Biosynthesis, Regulation, and Biotechnological Production Strategies of Riboflavin (Vitamin B2) and Its Derivatives: A Review
Abstract
1. Introduction
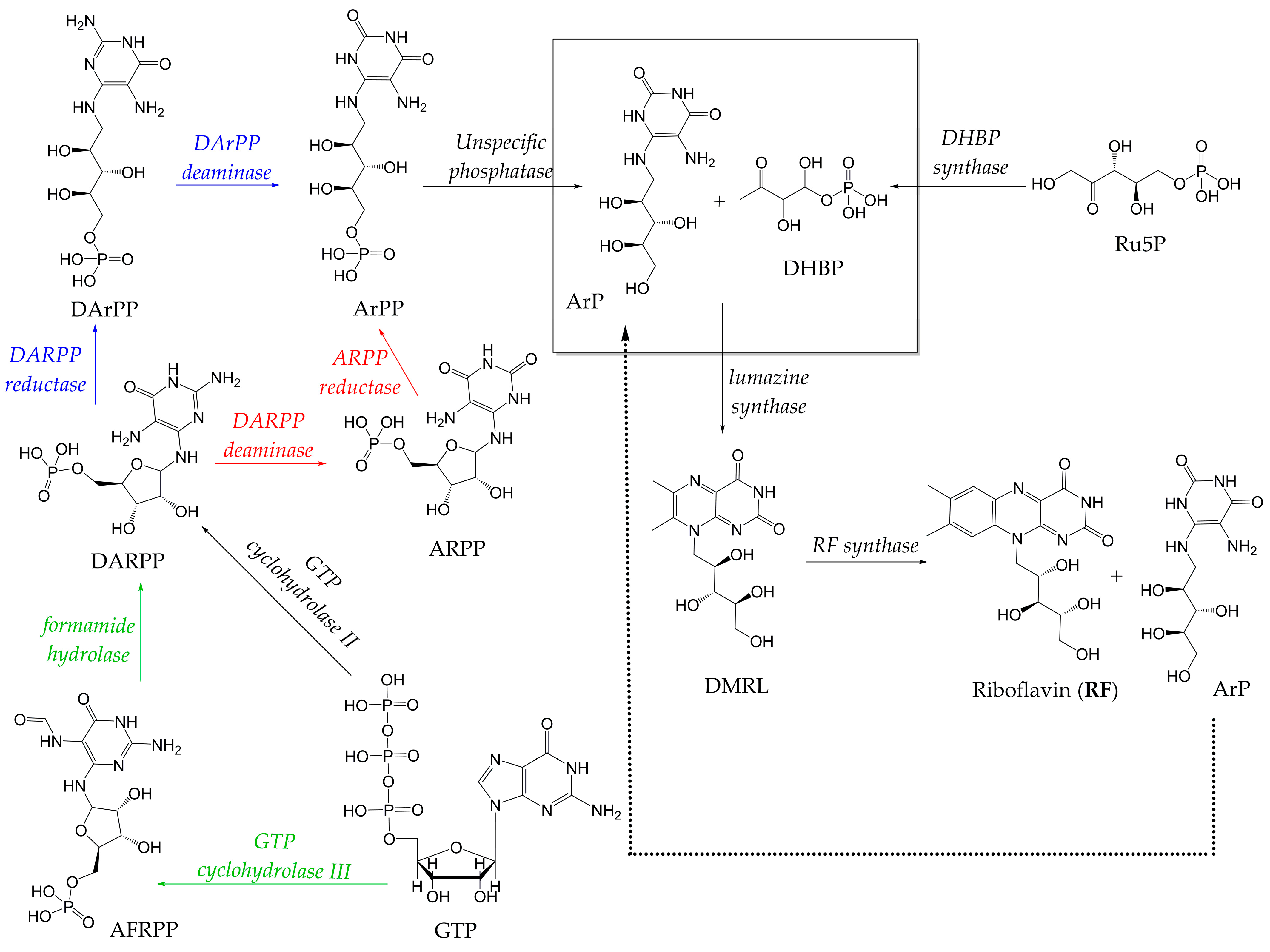
2. The RF Biosynthetic Pathway in Microorganisms
3. The Complexity of Precursor Supply for RF Biosynthesis
4. Fermentation Operation Modes for RF Production and the Relationship Between Microbial Growth and RF Production
5. RF Production by Filamentous Fungi, Yeasts, and Bacteria: State of the Art in RF Biotechnology
5.1. RF Production by Filamentous Fungi
5.1.1. Ashbya gossypii: The Most Robust Natural RF Overproducer
5.1.2. The Eremothecium ashbyi Paradigm
5.1.3. Arcopilus aureus and Fusarium chlamydosporum as Novel Potential RF Producers
5.2. Yeasts as an Attractive Model for RF Biotechnology
5.2.1. Flavinogenic Yeasts
Candida famata: The Most Promising Flavinogenic Yeast
- Construction of strains overexpressing xylose reductase and xylitol dehydrogenase to achieve efficient RF production from sugarcane bagasse hydrolysate as a fermentation substrate [136];
- Engineering of genes encoding PRPP synthase and PRPP amidotransferase for increased precursor supply to the RFBP [102];
- Subsequent homologous overexpression of RIB1 and RIB6 genes, encoding GTP cyclohydrolase II and DHBP synthase, respectively [198]; and;
- Coordinated co-overexpression of RFE1 (RF excretase), GND (6-phosphogluconate dehydrogenase), and RIB6 genes, resulting in enhanced RF titers when whey is used as the substrate [131].
Meyerozyma guilliermondii: A Model Yeast for Flavinogenic Research
Debaryomyces hansenii
Yamadazyma membranifaciens
5.2.2. Other RF-Producing Yeasts
Candida tropicalis and Schwanniomyces occidentalis
Hyphopichia wangnamkhiaoensis
Candida hispaniensis, Rhodotorula glutinis, and Yarrowia lipolytica
5.3. RF Production and Its Regulation in Bacteria
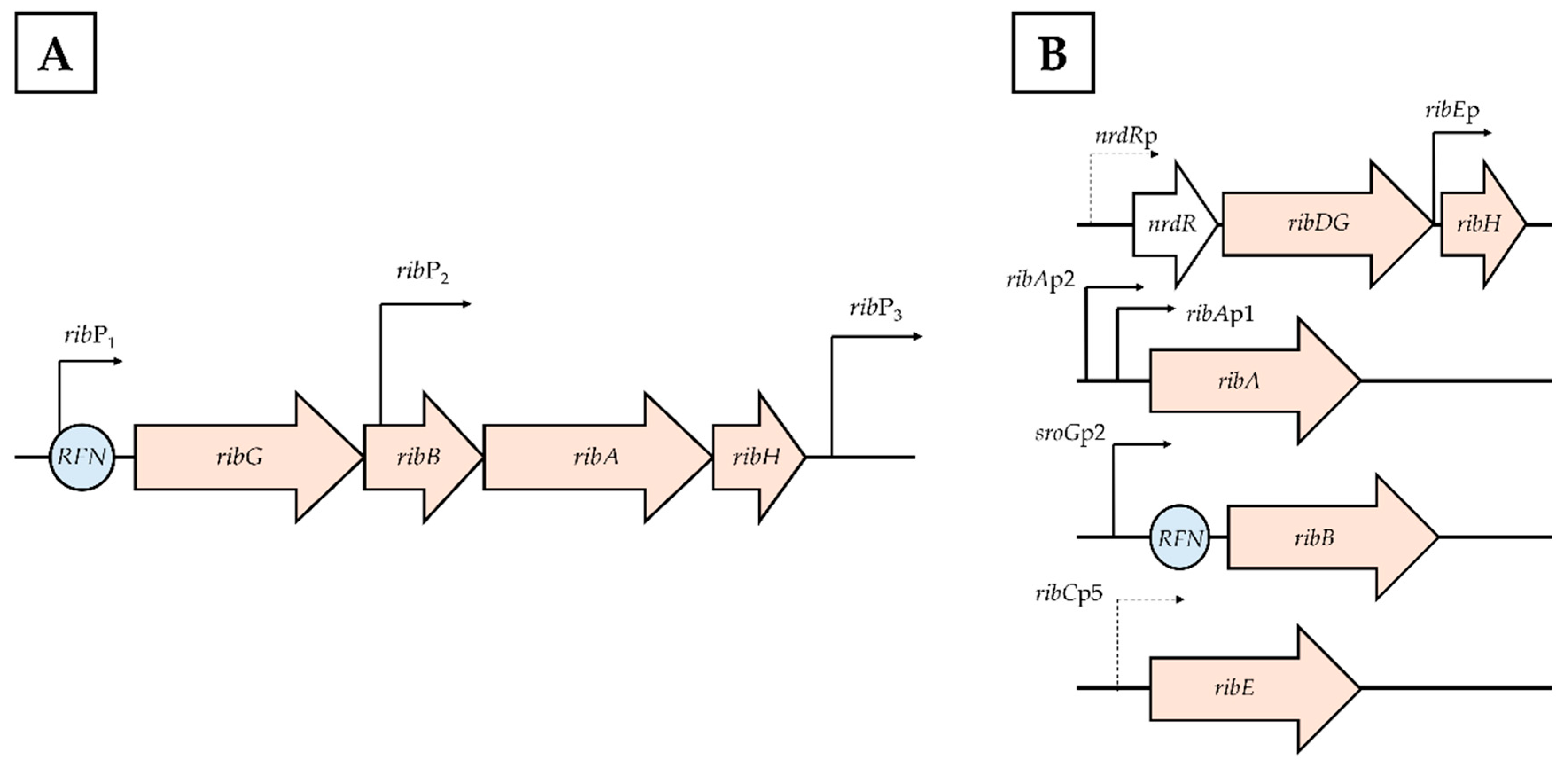
5.3.1. B. subtilis, the Workhorse of Microbial RF Production
5.3.2. Escherichia coli
| Parental Strain (Resulting Strain) | Manipulated Genes a | Remarks | Maximum RF Titer Obtained, Fermentation Time, and Fermentation Mode Used | Reference |
|---|---|---|---|---|
| B. subtilis BSR (B. subtilis BEX5) | guaB + guaA + gmk + ndk + ribA + | Coordinated arrangement of diverse genes encoding enzymes catalyzing bottleneck reactions in the conversion of IMP to DARPP using the synthetic plasmid pEX5. | 726 mg L−1; 48 h; batch culture in flask. | [70] |
| B. subtilis LY (B. subtilis BSR04) | rib operon + purA * rpe * gnd * | Enhanced pentose metabolism, reduced biosynthesis of adenosine intermediates, and deregulated RF pathway. | 977.3 mg L−1; 60 h; batch culture in flask. | [126] |
| B. subtilis RF (B. subtilis RF01) | gntP + | Overexpression of the gene encoding gluconate permease enabled efficient use of sodium gluconate as a carbon source for RF production. | 1.44 g L−1; 12 h; batch culture in a 7 L mechanically agitated bioreactor. | [137] |
| B. subtilis BEX5 (B. subtilis BSRE4/pMX45) | Δapt perR * tkt * | Reduced AMP synthesis through the salvage pathway, suppression of deoxynucleotide synthesis to enhance carbon flux towards GTP synthesis. | 3.47 g L−1; 72 h; batch culture in flask. | [70] |
| B. subtilis LR13 (B. subtilis RX22) | pyrE – pyr operon – ykgB + ΔcodY | Efficient use of urea as a nitrogen source, elevated carbon flux towards PRPP, and diminished biosynthesis of pyrimidine intermediates. | 7.01 g L−1; 72 h; batch culture in flask. | [134] |
| B. subtilis RF1 (B. subtilis aPaGaTgV | vgb + glnR – tnrA – | Expression of bacterial hemoglobin from Vitreoscilla, enhanced ammonium assimilation, and intracellular nitrogen metabolism to overcome hypoxia-induced metabolic defects. | 10.71 g L−1; 48 h; fed-batch fermentation in a 5 L mechanically agitated bioreactor. | [158] |
| B. subtilis RF1 (B. subtilis RF1-L3) | zwf + ribA + ywlF + | Enhanced carbon flux towards pentose and purine biosynthesis by multiple gene expression using a tunable intergenic region (TIGR) library from E. coli. | 11.77 g L−1; 48 h; fed-batch fermentation in a 5 L mechanically agitated bioreactor. | [132] |
| B. subtilis S1 (B. subtilis U3) | sinR * icd * | Mutagenesis through atmospheric and room-temperature plasma and droplet-mediated microfluidic screening of a mutant strain with mutations in isocitrate dehydrogenase and biofilm metabolism, and carbon flux redistribution in the TCA cycle. | 24.3 g L−1; 46 h; fed-batch fermentation in a 7.5 L mechanically agitated bioreactor. | [157] |
| B. subtilis S1 (B. subtilis S24) | ribB + rib operon + | Overexpression of a deregulated rib operon and replacement of the ribA gene encoding a bifunctional GTP cyclohydrolase II/DHBP synthase with ribB gene encoding a monofunctional DHBP synthase from E. coli, using the phase-dependent promoter PyqgZ, only expressed in the late-logarithmic and stationary growth phases. | 29 g L−1; 52 h; fed-batch fermentation in a 7.5 L mechanically agitated bioreactor. | [88] |
5.3.3. Non-Conventional Flavinogenic Bacteria: The Forefront of RF Biotechnology
| Parental Strain (Resulting Strain) | Manipulated Genes a | Remarks | Maximum RF Titer Obtained, Fermentation Time, and Fermentation Mode Used | References |
|---|---|---|---|---|
| E. coli RF01 (E. coli RF18S) | ribB + gmk + ndk + purA * purF *+ prs *+ | Constitutive overexpression of the DHBP synthase, and overexpression of several PBP-related genes to attenuate AMP synthesis from IMP, enhance GTP synthesis, and diminish feed-back inhibition in the PBP. | 388 mg L−1; 40 h; batch culture in flask. | [140] |
| E. coli BL21(DE3) (E. coli R6) | ribF – | Site-directed mutagenesis of the ribF gene using CRISPR/Cas9 technology to rationally diminish the activity of the RF kinase/FAD synthetase. | 657 mg L−1; 72 h; batch culture in flask. | [316] |
| E. coli WY0T (E. coli WY40) | ribF – purA – guaC – | Fine-tuning the expression of three genes involved in metabolically competitive reactions using synthetic regulatory small RNAs to augment the carbon flux toward RF biosynthesis and diminish the synthesis of FMN and FAD. | 1.45 g L−1; batch culture in flask. | [95] |
| E. coli K-12 MG1655 (E. coli RF05S-M40) | ribA + ribB + ribD + ribH + ribE + Δpgi Δedd Δeda acs + ribF – | Overexpression of a synthetic/artificial rib operon in a high-copy plasmid; disruption of the glucose-6-phosphate isomerase and EDP to enhance carbon flux toward the PPP and diminish acetate production. | 2.7 g L−1; 60 h; batch culture in flask. | [149] |
