The Uses of 2-Ethoxy-(4H)-3,1-benzoxazin-4-one in the Synthesis of Some Quinazolinone Derivatives of Antimicrobial Activity
Abstract
: The behavior of 2-ethoxy-(4H)-3,1-benzoxazin-4-one (1) towards nitrogen nucleophiles, e.g. ethanolamine, aromatic amines (namely: p-toluidine, p-anisidine, p-hydroxyaniline, o-hydroxyaniline, o-bromoaniline, o-phenylenediamine, p-phenylenediamine, o-tolidinediamine) p-aminobenzoic acid, glucosamine hydrochloride, 2-aminonicotinic acid, 1-naphthalenesulfonic acid hydrazide, n-decanoic acid hydrazide, benzoic acid hydrazide, semicarbazide, aminoacids (e.g. D,L-alanine, L-asparagine, L-arginine) and derivatives of 2-aminothiodiazole has been investigated. The behavior of the benzoxazinone towards a selected sulfur nucleophile, L-cysteine, has also been discussed. Formation of an amidine salt as a reaction intermediate has been assumed. The effect of solvent in some reactions has been elucidated. The structures of all the novel quinazoline and quinazolinone derivatives, obtained by heterocyclic ring opening and ring closure were inferred by the IR, MS as well as 1H-NMR spectral analysis. Moreover, the antimicrobial potential of some of the new synthesized derivatives has been evaluated.1. Introduction
3,1-Benzoxazin-4-ones can be considered as semiacid anhydrides which undergo many of the reactions of true acid anhydrides, but at a slower rate. This special reactivity allows this class of compounds to be useful as antimicrobial [1], anti-platelet aggregation [2], human leukocyte elastase inhibitors [3], receptor agonist active [4], receptor antagonist active [5-9], pesticides [10], tissue culture protective and in vivo model of neurodegeneration [11] and improve the umbilical vein endothelial cells [12]. In this paper, we report both the uses of 2-ethoxy-(4H)-3,1-benzoxazin-4-one (1, Scheme 1) in the synthesis of some quinazolinone derivatives and the screening of antimicrobial activity of some of the newly synthesized derivatives against Gram-negative and Gram-positive bacteria as well as fungi by means of the disc diffusion method.
2. Results and Discussion
Herein we report the behavior of benzoxazinone derivative 1 towards some nitrogen and sulfur nucleophiles with the aim of obtaining more precise information about the course of the reaction (the ethoxy group has a small size and negative inductive effect). Thus the reaction of derivative 1 with ethanolamine in boiling ethanol yielded compound 2 (Scheme 1) which on heating above its melting point (120-121 °C) yielded the desired product 3.
The elemental analyses and spectroscopic data for 2 and 3 are consistent with the assigned structures. Isolation of product 2 ruled out the abnormal nucleophilic addition to C-2 to form the amidine salt which subsequently dehydrates to give the desired product 3 [12] (Scheme 2):
The mass spectrum for product 3 showed a molecular ion peak at m/z 234, 236 for the parent compound followed by ions at m/z 190,192 and m/z 174,176 attributable for 2-ethoxyquinazolin-4-one and 2-ethoxyquinazoline, respectively.
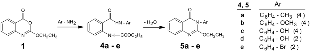
Reacting compound 1 with aromatic amines namely, p-toluidine, p-anisidine, p-hydroxyaniline, o-hydroxyaniline and o-bromoaniline in boiling ethanol afforded the corresponding 4a-e in good yields. These, in turn, can be cyclized to the corresponding quinazolinones 5a-e under thermal conditions (240-260 °C) or with acetic anhydride. The formation of compound 4 possibly takes place via heteroring opening via nucleophilic addition at the more reactive C-4 in the oxazinone moiety (no ring closure takes place under this condition due to the small size of ethoxy group that does not enhance cyclization), but under thermal conditions ring closure was obtained (Scheme 3).
Interpretation of the mass spectra for products 5a-e always showed molecular ion peaks of the parent compounds, followed by ion peaks for further fragments, including those for 2-ethoxy-4-(3H)-oxoquinazoline at m/z 191,193 which could be attributed for the loss of sugar residue, and ending with those for the 2-ethoxyquinazoline at m/z 175, 177 (Scheme 4).
Reacting compound 1 with p-aminobenzoic acid (in boiling butanol) and p-phenylenediamine (in boiling ethanol) afforded quinazolones 6a and 6b respectively. Also, reacting compound 1 with 2-aminonicotinic acid and 3,3′-dimethyl-4,4′-biphenyldiamine (o-tolidinediamine) each in boiling ethanol afforded quinazolinones 6c and 6d, respectively. But when compound 1 was reacted with o-phenylenediamine in boiling ethanol it yielded the tetracyclic product 7. The structures of products 6–7 were based on the microanalytical and spectral data (Scheme 5).
Interpretation for the mass spectra for compounds 6a-d and 7 is shown in Scheme 6.
It is well known that cyclic and acyclic nucleosides often enhance the biological activity of heterocyclic derivatives [11]. Thus, product 1 when glycosidated by glucosamine hydrochloride in the presence of pyridine, afforded the quinazolinone derivative 8 (Scheme 7). The structure of compound 8 was established according to its microanalytical and spectroscopic data.
The mass spectrum interpretation for compound 8 is interpreted in Scheme 8.
Sulfonamides are well known for their interesting antibacterial and antifungal activities [13]. Therefore, product 1 when reacted with o-naphthalenesulonyl hydrazide in boiling ethanol gave product 9 (Scheme 9).
The mass spectrum interpretation for compound 8 is shown in Scheme 10.
The reaction of n-decanohydrazide with product 1 in ethanol gave product 10 (Scheme 11).
The reaction possibly took place via hydrazide hydrogen that bonded to the nitrogen atom of the heterocycle then underwent an “abnormal” nucleophilic attack to C-2 to form the amidine salt which subsequently dehydrated to give the product (Scheme 12). The structure of product 10 was based on the microanalytical and spectral data.
An interpretation of the mass spectrum data for compound 10 is shown in Scheme 13.
The outcome of the reaction of compound 1 with benzohydrazide depended on the solvent used. For instance, when the reaction was carried out in n-butanol derivative 11 was obtained, whereas when the reaction ocurred in benzene derivative 12 was obtained (Scheme 14).
This revealed that in n-butanol the reaction took place via the heteroring opening at C-2 followed by cyclisation to give product 11, where no quinazolone derivative was obtained due to the amidine salt present in the more thermodynamically stable Z-form (Scheme 15), whereas in benzene the product 12 (as the kinetically controlled product) was obtained. However, carrying out this reaction in ethanol, instead, increases the difficulty for ring closure. This might be because of the lower boiling point of ethanol (78 °C), as a protic solvent, compared with that of water (100 °C), whereas benzene (b.p. 80 °C) is aprotic. The structures of products 11 and 12 were based on microanalytical and spectral data. Interpretation of the mass spectral data is shown in Scheme 16.
Heating of compound 1 with semicarbazide in acetic acid in the presence of fused sodium acetate gave compound 13 (Scheme 17). The reaction took place via heteroring opening at C-4 then dehydration. The structure of product 13 was based on microanalytical and spectral data. The mass spectrum interpretation is shown in Scheme 18.
