace. Appl. Sci. 2024, 14, 691. [Google Scholar] [CrossRef]
- Plaskova, A.; Mlcek, J. New Insights of the Application of Water or Ethanol-Water Plant Extract Rich in Active Compounds in Food. Front. Nutr. 2023, 10, 1118761. [Google Scholar] [CrossRef]
- Rafi, M.; Hasanah, T.; Karomah, A.H.; Mulyati, A.H.; Trivadila; Rahminiwati, M.; Achmadi, S.S.; Iswantini, D. FTIR- and UHPLC-Q-Orbitrap HRMS-Based Metabolomics of Sonchus arvensis Extracts and Evaluation of Their Free Radical Scavenging Activity. Sains Malays. 2022, 51, 3261–3269. [Google Scholar] [CrossRef]
- Meyer, B.N.; Ferrigni, N.R.; Putnam, J.E.; Jacobsen, L.B.; Nichols, D.E.; McLaughlin, J.L. Brine Shrimp: A Convenient General Bioassay for Active Plant Constituents. Planta Med. 1982, 45, 31–34. [Google Scholar] [CrossRef]
- Tuwalaid, B.; Iswantini, D.; Tri Wahyudi, S. Potential Adenostemma lavenia and Muntingia calabura Extracts to Inhibit Cyclooxygenase-2 Activity as a Therapeutic Strategy for Anti-Inflammation: Experimental and Theoretical Studies. Indones. J. Chem. 2022, 22, 754. [Google Scholar] [CrossRef]
- Kamboj, A.; Chopra, R.; Singh, R.; Saxena, V.; GV, P.K. Effect of Pulsed Electric Field Parameters on the Alkaline Extraction of Valuable Compounds from Perilla Seed Meal and Optimization by Central Composite Design Approach. Appl. Food Res. 2022, 2, 100240. [Google Scholar] [CrossRef]
- Cui, L.; Ma, Z.; Wang, D.; Niu, Y. Ultrasound-Assisted Extraction, Optimization, Isolation, and Antioxidant Activity Analysis of Flavonoids from Astragalus membranaceus Stems and Leaves. Ultrason. Sonochem. 2022, 90, 106190. [Google Scholar] [CrossRef]
- Noorulla, K.M.; Doyo Dalecha, D.; Jemal Haji, M.; S, R.; Arumugam, M.; Zafar, A.; Gadisa Gobena, W.; Mekit, S.; Haji Negawo, H.; Hussein, M.; et al. Syrupy Herbal Formulation of Green Bean Pod Extract of Phaseolus vulgaris L.: Formulation Optimization by Central Composite Design, and Evaluation for Anti-Urolithiatic Activity. Heliyon 2024, 10, e27330. [Google Scholar] [CrossRef]
- Nurcholis, W.; Safithri, M.; Marliani, N.; Iqbal, M. Response Surface Modeling to Optimize Sonication Extraction with the Maceration Method for the Phenolic Content and Antioxidant Activity of Justicia gendarussa Burm f. J. Appl. Pharm. Sci. 2023, 13, 181–187. [Google Scholar] [CrossRef]
- Juliana, D.; Aisyah, S.I.; Priosoeryanto, B.P.; Nurcholis, W. Optimization of Cardamom (Amomum compactum) Fruit Extraction Using the Box–Behnken Design Focused on Polyphenol Extraction with Antioxidant Activity. J. Appl. Pharm. Sci. 2022, 12, 194–209. [Google Scholar] [CrossRef]
- Boateng, I.D.; Mustapha, A.; Kuehnel, L.; Daubert, C.R.; Kumar, R.; Agliata, J.; Flint-Garcia, S.; Wan, C.; Somavat, P. From Purple Corn Waste (Pericarp) to Polyphenol-Rich Extract with Higher Bioactive Contents and Superior Product Qualities Using Two-Step Optimization Techniques. Ind. Crops Prod. 2023, 200, 116871. [Google Scholar] [CrossRef]