| E. coli RF03T (E. coli LS02T) | ribA + ribB + ribD + ribH + ribE + ΔpfkA Δedd Δeda | Overexpression of a synthetic/artificial rib operon in a highly stable, low-copy plasmid, disruption of 6-phosphofructokinase I and EDP to enhance carbon flux towards the PPP, and augmented biosynthesis of glycine. | 10.4 g L−1; 71 h; fed-batch fermentation in a 5 L bioreactor. | [156] |
5.3.4. Novel RF-Producing Bacteria Isolated from Natural Sources
| Species | Isolation Source | Maximum RF Production (mg L−1) | Remarks | Reference |
|---|---|---|---|---|
| Gluconobacter oxydans | Soil | 23.24 | K2HPO4 and CaCl2 significantly affect RF production | [320] |
| Leuconostoc falkbergense | Rye sourdough | 0.6845 | Produces dextran exopolysaccharide | [323] |
| Weisella cibaria | Rye sourdough | 0.5482 | Produces dextran exopolysaccharide | [323] |
| Novosphingobium panipatense | Karish cheese | 497.12 | Maltose, yeast extract, and glycine are major effectors for RF production | [321,322] |
| Citrobacter freundii | Lamb kidney | 2.29 | Component of the healthy human gut microbiota | [328] |
| Delftia tsuruhatensis | Spinach | 1.45 | Opportunistic pathogen | [328] |
| Enterobacter cloacae | Beef liver | 2.48 | Opportunistic pathogen of nosocomial infections | [328] |
| Limosilactobacillus reuteri | Healthy female volunteer | 18.36 | Exhibits potential probiotic activity | [330] |
6. Importance of RF Biosynthesis for Microbial Electron Transfer and Microbial Fuel Cells
7. Microbiological Production of FMN, FAD, Roseoflavin, and 8-Aminoriboflavin
| Produced Compound | Highlights | Maximum Titer in mg L−1 | References |
|---|---|---|---|
| FMN | Overexpression of the FMN1 gene under the strong constitutive promoter TEF1 | 200–250 | [233] |
| Culture medium optimization through Plackett-Burman and Central Composite designs in a recombinant FMN-producing strain. | 318 | [67,357] | |
| Overexpression of the SEF1 gene under the control of a lactose-induced promoter for the efficient use of whey as substrate. | 540 | [349] | |
| FAD | Culture medium optimization using Plackett-Burman and Central Composite designs for the cultivation of a recombinant strain that overexpresses the FMN1 and FAD1 genes under the TEF1 promoter. | 452 | [67,234] |
| AF | Heterologous expression of the rosB gene in an FMN-overproducing strain. | 1.5 | [348] |
| RoF | Heterologous expression of FMN1, rosB, rosC, and rosA in an RF-overproducing strain. | Not detectable | [348] |
8. Perspectives and Concerns Surrounding RF Biotechnology
9. Conclusions
Author Contributions
Funding
Institutional Review Board Statement
Informed Consent Statement
Data Availability Statement
Conflicts of Interest
References
- Ball, G.F.M. Water-Soluble Vitamin Assays in Human Nutrition; Springer: Boston, MA, USA, 1994. [Google Scholar] [CrossRef]
- Merrill, A.H.; McCormick, D.B. Riboflavin. In Present Knowledge in Nutrition; Marriott, B.P., Birt, D.F., Stallings, V.A., Yates, A.A., Eds.; Academic Press: London, UK, 2020; Volume 1, pp. 189–207. [Google Scholar] [CrossRef]
- Pinto, J.T.; Rivlin, R.S. Riboflavin (Vitamin B2). In Handbook of Vitamins; Zempleni, J., Suttie, J.W., Gregory, J.F., III, Stover, P.J., Eds.; CRC Press: Boca Raton, FL, USA, 2013; pp. 191–266. [Google Scholar]
- Said, H.M.; Ross, A.C. Riboflavin. In Modern Nutrition in Health and Disease; Ross, A.C., Caballero, B., Cousins, R.J., Tucker, K.L., Ziegler, T.R., Eds.; Lippincott Williams & Wilkins: Baltimore, MD, USA, 2014; pp. 325–330. [Google Scholar]
- Padonou, S.W.; Houngbédji, M.; Hounhouigan, M.H.; Chadare, F.J.; Hounhouigan, D.J. B-vitamins and Heat Processed Fermented Starchy and Vegetable Foods in sub-Saharan Africa: A Review. J. Food Sci. 2023, 88, 3155–3188. [Google Scholar] [CrossRef]
- Averianova, L.A.; Balabanova, L.A.; Son, O.M.; Podvolotskaya, A.B.; Tekutyeva, L.A. Production of Vitamin B2 (Riboflavin) by Microorganisms: An Overview. Front. Bioeng. Biotechnol. 2020, 8, 570828. [Google Scholar] [CrossRef]
- Hohmann, H.; Bretzel, W.; Hans, M.; Friedel, A.; Litta, G.; Lehmann, M.; Kurth, R.; Paust, J.; Haehnlein, W. Vitamins, 7. Vitamin B2 (Riboflavin). In Ullmann’s Encyclopedia of Industrial Chemistry; Wiley: Hoboken, NJ, USA, 2020; pp. 1–12. [Google Scholar] [CrossRef]
- Olfat, N.; Ashoori, M.; Saedisomeolia, A. Riboflavin Is an Antioxidant: A Review Update. Br. J. Nutr. 2022, 128, 1887–1895. [Google Scholar] [CrossRef]
- Ruchala, J.; Fedorovych, D.; Wojdyla, D.; Dmytruk, K.V.; Sibirny, A.A. Riboflavin Overproduction in Yeasts and Filamentous Fungi. In Biotechnology of Yeasts and Filamentous Fungi. Grand Challenges in Biology and Biotechnology; Sibirny, A.A., Ed.; Springer: Cham, Switzerland, 2025; pp. 263–289. [Google Scholar] [CrossRef]
- Suwannasom, N.; Kao, I.; Pruß, A.; Georgieva, R.; Bäumler, H. Riboflavin: The Health Benefits of a Forgotten Natural Vitamin. Int. J. Mol. Sci. 2020, 21, 950. [Google Scholar] [CrossRef] [PubMed]
- Zhang, J.-R.; Ge, Y.-Y.; Liu, P.-H.; Wu, D.-T.; Liu, H.-Y.; Li, H.-B.; Corke, H.; Gan, R.-Y. Biotechnological Strategies of Riboflavin Biosynthesis in Microbes. Engineering 2022, 12, 115–127. [Google Scholar] [CrossRef]
- Calloni, G.; Vabulas, R.M. The Structural and Functional Roles of the Flavin Cofactor FAD in Mammalian Cryptochromes. Front. Mol. Biosci. 2023, 9, 1081661. [Google Scholar] [CrossRef]
- Gomelsky, M.; Klug, G. BLUF: A Novel FAD-Binding Domain Involved in Sensory Transduction in Microorganisms. Trends Biochem. Sci. 2002, 27, 497–500. [Google Scholar] [CrossRef]
- Krauss, U.; Minh, B.Q.; Losi, A.; Gärtner, W.; Eggert, T.; von Haeseler, A.; Jaeger, K.-E. Distribution and Phylogeny of Light-Oxygen-Voltage-Blue-Light-Signaling Proteins in the Three Kingdoms of Life. J. Bacteriol. 2009, 191, 7234–7242. [Google Scholar] [CrossRef]
- Miyamoto, Y.; Sancar, A. Vitamin B2-Based Blue-Light Photoreceptors in the Retinohypothalamic Tract as the Photoactive Pigments for Setting the Circadian Clock in Mammals. Proc. Natl. Acad. Sci. USA 1998, 95, 6097–6102. [Google Scholar] [CrossRef] [PubMed]
- Institute of Medicine. Dietary Reference Intakes for Thiamin, Riboflavin, Niacin, Vitamin B6, Folate, Vitamin B12, Pantothenic Acid, Biotin, and Choline; National Academies Press: Washington, DC, USA, 1998. [Google Scholar] [CrossRef]
- Abbas, C.A.; Sibirny, A.A. Genetic Control of Biosynthesis and Transport of Riboflavin and Flavin Nucleotides and Construction of Robust Biotechnological Producers. Microbiol. Mol. Biol. Rev. 2011, 75, 321–360. [Google Scholar] [CrossRef]
- Stahmann, K.-P.; Revuelta, J.L.; Seulberger, H. Three Biotechnical Processes Using Ashbya gossypii, Candida famata, or Bacillus subtilis Compete with Chemical Riboflavin Production. Appl. Microbiol. Biotechnol. 2000, 53, 509–516. [Google Scholar] [CrossRef]
