Priestia megaterium Metabolism: Isolation, Identification of Naringenin Analogues and Genes Elevated Associated with Nanoparticle Intervention
Abstract
1. Introduction
2. Materials and Methods
2.1. Materials for RT-PCR
2.2. Bacterial Culture of Large-Scale Fermentation with AuNP Intervention
2.3. Extraction of Crude Extract
2.4. Optimization of HPLC Conditions for the Separation and Isolation of Targeted Compounds
2.5. Structural Elucidation and Characterization of Isolated Compounds by NMR, FT-IR, and MS
Spectral Analysis of Isolated Compounds
2.6. RNA Extraction
2.7. Reverse Transcriptase PCR
2.8. Statistical Analysis
3. Results and Discussion
3.1. Metabolic Profile of AuNP Intervention in P. Megaterium Metabolism
3.2. Isolation of Targeted Compounds
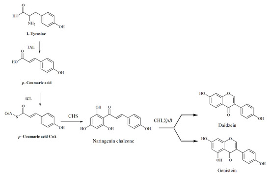
3.3. Biosynthetic Pathway for the Two Isolated Compounds
3.4. Gene Source Selection from the Genomic Draft of P. megaterium
3.5. Genes Involved in the Biosynthesis Pathway of Naringenin
3.6. The Induction of csoR, CHS, and yjiB Genes by AuNPs
4. Conclusions
Supplementary Materials
Author Contributions
Funding
Institutional Review Board Statement
Informed Consent Statement
Data Availability Statement
Acknowledgments
Conflicts of Interest
References
- Locatelli, F.M.; Goo, K.-S.; Ulanova, D. Effects of trace metal ions on secondary metabolism and the morphological development of streptomycetes. Metallomics 2016, 8, 469–480. [Google Scholar] [CrossRef] [PubMed]
- Weinberg, E.D. Roles of trace metals in transcriptional control of microbial secondary metabolism. Biol. Met. 1990, 2, 191–196. [Google Scholar] [CrossRef] [PubMed]
- Mandal, D.; Basu, A. Role of Heavy-Metal Resistant Bacteria Isolated from Rhizosphere in Bioremediation and Plant Development. In Rhizobiology: Molecular Physiology of Plant Roots; Springer: Berlin/Heidelberg, Germany, 2021; pp. 411–435. [Google Scholar]
- González-Quiñónez, N.; Corte-Rodríguez, M.; Álvarez-Fernández-García, R.; Rioseras, B.; López-García, M.T.; Fernández-García, G.; Montes-Bayón, M.; Manteca, A.; Yagüe, P. Cytosolic copper is a major modulator of germination, development and secondary metabolism in Streptomyces coelicolor. Sci. Rep. 2019, 9, 4214. [Google Scholar] [CrossRef] [PubMed]
- Vijgenboom, E.; Keijser, B. Copper and the morphological development of Streptomyces. In Handbook of Copper Pharmacology and Toxicology; Springer: Berlin/Heidelberg, Germany, 2002; pp. 503–525. [Google Scholar]
- Worrall, J.A.; Vijgenboom, E. Copper mining in Streptomyces: Enzymes, natural products and development. Nat. Prod. Rep. 2010, 27, 742–756. [Google Scholar] [CrossRef] [PubMed]
- Rademacher, C.; Masepohl, B. Copper-responsive gene regulation in bacteria. Microbiology 2012, 158, 2451–2464. [Google Scholar] [CrossRef] [PubMed]
- Sakamoto, K.; Agari, Y.; Agari, K.; Kuramitsu, S.; Shinkai, A. Structural and functional characterization of the transcriptional repressor CsoR from Thermus thermophilus HB8. Microbiology 2010, 156, 1993–2005. [Google Scholar] [CrossRef] [PubMed]
- Niazi, J.H.; Sang, B.-I.; Kim, Y.S.; Gu, M.B. Global gene response in Saccharomyces cerevisiae exposed to silver nanoparticles. Appl. Biochem. Biotechnol. 2011, 164, 1278–1291. [Google Scholar] [CrossRef]
- Liu, X.; Tang, J.; Wang, L.; Liu, R. Mechanism of CuO nano-particles on stimulating production of actinorhodin in Streptomyces coelicolor by transcriptional analysis. Sci. Rep. 2019, 9, 11253. [Google Scholar] [CrossRef]
- Liu, X.; Tang, J.; Wang, L.; Giesy, J.P. Al2O3 nanoparticles promote secretion of antibiotics in Streptomyces coelicolor by regulating gene expression through the nano effect. Chemosphere 2019, 226, 687–695. [Google Scholar] [CrossRef]