- Rahminiwati, M.; Sianipar, R.N.R.; Sutriah, K.; Iswantini, D.; Trivadila, T.; Achmadi, S.S.; Sulistyawan, I.H. Optimization of Xanthine Oxidase Activity, Phytochemical Screening, Toxicity Assay, and Antigout Activity of Spatholobus littoralis Hassk. Extract. Pharmacogn. J. 2023, 15, 258–269. [Google Scholar] [CrossRef]
- Lima, L.R.; Andrade, F.K.; Alves, D.R.; de Morais, S.M.; Vieira, R.S. Anti-Acetylcholinesterase and Toxicity against Artemia Salina of Chitosan Microparticles Loaded with Essential Oils of Cymbopogon flexuosus, Pelargonium x ssp and Copaifera officinalis. Int. J. Biol. Macromol. 2021, 167, 1361–1370. [Google Scholar] [CrossRef] [PubMed]
- López-Rosas, C.A.; González-Periañez, S.; Pawar, T.J.; Zurutuza-Lorméndez, J.I.; Ramos-Morales, F.R.; Olivares-Romero, J.L.; Saavedra Vélez, M.V.; Hernández-Rosas, F. Anticonvulsant Potential and Toxicological Profile of Verbesina persicifolia Leaf Extracts: Evaluation in Zebrafish Seizure and Artemia salina Toxicity Models. Plants 2025, 14, 78. [Google Scholar] [CrossRef] [PubMed]
- Sagrin, M.S.; Lasano, N.F.; Shukri, R.; Ramli, N.S. Antioxidant Properties and Toxicity Assessment of the Crescentia Cujete Extracts in Brine Shrimp (Artemia salina). Sains Malays. 2019, 48, 831–840. [Google Scholar] [CrossRef]
- Fadhli, H.; Rahmayanı, W.; Allaya, R.; Jumadila, I.M.; Fernando, A.; Utami, R. Cytotoxic Activity of Isolate Compounds from Derendan (Lansium parasiticum (Osbeck) K.C. Sahni & Bennet) Fruit Peel. J. Ilmu Kefarmasian Indones. 2024, 22, 15. [Google Scholar] [CrossRef]
- Carolina de Almeida, M.; Machado, M.R.; Costa, G.G.; de Oliveira, G.A.R.; Nunes, H.F.; Maciel Costa Veloso, D.F.; Ishizawa, T.A.; Pereira, J.; Ferreira de Oliveira, T. Influence of Different Concentrations of Plasticizer Diethyl Phthalate (DEP) on Toxicity of Lactuca sativa Seeds, Artemia salina and Zebrafish. Heliyon 2023, 9, e18855. [Google Scholar] [CrossRef] [PubMed]
- Jomova, K.; Alomar, S.Y.; Valko, R.; Liska, J.; Nepovimova, E.; Kuca, K.; Valko, M. Flavonoids and Their Role in Oxidative Stress, Inflammation, and Human Diseases. Chem. Biol. Interact. 2025, 413, 111489. [Google Scholar] [CrossRef]
- Ju, Z.; Li, M.; Xu, J.; Howell, D.C.; Li, Z.; Chen, F.E. Recent Development on COX-2 Inhibitors as Promising Anti-Inflammatory Agents: The Past 10 Years. Acta Pharm. Sin. B 2022, 12, 2790–2807. [Google Scholar] [CrossRef]
- Shamsudin, N.F.; Ahmed, Q.U.; Mahmood, S.; Adnan, S.; Shah, A.; Sarian, M.N.; Muzaffar, M.; Khan, A.; Khatib, A.; Sukarni, A.; et al. Flavonoids as Antidiabetic and Anti-Inflammatory Agents: A Review on Structural Activity Relationship-Based Studies and Meta-Analysis. Int. J. Mol. Sci. 2022, 23, 12605. [Google Scholar] [CrossRef]
- Alharbi, H.O.A.; Alshebremi, M.; Babiker, A.Y.; Rahmani, A.H. The Role of Quercetin, a Flavonoid in the Management of Pathogenesis Through Regulation of Oxidative Stress, Inflammation, and Biological Activities. Biomolecules 2025, 15, 151. [Google Scholar] [CrossRef]