Benzoxazinone 1 when reacted with amino acids, namely D,L-alanine, L-asparagine, and L-arginine under fusion conditions at 190 °C or by refluxing in pyridine in the presence of few drops of water produced derivatives 14a-c, respectively [14-16] (Scheme 19). The reaction took place via heteroring ring opening at C-4 followed by water elimination. In contrast, the reaction of L-cysteine with compound 1 in boiling pyridine yielded compound 15, where the reaction took place via the heteroring opening at C-4 by the sulfur nucleophile (rather than nitrogen nucleophile) to give derivative 15 as an S-aroylcysteine. The S-substituted cysteines are either products or used as intermediates in many syntheses [17]. The structures of products 14a-c and 15 were based on microanalytical and spectral data.
The mass spectra interpretation for compounds 14a-c and 15 is shown in Scheme 20.
Reacting benzoxazinone 1 with heteroaromatic amines, namely 2-phenyl-5-aminothiadiazole, 2-cinnamyl-5-aminothiadiazole, or 5-phthalimidomethyl-2-aminothiadiazole in boiling acetic acid in the presence of fused sodium acetate afforded 2-ethoxy-3- substituted-quinazolones 16a-c (Scheme 21). The structures of products 16a-c were based on microanalytical and spectral data. Interpretation for the mass spectra of derivatives 16a-c is shown in Scheme 22.
3. Antimicrobial Evaluation
Compounds 3, 6b, 6d, 8, 9, 10, 12, 14, 16a, 16b and 16c were tested for antimicrobial activity against Escherichia coli (Gram negative bacterium), Staphylococcus aureus (Gram positive bacterium), Aspergillus flavus and Candida albicans (fungi) using the disc diffusion method. The antimicrobial evaluation was done in the Microanalytical Center at Cairo University.
3.1. General disc diffusion (agar-based) method
Standard discs of tetracycline (antibacterial agent) and amphotericin B (antifungal agent) served as positive controls and references for antimicrobial activities respectively, but filter discs impregnated with 10 μL of solvent (chloroform, ethanol, DMF) were used as a negative control. The agar used is Meuller– Hinton agar that is rigorously tested for composition and pH. The depth of the agar in the plate is a factor to be considered in this method. Blank paper discs (Schleicher and Schuell, Spain) with a diameter of 8.0 mm were impregnated with 10 μL of the tested concentration of the stock solutions. When a filter paper disc impregnated with a tested chemical is placed on agar, the chemical will diffuse from the disc into the agar. This diffusion will place the chemical in the agar only around the disc. The solubility of the chemical and its molecular size will determine the size of the area of chemical infiltration around the disc. If an organism is placed on the agar it will not grow in the area susceptible to the chemical around the disc. This area of no growth around the disc is the “zone of inhibition” or “clear zone”. For disc diffusion, the zone diameters were measured with slipping calipers of the National Committee for Clinical Laboratory Standards (NCCLS) [18]. Agar-based method is a good alternative method being simpler and faster than broth–based methods [19, 20].
4. Antibacterial Activity
Results of antibacterial activity tested against Escherichia coli (G-) and Staphylococcus aureus (G+) showed that all of the selected compounds are antibacterially active and comparatively efficient.
5. Antifungal Activity
Results of antifungal activity tested against two strains of fungi namely, Aspergillus flavus and Candida albicans showed that compounds 9, 16b and 16c were active against both fungi, compound 16a was active only with A. flavus and compounds 6b, 8, 10 and 12 were only active on C. albicans, whereas the rest of compounds were inactive.
In conclusion all the compounds 3, 6b, 6d, 8, 9, 10, 12, 14b and 16a-c were antibacterially active and comparatively efficient. In addition, compounds 9, 16b and 16c were active against both fungi, 16a was active only with A. flavus, 6b, 8, 10 and 12 were active only with C. albicans, and the rest were inefficient. The following graph (Figure 1) represents the antimicrobial activity of these products compared to those of tetracycline and Amphotericin B.
6. Experimental
6.1. General
All melting points recorded are uncorrected. The IR spectra were recorded on a Pye Unicam SP1200 spectrophotometer using the KBr wafer technique. The 1H-NMR spectra were determined on a Varian FT-200 or Bruker AC-200 MHz instrument using TMS as an internal standard. Chemical shifts (δ) are expressed in ppm. The mass spectra were determined using MP model NS-5988 and Shimadzu single focusing mass spectrometer (70 eV). All solvents used were of HPLC/AnalaR grade. All reagents were used as received from Alfa Aesar. Compound 1 was prepared according to methods available in the literature [21], and in the order to avoid moisture it was immediately used after preparation, prior to each synthesis.
6.2. General Procedure for the Synthesis of Compounds 2 and 3
A mixture of 2-ethoxy(4H)-3,1-benzoxazin-4-one 1 (0.01 mol) and ethanolamine (0.01 mol) in boiling ethanol (30 mL) was refluxed for 3 h. Concentration of the solvent left a white precipitate of compound 2 which was crystallized from ethanol affording beige white crystals. Heating product 2 above its melting point yielded the corresponding product 3.
2- Ethoxycarbonylamino(β-hydroxyethyl)benzamide (2): Yellowish white crystals from ethanol; m.p. 120-121 °C; yield 80%; Anal. for C12H16N2O4 (m.w. 252); Found: C, 57.21; H, 6.29; N, 11.13; Calcd: C, 57.14; H, 6.35; N, 11.11; IR υ (cm-1) 1636 (C=O), 1737 (C=O), 3069 (CH), 3130 (NH), 3342 (OH); MS: m/z [252]+.
2-Ethoxy–3-(2-hydroxyethyl)quinazolin–4–one (3). Light brown crystals from ethanol; m.p. 108–109 °C; yield 75%; Anal. for C12H14N2O3 (m.w. 234); Found: C, 61.05; H, 5.98; N, 12.03; Calcd: C, 61.54; H,5.98; N, 11.97; IR υ (cm-1) 1660 (C=O), 3340 (OH). MS: m/z (int. %) [M+H]+ 234 (58.0), 236 (12.8), 190 (100), 192 (22.3); 174 (22.3), 176 (12.4); 1H-NMR (DMSO-d6) δ1.19 (t, 3H; -OCH2CH3, J =7.4 Hz), 3.52 (m, 2H, 2′-H), 4.32 (q, 2H; -OCH2CH3, J =7.4 Hz), 4.13 (m, 1H, 1′-H), 5.72 (s, br., OH), 7.41−8.16 (4 d, 4H; ArH).
6.3. General procedure for the synthesis of compounds 4a-e
A mixture of benzoxazinone 1 (0.01 mol) and an aromatic amine, namely p-toluidine, p-anisidine, p-hydroxyaniline, o-hydroxyaniline and o-bromoaniline (0.01 mol), in boiling ethanol (40 mL) was refluxed for 3-6 h. The obtained precipitate was filtered off, washed with water, dried and crystallized from proper solvent to give the corresponding products 4a-e, respectively.
2-Ethoxycarbonylamino–N-(4-methylphenyl)benzamide (4a): Brown crystals from ethanol; m.p. 116-117 °C; yield 85%; Anal. for C17H18N2O3 (m.w. 298); Found: C, 68.68; H, 6.12; N, 9.40; Calcd: C, 68.46; H, 6.04; N, 9.40; IR υ (cm-1) 1636, 1726 (2×C=O), 3361 (NH). MS: m/z (int. %) [M+H]+ 298; 1H-NMR (DMSO-d6) δ 1.28 (t, 3H; -OCH2CH3, J = 7.4Hz), 2.21 (s, 3H; ArCH3), 4.16 (q, 2H; -OCH2CH3, J = 7.4 Hz), 7.08-7.18 (m, 4H; Ph-H), 6.99–7.67 (m, 4H, quinazolinone), 9.92 (s, 1H, amide NH), 10.76 (s, 1H, amino, D2O exchangeable).