- Turck, D.; Bresson, J.; Burlingame, B.; Dean, T.; Fairweather-Tait, S.; Heinonen, M.; Hirsch-Ernst, K.I.; Mangelsdorf, I.; McArdle, H.J.; Naska, A.; et al. Dietary Reference Values for Riboflavin. EFSA J. 2017, 15, e04919. [Google Scholar] [CrossRef]
- You, J.; Pan, X.; Yang, C.; Du, Y.; Osire, T.; Yang, T.; Zhang, X.; Xu, M.; Xu, G.; Rao, Z. Microbial Production of Riboflavin: Biotechnological Advances and Perspectives. Metab. Eng. 2021, 68, 46–58. [Google Scholar] [CrossRef] [PubMed]
- Ledesma-Amaro, R.; Santos, M.A.; Jiménez, A.; Revuelta, J.L. Microbial Production of Vitamins. In Microbial Production of Food Ingredients, Enzymes and Nutraceuticals; McNeil, B., Archer, D., Giavasis, I., Harvey, L., Eds.; Woodhead Publishing Limited: Cambridge, UK, 2013; pp. 571–594. [Google Scholar] [CrossRef]
- Schwechheimer, S.K.; Park, E.Y.; Revuelta, J.L.; Becker, J.; Wittmann, C. Biotechnology of Riboflavin. Appl. Microbiol. Biotechnol. 2016, 100, 2107–2119. [Google Scholar] [CrossRef] [PubMed]
- Aragão, M.Â.; Pires, L.; Santos-Buelga, C.; Barros, L.; Calhelha, R.C. Revitalising Riboflavin: Unveiling Its Timeless Significance in Human Physiology and Health. Foods 2024, 13, 2255. [Google Scholar] [CrossRef] [PubMed]
- McNulty, H.; Pentieva, K.; Ward, M. Causes and Clinical Sequelae of Riboflavin Deficiency. Annu. Rev. Nutr. 2023, 43, 101–122. [Google Scholar] [CrossRef]
- Amir, F.; Atzinger, C.; Massey, K.; Greinwald, J.; Hunter, L.L.; Ulm, E.; Kettler, M. The Clinical Journey of Patients with Riboflavin Transporter Deficiency Type 2. J. Child Neurol. 2020, 35, 283–290. [Google Scholar] [CrossRef]
- Fennessy, J.R.; Cornett, K.M.D.; Donlevy, G.A.; Mckay, M.J.; Burns, J.; Menezes, M.P. Long-term Outcomes in Children with Riboflavin Transporter Deficiency and Surveillance Recommendations. Dev. Med. Child Neurol. 2025, 67, 405–415. [Google Scholar] [CrossRef]
- Yonezawa, A. Identification and Physiological Analysis of Novel Riboflavin Transporter RFVT. Biol. Pharm. Bull. 2025, 48, b25-00194. [Google Scholar] [CrossRef]
- Fennessy, J.R.; Cornett, K.M.D.; Burns, J.; Menezes, M.P. Benefit of High-dose Oral Riboflavin Therapy in Riboflavin Transporter Deficiency. J. Peripher. Nerv. Syst. 2023, 28, 308–316. [Google Scholar] [CrossRef]
- Saedisomeolia, A.; Ashoori, M. Chapter Two—Riboflavin in Human Health: A Review of Current Evidences. In Advances in Food and Nutrition Research; Eskin, N.A.M., Ed.; Academic Press: Cambridge, MA, USA, 2018; Volume 83, pp. 57–81. [Google Scholar] [CrossRef]
- Cardoso, D.R.; Libardi, S.H.; Skibsted, L.H. Riboflavin as a Photosensitizer. Effects on Human Health and Food Quality. Food Funct. 2012, 3, 487–502. [Google Scholar] [CrossRef]
- Lee, S.; Lee, S.; Jeong, M.; Jung, S.; Lee, M.; Yoo, S. The Relationship between Nutrient Intake and Cataracts in the Older Adult Population of Korea. Nutrients 2022, 14, 4962. [Google Scholar] [CrossRef] [PubMed]
- Bian, X.; Jin, L.; Wang, Y.; Yuan, M.; Yao, Z.; Ning, B.; Gao, W.; Guo, C. Riboflavin Deficiency Reduces Bone Mineral Density in Rats by Compromising Osteoblast Function. J. Nutr. Biochem. 2023, 122, 109453. [Google Scholar] [CrossRef]
- Wan, M.; Wu, H.; Wang, X.; Gu, Y.; Meng, G.; Zhang, Q.; Liu, L.; Zhang, J.; Sun, S.; Jia, Q.; et al. There Is a Significantly Inverse Relationship between Dietary Riboflavin Intake and Prevalence of Osteoporosis in Women but Not in Men: Results from the TCLSIH Cohort Study. Front. Nutr. 2023, 10, 1112028. [Google Scholar] [CrossRef]
- Sharma, S.; Ramachandran, A.; Sharma, A. Role of Riboflavin Deficiency in Malaria Pathophysiology. PLoS Pathog. 2024, 20, e1011991. [Google Scholar] [CrossRef]
- Araki, S.; Suzuki, M.; Fujimoto, M.; Kimura, M. Enhancement of Resistance to Bacterial Infection in Mice by Vitamin B2. J. Vet. Med. Sci. 1995, 57, 599–602. [Google Scholar] [CrossRef]
- Li, Y.; Shi, C.-W.; Zhang, Y.-T.; Huang, H.-B.; Jiang, Y.-L.; Wang, J.-Z.; Cao, X.; Wang, N.; Zeng, Y.; Yang, G.-L.; et al. Riboflavin Attenuates Influenza Virus Through Cytokine-Mediated Effects on the Diversity of the Gut Microbiota in MAIT Cell Deficiency Mice. Front. Microbiol. 2022, 13, 916580. [Google Scholar] [CrossRef]
- Matnuri, M.; Zheng, C.; Sidik, D.; Bai, G.; Abdukerim, M.; Abdukadier, A.; Ahmat, K.; Ma, Y.; Eli, M. Correlation Analysis of Riboflavin, RFT2 and Helicobater Pylori in Gastric Carcinoma. Int. J. Clin. Exp. Pathol. 2015, 8, 13339–13345. [Google Scholar] [PubMed]
- Shan, X.; Ji, Z.; Wang, B.; Zhang, Y.; Dong, H.; Jing, W.; Zhou, Y.; Hu, P.; Cui, Y.; Li, Z.; et al. Riboflavin Kinase Binds and Activates Inducible Nitric Oxide Synthase to Reprogram Macrophage Polarization. Redox Biol. 2024, 78, 103413. [Google Scholar] [CrossRef]
- Talebian, A.; Soltani, B.; Banafshe, H.R.; Moosavi, G.A.; Talebian, M.; Soltani, S. Prophylactic Effect of Riboflavin on Pediatric Migraine: A Randomized, Double-Blind, Placebo-Controlled Trial. Electron. Physician 2018, 10, 6279–6285. [Google Scholar] [CrossRef] [PubMed]
- Yamanaka, G.; Suzuki, S.; Morishita, N.; Takeshita, M.; Kanou, K.; Takamatsu, T.; Morichi, S.; Ishida, Y.; Watanabe, Y.; Go, S.; et al. Experimental and Clinical Evidence of the Effectiveness of Riboflavin on Migraines. Nutrients 2021, 13, 2612. [Google Scholar] [CrossRef] [PubMed]
- Ben, S.; Du, M.; Ma, G.; Qu, J.; Zhu, L.; Chu, H.; Zhang, Z.; Wu, Y.; Gu, D.; Wang, M. Vitamin B2 Intake Reduces the Risk for Colorectal Cancer: A Dose–Response Analysis. Eur. J. Nutr. 2019, 58, 1591–1602. [Google Scholar] [CrossRef]
- Ahn, H.; Lee, G.-S. Riboflavin, Vitamin B2, Attenuates NLRP3, NLRC4, AIM2, and Non-Canonical Inflammasomes by the Inhibition of Caspase-1 Activity. Sci. Rep. 2020, 10, 19091. [Google Scholar] [CrossRef]
- Al-Harbi, N.O.; Imam, F.; Nadeem, A.; Al-Harbi, M.M.; Korashy, H.M.; Sayed-Ahmed, M.M.; Hafez, M.M.; Al-Shabanah, O.A.; Nagi, M.N.; Bahashwan, S. Riboflavin Attenuates Lipopolysaccharide-Induced Lung Injury in Rats. Toxicol. Mech. Methods 2015, 25, 417–423. [Google Scholar] [CrossRef]
- Hristov, M.; Sabit, Z.; Kirilov, T.; Bakalov, D.; Tzoneva, R.; Apostolova, S.; Georgieva, I.; Andreeva-Gateva, P. Effects of Riboflavin on Hyperalgesia and Serum Glutamine-to-Glutamate Ratio in Rats with Painful Diabetic Neuropathy. Pharmacia 2024, 71, 1–7. [Google Scholar] [CrossRef]
- Mazur-Bialy, A.I.; Pocheć, E. HMGB1 Inhibition during Zymosan-Induced Inflammation: The Potential Therapeutic Action of Riboflavin. Arch. Immunol. Ther. Exp. 2016, 64, 171–176. [Google Scholar] [CrossRef]
