Intestinal Microbial Profiles of Wild Zobaidy (Pampus argenteus) Fish Characterized by 16S rRNA Next Generation Sequencing
Abstract
1. Introduction
2. Materials and Methods
2.1. Sample Collection
Fish Dissection
2.2. DNA Extraction and Amplicon Generation
2.3. Bioinformatics Analysis Pipeline
Data and Sequence Assembly
2.4. Operational Taxonomic Units (OTU) Cluster and Species Annotation
2.5. Relative Abundance Estimations and Heatmap Generation
2.6. Alpha and Beta Diversity
2.7. Function Prediction
3. Results
3.1. Sequence Information and Taxonomic Assessment
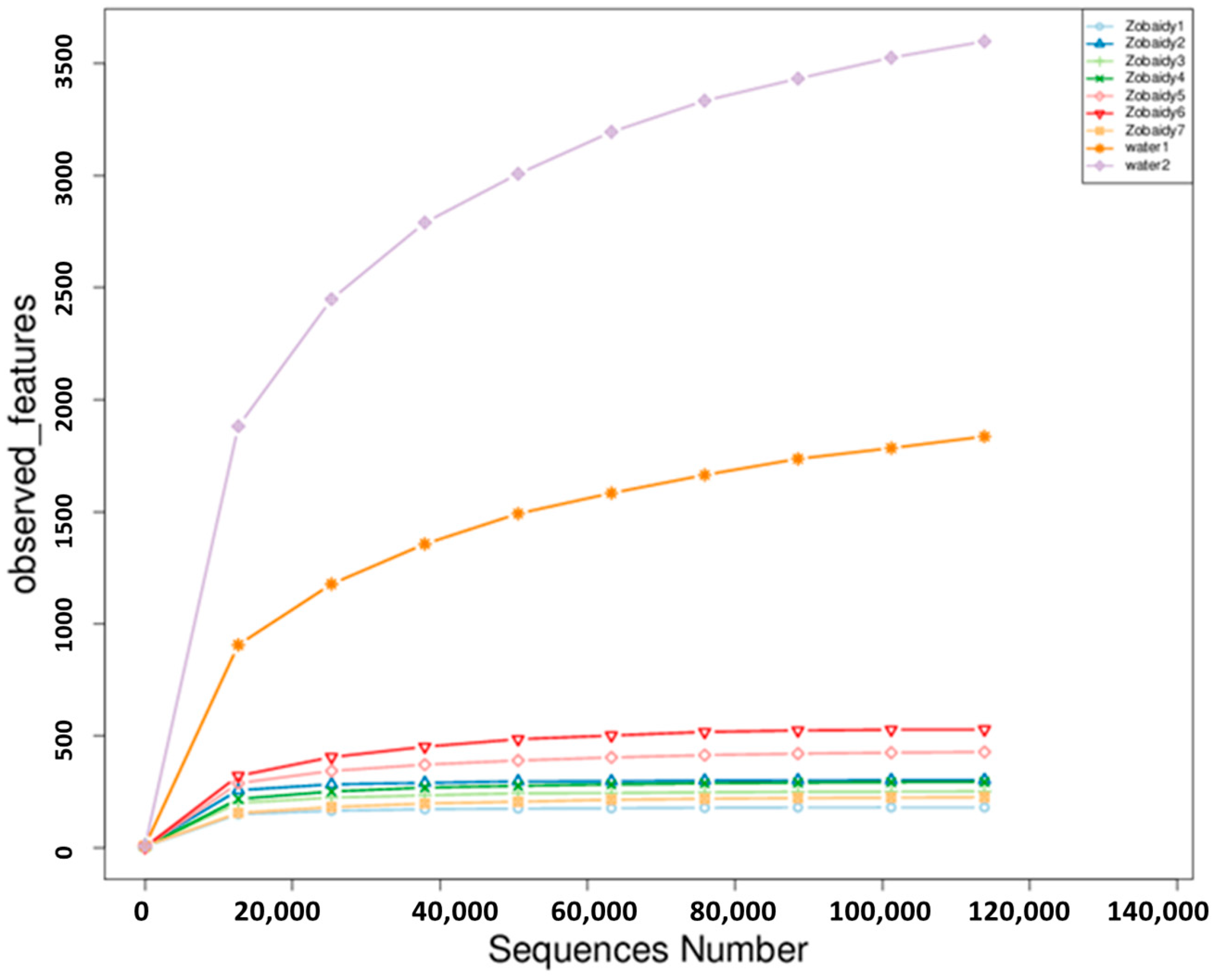
3.2. Alpha Diversity Among the Zobaidy and Water Samples
3.3. Beta Diversity Among the Zobaidy and Water Samples
3.4. Diversity and Composition of Intestinal Microbiota from Zobaidy Samples
3.5. Microbial Composition Among the Zobaidy and Water Samples
3.6. Functional Potential of Bacterial Community in Zobaidy Intestinal Samples Using PICRUSt
4. Discussion
5. Conclusions
Author Contributions
Funding
Institutional Review Board Statement
Informed Consent Statement
Data Availability Statement
Conflicts of Interest
References
- Luan, Y.; Li, M.; Zhou, W.; Yao, Y.; Yang, Y.; Zhang, Z.; Ringø, E.; Olsen, R.E.; Clarke, J.L.; Xie, S.; et al. The fish microbiota: Research progress and potential applications. Engineering 2023, 29, 137–146. [Google Scholar] [CrossRef]
- Al-Husaini, M. Fishery of shared stock of the silver pomfret, Pampus argenteus, in the Northern Gulf: A case study. In FAO Expert Consultation on the Management of Shared Fish Stocks; FAO Fisheries Report, No. 695; Food and Agriculture Organization of the United Nations: Rome, Italy, 2003; pp. 44–56. Available online: https://www.fao.org/4/Y4652E/y4652e05.htm (accessed on 20 May 2024).
- Narges, A.; Preeta, K.; Jasem, M.; Gholam-reza, E.; Vahid, Y. Stock assessment of silver pomfret Pampus argenteus (Euphrasen, 1788) in the Northern Persian Gulf. Turk. J. Fish. Aquat. Sci. 2011, 11, 63–65. [Google Scholar] [CrossRef]
- Pati, S. Studies on the mutation spawning and migration of silver pomfret, Pampus argenteus (Euphrasen) from Bay of Bengal. Matsya 1982, 8, 12–22. [Google Scholar]
- Gupta, S. Reviews on the biology and culture of silver pomfret, Pampus argenteus (Euphrasen, 1788). Int. J. Aquat. Biol. 2020, 8, 228–245. Available online: https://ij-aquaticbiology.com/index.php/ijab/article/view/945 (accessed on 26 March 2025).
- Al-Husaini, M.; Bishop, J.M.; Al-Foudari, H.M.; Al-Baz, A.F. A review of the status and development of Kuwait’s fisheries. Mar. Pollut. Bull. 2015, 100, 597–606. [Google Scholar] [CrossRef]
- Kuthalingam, M.D.K. Observations on the fishery and biology of the silver pomfret Pampus argenteus (Euphrasen) from the Bay of Bengal. Indian J. Fish. 1967, 10A, 59–74. [Google Scholar]
- Majeed, O.S.; Nashaat, M.R.; Al-Azawi, A.J. Physicochemical parameters of river water and their relation to zooplankton: A review. IOP Conf. Ser. Earth Environ. Sci. 2022, 1120, 012040. [Google Scholar] [CrossRef]