2-Ethoxycarbonylamino–N-(4-methoxyphenyl)benzamide (4b): Brown crystals from ethanol; m.p. 133–134 °C; yield 80%; Anal. for C17H18N2O4 (m.w. 314); Found: C, 64.88; H, 5.64; N, 8.89; Calcd: C, 64.97; H, 5.73; N, 8.91; IR υ (cm-1) 1638, 1725 (2×C=O), 3361 (NH). MS: m/z (int. %)[M+H]+ 314 (68.2%).
2-Ethoxycarbonylamino-N-(4-hydroxyphenyl)benzamide (4c): Brown crystals from ethanol; m.p. 114–115 °C; yield 75%; Anal. for C16H16N2O4 (m.w. 300); Found: C, 64.06; H, 5.28; N, 9.21; Calcd: C, 64.00; H, 5.33; N, 9.33; IR υ (cm-1) 1640, 1734 (2×C=O), 3321 (NH), 2992 (OH).
2-Ethoxycarbonylamino-N-(2-hydroxyphenyl)benzamide (4d): Brown crystals from ethanol; m.p. 111-112 °C; yield 75%; Anal. for C16H16N2O4 (m.w. 300); Found: C, 64.02; H, 5.30; N, 9.23; Calcd: C, 64.00; H, 5.33; N, 9.33; IR υ (cm-1) 1638, 1713 (2×C=O), 3268 (NH), 3402 (OH). MS: m/z (int. %) [M+H]+ 300 (44%).
2-Ethoxycarbonylamino-N-(2-bromophenyl)benzamide (4e): Brown crystals from ethanol; m.p. 105-106 °C; yield 85%; Anal. for C16H15BrN2O3 (m.w. 363); Found: C, 52.77; H, 4.16; N, 7.72; Br, 22.16; Calcd: C, 52.89; H, 4.13; N, 7.71; Br, 22.04; IR υ (cm-1) 1637, 1740 (2×C=O), 3402 (NH); MS: m/z (int.%) [M+H]+ 363 (47.4%).
6.4. General procedure for the synthesis of compounds 5a-e
Method A: Compounds 4a-e (0.01 mol) were heated in a round bottom flask (25 mL) in an oil bath at 160 °C for 30 minutes. After cooling the products were crystallized from the proper solvent to give the corresponding quinazolinones 5a-e, respectively.
Method B: A solution of compound 4a-e (0.01 mol) in acetic anhydride (15 mL) was heated under reflux for 2 hr. The solid that separated out after dilution with water was filtered off, dried and crystallized from the proper solvent to give compounds 5a-e, respectively.
2-Ethoxy-3-(4-methylphenyl)quinazolin-4-one (5a): Dark brown crystals from light petroleum (100–120 °C); m.p. 91–92 °C; yield 90%; Anal. for C17H16N2O2 (m.w. 280); Found: C, 72.34; H, 5.62; N, 9.89; Calcd: C, 72.34; H, 5.67; N, 9.93; IR υ (cm-1) 1670 (C=O); MS: m/z (int. %) [M+H]+ 280 (58.0), 282 (13.8), 191 (100), 193 (18.2), 175 (8.3), 177 (0.7), 157 (6.3), 159 (0.6), 130 (67.0), 132 (11.9); 1H-NMR (DMSO-d6) δ 1.24 (t, 3H; -OCH2CH3, J = 7.4 Hz), 2.21 (s, 3H; ArCH3), 4.18 (q, 2H; -OCH2CH3, J = 7.4 Hz), 7.40–7.60 (m, 4H; Ph-H), 7.08–7.18 (m, 4H, quinazolinone).
2-Ethoxy-3-(4-methoxyphenyl)quinazolin-4-one (5b): Dark brown crystals from toluene; m.p. 114–115 °C; yield 85%; Anal. for C17H16N2O3 (m.w. 298); Found: C, 68.32; H, 5.32; N, 9.41; Calcd: C, 68.46; H, 5.37; N, 9.40; IR υ (cm-1) 1668 (C=O); MS: m/z (int. %) [M+H]+ 298 (52.3), 300 (31.1), 191 (100), 193 (13.5), 175 (27.2), 177 (0.7), 157 (3.3), 159 (0.4), 130 (54.6), 132 (8.3); 1H-NMR (DMSO-d6) δ 1.22 (t, 3H; -OCH2CH3, J = 7.4 Hz), 3.76 (s, 3H; OCH3), 4.35 (q, 2H; -OCH2CH3, J = 7.4 Hz), 6.66–7.68 (m, 4H; Ph-H), 7.47–8.19 (m, 4H, quinazolinone).
2-Ethoxy-3-(4-hydroxyphenyl)quinazolin-4-one (5c): Dark brown crystals from benzene; m.p. 105–106 °C; yield 80%; Anal. for C16H14N2O3 (m.w. 284); Found: C, 67.42; H, 4.70; N, 9.81; Calcd: C, 67.60; H, 4.93; N, 9.86; IR υ (cm-1) 1671 (C=O), 2992 (OH); MS: m/z (int. %) [M+H]+ 284 (43.0), 286 (16.3), 191 (100), 193 (52.3), 175 (20.8), 177 (0.1), 157 (4.3), 159 (0.5), 130 (57.4), 132 (7.9); 1H-NMR (DMSO-d6) δ 1.22 (t, 3H; -OCH2CH3, J = 7.4Hz), 4.35 (q, 2H; -OCH2CH3, J = 7.4 Hz), 5.35 (s, H; OH), 6.68–7.69 (m, 4H; Ph-H), 7.43–8.19 (m, 4H, quinazolinone).
2-Ethoxy-3-(2-hydroxyphenyl)quinazolin-4-one (5d): Dark brown crystals from light petroleum (100–120 °C); m.p. 89-90 °C; yield 80%; Anal. for C16H14N2O3 (m.w. 284); Found: C, 67.31; H, 4.73; N, 9.89; Calcd: C, 67.60; H, 4.93; N, 9.86; IR υ (cm-1) 1669 (C=O), 2988 (OH); MS: m/z (int. %) [M+H]+ 284 (48.0), 286 (6.3), 191 (100), 193 (43.3), 175 (18.2), 177 (0.1), 157 (4.7), 159 (1.2), 130 (67.1), 132 (6.3); 1H-NMR (DMSO-d6) δ 1.22 (t, 3H; -OCH2CH3, J = 7.4 Hz), 4.36 (q, 2H; -OCH2CH3, J = 7.4 Hz), 5.55 (s, H; OH), 6.76–7.67 (m, 4H; Ph-H), 7.30–8.19 (m, 4H, quinazolinone).