- Pan, F.; Chen, Y.; He, J.-Z.; Long, L.; Chen, Y.; Luo, H.-J.; Xu, Y.-W.; Pang, X.-X.; Yang, Q.; Wang, J.-J.; et al. Dietary Riboflavin Deficiency Promotes N-Nitrosomethylbenzylamine-Induced Esophageal Tumorigenesis in Rats by Inducing Chronic Inflammation. Am. J. Cancer Res. 2019, 9, 2469–2481. [Google Scholar]
- Dricot, C.E.M.K.; Erreygers, I.; Cauwenberghs, E.; De Paz, J.; Spacova, I.; Verhoeven, V.; Ahannach, S.; Lebeer, S. Riboflavin for Women’s Health and Emerging Microbiome Strategies. Npj Biofilms Microbiomes 2024, 10, 107. [Google Scholar] [CrossRef]
- Oboza, P.; Ogarek, N.; Wójtowicz, M.; Rhaiem, T.B.; Olszanecka-Glinianowicz, M.; Kocełak, P. Relationships between Premenstrual Syndrome (PMS) and Diet Composition, Dietary Patterns and Eating Behaviors. Nutrients 2024, 16, 1911. [Google Scholar] [CrossRef] [PubMed]
- Aljaadi, A.M.; How, R.E.; Loh, S.P.; Hunt, S.E.; Karakochuk, C.D.; Barr, S.I.; McAnena, L.; Ward, M.; McNulty, H.; Khor, G.L.; et al. Suboptimal Biochemical Riboflavin Status Is Associated with Lower Hemoglobin and Higher Rates of Anemia in a Sample of Canadian and Malaysian Women of Reproductive Age. J. Nutr. 2019, 149, 1952–1959. [Google Scholar] [CrossRef] [PubMed]
- Aljaadi, A.M.; Devlin, A.M.; Green, T.J. Riboflavin Intake and Status and Relationship to Anemia. Nutr. Rev. 2022, 81, 114–132. [Google Scholar] [CrossRef]
- Santhiago, M.R.; Randleman, J.B. The Biology of Corneal Cross-Linking Derived from Ultraviolet Light and Riboflavin. Exp. Eye Res. 2021, 202, 108355. [Google Scholar] [CrossRef]
- Uemura, R.; Miura, J.; Ishimoto, T.; Yagi, K.; Matsuda, Y.; Shimizu, M.; Nakano, T.; Hayashi, M. UVA-Activated Riboflavin Promotes Collagen Crosslinking to Prevent Root Caries. Sci. Rep. 2019, 9, 1252. [Google Scholar] [CrossRef]
- Alam, M.; Iqbal, S.; Naseem, I. Ameliorative Effect of Riboflavin on Hyperglycemia, Oxidative Stress and DNA Damage in Type-2 Diabetic Mice: Mechanistic and Therapeutic Strategies. Arch. Biochem. Biophys. 2015, 584, 10–19. [Google Scholar] [CrossRef] [PubMed]
- Alhazza, I.M.; Hassan, I.; Ebaid, H.; Al-Tamimi, J.; Alwasel, S.H. Chemopreventive Effect of Riboflavin on the Potassium Bromate–Induced Renal Toxicity in Vivo. Naunyn. Schmiedebergs Arch. Pharmacol. 2020, 393, 2355–2364. [Google Scholar] [CrossRef] [PubMed]
- Naseem, I.; Hassan, I.; Alhazza, I.M.; Chibber, S. Protective Effect of Riboflavin on Cisplatin Induced Toxicities: A Gender-Dependent Study. J. Trace Elem. Med. Biol. 2015, 29, 303–314. [Google Scholar] [CrossRef]
- Yu, Z.; Morimoto, K.; Yu, J.; Bao, W.; Okita, Y.; Okada, K. Endogenous Superoxide Dismutase Activation by Oral Administration of Riboflavin Reduces Abdominal Aortic Aneurysm Formation in Rats. J. Vasc. Surg. 2016, 64, 737–745. [Google Scholar] [CrossRef] [PubMed]
- Aly, H.; Gharib, F.A.; Ahmed, E.Z. Response of Rosemary (Rosmarinus officinalis) Plants to Riboflavin Foliar Application: Improvement in Growth, Nutrient Content, Antioxidant Enzyme System, Essential Oil Production, and Its Antioxidant Potential. Egypt. J. Bot. 2024, 64, 125–143. [Google Scholar] [CrossRef]
- Kim, M.-J.; Lianto, D.K.; Koo, G.H.; Yuk, H.-G. Antibacterial Mechanism of Riboflavin-Mediated 460 Nm Light Emitting Diode Illumination against Listeria monocytogenes in Phosphate-Buffered Saline and on Smoked Salmon. Food Control 2021, 124, 107930. [Google Scholar] [CrossRef]
- Liu, X.; Li, Y.; Zhu, J.; An, R.; Xu, X.; Li, P. Effect of Exogenous Riboflavin Treatment on Postharvest Quality and Antioxidant Activity of Pak Choi. Food Sci. 2023, 44, 127–135. [Google Scholar] [CrossRef]
- Long, Y.; Sun, Y.; Zhou, B.; Zhu, G.; Chen, X.; Qi, Y.; Wang, K. Photosensitization of Riboflavin Reduces the Susceptibility to Gray Mold in Postharvest Kiwifruit. Postharvest Biol. Technol. 2024, 212, 112836. [Google Scholar] [CrossRef]
- Vishakha, K.; Das, S.; Ganguli, A. Photodynamic Antibacterial and Antibiofilm Activity of Riboflavin against Xanthomonas oryzae pv oryzae: An Ecofriendly Strategy to Combat Bacterial Leaf Blight (BLB) Rice Disease. Arch. Microbiol. 2022, 204, 566. [Google Scholar] [CrossRef] [PubMed]
- Zhu, M.; Yang, Z.; Wang, N.; Chen, L.; Xiao, Y.; Yu, L.; Long, C.; Yang, X.; Yu, J. Riboflavin Alleviates the Occurrence of Anthracnose Caused by Colletotrichum gloeosporioides in Postharvest Mango and the Possible Mechanisms Involved. Food Biosci. 2024, 59, 104169. [Google Scholar] [CrossRef]
- Andreieva, Y.; Lyzak, O.; Liu, W.; Kang, Y.; Dmytruk, K.; Sibirny, A. SEF1 and VMA1 Genes Regulate Riboflavin Biosynthesis in the Flavinogenic Yeast Candida famata. Cytol. Genet. 2020, 54, 379–385. [Google Scholar] [CrossRef]
- Andreieva, Y.; Petrovska, Y.; Lyzak, O.; Liu, W.; Kang, Y.; Dmytruk, K.; Sibirny, A. Role of the Regulatory Genes SEF1, VMA1 and SFU1 in Riboflavin Synthesis in the Flavinogenic Yeast Candida famata (Candida flareri). Yeast 2020, 37, 497–504. [Google Scholar] [CrossRef]
- Petrovska, Y.; Lyzak, O.; Dmytruk, K.; Sibirny, A. Effect of Gene SFU1 on Riboflavin Synthesis in Flavinogenic Yeast Candida famata. Cytol. Genet. 2020, 54, 408–412. [Google Scholar] [CrossRef]
- Zhao, G.; Dong, F.; Lao, X.; Zheng, H. Strategies to Increase the Production of Biosynthetic Riboflavin. Mol. Biotechnol. 2021, 63, 909–918. [Google Scholar] [CrossRef] [PubMed]
- Fedorovych, D.V.; Dmytruk, K.V.; Sibirny, A.A. Recent Advances in Construction of the Efficient Producers of Riboflavin and Flavin Nucleotides (FMN, FAD) in the Yeast Candida famata. In Flavins and Flavoproteins. Methods in Molecular Biology; Barile, M., Ed.; Springer: New York, NY, USA, 2021; Volume 2280, pp. 15–30. [Google Scholar] [CrossRef]
- Pérez-García, F.; Brito, L.F.; Bakken, T.I.; Brautaset, T. Riboflavin Overproduction from Diverse Feedstocks with Engineered Corynebacterium glutamicum. Biofabrication 2024, 16, 045012. [Google Scholar] [CrossRef]
- Ruchala, J.; Najdecka, A.; Wojdyla, D.; Liu, W.; Sibirny, A. Regulation of Riboflavin Biosynthesis in Microorganisms and Construction of the Advanced Overproducers of This Vitamin. Int. J. Mol. Sci. 2025, 26, 6243. [Google Scholar] [CrossRef]
- Liu, C.; Xia, M.; Fang, H.; Xu, F.; Wang, S.; Zhang, D. De Novo Engineering Riboflavin Production Bacillus subtilis by Overexpressing the Downstream Genes in the Purine Biosynthesis Pathway. Microb. Cell Factories 2024, 23, 159. [Google Scholar] [CrossRef]
- Bampidis, V.; Azimonti, G.; Bastos, M.d.L.; Christensen, H.; Dusemund, B.; Durjava, M.F.; Kouba, M.; López-Alonso, M.; López Puente, S.; Marcon, F.; et al. Safety and Efficacy of the Feed Additive Consisting of Vitamin B2/Riboflavin Produced by Eremothecium ashbyi CCTCCM 2019833 for All Animal Species (Hubei Guangji Pharmaceutical Co., Ltd.). EFSA J. 2021, 19, e06462. [Google Scholar] [CrossRef]