- Böttcher, C.; Chapman, A.; Fellermeier, F.; Choudhary, M.; Scheel, D.; Glawischnig, E. The biosynthetic pathway of indole-3-carbaldehyde and indole-3-carboxylic acid derivatives in Arabidopsis. Plant Physiol. 2014, 165, 841–853. [Google Scholar] [CrossRef]
- Finnegan, T.; Steenkamp, P.A.; Piater, L.A.; Dubery, I.A. The lipopolysaccharide-induced metabolome signature in Arabidopsis thaliana reveals dynamic reprogramming of phytoalexin and phytoanticipin pathways. PLoS ONE 2016, 11, e0163572. [Google Scholar] [CrossRef] [PubMed]
- Urlacher, V.B.; Lutz-Wahl, S.; Schmid, R.D. Microbial P450 enzymes in biotechnology. Appl. Microbiol. Biotechnol. 2004, 64, 317–325. [Google Scholar] [CrossRef] [PubMed]
- Albertolle, M.E.; Guengerich, F.P. The relationships between cytochromes P450 and H2O2: Production, reaction, and inhibition. J. Inorg. Biochem. 2018, 186, 228–234. [Google Scholar] [CrossRef] [PubMed]
- Kelly, S.L.; Kelly, D.E. Microbial cytochromes P450: Biodiversity and biotechnology. Where do cytochromes P450 come from, what do they do and what can they do for us? Philos. Trans. R. Soc. B Biol. Sci. 2013, 368, 20120476. [Google Scholar] [CrossRef] [PubMed]
- Zhao, B.; Guengerich, F.P.; Bellamine, A.; Lamb, D.C.; Izumikawa, M.; Lei, L.; Podust, L.M.; Sundaramoorthy, M.; Kalaitzis, J.A.; Reddy, L.M. Binding of two flaviolin substrate molecules, oxidative coupling, and crystal structure of Streptomyces coelicolor A3 (2) cytochrome P450 158A2. J. Biol. Chem. 2005, 280, 11599–11607. [Google Scholar] [CrossRef] [PubMed]
- Zhao, B.; Lin, X.; Lei, L.; Lamb, D.C.; Kelly, S.L.; Waterman, M.R.; Cane, D.E. Biosynthesis of the sesquiterpene antibiotic albaflavenone in Streptomyces coelicolor A3 (2). J. Biol. Chem. 2008, 283, 8183–8189. [Google Scholar] [CrossRef] [PubMed]
- Mthethwa, B.C.; Chen, W.; Ngwenya, M.L.; Kappo, A.P.; Syed, P.R.; Karpoormath, R.; Yu, J.-H.; Nelson, D.R.; Syed, K. Comparative analyses of cytochrome P450s and those associated with secondary metabolism in Bacillus species. Int. J. Mol. Sci. 2018, 19, 3623. [Google Scholar] [CrossRef] [PubMed]
- Wen, L.-P.; Fulco, A. Cloning of the gene encoding a catalytically self-sufficient cytochrome P-450 fatty acid monooxygenase induced by barbiturates in Bacillus megaterium and its functional expression and regulation in heterologous (Escherichia coli) and homologous (Bacillus megaterium) hosts. J. Biol. Chem. 1987, 262, 6676–6682. [Google Scholar]
- Kai, M. Diversity and distribution of volatile secondary metabolites throughout Bacillus subtilis isolates. Front. Microbiol. 2020, 11, 559. [Google Scholar] [CrossRef]
- Al-Theyab, N.; Alrasheed, O.; Abuelizz, H.; Liang, M. Draft genome sequence of potato crop bacterial isolates and nanoparticles-intervention for the induction of secondary metabolites biosynthesis. Saudi Pharm. J. 2023, 31, 783–794. [Google Scholar] [CrossRef]
- He, J.; Fan, P.; Feng, S.; Shao, P.; Sun, P. Isolation and purification of two isoflavones from Hericium erinaceum mycelium by High-Speed Counter-Current Chromatography. Molecules 2018, 23, 560. [Google Scholar] [CrossRef]
- Zhao, L.; Zhou, Y.; Li, J.; Xia, Y.; Wang, W.; Luo, X.; Yin, J.; Zhong, J. Transcriptional response of Bacillus megaterium FDU301 to PEG200-mediated arid stress. BMC Microbiol. 2020, 20, 351. [Google Scholar] [CrossRef] [PubMed]
- Komiyama, K.; Funayama, S.; Anraku, Y.; Mita, A.; Takahashi, Y.; Omura, S.; Shimasaki, H. Isolation of isoflavonoids possessing antioxidant activity from the fermentation broth of Streptomyces sp. J. Antibiot. 1989, 42, 1344–1349. [Google Scholar] [CrossRef] [PubMed]