2-Ethoxy-3-(2-bromophenyl)quinazolin-4-one (5e): Dark brown crystals from light petroleum (80–100 °C); m.p. 93–94 °C; yield 90%; Anal. for C16H13BrN2O2 (m.w. 345); Found: C, 67.31; H, 4.73; N, 9.89; Br, 23.25; Calcd: C, 67.60; H, 4.9; N, 9.86; Br, 23.19; IR υ (cm-1) 1670 (C=O); MS: m/z (int. %) [M+H]+ 345 (66.0), 347 (22.4), 191 (100), 193 (28.3), 175 (23.3), 177 (0.2), 157 (5.8), 159 (0.4), 130 (61.4), 132 (5.4); 1H-NMR (DMSO-d6) δ 1.21 (t, 3H; -OCH2CH3, J = 7.4 Hz), 4.36 (q, 2H; -OCH2CH3, J = 7.4 Hz), 7.26-7.51 (m, 4H; Ph-H), 7.29-8.19 (m, 4H, quinazolinone). Compounds 5a-e were devoid any ester and/or NH group bands.
6.5. General Procedure for the Synthesis of Compounds 6a-d
A mixture of benzoxazinone 1 (0.01 mol) and any of the aromatic amines p-aminobenzoic acid, 2-aminonicotinic acid, p-phenylenediamine, or 3,3′-dimethyl-4,4′-biphenyldiamine (0.01 mol) in boiling butanol (30 mL) was refluxed for 3-6 h (depending on the nucleophile). Concentrating the solution gave a solid which was washed, filtered, dried and then recrystallized from the proper solvent affording the desired quinazolinone derivatives 6a-d, respectively.
4-[2-Ethoxy-4-quinazolon-3-yl]benzoic acid (6a): Light brown crystals from ethanol; m.p. 151–152 °C; yield 80%; Anal. for C17H14N2O4 (m.w. 310); Found: C, 65.44; H, 4.72; N, 9.00; Calcd: C, 65.80; H, 4.52; N, 9.03; IR υ (cm-1) 1675, 1705 (2×C=O), 3355 (chelated OH); MS: m/z (int. %) [M+H]+ 310 (63.0), 312 (28.2), 191 (100), 193 (27.8), 175 (34.3), 177 (0.6), 130 (59.3), 132 (0.2), 122 (1.8),124 (0.2), 78 (0.1), 80 (0.1); 1H-NMR (DMSO-d6) δ1.22 (t, 3H; -OCH2CH3, J = 6.9 Hz), 4.36 (q, 2H; -OCH2CH3, J = 6.9 Hz), 7.40-8.00 (m, 4H; Ph-H), 7.43-8.19 (m, 4H, quinazolinone), 10.6 (1H, acid proton).
2-Ethoxy-3-(4-aminophenyl)quinazolin-4-one (6b): Light blue crystal from ethanol; m.p. 105–106 °C; yield 80%. Anal. for C16H12N3O2 (m.w. 278); Found: C, 69.22; H, 4.16; N, 15.08; Calcd: C, 69.06; H, 4.32; N, 15.10; IR υ (cm-1) 1635 (C=N), 1670 (C=O), 3225 (NH). MS: m/z (int. %) [M+H]+ 278 (55.0), 280 (18.2), 191 (100), 193 (31.7), 175 (32.1), 177 (0.8), 157 (4.7), 159 (0.6), 130 (52.4), 132 (0.3), 93 (0.9), 95 (0.1), 78 (0.2), 80 (0.1); 1H-NMR (DMSO-d6) δ 1.22 (t, 3H; -OCH2CH3, J = 6.9 Hz), 4.35 (q, 2H; -OCH2CH3, J = 6.9 Hz), 5.12 (s, 2H, NH2), 6.70–7.43 (m, 4H; Ph-H), 7.47–8.19 (m, 4H, quinazolinone).
2-[2-Ethoxy-4-oxoquinazolin-384H)-yl]pyridine-3-caboxylic acid (6c): Brown crystals from ethanol; m.p. 298-300 °C; yield 80%; Anal. for C16H13N3O4 (m.w. 311); Found: C, 61.58; H, 4.26; N, 13.20; Calcd: C, 61.74; H, 4.18; N, 13.50; IR υ (cm-1) 1634, 1704 (2×C=O), 3255 (chelated OH); MS: m/z (int. %) [M+H]+ 311 (36.0), 313 (19.5), 191 (100), 193 (28.6), 175 (61.8), 177 (7.6), 157 (5.2), 159 (1.1), 130 (58.2), 132 (0.6), 123 (0.7), 125 (0.2), 79 (0.7), 81 (0.1); 1H-NMR (DMSO-d6) δ 1.22 (t, 3H; -OCH2CH3, J = 6.9 Hz), 4.37 (q, 2H; -OCH2CH3, J = 6.9), 7.44-8.20 (m, 4H; quinazolinone), 6.97, 7.87, 8.41 (m, 3H; H-4, H-5, pyridine moiety H-6).
2-Ethoxy-3-(3,3′-dimethyl-4-amino)biphenylquinazolin-4-one (6d): Dark brown crystals from ethanol; m.p. 121-122 °C; yield 80%; Anal. for C24H23N3O2 (m.w. 385); Found: C, 74.53; H, 5.63; N, 10.79; Calcd: C, 74.80; H, 5.97; N, 10.90; IR (KBr) υ (cm-1) 1620 (C=N), 1675 (C=O), 3250 (NH). MS: m/z (int. %) [M+H]+ 385 (72.0), 387 (34.2), 228 (13.3), 230 (1.2), 198 (12.7), 200 (0.1), 194 (16.1), 196 (0.4), 191 (100), 193 (24.8), 175 (53.3), 177 (8.7), 157 (7.1), 159 (1.4), 154 (1.2), 156 (0.2), 130 (46.3), 132 (0.1), 78 (0.3), 80 (0.1); 1H-NMR (DMSO-d6) δ 1.22 (t, 3H; -OCH2CH3, J = 6.9 Hz), 2.21- 2.29 (s, 6H; 2ArCH3), 4.4 (q, 2H; -OCH2CH3, J = 6.9 Hz), 5.08 (2H, s, NH2), 6.90-7.80 (m, 6H; biphenyl-H), 7.33-8.19 (m, 4H, quinazolinone).
2-Ethoxy benzimidazolo-[1,2-c]quinazoline (7): A mixture of benzoxazinone 1 (0.01 mol) and o-phenylenediamine (0.01 mol) in boiling butanol (30 mL) was refluxed for 3 h. Concentrating the solution left a solid product which was filtered, washed, dried and crystallized from ethanol affording light blue crystals of product 7. M.p. 191-192 °C; yield 85%. Anal. for C16H13N3O (m.w. 263); Found: C, 73.02; H, 4.94; N, 15.98; Calcd: C, 73.00; H, 4.94; N, 15.97; IR υ (cm-1) 1607 (C=N). MS: m/z (int. %) [M+H]+ 263 (66.0), 265 (17.3), 187(44.8), 189 (4.8), 175 (28.4), 177 (11.1), 157 (3.3), 159 (0.1), 130 (78.9), 132 (12.4), 78 (2.4), 80 (0.1); 1H-NMR (DMSO-d6) δ 1.22 (t, 3H; -OCH2CH3, J = 7.1Hz), 4.31(q, 2H; -OCH2CH3, J = 7.1 Hz), 7.52-7.92 (m, 4H, benzimidazole), 7.62-8.55 (2 m, 4H; quinazoline).