- Villa, R.E.; Azimonti, G.; Bonos, E.; Christensen, H.; Durjava, M.; Dusemund, B.; Gehring, R.; Glandorf, B.; Kouba, M.; López-Alonso, M.; et al. Safety of a Feed Additive Consisting of Vitamin B2/Riboflavin Produced with Eremothecium ashbyi CCTCCM 2019833 for All Animal Species (Hubei Guangji Pharmaceutical Co., Ltd.). EFSA J. 2024, 22, e9073. [Google Scholar] [CrossRef]
- Shastak, Y.; Pelletier, W. Exploring the Role of Riboflavin in Swine Well-Being: A Literature Review. Porc. Health Manag. 2024, 10, 46. [Google Scholar] [CrossRef]
- Lambertz, C.; Leopold, J.; Damme, K.; Vogt-Kaute, W.; Ammer, S.; Leiber, F. Effects of a Riboflavin Source Suitable for Use in Organic Broiler Diets on Performance Traits and Health Indicators. Animal 2020, 14, 716–724. [Google Scholar] [CrossRef]
- Lambertz, C.; Leopold, J.; Ammer, S.; Leiber, F.; Thesing, B.; Wild, C.; Damme, K. Demand-Oriented Riboflavin Supply of Organic Broiler Using a Feed Material from Fermentation of Ashbya gossypii. Animal 2021, 15, 100003. [Google Scholar] [CrossRef] [PubMed]
- Zhang, B.; Zhao, R.; Fouad, A.M.; Wu, Y.B.; Sun, P.X.; Wei, J.; Huang, W.; Xie, M.; Tang, J.; Hou, S.S. Research Note: Effects of Riboflavin on Reproductive Performance and Antioxidant Status of Duck Breeders. Poult. Sci. 2020, 99, 1564–1570. [Google Scholar] [CrossRef] [PubMed]
- Zhang, B.; Tang, J.; Wu, Y.B.; Cao, J.T.; Xing, G.N.; Sun, P.X.; Huang, W.; Xie, M.; Hou, S.S. Effects of Riboflavin Deficiency on the Lipid Metabolism of Duck Breeders and Duck Embryos. Poult. Sci. 2021, 100, 101342. [Google Scholar] [CrossRef]
- Zhang, B.; Gao, Y.; Shao, Y.; Shen, L.; Liu, W.; Li, H.; Li, Y.; Li, J.; Ma, T.; Wang, Z. Effect of Dietary Riboflavin Levels on Reproductive Performance of Pigeon Breeders, and Growth Performance and Carcass Traits of Offspring Squabs. Animals 2024, 14, 2414. [Google Scholar] [CrossRef] [PubMed]
- Zhang, B.; Gao, Y.; Shao, Y.; Li, Y.; Ma, J.; Xie, S.; Li, J.; Ma, T.; Wang, Z. Riboflavin Improves Meat Quality, Antioxidant Capacity, Muscle Development, and Lipids Composition of Breast Muscle in Pigeon. Poult. Sci. 2025, 104, 104856. [Google Scholar] [CrossRef]
- Leiber, F.; Amsler, Z.; Bieber, A.; Quander-Stoll, N.; Maurer, V.; Lambertz, C.; Früh, B.; Ayrle, H. Effects of Riboflavin Supplementation Level on Health, Performance, and Fertility of Organic Broiler Parent Stock and Their Chicks. Animal 2022, 16, 100433. [Google Scholar] [CrossRef]
- Leiber, F.; Holinger, M.; Amsler, Z.; Maeschli, A.; Maurer, V.; Früh, B.; Lambertz, C.; Ayrle, H. Riboflavin for Laying Hens Fed Organic Winter Diets: Effects of Different Supplementation Rates on Health, Performance and Egg Quality. Biol. Agric. Hortic. 2022, 38, 1–16. [Google Scholar] [CrossRef]
- Thesing, B.; Weindl, P.; Haug, D.; Rathmann, L.; Hofmann, P.; Lambertz, C.; Schmidt, E.; Bellof, G. Riboflavin Supply Strategies in Male Turkey Production Including Either Supply of Alfalfa Silage or Free-Range Access in Organic Farming. Eur. Poult. Sci. 2023, 87, 1–20. [Google Scholar] [CrossRef]
- Shastak, Y.; Pelletier, W. From Metabolism to Vitality: Uncovering Riboflavin’s Importance in Poultry Nutrition. Animals 2023, 13, 3554. [Google Scholar] [CrossRef]
- Kuatbekova, R.A.; Ismailkhodjaev, B.S.; Kholmurzaeva, B.A.; Eskaraev, N.M.; Махатова, А.И.; Nasibov, B.R. The Use of a Vitamin B Preparation in The Diet of Turkeys and Its Effect on Their Growth and Development and The Biochemical Composition of Blood and The Biological Value of Meat. Eur. Int. J. Multidiscip. Res. Manag. Stud. 2025, 5, 128–137. [Google Scholar] [CrossRef]
- Revuelta, J.L.; Ledesma-Amaro, R.; Lozano-Martinez, P.; Díaz-Fernández, D.; Buey, R.M.; Jiménez, A. Bioproduction of Riboflavin: A Bright Yellow History. J. Ind. Microbiol. Biotechnol. 2017, 44, 659–665. [Google Scholar] [CrossRef]
- Park, E.Y.; Ito, Y.; Nariyama, M.; Sugimoto, T.; Lies, D.; Kato, T. The Improvement of Riboflavin Production in Ashbya gossypii via Disparity Mutagenesis and DNA Microarray Analysis. Appl. Microbiol. Biotechnol. 2011, 91, 1315–1326. [Google Scholar] [CrossRef]
- Dmytruk, K.; Lyzak, O.; Yatsyshyn, V.; Kluz, M.; Sibirny, V.; Puchalski, C.; Sibirny, A. Construction and Fed-Batch Cultivation of Candida famata with Enhanced Riboflavin Production. J. Biotechnol. 2014, 172, 11–17. [Google Scholar] [CrossRef] [PubMed]
- Yao, M.; Xia, M.; Li, J.; Dong, H.; Du, L.; Zhang, D. Enhancing Riboflavin Production by Modulating the Expression of the rib Operon in Bacillus subtilis. Process Biochem. 2025, 148, 139–149. [Google Scholar] [CrossRef]
- Jiménez-Nava, R.A.; Chávez-Camarillo, G.M.; Cristiani-Urbina, E. Riboflavin Production by Lactic Acid Bacteria: A Mini-Review. World J. Microbiol. Biotechnol. 2026, 42, 71. [Google Scholar] [CrossRef] [PubMed]
- Liu, S.; Hu, W.; Wang, Z.; Chen, T. Production of Riboflavin and Related Cofactors by Biotechnological Processes. Microb. Cell Factories 2020, 19, 31. [Google Scholar] [CrossRef] [PubMed]
- Chu, R.; Li, R.; Wang, C.; Ban, R. Production of Vitamin B2 (Riboflavin) by Bacillus subtilis. J. Chem. Technol. Biotechnol. 2022, 97, 1941–1949. [Google Scholar] [CrossRef]
- Liu, Y.; Zhang, Q.; Qi, X.; Gao, H.; Wang, M.; Guan, H.; Yu, B. Metabolic Engineering of Bacillus subtilis for Riboflavin Production: A Review. Microorganisms 2023, 11, 164. [Google Scholar] [CrossRef]
- Kachel, B.; Mack, M. Engineering of Synechococcus sp. Strain PCC 7002 for the Photoautotrophic Production of Light-Sensitive Riboflavin (Vitamin B2). Metab. Eng. 2020, 62, 275–286. [Google Scholar] [CrossRef] [PubMed]
- Yang, Z.; Sun, Q.; Tan, G.; Zhang, Q.; Wang, Z.; Li, C.; Qi, F.; Wang, W.; Zhang, L.; Li, Z. Engineering Thermophilic Geobacillus thermoglucosidasius for Riboflavin Production. Microb. Biotechnol. 2021, 14, 363–373. [Google Scholar] [CrossRef]
- Hu, W.; Liu, S.; Wang, Z.; Chen, T. Improving Riboflavin Production by Knocking down ribF, purA and guaC Genes Using Synthetic Regulatory Small RNA. J. Biotechnol. 2021, 336, 25–29. [Google Scholar] [CrossRef] [PubMed]
- Wang, J.; Li, Z.; Wang, W.; Pang, S.; Yao, Y.; Yuan, F.; Wang, H.; Xu, Z.; Pan, G.; Liu, Z.; et al. Dynamic Control Strategy to Produce Riboflavin with Lignocellulose Hydrolysate in the Thermophile Geobacillus thermoglucosidasius. ACS Synth. Biol. 2022, 11, 2163–2174. [Google Scholar] [CrossRef]
- Sherbo, R.S.; Silver, P.A.; Nocera, D.G. Riboflavin Synthesis from Gaseous Nitrogen and Carbon Dioxide by a Hybrid Inorganic-Biological System. Proc. Natl. Acad. Sci. USA 2022, 119, e2210538119. [Google Scholar] [CrossRef]
