Does Amifostine Reduce Metabolic Rate? Effect of the Drug on Gas Exchange and Acute Ventilatory Hypoxic Response in Humans
Abstract
:1. Introduction
2. Experimental Section
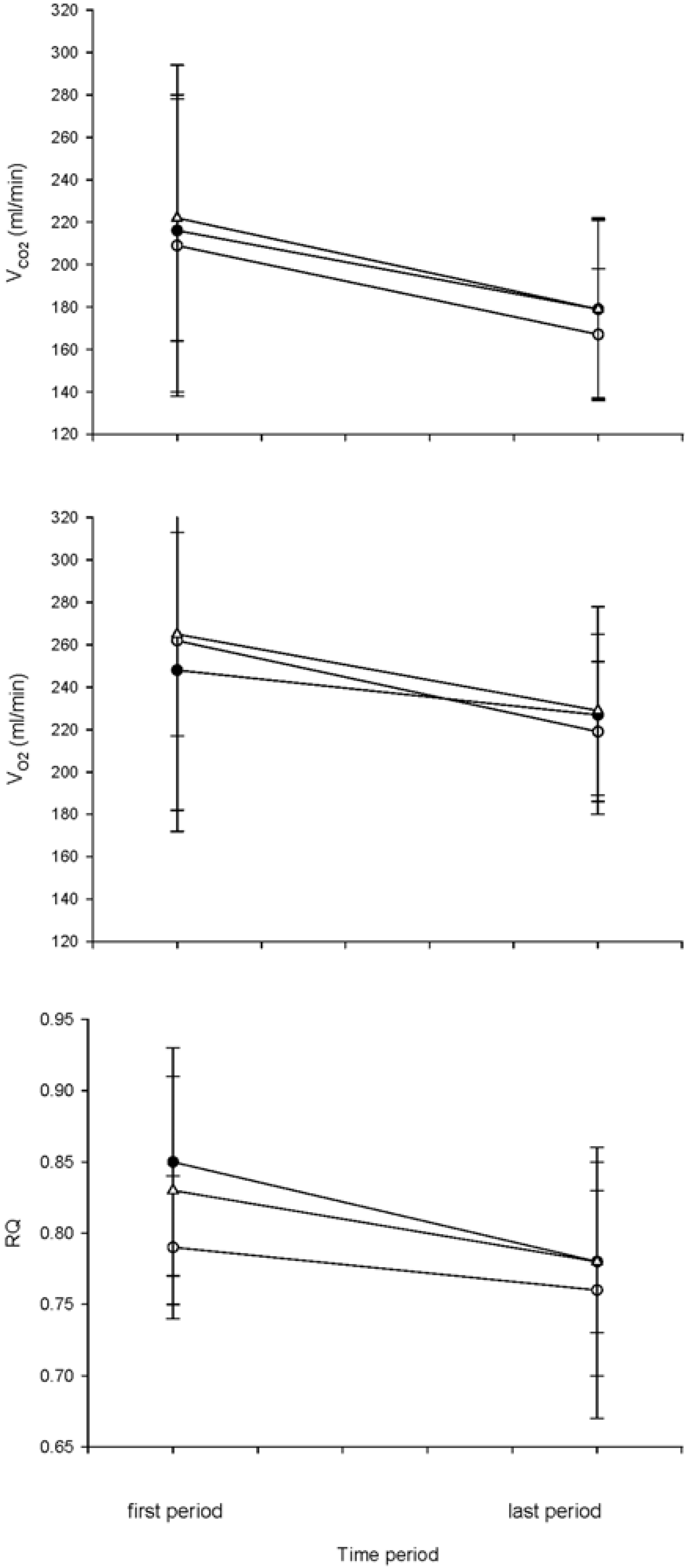
3. Results


| Subject no. | Baseline ventilation; mean (SD) (L/min) | Hypoxic ventilatory response; mean (SD) (L/min) | |||||
|---|---|---|---|---|---|---|---|
| Control | 500 mg | 1000 mg | control | 500 mg | 1000 mg | ||
| 1096 | 12.8 (1.9) | 9.1 (0.6) | 9.4 (1.4) | 10.3 (2.8) | 8.0 (2.8) | 9.8 (2.6) | |
| 1529 | 10.1 (0.7) | 7.0 (0.5) | 6.8 (1.5) | 7.4 (0.5) | 4.9 (1.0) | 11.3 (1.7) | |
| 1599 | 12.2 (1.6) | 10.6 (0.5) | 9.7 (0.8) | 5.9 (0.8) | 4.9 (3.4) | 8.5 (2.0) | |
| 1638 | 12.0 (0.9) | 12.1 (3.4) | 20.4 (0.9) | 17.6 (3.8) | 23.2 (3.0) | 36.7 (4.0) | |
| 1646 | 14.4 (1.4) | 12.3 (0.6) | 20.6 (2.7) | 16.1 (5.2) | 24.4 (3.3) | 26.2 (1.8) | |
| 1649 | 12.3 (1.8) | 19.1 (1.9) | 18.8 (3.1) | 16.8 (2.0) | 16.9 (1.9) | 29.0 (5.0) | |
| Mean | 12.3 | 11.7 | 14.3 | 12.4 | 13.7 | 20.3 | |
| SD | 1.4 | 4.1 | 6.3 | 5.1 | 9.0 | 11.9 | |
4. Discussion
Acknowledgements
Author Contributions
Conflicts of Interest
References
- Sasse, A.D.; Clark, L.G.; Sasse, E.C.; Clark, O.A. Amifostine reduces side effects and improves complete response rate during radiotherapy: Results of a meta-analysis. Int. J. Radiation. Oncol. Biol. Phys. 2006, 64, 784–791. [Google Scholar] [CrossRef]
- Savoye, C.; Swenberg, C.; Hugot, S.; Sy, D.; Sabattier, R.; Charlier, M.; Spotheim-Maurizot, M. Thiol WR-1065 and disulphide WR-33278, two metabolites of the drug ethyol (WR- 2721), protect DNA against fast neutron-induced strand breakage. Int. J. Radiation. Oncol. Biol. Phys. 1997, 71, 193–202. [Google Scholar] [CrossRef]
- Glover, D.; Negendank, W.; Delivoria-Papadopoulos, M.; Glick, J.H. Alterations in oxygen transport following WR-2721. Int. J. Radiation. Oncol. Biol. Phys. 1984, 10, 1565–1568. [Google Scholar] [CrossRef]
- Koukourakis, M.I.; Giatromanolaki, A.; Chong, W.; Simopoulos, C.; Polychronidis, A.; Sivridis, E.; Harris, A.L. Amifostine induces anaerobic metabolism and hypoxia-inducible factor 1 alpha. Cancer Chemother. Pharmacol. 2004, 53, 8–14. [Google Scholar] [CrossRef] [PubMed]
- Shimizu, S.; Eguchi, Y.; Kamiike, W.; Itoh, Y.; Hasegawa, J.; Yamabe, K.; Otsuki, Y.; Matsuda, H.; Tsujimoto, Y. Induction of apoptosis as well as necrosis by hypoxia and predominant prevention of apoptosis by Bcl-2 and Bcl-XL. Cancer Res. 1996, 56, 2161–2166. [Google Scholar] [PubMed]