- Sinu, J.; Ajimila, B. Quantitative composition, distribution and abundance of zooplankton communities in relation to physicochemical parameters from selected beaches of Alappuzha in Arabian Sea, southwest coast of India. Total. Environ. Res. Themes 2023, 7, 100054. [Google Scholar] [CrossRef]
- Alqattan, M.E.A.; Gray, T.S. Marine pollution in Kuwait and its impacts on fish-stock decline in Kuwaiti waters: Reviewing the Kuwaiti government’s policies and practices. Front. Sustain. 2021, 2, 667822. [Google Scholar] [CrossRef]
- Al-Zaidan, A.S.Y.; Al-Mohanna, S.Y.; George, P. Status of Kuwait’s fishery resources: Assessment and perspective. Mar. Policy 2013, 38, 1–7. [Google Scholar] [CrossRef]
- Tao, L.; Chai, J.; Liu, H.; Huang, W.; Zou, Y.; Wu, M.; Peng, B.; Wang, Q.; Tang, K. Characterization and dynamics of the gut microbiota in rice fishes at different developmental stages in rice-fish coculture systems. Microorganisms 2022, 10, 2373. [Google Scholar] [CrossRef] [PubMed]
- Edwards, T.M.; Puglis, H.J.; Kent, D.B.; Durán, J.L.; Bradshaw, L.M.; Farag, A.M. Ammonia and aquatic ecosystems: A review of global sources, biogeochemical cycling, and effects on fish. Sci. Total. Environ. 2024, 907, 167911. [Google Scholar] [CrossRef] [PubMed]
- Mazur-Marzec, H.; Andersson, A.F.; Błaszczyk, A.; Dąbek, P.; Górecka, E.; Grabski, M.; Jankowska, K.; Jurczak-Kurek, A.; Kaczorowska, A.K.; Kaczorowski, T.; et al. Biodiversity of microorganisms in the Baltic Sea: The power of novel methods in the identification of marine microbes. FEMS Microbiol. Rev. 2024, 48, fuae024. [Google Scholar] [CrossRef] [PubMed]
- Jiao, F.; Zhang, L.; Limbu, S.M.; Yin, H.; Xie, Y.; Yang, Z.; Shang, Z.; Kong, L.; Rong, H. A comparison of digestive strategies for fishes with different feeding habits: Digestive enzyme activities, intestinal morphology, and gut microbiota. Ecol. Evol. 2023, 13, e10499. [Google Scholar] [CrossRef]
- Sadeghi, J.; Chaganti, S.R.; Johnson, T.B.; Heath, D.D. Host species and habitat shape fish-associated bacterial communities: Phylosymbiosis between fish and their microbiome. Microbiome 2023, 11, 258. [Google Scholar] [CrossRef]
- Cui, X.; Zhang, Q.; Zhang, Q.; Zhang, Y.; Chen, H.; Liu, G.; Zhu, L. Research progress of the gut microbiome in hybrid fish. Microorganisms 2022, 10, 891. [Google Scholar] [CrossRef]
- Peterson, D.; Bonham, K.S.; Rowland, S.; Pattanayak, C.W.; Klepac-Ceraj, V. Comparative analysis of 16S rRNA gene and metagenome sequencing in pediatric gut microbiomes. Front. Microbiol. 2021, 12, 670336. [Google Scholar] [CrossRef]
- Magoč, T.; Salzberg, S.L. FLASH: Fast length adjustment of short reads to improve genome assemblies. Bioinformatics 2011, 27, 2957–2963. [Google Scholar] [CrossRef]
- Bokulich, N.A.; Subramanian, S.; Faith, J.J.; Gevers, D.; Gordon, J.I.; Knight, R.; Mills, D.A.; Caporaso, J.G. Quality-filtering vastly improves diversity estimates from Illumina amplicon sequencing. Nat. Methods 2013, 10, 57–59. [Google Scholar] [CrossRef]