- Klein, V.J.; Brito, L.F.; Perez-Garcia, F.; Brautaset, T.; Irla, M. Metabolic Engineering of Thermophilic Bacillus methanolicus for Riboflavin Overproduction from Methanol. Microb. Biotechnol. 2023, 16, 1011–1026. [Google Scholar] [CrossRef]
- Pérez-García, F.; Klein, V.J.; Brito, L.F.; Brautaset, T. From Brown Seaweed to a Sustainable Microbial Feedstock for the Production of Riboflavin. Front. Bioeng. Biotechnol. 2022, 10, 863690. [Google Scholar] [CrossRef] [PubMed]
- Lim, S.H.; Choi, J.S.; Park, E.Y. Microbial Production of Riboflavin Using Riboflavin Overproducers, Ashbya gossypii, Bacillus subtilis, and Candida famate: An Overview. Biotechnol. Bioprocess Eng. 2001, 6, 75–88. [Google Scholar] [CrossRef]
- Chatwell, L.; Krojer, T.; Fidler, A.; Römisch, W.; Eisenreich, W.; Bacher, A.; Huber, R.; Fischer, M. Biosynthesis of Riboflavin: Structure and Properties of 2,5-Diamino-6-Ribosylamino-4(3H)-Pyrimidinone 5′-Phosphate Reductase of Methanocaldococcus jannaschii. J. Mol. Biol. 2006, 359, 1334–1351. [Google Scholar] [CrossRef] [PubMed]
- Dmytruk, K.V.; Ruchala, J.; Fedorovych, D.V.; Ostapiv, R.D.; Sibirny, A.A. Modulation of the Purine Pathway for Riboflavin Production in Flavinogenic Recombinant Strain of the Yeast Candida famata. Biotechnol. J. 2020, 15, 1900468. [Google Scholar] [CrossRef] [PubMed]
- Zhang, Y.; Morar, M.; Ealick, S.E. Structural Biology of the Purine Biosynthetic Pathway. Cell. Mol. Life Sci. 2008, 65, 3699–3724. [Google Scholar] [CrossRef]
- Hove-Jensen, B.; Andersen, K.R.; Kilstrup, M.; Martinussen, J.; Switzer, R.L.; Willemoës, M. Phosphoribosyl Diphosphate (PRPP): Biosynthesis, Enzymology, Utilization, and Metabolic Significance. Microbiol. Mol. Biol. Rev. 2017, 81, 10-1128. [Google Scholar] [CrossRef]
- Masi, A.; Mach, R.L.; Mach-Aigner, A.R. The Pentose Phosphate Pathway in Industrially Relevant Fungi: Crucial Insights for Bioprocessing. Appl. Microbiol. Biotechnol. 2021, 105, 4017–4031. [Google Scholar] [CrossRef] [PubMed]
- Yurgel, S.N.; Johnson, S.A.; Rice, J.; Sa, N.; Bailes, C.; Baumgartner, J.; Pitzer, J.E.; Roop, R.M.; Roje, S. A Novel Formamidase Is Required for Riboflavin Biosynthesis in Invasive Bacteria. J. Biol. Chem. 2022, 298, 102377. [Google Scholar] [CrossRef]
- Graupner, M.; Xu, H.; White, R.H. The Pyrimidine Nucleotide Reductase Step in Riboflavin and F420 Biosynthesis in Archaea Proceeds by the Eukaryotic Route to Riboflavin. J. Bacteriol. 2002, 184, 1952–1957. [Google Scholar] [CrossRef]
- Magalhães, M.L.B.; Argyrou, A.; Cahill, S.M.; Blanchard, J.S. Kinetic and Mechanistic Analysis of the Escherichia coli ribD-Encoded Bifunctional Deaminase-Reductase Involved in Riboflavin Biosynthesis. Biochemistry 2008, 47, 6499–6507. [Google Scholar] [CrossRef]
- Rawat, R.; Sandoval, F.J.; Wei, Z.; Winkler, R.; Roje, S. An FMN Hydrolase of the Haloacid Dehalogenase Superfamily Is Active in Plant Chloroplasts. J. Biol. Chem. 2011, 286, 42091–42098. [Google Scholar] [CrossRef]
- Haase, I.; Sarge, S.; Illarionov, B.; Laudert, D.; Hohmann, H.; Bacher, A.; Fischer, M. Enzymes from the Haloacid Dehalogenase (HAD) Superfamily Catalyse the Elusive Dephosphorylation Step of Riboflavin Biosynthesis. ChemBioChem 2013, 14, 2272–2275. [Google Scholar] [CrossRef]
- London, N.; Farelli, J.D.; Brown, S.D.; Liu, C.; Huang, H.; Korczynska, M.; Al-Obaidi, N.F.; Babbitt, P.C.; Almo, S.C.; Allen, K.N.; et al. Covalent Docking Predicts Substrates for Haloalkanoate Dehalogenase Superfamily Phosphatases. Biochemistry 2015, 54, 528–537. [Google Scholar] [CrossRef]
- Sarge, S.; Haase, I.; Illarionov, B.; Laudert, D.; Hohmann, H.; Bacher, A.; Fischer, M. Catalysis of an Essential Step in Vitamin B2 Biosynthesis by a Consortium of Broad Spectrum Hydrolases. ChemBioChem 2015, 16, 2466–2469. [Google Scholar] [CrossRef]
- Sa, N.; Rawat, R.; Thornburg, C.; Walker, K.D.; Roje, S. Identification and Characterization of the Missing Phosphatase on the Riboflavin Biosynthesis Pathway in Arabidopsis thaliana. Plant J. 2016, 88, 705–716. [Google Scholar] [CrossRef]
- Baba, T.; Ara, T.; Hasegawa, M.; Takai, Y.; Okumura, Y.; Baba, M.; Datsenko, K.A.; Tomita, M.; Wanner, B.L.; Mori, H. Construction of Escherichia coli K-12 In-frame, Single-gene Knockout Mutants: The Keio Collection. Mol. Syst. Biol. 2006, 2, MSB4100050. [Google Scholar] [CrossRef] [PubMed]
- Hoffpauir, Z.A.; Lamb, A.L. Identification of the Phosphatase Essential for Riboflavin Biosynthesis in Aquifex aeolicus. J. Biol. Chem. 2025, 301, 108443. [Google Scholar] [CrossRef]
- Grochowski, L.L.; Xu, H.; White, R.H. An Iron(II) Dependent Formamide Hydrolase Catalyzes the Second Step in the Archaeal Biosynthetic Pathway to Riboflavin and 7,8-Didemethyl-8-Hydroxy-5-Deazariboflavin. Biochemistry 2009, 48, 4181–4188. [Google Scholar] [CrossRef] [PubMed]
- Yurgel, S.N.; Rice, J.; Domreis, E.; Lynch, J.; Sa, N.; Qamar, Z.; Rajamani, S.; Gao, M.; Roje, S.; Bauer, W.D. Sinorhizobium meliloti Flavin Secretion and Bacteria-Host Interaction: Role of the Bifunctional RibBA Protein. Mol. Plant-Microbe Interact. 2014, 27, 437–445. [Google Scholar] [CrossRef]
- García-Angulo, V.A. Overlapping Riboflavin Supply Pathways in Bacteria. Crit. Rev. Microbiol. 2017, 43, 196–209. [Google Scholar] [CrossRef]
- Monschau, N.; Sahm, H.; Stahmann, K.-P. Threonine Aldolase Overexpression plus Threonine Supplementation Enhanced Riboflavin Production in Ashbya gossypii. Appl. Environ. Microbiol. 1998, 64, 4283–4290. [Google Scholar] [CrossRef] [PubMed]
- Suzuki, G.T.; Fleuri, L.; Macedo, G.A. Influence of Nitrogen and Carbon Sources on Riboflavin Production by Wild Strain of Candida sp. Food Bioprocess Technol. 2012, 5, 466–473. [Google Scholar] [CrossRef]
- Jiménez-Nava, R.A.; Chávez-Camarillo, G.M.; Cristiani-Urbina, E. Kinetics of Riboflavin Production by Hyphopichia wangnamkhiaoensis under Varying Nutritional Conditions. Int. J. Mol. Sci. 2024, 25, 9430. [Google Scholar] [CrossRef]
- Kato, T.; Park, E.Y. Riboflavin Production by Ashbya gossypii. Biotechnol. Lett. 2012, 34, 611–618. [Google Scholar] [CrossRef]
- Mekan, N.N.; El-Enshasy, H.A.; Dailin, D.J.; Park, E.Y.; Kato, T. Screening of Factors Influencing Riboflavin Producing Recombinant Ashbya gossypii Using Plackett-Burman Fractional Factorial Design Experiment. AIP Conf. Proc. 2024, 2982, 050041. [Google Scholar] [CrossRef]
- Martín-González, J.; Montero-Bullón, J.-F.; Muñoz-Fernández, G.; Buey, R.M.; Jiménez, A. Valorization of Waste Cooking Oil for Bioproduction of Industrially-Relevant Metabolites in Ashbya gossypii. New Biotechnol. 2025, 88, 32–38. [Google Scholar] [CrossRef]