- Lahiri, S.; Antosiewicz, J.; Pokorski, M. A common oxygen sensor regulates the sensory discharge and glomus cell HIF-1alpha in the rat carotid body. J. Physiol. Pharmacol. 2007, 58 (Suppl. 5), 327–333. [Google Scholar]
- Semenza, G.L.; Prabhakar, N.R. The role of hypoxia-inducible factors in oxygen sensing by the carotid body. Adv. Exp. Med. Biol. 2012, 758, 1–5. [Google Scholar] [PubMed]
- Pandit, J.J.; Robbins, P.A. The ventilatory effects of sustained isocapnic hypoxia during exercise in humans. Respir. Physiol. 1991, 86, 393–404. [Google Scholar] [CrossRef] [PubMed]
- Pandit, J.J.; Robbins, P.A. Acute ventilatory responses to hypoxia during voluntary and electrically induced leg exercise in man. J. Physiol. 1994, 477, 161–168. [Google Scholar] [CrossRef] [PubMed]
- Zuurbier, C.J.; Koeman, A.; Houten, S.M.; Hollmann, M.W.; Florijn, W.J. Optimizing anesthetic regimen for surgery in mice through minimization of hemodynamic, metabolic, and inflammatory perturbations. Exp. Biol. Med. (Maywood) 2014, 239, 737–746. [Google Scholar] [CrossRef]
- Dorr, R.T.; Holmes, B.C. Dosing considerations with amifostine: a review of the literature and clinical experience. Seminars Oncol. 1999, 2 (Suppl. 7), 108–119. [Google Scholar]
- Robbins, P.A.; Swanson, G.D.; Howson, M.G. A prediction-correction scheme for forcing alveolar gases along certain time course. J. Appl. Physiol. 1982, 52, 1353–1357. [Google Scholar] [PubMed]
- Howson, M.G.; Khamnei, S.; McIntyre, M.E.; O’Connor, D.F.; Robbins, P.A. A rapid computer-controlled binary gas-mixing system for studies in respiratory control. J. Physiol. 1987, 394, 7P. [Google Scholar]
- Pandit, J.J.; Robbins, P.A. Ventilation and gas exchange during sustained exercise at normal and raised CO2 in man. Respir. Physiol. 1992, 88, 101–112. [Google Scholar] [CrossRef] [PubMed]
- Pandit, J.J.; Robbins, P.A. Respiratory effects of breathing high oxygen during incremental exercise in humans. Adv. Exp. Med. Biol. 2001, 499, 331–336. [Google Scholar] [PubMed]
- Lehr, R. Sixteen S-squared over D-squared: A relation for crude sample size estimates. Stat. Med. 1992, 11, 1099–1102. [Google Scholar] [CrossRef] [PubMed]