- Edgar, R.C. UPARSE: Highly accurate OTU sequences from microbial amplicon reads. Nat. Methods 2013, 10, 996–998. [Google Scholar] [CrossRef]
- Quast, C.; Pruesse, E.; Yilmaz, P.; Gerken, J.; Schweer, T.; Yarza, P.; Peplies, J.; Glöckner, F.O. The SILVA ribosomal RNA gene database project: Improved data processing and web-based tools. Nucleic Acids Res. 2013, 41, D590–D596. [Google Scholar] [CrossRef]
- Edgar, R.C. MUSCLE: Multiple sequence alignment with high accuracy and high throughput. Nucleic Acids Res. 2004, 32, 1792–1797. [Google Scholar] [CrossRef] [PubMed]
- Morgan, X.C.; Huttenhower, C. Meta’omic analytic techniques for studying the intestinal microbiome. Gastroenterology 2014, 146, 1437–1448.e1. [Google Scholar] [CrossRef] [PubMed]
- Kanehisa, M.; Furumichi, M.; Tanabe, M.; Sato, Y.; Morishima, K. KEGG: New perspectives on genomes, pathways, diseases and drugs. Nucleic Acids Res. 2017, 45, D353–D361. [Google Scholar] [CrossRef] [PubMed]
- Luo, M.; An, R.; Fu, J.; Wan, S.; Zhu, W.; Wang, L.; Dong, Z. Comparative analysis of the gut microbiota in bighead carp under different culture patterns. J. Appl. Microbiol. 2022, 132, 1357–1369. [Google Scholar] [CrossRef]
- Mondal, S.; Mondal, D.; Mondal, T.; Malik, J. Application of probiotic bacteria for the management of fish health in aquaculture. In Bacterial Fish Diseases; Mondal, S., Mondal, D., Mondal, T., Malik, J., Eds.; Academic: Cambridge, MA, USA, 2022; pp. 351–378. [Google Scholar] [CrossRef]
- Cornuault, J.K.; Byatt, G.; Paquet, M.E.; De Koninck, P.; Moineau, S. Zebrafish: A big fish in the study of the gut microbiota. Curr. Opin. Biotechnol. 2022, 73, 308–313. [Google Scholar] [CrossRef]
- Wu, H.; Yuan, X.; He, Y.; Gao, J.; Xie, M.; Xie, Z.; Song, R.; Ou, D. Niclosamide subacute exposure alters the immune response and microbiota of the gill and gut in black carp larvae, Mylopharyngodon piceus. Ecotoxicol. Environ. Saf. 2024, 279, 116512. [Google Scholar] [CrossRef]
- Mohammed, V.; Arockiaraj, J. Unveiling the trifecta of cyanobacterial quorum sensing: LuxI, LuxR and LuxS as the intricate machinery for harmful algal bloom formation in freshwater ecosystems. Sci. Total. Environ. 2024, 924, 171644. [Google Scholar] [CrossRef]
- Yukgehnaish, K.; Kumar, P.; Sivachandran, P.; Marimuthu, K.; Arshad, A.; Paray, B.A.; Arockiaraj, J. Gut microbiota metagenomics in aquaculture: Factors influencing gut microbiome and its physiological role in fish. Rev. Aquac. 2020, 12, 1903–1927. [Google Scholar] [CrossRef]
- Klemetsen, T.; Willassen, N.P.; Karlsen, C.R. Full-length 16S rRNA gene classification of Atlantic salmon bacteria and effects of using different 16S variable regions on community structure analysis. Microbiologyopen 2019, 8, e898. [Google Scholar] [CrossRef]
- Ruiz, A.; Sanahuja, I.; Torrecillas, S.; Gisbert, E. Anatomical site and environmental exposure differentially shape the microbiota across mucosal tissues in rainbow trout (Oncorhynchus mykiss). Sci. Rep. 2025, 15, 11426. [Google Scholar] [CrossRef]