- Sugimoto, T.; Kanamasa, S.; Kato, T.; Park, E.Y. Importance of Malate Synthase in the Glyoxylate Cycle of Ashbya gossypii for the Efficient Production of Riboflavin. Appl. Microbiol. Biotechnol. 2009, 83, 529–539. [Google Scholar] [CrossRef]
- Yang, B.; Sun, Y.; Fu, S.; Xia, M.; Su, Y.; Liu, C.; Zhang, C.; Zhang, D. Improving the Production of Riboflavin by Introducing a Mutant Ribulose 5-Phosphate 3-Epimerase Gene in Bacillus subtilis. Front. Bioeng. Biotechnol. 2021, 9, 704650. [Google Scholar] [CrossRef]
- Sun, Y.; Liu, C.; Tang, W.; Zhang, D. Manipulation of Purine Metabolic Networks for Riboflavin Production in Bacillus subtilis. ACS Omega 2020, 5, 29140–29146. [Google Scholar] [CrossRef] [PubMed]
- Reitzer, L. Biosynthesis of Glutamate, Aspartate, Asparagine, L-Alanine, and D-Alanine. EcoSal Plus 2004, 1. [Google Scholar] [CrossRef]
- Ulane, R.; Ogur, M. Genetic and Physiological Control of Serine and Glycine Biosynthesis in Saccharomyces. J. Bacteriol. 1972, 109, 34–43. [Google Scholar] [CrossRef] [PubMed]
- Ruchala, J.; Andreieva, Y.A.; Tsyrulnyk, A.O.; Sobchuk, S.M.; Najdecka, A.; Wen, L.; Kang, Y.; Dmytruk, O.V.; Dmytruk, K.V.; Fedorovych, D.V.; et al. Cheese Whey Supports High Riboflavin Synthesis by the Engineered Strains of the Flavinogenic Yeast Candida famata. Microb. Cell Factories 2022, 21, 161. [Google Scholar] [CrossRef] [PubMed]
- Liu, W.; Tsyrulnyk, A.; Dmytruk, K.; Fedorovych, D.V.; Kang, Y.; Sibirny, A. Co-Overexpression of Genes RFE1, GND1, and RIB6 Enhances Riboflavin Production in Yeast Candida famata. Cytol. Genet. 2025, 59, 63–70. [Google Scholar] [CrossRef]
- You, J.; Du, Y.; Pan, X.; Zhang, X.; Yang, T.; Rao, Z. Increased Production of Riboflavin by Coordinated Expression of Multiple Genes in Operons in Bacillus subtilis. ACS Synth. Biol. 2022, 11, 1801–1810. [Google Scholar] [CrossRef]
- Li, Y.; Li, Y.; Chen, Y.; Cheng, M.; Yu, H.; Song, H.; Cao, Y. Coupling Riboflavin de Novo Biosynthesis and Cytochrome Expression for Improving Extracellular Electron Transfer Efficiency in Shewanella oneidensis. Biotechnol. Bioeng. 2022, 119, 2806–2818. [Google Scholar] [CrossRef]
- Xu, J.; Wang, C.; Ban, R. Improving Riboflavin Production by Modifying Related Metabolic Pathways in Bacillus subtilis. Lett. Appl. Microbiol. 2022, 74, 78–83. [Google Scholar] [CrossRef]
- Li, H.; Alper, H.S. Producing Biochemicals in Yarrowia lipolytica from Xylose through a Strain Mating Approach. Biotechnol. J. 2020, 15, 1900304. [Google Scholar] [CrossRef] [PubMed]
- Dzanaeva, L.S.; Wojdyła, D.; Fedorovych, D.V.; Ruchala, J.; Dmytruk, K.V.; Sibirny, A.A. Riboflavin Overproduction on Lignocellulose Hydrolysate by the Engineered Yeast Candida famata. FEMS Yeast Res. 2024, 24, foae020. [Google Scholar] [CrossRef]
- Zhang, M.; Zhao, X.; Chen, X.; Li, M.; Wang, X. Enhancement of Riboflavin Production in Bacillus subtilis via in Vitro and in Vivo Metabolic Engineering of Pentose Phosphate Pathway. Biotechnol. Lett. 2021, 43, 2209–2216. [Google Scholar] [CrossRef]
- Shi, S.; Shen, Z.; Chen, X.; Chen, T.; Zhao, X. Increased Production of Riboflavin by Metabolic Engineering of the Purine Pathway in Bacillus subtilis. Biochem. Eng. J. 2009, 46, 28–33. [Google Scholar] [CrossRef]
- Shi, T.; Wang, Y.; Wang, Z.; Wang, G.; Liu, D.; Fu, J.; Chen, T.; Zhao, X. Deregulation of Purine Pathway in Bacillus subtilis and Its Use in Riboflavin Biosynthesis. Microb. Cell Factories 2014, 13, 101. [Google Scholar] [CrossRef] [PubMed]
- Xu, Z.; Lin, Z.; Wang, Z.; Chen, T. Improvement of the Riboflavin Production by Engineering the Precursor Biosynthesis Pathways in Escherichia coli. Chin. J. Chem. Eng. 2015, 23, 1834–1839. [Google Scholar] [CrossRef]
- Jiménez, A.; Santos, M.A.; Pompejus, M.; Revuelta, J.L. Metabolic Engineering of the Purine Pathway for Riboflavin Production in Ashbya gossypii. Appl. Environ. Microbiol. 2005, 71, 5743–5751. [Google Scholar] [CrossRef] [PubMed]
- Jiménez, A.; Santos, M.A.; Revuelta, J.L. Phosphoribosyl Pyrophosphate Synthetase Activity Affects Growth and Riboflavin Production in Ashbya gossypii. BMC Biotechnol. 2008, 8, 67. [Google Scholar] [CrossRef] [PubMed]
- Pedley, A.M.; Benkovic, S.J. A New View into the Regulation of Purine Metabolism: The Purinosome. Trends Biochem. Sci. 2017, 42, 141–154. [Google Scholar] [CrossRef]
- De Vitto, H.; Arachchige, D.; Richardson, B.; French, J. The Intersection of Purine and Mitochondrial Metabolism in Cancer. Cells 2021, 10, 2603. [Google Scholar] [CrossRef]
- McNeil, J.B.; McIntosh, E.M.; Taylor, B.V.; Zhang, F.R.; Tang, S.; Bognar, A.L. Cloning and Molecular Characterization of Three Genes, Including Two Genes Encoding Serine Hydroxymethyltransferases, Whose Inactivation Is Required to Render Yeast Auxotrophic for Glycine. J. Biol. Chem. 1994, 269, 9155–9165. [Google Scholar] [CrossRef]
- Ai, Y.; Luo, T.; Yu, Y.; Zhou, J.; Lu, H. Downregulation of Ammonium Uptake Improves the Growth and Tolerance of Kluyveromyces marxianus at High Temperature. MicrobiologyOpen 2022, 11, e1290. [Google Scholar] [CrossRef]
- Burkholder, P.R. Synthesis of Riboflavin by a Yeast. Proc. Natl. Acad. Sci. USA 1943, 29, 166–172. [Google Scholar] [CrossRef]
- Goodwin, T.W.; McEvoy, D. Studies on the Biosynthesis of Riboflavin. 5. General Factors Controlling Flavinogenesis in the Yeast Candida Flareri. Biochem. J. 1959, 71, 742–748. [Google Scholar] [CrossRef]
- Lin, Z.; Xu, Z.; Li, Y.; Wang, Z.; Chen, T.; Zhao, X. Metabolic Engineering of Escherichia coli for the Production of Riboflavin. Microb. Cell Factories 2014, 13, 104. [Google Scholar] [CrossRef]
- Schwechheimer, S.K.; Becker, J.; Peyriga, L.; Portais, J.-C.; Wittmann, C. Metabolic Flux Analysis in Ashbya gossypii Using 13C-Labeled Yeast Extract: Industrial Riboflavin Production under Complex Nutrient Conditions. Microb. Cell Factories 2018, 17, 162. [Google Scholar] [CrossRef]
- Schwechheimer, S.K.; Becker, J.; Peyriga, L.; Portais, J.-C.; Sauer, D.; Müller, R.; Hoff, B.; Haefner, S.; Schröder, H.; Zelder, O.; et al. Improved Riboflavin Production with Ashbya gossypii from Vegetable Oil Based on 13C Metabolic Network Analysis with Combined Labeling Analysis by GC/MS, LC/MS, 1D, and 2D NMR. Metab. Eng. 2018, 47, 357–373. [Google Scholar] [CrossRef]
- Jiménez-Nava, R.A.; Chávez-Camarillo, G.M.; Cristiani-Urbina, E. Riboflavin Production by Steady-State Continuous Cultures of Hyphopichia wangnamkhiaoensis in a Bubble Column Bioreactor. Microorganisms 2025, 13, 817. [Google Scholar] [CrossRef]
- Revuelta, J.L.; Serrano-Amatriain, C.; Ledesma-Amaro, R.; Jiménez, A. Formation of Folates by Microorganisms: Towards the Biotechnological Production of This Vitamin. Appl. Microbiol. Biotechnol. 2018, 102, 8613–8620. [Google Scholar] [CrossRef]