- Pandit, J.J. The analysis of variance in anaesthetic research: Statistics, history and biography. Anaesthesia 2010, 65, 1212–1220. [Google Scholar] [CrossRef] [PubMed]
- Purdie, J.W.; Inhaber, E.R.; Schneider, H.; Labelle, J.L. Interaction of cultured mammalian cells with WR-2721 and its thiol WR-1065: Implications for mechanisms of radioprotection. Int. J. Rad. Biol. 1983, 43, 517–527. [Google Scholar] [CrossRef]
- Romijn, J.A.; Godfried, M.H.; Hommes, M.J.; Endert, E.; Sauerwein, H.P. Decreased glucose oxidation during short-term starvation. Metabolism 1990, 39, 525–530. [Google Scholar] [CrossRef] [PubMed]
- Oltmanns, K.M.; Gehring, H.; Rudolf, S.; Schultes, B.; Hackenberg, C.; Schweiger, U.; Born, J.; Fehm, H.L.; Peters, A. Acute hypoxia decreases plasma VEGF concentration in healthy humans. Am. J. Physiol. Endocrinol. Metab. 2006, 290, E434–E439. [Google Scholar] [CrossRef] [PubMed]
- Tefferi, A.; Elliott, M.A.; Steensma, D.P.; Hook, C.C.; Dispenzieria, A.; Hanson, C.A.; Schroeder, G.; Letendre, L. Amifostine alone and in combination with erythropoietin for the treatment of favorable myelodysplastic syndrome. Leuk. Res. 2001, 25, 183–185. [Google Scholar] [CrossRef] [PubMed]
- Dedieu, S.; Canron, X.; Rezvani, H.R.; Bouchecareilh, M.; Mazurier, F.; Sinisi, R.; Zanda, M.; Moenner, M.; Bikfalvi, A.; North, S. The cytoprotective drug amifostine modifies both expression and activity of the pro-angiogenic factor VEGF-A. BMC Med. 2010, 24, 19. [Google Scholar] [CrossRef]
- Yu, A.Y.; Shimoda, L.A.; Iyer, N.V.; Huso, D.L.; Sun, X.; McWilliams, R.; Beaty, T.; Sham, J.S.; Wiener, C.M.; Sylvester, J.T.; et al. Impaired physiological responses to chronic hypoxia in mice partially deficient for hypoxia-inducible factor 1alpha. J. Clin. Invest. 1999, 103, 691–696. [Google Scholar]
- Kline, D.D.; Peng, Y.; Manalo, D.J.; Semenza, G.L.; Prabhakar, N.R. Defective carotid body function and impaired ventilatory response to chronic hypoxia in mice partially deficient for hypoxia-inducible factor 1α. Proc. Nat. Acad. Sci. U S A 2002, 99, 821–826. [Google Scholar] [CrossRef]
- Roux, J.C.; Pequignot, J.M.; Dumas, S.; Pascual, O.; Ghilini, G.; Pequignot, J.; Mallet, J.; Denavit-Saubié, M. O2-sensing after carotid chemodenervation: Hypoxic ventilatory responsiveness and upregulation of tyrosine hydroxylase mRNA in brainstem catecholaminergic cells. Eur. J. Neurosci. 2000, 12, 3181–3190. [Google Scholar] [CrossRef] [PubMed]