- Maskur, S.K.; Tahir, M.; Razak, R. In Vitro Anti-Inflammatory Activity of Bajakah Tampala Root (Spatholobus littoralis Hassk.). Pharm. Rep. 2025, 4, 25–30. [Google Scholar]
- Andari, D.; Khan, F.I.; Jakfar, S.I. Methanol Extract of Katuk (Sauropus androgynus) Leaves as an Anti-Inflammatory Agent: Animal Study in Carrageenan-Induced Rat Models of Inflammation. Mol. Cell. Biomed. Sci. 2022, 6, 129. [Google Scholar] [CrossRef]
- Nastati, K.; Nugraha, D.F. Anti-Inflammatory Activity of Bajakah Wood Extract (Spatholobus littoralis Hask). J. Surya Med. 2022, 7, 45–50. [Google Scholar] [CrossRef]
- Kashyap, M.; Gupta, S.; Bansal, Y.; Bansal, G. 2D—QSAR Driven Design, Molecular Docking, Molecular Dynamics Simulation and MM/GBSA Studies on Quinazoline Derivatives for Development of VEGFR—2 Inhibitors. Discov. Chem. 2025, 2, 111. [Google Scholar] [CrossRef]
- Che, X.; Liu, Q.; Zhang, L. An Accurate and Universal Protein-Small Molecule Batch Docking Solution Using Autodock Vina. Results Eng. 2023, 19, 101335. [Google Scholar] [CrossRef]
- Wu, K.; Kwon, S.H.; Zhou, X.; Fuller, C.; Wang, X.; Vadgama, J.; Wu, Y. Overcoming Challenges in Small-Molecule Drug Bioavailability: A Review of Key Factors and Approaches. Int. J. Mol. Sci. 2024, 25, 13121. [Google Scholar] [CrossRef]
- Ibeyaima, A.; Loying, R.; Manna, P. Prediction of the Toxicity, Bioavailability, Pharmacokinetics, and Lipinski Rule of 5 in the Antidiabetic Compounds: A Computer Based Investigation. Silico Res. Biomed. 2025, 1, 100026. [Google Scholar] [CrossRef]
- Jayusman, P.A.; Nasruddin, N.S.; Baharin, B.; Ibrahim, N.I.; Ahmad Hairi, H.; Shuid, A.N. Overview on Postmenopausal Osteoporosis and Periodontitis: The Therapeutic Potential of Phytoestrogens against Alveolar Bone Loss. Front. Pharmacol. 2023, 14, 1120457. [Google Scholar] [CrossRef]
- Bellavia, D.; Dimarco, E.; Costa, V.; Carina, V.; De Luca, A.; Raimondi, L.; Fini, M.; Gentile, C.; Caradonna, F.; Giavaresi, G. Flavonoids in Bone Erosive Diseases: Perspectives in Osteoporosis Treatment. Trends Endocrinol. Metab. 2021, 32, 76–94. [Google Scholar] [CrossRef]
- Feehan, O.; Magee, P.J.; Pourshahidi, L.K.; Armstrong, D.J.; Slevin, M.M.; Allsopp, P.J.; Conway, M.C.; Strain, J.J.; McSorley, E.M. Associations of Long Chain Polyunsaturated Fatty Acids with Bone Mineral Density and Bone Turnover in Postmenopausal Women. Eur. J. Nutr. 2023, 62, 95–104. [Google Scholar] [CrossRef] [PubMed]
- Murthy, H.N.; Yadav, G.G.; Joseph, K.S.; HS, S.K.; Magi, S.M.; Dewir, Y.H.; Mendler-Drienyovszki, N. Nutritional Value, Fatty Acid and Phytochemical Composition, and Antioxidant Properties of Mysore Fig (Ficus drupacea Thunb.) Fruits. Foods 2024, 13, 2845. [Google Scholar] [CrossRef] [PubMed]
- Mantiniotou, M.; Athanasiadis, V.; Kalompatsios, D.; Bozinou, E.; Lalas, S.I. Therapeutic Capabilities of Triterpenes and Triterpenoids in Immune and Inflammatory Processes: A Review. Compounds 2025, 5, 2. [Google Scholar] [CrossRef]