2-Ethoxy-3-(β-glucopyranosyl-3-yl) quinazolin-4-one (8): A mixture of benzoxazinone 1 (0.01 mol) and glucosamine hydrochloride (0.01 mol) in pyridine (30 mL) was refluxed for 3 h. The mixture was poured in to an ice / water mixture stirred leaving a white precipitate to settle down. The precipitate was washed with water, filtered, dried and then crystallized from ethanol affording white crystals of product 8. M.p. 179–180 °C; yield 80%. Anal. for C16H20N2O7 (m.w. 352); Found: C, 54.50; H, 5.67; N, 7.99; Calcd: C, 54.54; H, 5.68; N, 7.95; IR υ (cm-1) 1675 (C=O), 3236 (OH bonded), 3400 (OH non-bonded). MS: m/z (int. %) [M+H]+ 352 (48.0), 354 (21.1), 337 (19.2), 339 (8.2), 307 (2.8), 309 (1.1), 277 (0.8), 279 (0.2), 233 (0.1), 235 (0.1), 191 (88.1), 193 (3.1), 175 (100), 177 (13.1), 157 (4.6), 159 (0.5), 130 (68.9), 132 (9.4); 1H-NMR (DMSO-d6) δ 1.1 (t, 3H; -OCH2CH3, J = 6.8 Hz), 3.21-4.20 (m, 6H; H-3′, H-4′, H-5′, H-6′, H-7′a, and H-7′b), 3.7 (m, 2′-OH, 4′-OH, 5′-OH), 4.35 (q, 2H; -OCH2CH3, J = 6.8 Hz), 5.0 (d, 1H; H-2′, J = 6.5 Hz), 4.9 (s, 7′-OH), 7.41-8.17 (m, 4H; quinazolinone).
2-Ethoxy-3-(1-naphthylsulphonylamino)-4(3H) quinazolone (9): A mixture of benzoxazinone 1 (0.01 mol) and 1-naphthalenesulfonic hydrazide (0.01 mol) in ethanol (30 mL) was heated under reflux for 3 h. The excess solvent was distilled off and the mixture was cooled down leaving a brown solid, which was recrystallized from ethanol affording white brown crystals of product 9. M.p. 111-112 °C; yield 65%. Anal. for C20H17N3O4S (m.w. 395); Found: C, 60.90; H, 4.16; N, 10.81; S, 8.11; Calcd: C, 60.76; H, 4.30; N, 10.63; S, 8.10; IR υ (cm-1) 1160 (S=O), 1610 (C=N), 1675 (C=O), 3200 (NH). MS: m/z (int. %) [M+H]+ 395 (63.2), 397 (13.2), 207 (22.7), 209 (2.4), 191 (100), 193 (15.5), 175 (14.5), 177 (0.4), 157 (3.5), 159 (0.3), 130 (58.4), 132(15.6), 128 (13.6); 1H–NMR (DMSO-d6) δ 1.19 (t, 3H; -OCH2CH3, J = 6.8 Hz), 4.44 (q, 2H; -OCH2CH3), 7.29 – 8.20 (m, 4H, quinazolinone), 7.72 – 8.05 (m, 7H, naphthalene); 10.6 (s, NH exchangeable).
2-Ethoxy-3-decanoylamino-4(3H) quinazolinone (10): A mixture of benzoxazinone 1 (0.01 mol) and decanoic acid hydrazide (0.01 mol) in ethanol (30 mL) was refluxed for 3 h. The solvent was concentrated and the mixture left to cool. Crystallization of the product from ethanol yielded light brown crystals of product 10. M.p. 115–116 °C; yield 75%. Anal. for C20H29N3O3 (m.w. 359); Found: C, 66.83; H, 8.12; N, 11.37; Calcd: C, 66.85; H, 8.08; N, 11.70; IR υ (cm-1) 1670 (C=O), 3250 (NH). MS: m/z (int. %) [M+H]+ 359 (77.0), 361 (21.3), 191 (100), 193 (22.4), 175 (13.8), 177 (0.6), 171 (2.8), 173 (0.5), 157 (3.8), 159 (0.2),143 (1.7), 145 (0.3), 130 (27.3), 132 (13.2); 1H-NMR (DMSO-d6) δ 0.87 (t, 3H; CH3), 1.23-1.54 (m, 14H; 7 CH2), 1.15 (t, 3H; -OCH2CH3), 2.3 (t, 2H; CH2CO), 4.35 (q, 2H; -OCH2CH3), 7.46-8.20 (m, 4H; ArH), 10.7(s, NH, exchangeable).
2-(3-Ethoxy-5-phenyl-4H-1,2,4-triazolo-4-yl)benzoic acid (11): A mixture of benzoxazinone 1 (0.01 mol) and benzoic acid hydrazide (0.01 mol) in butanol (30 mL) was refluxed for 3h. The solvent was concentrated leaving a white solid, which was crystallized from ethanol affording white crystals of product 11. M.p. 101-102 °C; yield 80%. Anal. for C17H15N3O3 (m.w. 309); Found: C, 66.14; H, 4.53; N, 13.17; Calcd: C, 66.02; H, 4.85; N, 13.59; IR υ (cm-1) 1690 (C=O), 2616-3481 (chelated OH). MS: m/z (int. %) [M+H]+ 309 (78.0), 311 (3.8), 190 (42.5), 192 (13.1), 146 (28.6), 148 (9.1), 122 (2.2), 124 (0.2), 78 (0.5), 80 (0.1); 70 (0.3), 72 (0.1), 69 (0.2), 71 (0.1); 1H-NMR (DMSO-d6) δ 1.16 (t, 3H; -OCH2CH3, J = 7.2 Hz), 4.22 (q, 2H; -OCH2CH3, J = 7.2 Hz), 7.46 – 7.77 (m, 5H, Ph-H), 7.45 – 8.09 (m, 4H, quinazolinone), 11.2 (s, broad 1H; OH).
2-Ethoxy-3-benzoylamino-4(3H) quinazolinone (12): Refluxing the mixture of benzoxazinone 1 and benzohydrazide (0.01 mol each) in benzene (30 mL) for 3 h gave a white solid product that was filtered, washed, dried and crystallized from ethanol giving white needles of 12 of m.p. 109–110 °C; yield 85%. Anal. for C17H15N3O3 (m.w. 309); Found: C, 66.02; H, 4.93; N, 13.57; Calcd: C, 66.02; H, 4.85; N, 13.59; IR υ (cm-1) 1635, 1670 (2C=O), 3230 (NH). MS: m/z (int. %) [M+H]+ 309 (55.0), 311 (11.8), 191 (100), 193 (13.7), 175 (57.2), 177 (14.2), 157 (3.9), 159 (0.5), 130 (42.5), 132 (13.2), 122 (35.6), 124 (0.1); 1H-NMR (DMSO-d6) δ 1.15 (t, 3H; -OCH2CH3, J = 7.2 Hz), 4.44 (q, 2H; -OCH2CH3), 7.46−8.00 (5H, m, Ph-H) and 7.28−8.20 (m, 4H, quinazolinone ArH).