- Hu, J.-F.; Wunderlich, D.; Sattler, I.; Thiericke, R.; Grabley, S.; Feng, X.-Z. New 2-o-methylrhamno-isoflavones from Streptomyces sp. Nat. Prod. Res. 2003, 17, 451–458. [Google Scholar] [CrossRef]
- Huang, R.; Ding, Z.-G.; Long, Y.-F.; Zhao, J.-Y.; Li, M.-G.; Cui, X.-L.; Wen, M.-L. A new isoflavone derivative from Streptomyces sp. YIM GS3536. Chem. Nat. Compd. 2013, 48, 966–969. [Google Scholar] [CrossRef]
- Ondrejíčková, P.; Šturdíková, M.; Hushegyi, A.; Švajdlenka, E.; Markošová, K.; Čertík, M. Endophytic Streptomyces sp. AC35, a producer of bioactive isoflavone aglycones and antimycins. J. Ind. Microbiol. Biotechnol. 2016, 43, 1333–1344. [Google Scholar] [CrossRef]
- Anguraj Vadivel, A.K.; Renaud, J.; Kagale, S.; Dhaubhadel, S. GmMYB176 regulates multiple steps in isoflavonoid biosynthesis in soybean. Front. Plant Sci. 2019, 10, 562. [Google Scholar] [CrossRef] [PubMed]
- Liu, C.-J.; Blount, J.W.; Steele, C.L.; Dixon, R.A. Bottlenecks for metabolic engineering of isoflavone glycoconjugates in Arabidopsis. Proc. Natl. Acad. Sci. USA 2002, 99, 14578–14583. [Google Scholar] [CrossRef]
- Álvarez-Álvarez, R.; Botas, A.; Albillos, S.M.; Rumbero, A.; Martín, J.F.; Liras, P. Molecular genetics of naringenin biosynthesis, a typical plant secondary metabolite produced by Streptomyces clavuligerus. Microb. Cell Factories 2015, 14, 178. [Google Scholar] [CrossRef]
- Liu, X.; Tang, J.; Wang, L.; Giesy, J.P. Mechanisms of oxidative stress caused by CuO nanoparticles to membranes of the bacterium Streptomyces coelicolor M145. Ecotoxicol. Env. Saf. 2018, 158, 123–130. [Google Scholar] [CrossRef]
- Ueda, K.; Kim, K.-M.; Beppu, T.; Horinouchi, S. Overexpression of a Gene Cluster Encoding a Chalcone Synthase-like Protein Confers Redbrown Pigment Production in Stveptomyces griseus. J. Antibiot. 1995, 48, 638–646. [Google Scholar] [CrossRef] [PubMed][Green Version]
- Funa, N.; Funabashi, M.; Yoshimura, E.; Horinouchi, S. A novel quinone-forming monooxygenase family involved in modification of aromatic polyketides. J. Biol. Chem. 2005, 280, 14514–14523. [Google Scholar] [CrossRef] [PubMed]
- Schröder, J. Probing plant polyketide biosynthesis. Nat. Struct. Biol. 1999, 6, 714–716. [Google Scholar] [CrossRef] [PubMed]
- Dixon, R.A.; Blyden, E.R.; Robbins, M.P.; Van Tunen, A.J.; Mol, J.N. Comparative biochemistry of chalcone isomerases. Phytochemistry 1988, 27, 2801–2808. [Google Scholar] [CrossRef]
- Herles, C.; Braune, A.; Blaut, M. First bacterial chalcone isomerase isolated from Eubacterium ramulus. Arch. Microbiol. 2004, 181, 428–434. [Google Scholar] [CrossRef]
- Dwarakanath, S.; Chaplin, A.K.; Hough, M.A.; Rigali, S.; Vijgenboom, E.; Worrall, J.A. Response to copper stress in Streptomyces lividans extends beyond genes under direct control of a copper-sensitive operon repressor protein (CsoR). J. Biol. Chem. 2012, 287, 17833–17847. [Google Scholar] [CrossRef] [PubMed]
- Pereira, M.M.; Santana, M.; Teixeira, M. A novel scenario for the evolution of haem–copper oxygen reductases. Biochim. Et Biophys. Acta (BBA)-Bioenerg. 2001, 1505, 185–208. [Google Scholar] [CrossRef]
- Borisov, V.B.; Gennis, R.B.; Hemp, J.; Verkhovsky, M.I. The cytochrome bd respiratory oxygen reductases. Biochim. Et Biophys. Acta (BBA)-Bioenerg. 2011, 1807, 1398–1413. [Google Scholar] [CrossRef]








| Target Gene | Description | Sequence (5′–3′) | Orientation | Amplicon Size (bp) | Annealing Temp (°C) |
|---|---|---|---|---|---|
| csoR * | Metal-sensing transcriptional repressor | TAACACCCATCGTGCGATCA GGAACAAGGAAAAGACTGCCG | Forward | 80 | 60.8 |
| Reverse | 61.8 | ||||
| yjiB | Putative cytochrome P450 YjiB | TGCTGCAATTTTTCGAGCGT | Forward | 101 | 58.8 |