- Gao, T.; Yu, C.; Shi, X.; Hu, Y.; Chang, Y.; Zhang, J.; Wang, Y.; Zhai, Z.; Jia, X.; Mao, Y. Artemisinic Acid Attenuates Osteoclast Formation and Titanium Particle-Induced Osteolysis via Inhibition of RANKL-Induced ROS Accumulation and MAPK and NF-ΚB Signaling Pathways. Front. Pharmacol. 2024, 15, 1345380. [Google Scholar] [CrossRef]
- Wang, J.; Hou, H.; Li, Y.; Tang, W.; Gao, D.; Liu, Z.; Gao, X.Q.; Zhao, F.; Sun, F.; Tan, H.; et al. Isolation, Purification, and Antiosteoporosis Activity of Donkey Bone Collagen from Discarded Bone and Its Antioxidant Peptides. Heliyon 2024, 10, e23531. [Google Scholar] [CrossRef] [PubMed]
- Hao, Y.; Xing, L.; Wang, Z.; Cai, J.; Toldrá, F.; Zhang, W. Study on the Anti-Inflammatory Activity of the Porcine Bone Collagen Peptides Prepared by Ultrasound-Assisted Enzymatic Hydrolysis. Ultrason. Sonochem. 2023, 101, 106697. [Google Scholar] [CrossRef]
- Chen, Y.J.; Jia, L.H.; Han, T.H.; Zhao, Z.H.; Yang, J.; Xiao, J.P.; Yang, H.J.; Yang, K. Osteoporosis Treatment: Current Drugs and Future Developments. Front. Pharmacol. 2024, 15, 1456796. [Google Scholar] [CrossRef] [PubMed]
- Huang, S.K.H.; Bueno, P.R.P.; Garcia, P.J.B.; Lee, M.J.; De Castro-Cruz, K.A.; Leron, R.B.; Tsai, P.W. Antioxidant, Anti-Inflammatory and Antiproliferative Effects of Osmanthus fragrans (Thunb.) Lour. Flower Extracts. Plants 2023, 12, 3168. [Google Scholar] [CrossRef]
- Prasetyorini, B.E.; Kusumawardani, A.; Fitriani, F.; Rachman, P.O.; Amelinda, N.; Ramadhani, A. Analisis In Silico Senyawa Aktif Batang Kayu Bajakah (Spatholobus Littoralis Hassk) Sebagai Terapi Psoriasis. Herb-Med. J. 2022, 5, 26. [Google Scholar] [CrossRef]
- Rustandi, T.; Yumassik, A.M.; Nugraha, E.J.E.P.; Nugroho, M.R.; Yasir, M. Kamalia Antioxidant and Anticancer Activities of Spatholobus Littoralis Stem Extract: An In Vitro and In Silico Computational Investigation. J. Food Pharm. Sci. 2025, 13, 10–24. [Google Scholar] [CrossRef]
- Sutjiningsih, N.N.O.; Ulisya, A.A.; Utami, A.; Natalia, C.; Mumtaz, F.C.; Yulanda, N.R.E.; Sari, V.R.; Auli, W.N.; Saputro, A.H. Molecular Docking of Several Compounds in Katuk (Sauropus androgynus (L.)) Leaves as Anti-Breast Cancer in AKT1 Protein. Pharm. Rep. 2025, 4, 77. [Google Scholar] [CrossRef]
- Vaidyanathan, R.; Murugan Sreedevi, S.; Ravichandran, K.; Vinod, S.M.; Hari Krishnan, Y.; Babu, L.K.; Parthiban, P.S.; Basker, L.; Perumal, T.; Rajaraman, V.; et al. Molecular Docking Approach on the Binding Stability of Derivatives of Phenolic Acids (DPAs) with Human Serum Albumin (HSA): Hydrogen-Bonding versus Hydrophobic Interactions or Combined Influences? JCIS Open 2023, 12, 100096. [Google Scholar] [CrossRef]





| Running Order |
A: 70% Ethanol Extract of S. littoralis Hassk. Stems (% E1) |
B: 70% Ethanol Extract of S. androgynus L. Leaves (% E2) |