2-Ethoxy-5-oxo-1H-1,2,4-triazolo[2,3-c] quinazoline (13): A mixture of benzoxazinone 1 (0.01 mol) and semicarbazide (0.01 mol) in acetic acid/fused sodium acetate (30 mL/2 g) was refluxed for 3 h. Pouring the solution into an ice/water mixture left a white solid, which was filtered, washed, dried and recrystallized from ethanol affording white crystals of derivative 13. M.p. 126–127 °C; yield 75%. Anal. for C11H10N4O2 (m.w. 230); Found: C, 57.39; H, 4.36; N, 24.35; Calcd: C, 57.39; H, 4.35; N, 24.35; IR υ (cm-1) 1671 (C=O), 3206 (bonded NH), 3320 (non-bonded NH). MS: m/z (int. %) [M+H]+ 230 (77.0), 232 (14.3), 190 (17.3), 192 (8.2), 188 (12.4), 157 (8.4), 159 (1.5), 143 (15.4), 145 (2.3), 130 (58.6), 132 (2.0); 1H-NMR (DMSO-d6) δ 1.19 (t, 3H; -OCH2CH3, J = 7.2 Hz), 4.43 (q, 2H; -OCH2CH3), 7.18- 8.25 (4Xd, 4H, ArH), 10.5 (s, NH, exchangeable).
6.6. General procedure for the synthesis of 2-(ethoxy) quinazolinone-3-yl-alkylacetic acids 14a-c
Method A: A mixture of benzoxazinone 1 (0.01 mol) and selected amino acids namely, D,L-alanine, L-aspargine, and L-arginine (0.01 mol) was fused in an oil bath at 190 °C for 2 h. The mixture was then poured in an ice/water mixture, stirred and left allowing the white precipitate to settle down. The precipitate was filtered, washed, dried and finally crystallized from the proper solvent.
Method B: A mixture of benzoxazinone 1 (0.01 mol) and selected amino acids namely, D,L-alanine, L-asparagine, and L-arginine (0.01 mol) were refluxed in a pyridine (30 mL)/water (5 mL) mixture for 3 h. The mixture was then poured in an ice/water mixture, stirred and left to allow the white solid precipitate to settle down. The solid was filtered, washed, dried and finally crystallized from the proper solvent to yield compounds 14a-c, respectively.
2-{2-(Ethoxy)quinazolin-4-one-3-yl}propanoic acid (14a): Light brown crystals from DMF; m.p. 183–184 °C; yield (70% by Method A and 85% by Method B). Anal. for C13H14N2O4 (m.w. 262); Found: C, 59.59; H, 5.30; N, 10.67; Calcd: C, 59.54; H, 5.34; N, 10.69; IR υ (cm-1) 1675 (C=O cyclic amide), 1700 (C=O acid), 3300 (chelated OH). MS: m/z (int. %) [M+H]+ 262 (82.0), 264 (32.1), 234 (22.7), 236 (2.8), 191 (100), 193 (22.4), 175 (9.9), 177(2.7), 157 (6.1), 159 (0.2), 130 (49.3), 132 (18.4); 1H-NMR (DMSO-d6) δ 1.20 (t, 3H; -OCH2CH3, J = 7.1 Hz), 1.28 (d, 3H; CH3, J = 6.7 Hz), 5.24 (q, 1H; methine H, J = 6.7 Hz), 4.35(q, 2H; -OCH2CH3), 7.45-8.17 (m, 4H, Ar-H), 10.5 (1H, acid-H).
2-{2-(Ethoxy)quinazolin-4-one-3-yl}-3-carbamoyl propanoic acid (14b): Light brown crystals from DMF; m.p. 241-242 °C; yield (75% by Method A and 85% by Method B). Anal. for C14H15N3O7 (m.w. 305); Found: C, 55.16; H, 4.88; N, 13.79; Calcd: C, 55.08; H, 4.92; N, 13.77; IR υ (cm-1) 1670, 1675, 1705 (3 × C=O amides and acid), 3200 (NH), 3350 (chelated OH). MS: m/z (int. %) [M+H]+ 305 (80.0), 307 (11.5), 287 (12.3), 289 (1.3), 243 (12.2), 245 (2.3), 190 (100), 192 (32.2), 188 (8.4), 190 (0.8), 175 (48.6), 177 (12.3), 179 (0.7), 157 (3.8), 159 (0.1), 130 (55.2), 132 (0.3); 1H-NMR (DMSO-d6) δ 1.2 (t, 3H; -OCH2CH3, J = 7.1 Hz), 3.17 (m, 2H; CH2), 3.0 (s, NH), 5.7 (q, H; methine H, J = 6.7 Hz), 4.35 (q, 2H; -OCH2CH3), 7.45-8.17 (m, 4H, Ar-H), 10.6 (1H, acid-H).
2-Amino-2-{2-(ethoxy)quinazolin-4-one-3-yl}-5-guanidinopentanoic acid (14c): Light brown crystals from DMF; m.p. 241-242 °C; yield (70% by Method A, 80% by Method B). Anal. for C16H21N5O4 (m.w. 347); Found: C, 55.12; H, 6.13; N, 20.16; Calcd: C, 55.33; H, 6.05; N, 20.17; IR υ (cm-1) 1571(NH2), 1613 (C=N guanidinium), 1670 (C=O cyclic amide), 1700 (C=O acid), 3181 (NH), 3350 (chelated OH). MS: m/z (int. %) [M+H]+ 348 (80.0), 350 (34.2), 330 (2.4), 332 (0.2), 312 (3.8), 314 (0.2), 285 (2.2), 287 (0.1), 191 (100), 193 (42.2), 175 (38.1), 157 (4.6), 159 (0.5), 157 (6.7), 159 (0.4), 177 (12.9), 130 (48.2), 132 (0.1); 1H-NMR (DMSO-d6) δ 1.2 (t, 3H; -OCH2CH3, J = 7.1 Hz), 1.69 (2H, m, arg. C-4), 1.95 (2H, m, arg. C-3), 3.43 (2H, t, arg. C-5), 5.39 (1H, t, arg. C-2), 4.38 (q, 2H; -OCH2CH3), 7.46 – 8.17 (m, 4H, ArH), 6.9-7.1 (br. d, NH2+ guanidinium grp.), 7.8 – 8.0 (br. s., guanidinium grp. NH), 10.5 (1H, acid-H).
2-Ethoxycarbonylamino-(carboxyaminomethyl thiomethyl benzoate) (15): Benzoxazinone 1 and cysteine (0.01 mol each) were refluxed in a mixture of pyridine (30 mL) / water (5mL) for 3h. The mixture was poured in an ice/water mixture, stirred and left yielding a white solid precipitate. The precipitate was filtered, washed, dried and crystallized from DMF affording white crystals of product 15. M.p.121-122 °C; yield 85%. Anal. for C13H16N2O5 S (m.w. 312); Found: C, 50.39; H, 5.22; N, 8.88; S, 10.02; Calcd: C, 50.00; H, 5.13; N, 8.97; S, 10.26. IR υ (cm-1) 1670, 1735, 3223, 3340. MS: m/z (int. %) [M+H]+ 312 (82.0), 314 (48.0), 248 (28.8), 250 (11.1), 144 (12.6), 146 (2.3), 122 (0.8), 124 (0.1), 78 (0.2), 80 (0.1); 1H-NMR (DMSO-d6) δ 1.24 (t, 3H; -OCH2CH3, J = 7.2 Hz), 3.56 (d, 2H; CH2, J = 6.5 Hz), 3.63 (t, methine proton, J = 6.5 Hz), 4.19 (q, 2H; -OCH2CH3), 6.5 (1H, NH, exchangeable), 7.29-7.53 (m, 4H; ArH), 10.6 (1H, acid-H).