- Menanteau-Ledouble, S.; Skov, J.; Lukassen, M.B.; Rolle-Kampczyk, U.; Haange, S.-B.; Dalsgaard, I.; von Bergen, M.; Nielsen, J.L. Modulation of gut microbiota, blood metabolites, and disease resistance by dietary β-glucan in rainbow trout (Oncorhynchus mykiss). Anim. Microbiome 2022, 4, 58. [Google Scholar] [CrossRef]
- Standish, I.; McCann, R.; Puzach, C.; Leis, E.; Bailey, J.; Dziki, S.; Katona, R.; Lark, E.; Edwards, C.; Keesler, B.; et al. Development of duplex qPCR targeting Carnobacterium maltaromaticum and Vagococcus salmoninarum. J. Fish Dis. 2022, 45, 667–677. [Google Scholar] [CrossRef] [PubMed]
- Tennant, S.M.; Hartland, E.L.; Phumoonna, T.; Lyras, D.; Rood, J.I.; Robins-Browne, R.M.; van Driel, I.R. Influence of gastric acid on susceptibility to infection with ingested bacterial pathogens. Infect. Immun. 2008, 76, 639–645. [Google Scholar] [CrossRef] [PubMed]
- Wuertz, S.; Beça, F.; Kreuz, E.; Wanka, K.M.; Azeredo, R.; Machado, M.; Costas, B. Two probiotic candidates of the genus Psychrobacter modulate the immune response and disease resistance after experimental infection in Turbot (Scophthalmus maximus, Linnaeus 1758). Fishes 2023, 8, 144. [Google Scholar] [CrossRef]
- de Paula Silva, F.C.; Nicoli, J.R.; Zambonino-Infante, J.L.; Kaushik, S.; Gatesoupe, F.-J. Influence of the diet on the microbial diversity of faecal and gastrointestinal contents in gilthead sea bream (Sparus aurata) and intestinal contents in goldfish (Carassius auratus). FEMS Microbiol. Ecol. 2011, 78, 285–296. [Google Scholar] [CrossRef]
- Estruch, G.; Collado, M.C.; Peñaranda, D.S.; Vidal, A.T.; Cerdá, M.J.; Martínez, G.P.; Martinez-Llorens, S. Impact of fishmeal replacement in diets for gilthead sea bream (Sparus aurata) on the gastrointestinal microbiota determined by pyrosequencing the 16S rRNA gene. PLoS ONE 2015, 10, e0136389. [Google Scholar] [CrossRef]
- Egerton, S.; Culloty, S.; Whooley, J.; Stanton, C.; Ross, R.P. The gut microbiota of marine fish. Front. Microbiol. 2018, 9, 873. [Google Scholar] [CrossRef]
- Liu, X.; Zhang, Y.; Chen, L.; Wang, J. Gut microbiota-mediated T cell regulation and autoimmune diseases. Front. Microbiol. 2024, 15, 1477187. [Google Scholar] [CrossRef]
- Hou, Y.; Jia, R.; Zhou, L.; Zhang, L.; Li, B.; Zhu, J. Different fish farming patterns in paddy fields substantially impact the bacterial community composition, stability, and assembly processes in paddy water. Agriculture 2024, 14, 2306. [Google Scholar] [CrossRef]
- Li, D.; Pan, B.; Han, X.; Lu, Y.; Wang, X. Toxicity risks associated with trace metals call for conservation of threatened fish species in heavily sediment-laden Yellow River. J. Hazard. Mater. 2023, 448, 130928. [Google Scholar] [CrossRef]
- Rastogi, S.; Singh, A. Gut microbiome and human health: Exploring how the probiotic genus Lactobacillus modulates immune responses. Front. Pharmacol. 2022, 13, 1042189. [Google Scholar] [CrossRef] [PubMed]
- Wang, X.; Zhang, P.; Zhang, X. Probiotics regulate gut microbiota: An effective method to improve immunity. Molecules 2021, 26, 6076. [Google Scholar] [CrossRef] [PubMed]