- Schnell, P.O.; Ignacak, M.L.; Bauer, A.L.; Striet, J.B.; Paulding, W.R.; Czyzyk-Krzeska, M.F. Regulation of tyrosine hydroxylase promoter activity by the von Hippel-Lindau tumor suppressor protein and hypoxia-inducible transcription factors. J. Neurochem. 2003, 85, 483–491. [Google Scholar]
- Pascual, O.; Denavit-Saubié, M.; Dumas, S.; Kietzmann, T.; Ghilini, G.; Mallet, J.; Pequignot, J.M. Selective cardiorespiratory and catecholaminergic areas express the hypoxia-inducible factor-1alpha (HIF-1alpha) under in vivo hypoxia in rat brainstem. Eur. J. Neurosci. 2001, 14, 1981–1991. [Google Scholar] [CrossRef] [PubMed]
- Nieder, C.; Andratschke, N.H.; Wiedenmann, N.; Molls, M. Prevention of radiation-induced central nervous system toxicity: A role for amifostine. Anticancer Res. 2004, 24, 3803–3809. [Google Scholar]
- Semenza, G.L. Targeting HIF-1 for cancer therapy. Nat. Rev. Cancer 2003, 3, 721–732. [Google Scholar] [CrossRef] [PubMed]
© 2015 by the authors. Licensee MDPI, Basel, Switzerland. This article is an open access article distributed under the terms and conditions of the Creative Commons Attribution license ( http://creativecommons.org/licenses/by/4.0/).
Share and Cite
Pandit, J.J.; Allen, C.; Little, E.; Formenti, F.; Harris, A.L.; Robbins, P.A. Does Amifostine Reduce Metabolic Rate? Effect of the Drug on Gas Exchange and Acute Ventilatory Hypoxic Response in Humans. Pharmaceuticals 2015, 8, 186-195. https://doi.org/10.3390/ph8020186
Pandit JJ, Allen C, Little E, Formenti F, Harris AL, Robbins PA. Does Amifostine Reduce Metabolic Rate? Effect of the Drug on Gas Exchange and Acute Ventilatory Hypoxic Response in Humans. Pharmaceuticals. 2015; 8(2):186-195. https://doi.org/10.3390/ph8020186
Chicago/Turabian StylePandit, Jaideep J., Caroline Allen, Evelyn Little, Federico Formenti, Adrian L. Harris, and Peter A. Robbins. 2015. "Does Amifostine Reduce Metabolic Rate? Effect of the Drug on Gas Exchange and Acute Ventilatory Hypoxic Response in Humans" Pharmaceuticals 8, no. 2: 186-195. https://doi.org/10.3390/ph8020186
APA StylePandit, J. J., Allen, C., Little, E., Formenti, F., Harris, A. L., & Robbins, P. A. (2015). Does Amifostine Reduce Metabolic Rate? Effect of the Drug on Gas Exchange and Acute Ventilatory Hypoxic Response in Humans. Pharmaceuticals, 8(2), 186-195. https://doi.org/10.3390/ph8020186