6.7 General procedure for the synthesis of 2-ethoxy-3-substituted quinazolones 16a-c
A mixture of benzoxazinone 1 (0.01 mol) and the aminothiadiazole derivatives 2-phenyl-5-aminothiadiazole, 2-cinnamyl-5-aminothiadiazole, and 2-phthalimidomethyl-5-aminothiadiazole (0.01 mol) was refluxed in boiling acetic acid/fused sodium acetate (30 mL/2 g) for 3 h. The solution was poured into an ice / water mixture, stirred and left to settle down affording a white solid. The resulting solid was filtered, washed, dried and finally recrystallized from the proper solvent affording the derivatives 16a-c.
5-[2-Ethoxyquinazolone-3-yl]-2-phenylthiadiazole (16a): Brown crystals from DMF; m.p. 172–173 °C; yield 85%. Anal. for C18H14N4O2 S (m.w. 350); Found: C, 61.88; H, 4.04; N, 16.08; S, 9.17; Calcd: C, 61.71; H, 4.00; N, 16.00; S, 9.14. IR υ (cm-1) 1630 (C=N), 1669 (C=O). MS: m/z (int. %) [M+H]+ 350 (78.0), 352 (31.1), 191 (100), 193 (23.7), 157 (4.4), 159 (0.1), 175 (49.5), 177 (9.7), 162 (38.2), 164 (3.6), 130 (61.2), 132 (4.1), 103 (1.8), 105 (0.2), 78 (0.7), 80 (0.1); 1H-NMR (DMSO-d6) δ 1.22 (t, 3H; -OCH2CH3, J = 7.1 Hz), 4.4 (q, 2H; -OCH2CH3), 7.41 – 7.94 (m, 5H, Ph-H), 7.44 – 8.20 (m, 4H, quinazolinone).
5-[2-Ethoxyquinazolone-3-yl]-2-cinnamylthiadiazole (16b): Brown crystals from DMF; m.p. 289-290 °C; yield 85%. Anal. for C20H16N4O2 S (m.w. 376); Found: C, 68.99; H, 4.72; N, 16.00; S, 9.03; Calcd: C, 68.97; H, 4.60; N, 16.09; S, 9.20. IR υ (cm-1) 1633 (C=N), 1689 (C=O). MS: m/z (int. %) [M+H]+ 376 (72.0), 378 (14.9), 191 (100), 193 (17.5), 188 (14.2), 190 (3.1), 175 (48.2), 177 (12.7), 157 (5.7), 159 (0.2), 130 (67.1), 132 (1.8), 129 (0.8), 131 (0.2), 122 (1.3), 124 (0.1), 78 (0.6), 80 (0.1); 1H-NMR (DMSO-d6) δ 1.23 (t, 3H; -OCH2CH3, J = 7.1 Hz), 4.43 (q, 2H; -OCH2CH3), 7.42 – 8.20 (4d, 4H, quinazolinone ArH), 7.35 – 7.45 (m, 5H, cinnamyl ArH), 7.20, 7.47 (2d, 2H, J = 15.8 Hz, olefinic -H).
5-[2-Ethoxyquinazolone-3-yl]-2-phthalamidomethylthiadiazole (16c): Brown crystals from DMF; m.p. 303–304 °C; yield 85%. Anal. for C21H15N5O4 S (m.w. 433); found: C, 58.72; H, 3.66; N, 16.31; S, 7.42; Calcd: C, 58.20; H, 3.46; N, 16.17; S, 7.39. IR υ (cm-1) 1631 (C=N), 1670, 1727, 1776 (3C=O). MS: m/z (int. %) [M+H]+ 433 (58.0), 435 (22.8), 245 (36.4), 247 (3.4), 191 (100), 193, (56.1), 186 (78.0), 188 (12.7), 175 (30.1), 177 (8.1), 157 (3.2), 159 (0.1), 147 (8.3), 149 (0.3), 130 (48.3), 132 (6.4), 122 (4.5), 124 (0.2), 78 (0.3), 80 (0.1); 1H-NMR (DMSO-d6) δ 1.21 (t, 3H; -OCH2CH3, J = 7.1 Hz), 4.48 (q, 2H; -OCH2CH3), 5.16 (s, 2H; CH2, phthalimidomethyl), 7.32–7.86 (m, 4H, quinazol.), 7.94–8.03 (m, 4H, phthalimido).
























| Compound | Inhibition zone diameter (mm / mg sample) | ||||
|---|---|---|---|---|---|
| E. coli | S. aureus | A. flavus | C. albicans | Solvent control | |
| Tetracycline | 33 | 31 | 00 | 00 | ---- |
| Amphotericin B | 00 | 00 | 17 | 21 | ---- |
| 3 | 12 | 12 | 00 | 12 | Chloroform |
| 6b | 22 | 17 | 00 | 15 | Ethanol |
| 6d | 15 | 14 | 00 | 00 | Ethanol |
| 8 | 09 | 12 | 00 | 12 | Chloroform |
| 9 | 16 | 16 | 12 | 15 | Ethanol |
| 10 | 10 | 10 | 00 | 00 | Chloroform |
| 12 | 14 | 15 | 00 | 12 | Chloroform |
| 14b | 13 | 14 | 00 | 00 | Ethanol |
| 16a | 15 | 17 | 13 | 00 | Ethanol |
| 16b | 14 | 15 | 12 | 13 | Ethanol |
| 16c | 09 | 10 | 09 | 10 | DMF |
Competing Interests
The authors declare no conflict of interest.