- Stressmann, F.A.; Bernal-Bayard, J.; Perez-Pascual, D.; Audrain, B.; Rendueles, O.; Briolat, V.; Bruchmann, S.; Volant, S.; Ghozlane, A.; Häussler, S.; et al. Mining zebrafish microbiota reveals key community-level resistance against fish pathogen infection. ISME J. 2021, 15, 702–719. [Google Scholar] [CrossRef] [PubMed]
- Plumet, L.; Costechareyre, D.; Lavigne, J.-P.; Kissa, K.; Molle, V. Zebrafish as an effective model for evaluating phage therapy in bacterial infections: A promising strategy against human pathogens. Antimicrob. Agents Chemother. 2024, 68, e00829-24. [Google Scholar] [CrossRef]
- Jijie, R.; Mihalache, G.; Balmus, I.-M.; Strungaru, S.-A.; Baltag, E.S.; Ciobica, A.; Nicoara, M.; Faggio, C. Zebrafish as a screening model to study the single and joint effects of antibiotics. Pharmaceuticals 2021, 14, 578. [Google Scholar] [CrossRef]
- Medina-Félix, D.; Garibay-Valdez, E.; Vargas-Albores, F.; Martínez-Porchas, M. Fish disease and intestinal microbiota: A close and indivisible relationship. Rev. Aquac. 2023, 15, 820–839. [Google Scholar] [CrossRef]
- Yajima, D.; Fujita, H.; Hayashi, I.; Shima, G.; Suzuki, K.; Toju, H. Core species and interactions prominent in fish-associated microbiome dynamics. Microbiome 2023, 11, 53. [Google Scholar] [CrossRef]
- Kim, P.S.; Shin, N.-R.; Lee, J.-B.; Kim, M.-S.; Whon, T.W.; Hyun, D.-W.; Yun, J.-H.; Jung, M.-J.; Kim, J.Y.; Bae, J.-W. Host habitat is the major determinant of the gut microbiome of fish. Microbiome 2021, 9, 166. [Google Scholar] [CrossRef]
- Khan, I.; Bai, Y.; Zha, L.; Ullah, N.; Ullah, H.; Shah, S.R.H.; Sun, H.; Zhang, C. Mechanism of the gut microbiota colonization resistance and enteric pathogen infection. Front. Cell. Infect. Microbiol. 2021, 11, 716299. [Google Scholar] [CrossRef]
- Cámara-Ruiz, M.; Balebona, M.C.; Moriñigo, M.Á.; Esteban, M.Á. Probiotic Shewanella putrefaciens (SpPdp11) as a fish health modulator: A review. Microorganisms 2020, 8, 1990. [Google Scholar] [CrossRef]
- Baumgärtner, S.; James, J.; Ellison, A. The supplementation of a prebiotic improves the microbial community in the gut and the skin of Atlantic salmon (Salmo salar). Aquac. Rep. 2022, 25, 101204. [Google Scholar] [CrossRef]
- Talwar, C.; Nagar, S.; Lal, R.; Negi, R.K. Fish gut microbiome: Current approaches and future perspectives. Indian J. Microbiol. 2018, 58, 397–414. [Google Scholar] [CrossRef]







| Sample Name | Observed Features | Chao1 | pielou_e | Shannon | Simpson | Goods Coverage |
|---|---|---|---|---|---|---|
| Zobaidy1 | 181 | 182.2 | 0.480 | 3.596 | 0.791 | 1 |
| Zobaidy2 | 303 | 303.6 | 0.727 | 5.995 | 0.963 | 1 |
| Zobaidy3 | 252 | 256.5 | 0.442 | 3.523 | 0.746 | 1 |
| Zobaidy4 | 294 | 295.44 | 0.418 | 3.430 | 0.752 | 1 |
| Zobaidy5 | 428 | 432.529 | 0.401 | 3.506 | 0.694 | 1 |
| Zobaidy6 | 528 | 528 | 0.369 | 3.334 | 0.672 | 1 |
| Zobaidy7 | 226 | 227.565 | 0.514 | 4.020 | 0.894 | 1 |
| water1 | 1836 | 2210.235 | 0.674 | 7.310 | 0.983 | 0.99 |