C: Ethyl Acetate:n-Hexane (1:1) Extract of S. littoralis Hassk. Stems (% E3) |
D: Ethyl Acetate:n-Hexane (1:1) Extract of S. androgynus L. Leaves (% E4) |
|---|---|---|---|---|
| 1 | 0 | 100 | 0 | 0 |
| 2 | 0 | 50 | 0 | 50 |
| 3 | 0 | 50 | 50 | 0 |
| 4 | 12.5 | 12.5 | 62.5 | 12.5 |
| 5 | 25 | 25 | 25 | 25 |
| 6 | 100 | 0 | 0 | 0 |
| 7 | 0 | 0 | 50 | 50 |
| 8 | 50 | 0 | 0 | 50 |
| 9 | 0 | 0 | 0 | 100 |
| 10 | 50 | 50 | 0 | 0 |
| 11 | 50 | 0 | 50 | 0 |
| 12 | 100 | 0 | 0 | 0 |
| 13 | 12.5 | 62.5 | 12.5 | 12.5 |
| 14 | 0 | 0 | 100 | 0 |
| 15 | 62.5 | 12.5 | 12.5 | 12.5 |
| 16 | 12.5 | 12.5 | 12.5 | 62.5 |
| 17 | 0 | 100 | 0 | 0 |
| Running Order | A: 70% Ethanol Extract of S. littoralis Hassk. Stems (% E1) | B: 70% Ethanol Extract of S. androgynus L. Leaves (% E2) | C: Ethyl Acetate:n-Hexane (1:1) Extract of S. littoralis Hassk. Stems (% E3) | D: Ethyl Acetate:n-Hexane (1:1) Extract of S. androgynus L. Leaves (% E4) | DPPH Antioxidant Activity ± SD (%) |
|---|---|---|---|---|---|
| 1 | 0 | 100 | 0 | 0 | 78.11 ± 1.31 b |
| 2 | 0 | 50 | 0 | 50 | 63.18 ± 1.68 d |
| 3 | 0 | 50 | 50 | 0 | 65.17 ± 1.91 c,d |
| 4 | 12.5 | 12.5 | 62.5 | 12.5 | 15.42 ± 3.39 i |
| 5 | 25 | 25 | 25 | 25 | 31.84 ± 2.40 g |
| 6 | 100 | 0 | 0 | 0 | 61.69 ± 1.68 d |
| 7 | 0 | 0 | 50 | 50 | 45.40 ± 0.94 f |
| 8 | 50 | 0 | 0 | 50 | 55.22 ± 1.63 e |
| 9 | 0 | 0 | 0 | 100 | 31.59 ± 2.99 g |
| 10 | 50 | 50 | 0 | 0 | 95.40 ± 0.78 a |
| 11 | 50 | 0 | 50 | 0 | 50.37 ± 0.99 e,f |
| 12 | 100 | 0 | 0 | 0 | 61.94 ± 1.49 d |
| 13 | 12.5 | 62.5 | 12.5 | 12.5 | 70.40 ± 1.14 c |
| 14 | 0 | 0 | 100 | 0 | 25.12 ± 1.20 h |
| 15 | 62.5 | 12.5 | 12.5 | 12.5 | 62.31 ± 1.12 d |
| 16 | 12.5 | 12.5 | 12.5 | 62.5 | 35.32 ± 1.14 g |
| 17 | 0 | 100 | 0 | 0 | 80.35 ± 2.06 b |
| No. | Receptor | PDB ID | Ligand Code | Grid Box | Spacing | Exhaustiveness | Number of Processors | Center Coordinate of Re-Docking |
|---|---|---|---|---|---|---|---|---|
| 1. | COX-2 | 5IKQ | JMS | 20 × 20 × 20 Å | 0.375 | 32 | 16 | [22.228, 51.433, 17.644] |
| Receptor | PDB ID | Co-Crystal Ligand | ΔG (kcal/mol) | No. | Group of Compounds | Compounds | PubChem ID | ΔG (kcal/mol) | Source |
|---|---|---|---|---|---|---|---|---|---|
| COX-2 | 5IKQ | JMS | −9.109 | 1 | Flavonoids (isoflavone) | Daidzein | CID_5281708 | −8.514 | 70% ethanol extract of S. littoralis Hassk. stems |
| 2 | Fatty acids (polyunsaturated fatty acids) | (10E,12Z)-9-Hydroperoxy-10,12-octadecadienoic acid | CID_6439847 | −7.604 | 70% ethanol extract of S. androgynus L. leaves | ||||
| 3 | Terpenoids (sesquiterpenoid) | Arteannuic acid | CID_10922465 | −7.114 | 70% ethanol extract of S. androgynus L. leaves | ||||
| 4 | Amino acid derivatives | L-Proline, 4-hydroxy-5-oxo-4-(tetrahydro-2,3,4-trihydroxy-2-furanyl)- | CID_71437684 | −6.480 | 70% ethanol extract of S. littoralis Hassk. stems | ||||
| 5 | Amine derivatives | Androst-2-en-17-amine, 4,4-dimethyl-N-(2-phenylethyl)-, (5.alpha.)- | CID_22296128 | −5.440 | 70% ethanol extract of S. androgynus L. leaves |