References
- Mathew, B.P.; Kumar, A.; Sharma, S.; Shukla, P.K.; Nath, M. An eco-friendly synthesis and antimicrobial activities of dihydro-2H-benzo- and naphtho-1,3-oxazine derivatives. Eur. J. Med. Chem. 2010, 45, 1502–1507. [Google Scholar]
- Pritchard, K.M.; Rawi, J.A.; Bradley, C. Synthesis, identification and antiplatelet evaluation of 2-morpholino substituted benzoxazines. Eur. J. Med. Chem. 2007, 42, 1200–1210. [Google Scholar]
- Hsieh, Pei-Wen; Hwang, Tsong-Long; Wu, Chin-Chung; Chang, Fang-Rong; Wang, Tsai-Wei; Wu, Yang-Chang. The evaluation of 2,8-disubstituted benzoxazinone derivatives as anti-inflammatory and anti-platelet aggregation agents. Bioorg. Med. Chem. Lett. 2005, 15, 2786–2789. [Google Scholar]
- Ward, E; Johnson, N; Lovell, J.P.; Smith, W.; Thewlis, K.M.; Vong, A.K.; Naston, M.J. Studies on a series of potent, orally bioavailable, 5-HT(1) receptor ligands. Bioorg. Med. Chem. Lett. 2007, 17, 5214–5217. [Google Scholar]
- Deswal, S.; Roy, N. Quantitative structure activity relationship of benzoxazinone derivatives as neuropeptide Y Y5 receptor antagonists. Eur. J. Med. Chem. 2006, 41, 552–557. [Google Scholar]
- Ohno, M.; Tanaka, Y.; Miyamoto, M.; Takeda, T.; Hoshi, K.; Yamada, M. Development of 3,4-dihydro-2H-benzo[1,4]oxazine derivatives as dual thromboxane A2 receptor antagonists and prostacyclin receptor agonists. Bioorg. Med. Chem. Lett. 2006, 14, 2005–2021. [Google Scholar]
- Kern, J.C.; Terefenko, E.A.; Fensome, A.; Unwalla, R.; Wrobel, J.; Zhou, Y.; Cohen, J.; Winneker, R.; Zhang, Z.; Zhang, P. SAR studies of 6-(arylamino)-4,4-disubstituted-1-methyl-1,4-dihydrobenzo[d][1,3]oxazin-2-ones as progesterone receptor antagonists. Bioorg. Med. Chem. Lett. 2007, 17, 189–192. [Google Scholar]
- Powell, N.A.; Ciske, F.L.; Cai, C.; Holsworth, D.D.; Huis, C.A.; Jalaie, M.; Day, J.; Mastronrdi, M.; McConnell, P.; Mochalkin, I.; et al. Rational design of 6-(2,4-diaminopyrimidinyl)-1,4-benzoxazin-3-ones as small molecule rennin inhibitors. Bioorg. Med. Chem. 2007, 15, 5912–5949. [Google Scholar]
- Bromidge, S.M.; Bertani, B.; Borriello, M.; Bozzoli, A.; Faedo, S.; Gianotti, M.; Gordon, L.J.; Hill, M.; Zucchelli, V.; Watson, J.M.; et al. 8-[2-(4-Aryl-1-piperazinyl)ethyl]-2H-1,4-benzoxazin-3(4H)-ones: dual-acting 5-HT1 receptor antagonists and serotonin reuptake inhibitors-part II. Bioorg Med Chem Lett. 2009, 19, 2338–2342. [Google Scholar]
- Shakil, N.A.; Pandey, A.; Singh, M.K.; Kumar, J.; Awasthi, S.K.; Srivastava, C.; Singh, M.K.; Pandey, R.P. Synthesis and bioefficacy evaluation of new 3-substituted-3,4-dihydro-1,3-benzoxazines. J. Environ. Sci. Health B. 2010, 45, 108–115. [Google Scholar]
- Wang, L.; Ankati, H.; Akubathini, S.K.; Balderamos, M.; Storey, C.A.; Patel, A.V.; Price, V.; Kretzschmar, D.; Biehl, E.R.; D'Mello, S.R. Identification of novel 1,4-benzoxazine compounds that are protective in tissue culture and in vivo models of neurodegeneration. J. Neurosci Res. 2010, 88, 1970–1984. [Google Scholar]
- Dong, Z.; Cheng, Y.; Zhao, J.; Su, L.; Zhao, B.; Zhang, Y.; Zhang, S.; Miao, J. Discovery of a benzoxazine derivative promoting angiogenesis in vivo and in vivo. J. Cell Physiol. 2010, 223, 202–208. [Google Scholar]
- Manikpuri, A D. Synthesis and antimicrobial studies on therapeutically significant Schiff bases of salicaldehyde and sulfonamides. Res. J. Pharm. Biol. Chem. Sci. 2010, 1, 21–27. [Google Scholar]
- Kotb, E.A.; El-Hashash, M.A.; Salama, M.A.; Kalf, H.S.; AbdelWahed, N.A.M. Synthesis and reactions of some novel micotinonitrile derivatives for anticancer and antimicrobial evaluation. Acta Chim. Slov. 2009, 56, 908–919. [Google Scholar]
- El. Rayes, S.M.; Ali, I.A.I.; Fathalla, W. Convenient Synthesis of Novel Amino Acid Coupled Benzanilide. Proceedings of the 11th International Electronic Conference on Synthetic Organic Chemistry, Basel, Switzerland, 30 November 2007; pp. 1–5. http://www.usc.es/congresos/ecsoc/.
- Burbuliene, M.M.; Bovrovas, O.; Vainilavicius, P. Synthesis and intramolecular cyclization of 2-methylsulfany-4-oxo-3(4H)-quinazolinyl)acetohydrazide. J. Heterocycl. Chem. 2009, 43, 43–47. [Google Scholar]
- Singh, S. Asymmetric synthesis of (R)- and (S)-α-methylcysteine. Recent Res. Devel. Org. Chem. 2004, 8, 323–339. [Google Scholar]
- Chang, Jen-Chyi; Hsueh, Po-Ren; Wu, Jiunn-Jong; Ho, Shen-Wu; Hsieh, Wei-Chuan; Luh, Kwen-Tay. Antimicrobial susceptibility of Flavobacteria as determined by agar dilution as disk diffusion methods. Antimicrob. Agents Chemother. 1997, 41, 1301–1306. [Google Scholar]
- Liebowitz, L.D.; Ashbee, H.R.; Evans, E.G.V.; Chong, Y.; Mallatova, N.; Zaidi, M.; Gibbs, D. Global Antifungal Surveillance Group. A two year global evaluation of the susceptibility of Candida species to fluconazole by disk diffusion. Diag. Microbiol. Infect. Dis. 2001, 40, 27–33. [Google Scholar]
- Matar, M.J.; Ostrosky-Zeichner, L.; PaetznickJ, V.L.; Rodrigues, J.R.; Chen, E.; Rex, J.H. Correlation Between E-test, Disk Diffusion, and Microdilution Methods for Antifungal Susceptibility Testing of Fluconazole and Voriconazole. Antimicrob.Agents Chemother. 2003, 47, 1647–1651. [Google Scholar]
- Krantz, A.; Spencer, R.W.; Tam, T.F.; Liak, T.J.; Copp, L.J.; Thomas, E.M.; Rafferty, S.P. Design and synthesis of 4H-3,1-benzoxazin-4-ones as potent alternate substrate inhibitors of human leukocyte elastase. J. Med. Chem. 1990, 33, 464–479. [Google Scholar]
- Sample availability: available from the authors.
© 2011 by the authors; licensee MDPI, Basel, Switzerland. This articl is an open access article distributed under the terms and conditions of the Creative Commons Attribution license (http://creativecommons.org/licenses/by/3.0/).
Share and Cite
El-Hashash, M.A.; Darwish, K.M.; Rizk, S.A.; El-Bassiouny, F.A. The Uses of 2-Ethoxy-(4H)-3,1-benzoxazin-4-one in the Synthesis of Some Quinazolinone Derivatives of Antimicrobial Activity. Pharmaceuticals 2011, 4, 1032-1051. https://doi.org/10.3390/ph4071032
El-Hashash MA, Darwish KM, Rizk SA, El-Bassiouny FA. The Uses of 2-Ethoxy-(4H)-3,1-benzoxazin-4-one in the Synthesis of Some Quinazolinone Derivatives of Antimicrobial Activity. Pharmaceuticals. 2011; 4(7):1032-1051. https://doi.org/10.3390/ph4071032
Chicago/Turabian StyleEl-Hashash, Maher A., Khalid M. Darwish, Sameh A. Rizk, and Fakhry A. El-Bassiouny. 2011. "The Uses of 2-Ethoxy-(4H)-3,1-benzoxazin-4-one in the Synthesis of Some Quinazolinone Derivatives of Antimicrobial Activity" Pharmaceuticals 4, no. 7: 1032-1051. https://doi.org/10.3390/ph4071032
APA StyleEl-Hashash, M. A., Darwish, K. M., Rizk, S. A., & El-Bassiouny, F. A. (2011). The Uses of 2-Ethoxy-(4H)-3,1-benzoxazin-4-one in the Synthesis of Some Quinazolinone Derivatives of Antimicrobial Activity. Pharmaceuticals, 4(7), 1032-1051. https://doi.org/10.3390/ph4071032