| water2 | 3599 | 4097.099 | 0.729 | 8.612 | 0.97 | 0.99 |
| Sample Name | Kingdom | Phylum | Class | Order | Family | Genus | Species |
|---|---|---|---|---|---|---|---|
| Zobaidy1 | 135,840 | 135,827 | 135,827 | 135,821 | 134,843 | 134,450 | 5499 |
| Zobaidy2 | 335,344 | 332,893 | 332,893 | 332,800 | 326,896 | 307,624 | 35,175 |
| Zobaidy3 | 141,180 | 141,042 | 141,042 | 141,037 | 140,403 | 140,244 | 5029 |
| Zobaidy4 | 163,954 | 163,939 | 163,939 | 163,927 | 163,429 | 163,108 | 5664 |
| Zobaidy5 | 154,155 | 153,960 | 153,956 | 153,905 | 153,694 | 152,676 | 4739 |
| Zobaidy6 | 113,577 | 113,365 | 113,272 | 113,062 | 112,439 | 111,612 | 3032 |
| Zobaidy7 | 128,669 | 128,191 | 128,191 | 128,187 | 127,901 | 123,541 | 1641 |
| Water1 | 208,872 | 194,737 | 194,065 | 185,418 | 170,103 | 103,090 | 11,032 |
| Water2 | 183,194 | 171,055 | 164,711 | 148,633 | 128,063 | 62,892 | 8841 |
| KEGG Code | Protein/Enzyme | Gene | Pathway |
|---|---|---|---|
| K00626 | acetyl-CoA:acetyl-CoA C-acetyltransferase | ACAT, atoB | Carbohydrate metabolism |
| K07090 | uncharacterized protein | - | Unclassified |
| K03704 | cspA; cold shock protein | cspA | Transcription; genetic information processing |
| K01223 | 6-phospho-beta-glucosidase | bglA | Glycolysis/Gluconeogenesis |
| K02761 | cellobiose PTS system EIIC component | celB; chbC | Starch and sucrose metabolism |
| K00799 | glutathione S-transferase | GST; gst | Metabolism of other amino acids; pathways in cancer |
| K02014 | iron complex outer membrane receptor protein | - | Signaling and cellular processes |
| K07497 | putative transposase | - | DNA Replication and repair |
| K00257 | acyl-ACP dehydrogenase | mbtN, fadE14 | Unclassified |
| K02033 | peptide/nickel transport system permease protein | ABC.PE.P | Cellular processes |
| K02034 | peptide/nickel transport system permease protein | ABC.PE.P1 | Cellular processes |
| K02032 | peptide/nickel transport system ATP-binding protein | ddpF | Cellular processes |
| K01997 | branched-chain amino acid transport system permease protein | livH | Environmental information processing |
| K01999 | branched-chain amino acid transport system substrate-binding protein | livK | Environmental information processing |
| K01998 | branched-chain amino acid transport system permease protein | livM | Environmental information processing |
| K01996 | branched-chain amino acid transport system ATP-binding protein | livF | Environmental information processing |
| K01995 | branched-chain amino acid transport system ATP-binding protein | livG | Environmental information processing |
| K00059 | 3-oxoacyl-[acyl-carrier protein] reductase | fabG, OAR1 | Fatty acid biosynthesis |
| K02035 | peptide/nickel transport system substrate-binding protein | ABC.PE.S | Cellular processes |
| K03496 | chromosome partitioning protein | parA, soj; | Signaling and cellular processes |
| K03088 | RNA polymerase sigma-70 factor | rpoE | Genetic information processing |
| K02025 | multiple sugar transport system permease protein | ABC.MS.P | Signaling and cellular processes |