| GGCGTGCCGATAGAAGATCA | Reverse | 61.6 | |||
| Alpha-pyrone synthesis polyketide synthase (CHS) | Alpha-pyrone synthesis polyketide synthase-like Pks CDS | ACTAAATCCAGGGCCAAGAGC GTCTTCGGCAACCGTTTTGT | Forward Reverse | 100 | 62.1 60.6 |
| gyrB | DNA gyrase subunit B (endogenous control) | TCGTACGCTTCTTCTAACGTTCTT | Forward | 91 | 59.1 |
| TTGTGAAACTTTGTAAAGAGGCGG | Reverse | 59.8 |
| Gene | Regulatory | Product Name | Locus_Tag | Region |
|---|---|---|---|---|
| - | CAP | Catabolite activator protein binding site Regulatory | - | 21,969–21,990 |
| 188,970–188,991 | ||||
| 221,183–221,204 245,551–245,573 | ||||
| graR | - | Response regulator protein | FJNEFGOB_01232 | 64,095–64,550, |
| csoR | Copper-sensing transcriptional repressor CsoR | FJNEFGOB_01240 | 67,832–68,095 | |
| yjiB | - | Putative cytochrome P450 YjiB | FJNEFGOB_01253 | 72,891–74,105 |
| gabD | - | Succinate-semialdehyde dehydrogenase (NADP(+)) | FJNEFGOB_01620 | 252,967–253,662 |
| betB | - | NAD/NADP-dependent betaine aldehyde dehydrogenase | FJNEFGOB_01623 | 253,703–253,966 |
| gabT | - | 4-aminobutyrate aminotransferase | FJNEFGOB_01629 | 256,654–257,286 |
| Copper-Related Genes | Locus_Tag | Product |
|---|---|---|
| csoR 2 | FJNEFGOB_06682 | Copper-sensing transcriptional repressor |
| copA | FJNEFGOB_03376 FJNEFGOB_03375 FJNEFGOB_03374 FJNEFGOB_03373 FJNEFGOB_03372 | Copper-exporting P-type ATPase |
| copZ | FJNEFGOB_03369 | Copper chaperone CopZ |
| qoxB | FJNEFGOB_03276 | Quinol oxidase subunit 1 |
| qoxC | FJNEFGOB_03278 | Quinol oxidase subunit 3 |
| cyoC | FJNEFGOB_03277 | Cytochrome bo(3) ubiquinol oxidase subunit 3 |
| Cytochrome P450 (BM-1) | FJNEFGOB_03253 | Cytochrome P450 (BM-1) |
| FJNEFGOB_03252 |
Disclaimer/Publisher’s Note: The statements, opinions and data contained in all publications are solely those of the individual author(s) and contributor(s) and not of MDPI and/or the editor(s). MDPI and/or the editor(s) disclaim responsibility for any injury to people or property resulting from any ideas, methods, instructions or products referred to in the content. |
© 2023 by the authors. Licensee MDPI, Basel, Switzerland. This article is an open access article distributed under the terms and conditions of the Creative Commons Attribution (CC BY) license (https://creativecommons.org/licenses/by/4.0/).
Share and Cite
Al-Theyab, N.S.; Abuelizz, H.A.; Al-Hamoud, G.A.; Aldossary, A.; Liang, M. Priestia megaterium Metabolism: Isolation, Identification of Naringenin Analogues and Genes Elevated Associated with Nanoparticle Intervention. Curr. Issues Mol. Biol. 2023, 45, 6704-6716. https://doi.org/10.3390/cimb45080424
Al-Theyab NS, Abuelizz HA, Al-Hamoud GA, Aldossary A, Liang M. Priestia megaterium Metabolism: Isolation, Identification of Naringenin Analogues and Genes Elevated Associated with Nanoparticle Intervention. Current Issues in Molecular Biology. 2023; 45(8):6704-6716. https://doi.org/10.3390/cimb45080424
Chicago/Turabian StyleAl-Theyab, Nada S., Hatem A. Abuelizz, Gadah A. Al-Hamoud, Ahmad Aldossary, and Mingtao Liang. 2023. "Priestia megaterium Metabolism: Isolation, Identification of Naringenin Analogues and Genes Elevated Associated with Nanoparticle Intervention" Current Issues in Molecular Biology 45, no. 8: 6704-6716. https://doi.org/10.3390/cimb45080424
APA StyleAl-Theyab, N. S., Abuelizz, H. A., Al-Hamoud, G. A., Aldossary, A., & Liang, M. (2023). Priestia megaterium Metabolism: Isolation, Identification of Naringenin Analogues and Genes Elevated Associated with Nanoparticle Intervention. Current Issues in Molecular Biology, 45(8), 6704-6716. https://doi.org/10.3390/cimb45080424