| No. | Receptor–Ligand Complex | Receptor–Ligand Complex Code | PyMoL Visualization | Discovery Studio Visualizer Visualization | LigPlot 3D Visualization | Discovery Studio Visualizer 2D Visualization |
|---|---|---|---|---|---|---|
| 1. | COX-2−Daidzein | 5IKQ−5281708 | ![]() | ![]() | ![]() | ![]() |
| 2. | COX-2−(10E,12Z)-9-Hydroperoxy-10,12-octadecadienoic acid | 5IKQ−6439847 | ![]() | ![]() | ![]() | ![]() |
| 3. | COX-2−L-Proline, 4-hydroxy-5-oxo-4-(tetrahydro-2,3,4-trihydroxy-2-furanyl)- | 5IKQ−71437684 | ![]() | ![]() | ![]() | ![]() |
| 4. | COX-2−Arteannuic acid | 5IKQ−10922465 | ![]() | ![]() | ![]() | ![]() |
| 5. | COX-2−Androst-2-en-17-amine, 4,4-dimethyl-N-(2-phenylethyl)-, (5.alpha.)- | 5IKQ−22296128 | ![]() | ![]() | ![]() | ![]() |
| No. | Receptor–Ligand Complex | Receptor–Ligand Complex Code | Hydrogen Bond | Bond Length (Å) | Number of Hydrogen Bonds | Hydrophobic Interactions | Number of Hydrophobic Interactions |
|---|---|---|---|---|---|---|---|
| 1. | COX-2−Daidzein | 5IKQ-5281708 | Tyr385 His90 | 2.91 3.08 | 2 | Phe381, Ser530, Val349, Leu352, Ser353, Tyr355, Val523, Gly526 | 8 |
| 2. | COX-2−(10E,12Z)-9-Hydroperoxy-10,12-octadecadienoic acid | 5IKQ-6439847 | Tyr355 Arg120 | 3.09 3.07 | 2 | Phe381, Tyr348, Gly526, Ser530, Trp387, Val349, Leu531, Ala527, Val116, Phe518, Val523, Ser353, Leu352, Met522, Tyr385, Leu384 | 16 |
| 3. | COX-2−L-Proline, 4-hydroxy-5-oxo-4-(tetrahydro-2,3,4-trihydroxy-2-furanyl)- | 5IKQ−71437684 | Ser530 Tyr355 | 3.31 2.93 | 2 | Trp387, Phe381, Ala527, Val349, Ser353, Leu352, Arg120, Val523, Gly526 | 9 |
| 4. | COX-2−Arteannuic acid | 5IKQ−10922465 | Arg120 Tyr355 | 2.93 2.95 | 2 | Met522, Phe518, Ser530, Ala527, Val349, Val523, Ser353, Leu352 | 8 |
| 5. | COX-2−Androst-2-en-17-amine, 4,4-dimethyl-N-(2-phenylethyl)-, (5.alpha.)- | 5IKQ−22296128 | Tyr355 | 2.73 | 1 | Val89, Leu93, Tyr115, Arg120, Val116, Leu531, Ser530, Ser353, Val349, Tyr385, Phe381, Trp387, Phe518, Leu352, Gly526, Val523, Ala527, Ser119 | 18 |
| Source | Sum of Squares | df | Mean Square | F-Value | p-Value | |
|---|---|---|---|---|---|---|
| Model | 7402.46 | 13 | 569.42 | 618.6 | <0.0001 | significant |
| Linear Mixture | 5443.33 | 3 | 1814.44 | 1971.16 | <0.0001 | |
| AB | 497.99 | 1 | 497.99 | 541 | 0.0002 | |
| AC | 44.29 | 1 | 44.29 | 48.11 | 0.0061 | |
| AD | 123.55 | 1 | 123.55 | 134.23 | 0.0014 | |
| BC | 53.19 | 1 | 53.19 | 57.78 | 0.0047 | |
| BD | 34.98 | 1 | 34.98 | 38 | 0.0086 | |
| CD | 194.39 | 1 | 194.39 | 211.18 | 0.0007 | |
| ABC | 191 | 1 | 191 | 207.5 | 0.0007 | |
| ABD | 21.56 | 1 | 21.56 | 23.42 | 0.0168 | |
| ACD | 239.01 | 1 | 239.01 | 259.65 | 0.0005 | |
| BCD | 179.15 | 1 | 179.15 | 194.63 | 0.0008 | |
| Residual | 2.76 | 3 | 0.9205 | |||
| Lack of Fit | 0.2214 | 1 | 0.2214 | 0.1744 | 0.7168 | not significant |
| Pure Error | 2.54 | 2 | 1.27 | |||
| Cor Total | 7405.22 | 16 | ||||
| R2 | 0.9996 | |||||