| K02026 | multiple sugar transport system permease protein | ABC.MS.P1 | Signaling and cellular processes |
| K02003 | putative ABC transport system ATP-binding protein | ABC.CD.A | Signaling and cellular processes |
| K02004 | putative ABC transport system permease protein | ABC.CD.P | Signaling and cellular processes |
| K03091 | RNA polymerase sigma-E/F/G factor | sigE_F_G | Genetic information processing |
| K03205 | type IV secretion system protein VirD4 | virD4, lvhD4 | Environmental information processing |
| K03497 | ParB family transcriptional regulator | parB, spo0J | Genetic information processing |
| K06147 | ATP-binding cassette | ABCB-BAC | Signaling and cellular processes |
| K02529 | LacI family transcriptional regulator, galactose operon repressor | galR | Genetic information processing |
| K01990 | ABC-2 type transport system ATP-binding protein | ABC-2.A | Signaling and cellular processes |
| K01992 | ABC-2 type transport system permease protein | ABC-2.P | Signaling and cellular processes |
| K02030 | polar amino acid transport system substrate-binding protein | ABC.PA.S | Signaling and cellular processes |
| K07024 | sucrose-6-phosphatase | SPP | Starch and sucrose metabolism |
| K02015 | iron complex transport system permease protein | ABC.FEV.P | Signaling and cellular processes |
Disclaimer/Publisher’s Note: The statements, opinions and data contained in all publications are solely those of the individual author(s) and contributor(s) and not of MDPI and/or the editor(s). MDPI and/or the editor(s) disclaim responsibility for any injury to people or property resulting from any ideas, methods, instructions or products referred to in the content. |
© 2025 by the authors. Licensee MDPI, Basel, Switzerland. This article is an open access article distributed under the terms and conditions of the Creative Commons Attribution (CC BY) license (https://creativecommons.org/licenses/by/4.0/).
Share and Cite
Albaijan, D.; Albaijan, D.; Akbar, A. Intestinal Microbial Profiles of Wild Zobaidy (Pampus argenteus) Fish Characterized by 16S rRNA Next Generation Sequencing. Curr. Issues Mol. Biol. 2025, 47, 890. https://doi.org/10.3390/cimb47110890
Albaijan D, Albaijan D, Akbar A. Intestinal Microbial Profiles of Wild Zobaidy (Pampus argenteus) Fish Characterized by 16S rRNA Next Generation Sequencing. Current Issues in Molecular Biology. 2025; 47(11):890. https://doi.org/10.3390/cimb47110890
Chicago/Turabian StyleAlbaijan, Dina, Dalal Albaijan, and Abrar Akbar. 2025. "Intestinal Microbial Profiles of Wild Zobaidy (Pampus argenteus) Fish Characterized by 16S rRNA Next Generation Sequencing" Current Issues in Molecular Biology 47, no. 11: 890. https://doi.org/10.3390/cimb47110890
APA StyleAlbaijan, D., Albaijan, D., & Akbar, A. (2025). Intestinal Microbial Profiles of Wild Zobaidy (Pampus argenteus) Fish Characterized by 16S rRNA Next Generation Sequencing. Current Issues in Molecular Biology, 47(11), 890. https://doi.org/10.3390/cimb47110890