| Adjusted R2 | 0.998 | |||||
| Predicted R2 | 0.9411 | |||||
| Adeq Precision | 92.0937 |
| Extract | Response | Model | Equation |
|---|---|---|---|
| Formulation optimization | DPPH antioxidant activity | Special Cubic | Y = 61.83A + 79.24B + 25.14C + 31.61D + 99.63AB + 27.71AC + 34.17AD + 52.08BC + 31.18BD + 68.26CD − 565.47ABC + 1683.17ABD − 1613.15ACD − 1863.BCD |
| Factor | Predicted Value | Actual Value | ||||||
|---|---|---|---|---|---|---|---|---|
| 70% Ethanol Extract of S. littoralis Hassk. Stems (E1) | 70% Ethanol Extract of S. androgynus L. Leaves (E2) |
Ethyl Acetate:n-Hexane (1:1) Extract of S. littoralis Hassk. Stems (E3) |
Ethyl Acetate:n-Hexane (1:1) Extract of S. androgynus L. Leaves (E4) | DPPH Antioxidant Activity (%) |
DPPH Antioxidant Activity (%) | %RSD | %RSE | p-Value |
| 50 | 50 | 0 | 0 | 95.44 | 94.78 | 1.18 | 0.70 | 1.000 |
Disclaimer/Publisher’s Note: The statements, opinions and data contained in all publications are solely those of the individual author(s) and contributor(s) and not of MDPI and/or the editor(s). MDPI and/or the editor(s) disclaim responsibility for any injury to people or property resulting from any ideas, methods, instructions or products referred to in the content. |
© 2025 by the authors. Licensee MDPI, Basel, Switzerland. This article is an open access article distributed under the terms and conditions of the Creative Commons Attribution (CC BY) license (https://creativecommons.org/licenses/by/4.0/).
Share and Cite
Sianipar, R.N.R.; Iswantini, D.; Charlena, C.; Wahyudi, S.T.; Prasetyo, J.; Trivadila, T. Antioxidant and Anti-Inflammatory Activities from Optimum Formula of Spatholobus littoralis Hassk. and Sauropus androgynus L.: In Vitro and In Silico Studies. Curr. Issues Mol. Biol. 2025, 47, 969. https://doi.org/10.3390/cimb47120969
Sianipar RNR, Iswantini D, Charlena C, Wahyudi ST, Prasetyo J, Trivadila T. Antioxidant and Anti-Inflammatory Activities from Optimum Formula of Spatholobus littoralis Hassk. and Sauropus androgynus L.: In Vitro and In Silico Studies. Current Issues in Molecular Biology. 2025; 47(12):969. https://doi.org/10.3390/cimb47120969
Chicago/Turabian StyleSianipar, Rut Novalia Rahmawati, Dyah Iswantini, Charlena Charlena, Setyanto Tri Wahyudi, Joni Prasetyo, and Trivadila Trivadila. 2025. "Antioxidant and Anti-Inflammatory Activities from Optimum Formula of Spatholobus littoralis Hassk. and Sauropus androgynus L.: In Vitro and In Silico Studies" Current Issues in Molecular Biology 47, no. 12: 969. https://doi.org/10.3390/cimb47120969
APA StyleSianipar, R. N. R., Iswantini, D., Charlena, C., Wahyudi, S. T., Prasetyo, J., & Trivadila, T. (2025). Antioxidant and Anti-Inflammatory Activities from Optimum Formula of Spatholobus littoralis Hassk. and Sauropus androgynus L.: In Vitro and In Silico Studies. Current Issues in Molecular Biology, 47(12), 969. https://doi.org/10.3390/cimb47120969





