- Chen, T.; Wu, Q.-L.; Li, X.-J.; Chen, X.; Zhao, X.-M. Effects of Different Fed-Batch Processes on Vitamin B2 Production in Recombinant Bacillus subtilis. J. Tianjin Univ. Sci. Technol. 2006, 39, 7–12. [Google Scholar]
- Knorr, B.; Schlieker, H.; Hohmann, H.-P.; Weuster-Botz, D. Scale-down and Parallel Operation of the Riboflavin Production Process with Bacillus subtilis. Biochem. Eng. J. 2007, 33, 263–274. [Google Scholar] [CrossRef][Green Version]
- Liu, S.; Kang, P.; Cui, Z.; Wang, Z.; Chen, T. Increased Riboflavin Production by Knockout of 6-Phosphofructokinase I and Blocking the Entner–Doudoroff Pathway in Escherichia coli. Biotechnol. Lett. 2016, 38, 1307–1314. [Google Scholar] [CrossRef] [PubMed]
- Xu, F.; Liu, C.; Xia, M.; Li, S.; Tu, R.; Wang, S.; Jin, H.; Zhang, D. Characterization of a Riboflavin-Producing Mutant of Bacillus Subtilis Isolated by Droplet-Based Microfluidics Screening. Microorganisms 2023, 11, 1070. [Google Scholar] [CrossRef] [PubMed]
- You, J.; Yang, C.; Pan, X.; Hu, M.; Du, Y.; Osire, T.; Yang, T.; Rao, Z. Metabolic Engineering of Bacillus subtilis for Enhancing Riboflavin Production by Alleviating Dissolved Oxygen Limitation. Bioresour. Technol. 2021, 333, 125228. [Google Scholar] [CrossRef]
- Buzzini, P.; Rossi, J. Semi-Continuous and Continuous Riboflavin Production by Calcium-Alginate-Immobilized Candida tropicalis in Concentrated Rectified Grape Must. World J. Microbiol. Biotechnol. 1998, 14, 377–381. [Google Scholar] [CrossRef]
- Enari, T.-M.; Kauppinen, V. Interaction of Cobalt and Iron in the Riboflavin Production of Candida guilliermondii. Acta Chem. Scand. 1961, 15, 1513–1516. [Google Scholar] [CrossRef]
- Schlösser, T.; Wiesenburg, A.; Gätgens, C.; Funke, A.; Viets, U.; Vijayalakshmi, S.; Nieland, S.; Stahmann, K.-P. Growth Stress Triggers Riboflavin Overproduction in Ashbya gossypii. Appl. Microbiol. Biotechnol. 2007, 76, 569–578. [Google Scholar] [CrossRef]
- Stahmann, K.; Arst, H.N.; Althöfer, H.; Revuelta, J.L.; Monschau, N.; Schlüpen, C.; Gätgens, C.; Wiesenburg, A.; Schlösser, T. Riboflavin, Overproduced during Sporulation of Ashbya gossypii, Protects Its Hyaline Spores against Ultraviolet Light. Environ. Microbiol. 2001, 3, 545–550. [Google Scholar] [CrossRef]
- Dauner, M.; Sonderegger, M.; Hochuli, M.; Szyperski, T.; Wüthrich, K.; Hohmann, H.-P.; Sauer, U.; Bailey, J.E. Intracellular Carbon Fluxes in Riboflavin-Producing Bacillus subtilis during Growth on Two-Carbon Substrate Mixtures. Appl. Environ. Microbiol. 2002, 68, 1760–1771. [Google Scholar] [CrossRef]
- Sauer, U.; Hatzimanikatis, V.; Hohmann, H.P.; Manneberg, M.; van Loon, A.P.; Bailey, J.E. Physiology and Metabolic Fluxes of Wild-Type and Riboflavin-Producing Bacillus subtilis. Appl. Environ. Microbiol. 1996, 62, 3687–3696. [Google Scholar] [CrossRef]
- Zamboni, N.; Mouncey, N.; Hohmann, H.-P.; Sauer, U. Reducing Maintenance Metabolism by Metabolic Engineering of Respiration Improves Riboflavin Production by Bacillus subtilis. Metab. Eng. 2003, 5, 49–55. [Google Scholar] [CrossRef] [PubMed]
- Zamboni, N.; Fischer, E.; Muffler, A.; Wyss, M.; Hohmann, H.-P.; Sauer, U. Transient Expression and Flux Changes during a Shift from High to Low Riboflavin Production in Continuous Cultures of Bacillus subtilis. Biotechnol. Bioeng. 2005, 89, 219–232. [Google Scholar] [CrossRef] [PubMed]
- Demain, A.L. Riboflavin Oversynthesis. Annu. Rev. Microbiol. 1972, 26, 369–388. [Google Scholar] [CrossRef]
- Hu, J.; Lei, P.; Mohsin, A.; Liu, X.; Huang, M.; Li, L.; Hu, J.; Hang, H.; Zhuang, Y.; Guo, M. Mixomics Analysis of Bacillus subtilis: Effect of Oxygen Availability on Riboflavin Production. Microb. Cell Factories 2017, 16, 150. [Google Scholar] [CrossRef] [PubMed]
- Förster, C.; Santos, M.A.; Ruffert, S.; Krämer, R.; Revuelta, J.L. Physiological Consequence of Disruption of the VMA1 Gene in the Riboflavin Overproducer Ashbya gossypii. J. Biol. Chem. 1999, 274, 9442–9448. [Google Scholar] [CrossRef]
- Förster, C.; Revuelta, J.L.; Krämer, R. Carrier-Mediated Transport of Riboflavin in Ashbya gossypii. Appl. Microbiol. Biotechnol. 2001, 55, 85–89. [Google Scholar] [CrossRef]
- Ledesma-Amaro, R.; Serrano-Amatriain, C.; Jiménez, A.; Revuelta, J.L. Metabolic Engineering of Riboflavin Production in Ashbya gossypii through Pathway Optimization. Microb. Cell Factories 2015, 14, 163. [Google Scholar] [CrossRef]
- Luedeking, R.; Piret, E.L. A Kinetic Study of the Lactic Acid Fermentation. Batch Process at Controlled pH. J. Biochem. Microbiol. Technol. Eng. 1959, 1, 393–412. [Google Scholar] [CrossRef]
- Thierie, J. Computing and Interpreting Specific Production Rates in a Chemostat in Steady State According to the Luedeking-Piret Model. Appl. Biochem. Biotechnol. 2013, 169, 477–492. [Google Scholar] [CrossRef]
- Kavitha, S.; Chandra, T.S. Effect of Vitamin E and Menadione Supplementation on Riboflavin Production and Stress Parameters in Ashbya gossypii. Process Biochem. 2009, 44, 934–938. [Google Scholar] [CrossRef]
- Kavitha, S.; Chandra, T.S. Oxidative Stress Protection and Glutathione Metabolism in Response to Hydrogen Peroxide and Menadione in Riboflavinogenic Fungus Ashbya gossypii. Appl. Biochem. Biotechnol. 2014, 174, 2307–2325. [Google Scholar] [CrossRef] [PubMed]
- Walther, A.; Wendland, J. Yap1-Dependent Oxidative Stress Response Provides a Link to Riboflavin Production in Ashbya gossypii. Fungal Genet. Biol. 2012, 49, 697–707. [Google Scholar] [CrossRef]
- Dietrich, F.S.; Voegeli, S.; Kuo, S.; Philippsen, P. Genomes of Ashbya Fungi Isolated from Insects Reveal Four Mating-Type Loci, Numerous Translocations, Lack of Transposons, and Distinct Gene Duplications. G3 GenesGenomesGenetics 2013, 3, 1225–1239. [Google Scholar] [CrossRef]
- Silva, R.; Aguiar, T.Q.; Oliveira, R.; Domingues, L. Light Exposure during Growth Increases Riboflavin Production, ROS Accumulation and DNA Damage in Ashbya gossypii Riboflavin-Overproducing Strains. FEMS Yeast Res. 2019, 19, foy114. [Google Scholar] [CrossRef]
- Kato, T.; Azegami, J.; Yokomori, A.; Dohra, H.; El Enshasy, H.A.; Park, E.Y. Genomic Analysis of a Riboflavin-Overproducing Ashbya gossypii Mutant Isolated by Disparity Mutagenesis. BMC Genom. 2020, 21, 319. [Google Scholar] [CrossRef]
- Kato, T.; Azegami, J.; Kano, M.; El Enshasy, H.A.; Park, E.Y. Induction of Oxidative Stress in Sirtuin Gene-Disrupted Ashbya gossypii Mutants Overproducing Riboflavin. Mol. Biotechnol. 2024, 66, 1144–1153. [Google Scholar] [CrossRef] [PubMed]
- Protchenko, O.V.; Boretsky, Y.R.; Romanyuk, T.M.; Fedorovych, D.V. Oversynthesis of Riboflavin by Yeast Pichia guilliermondii in Response to Oxidative Stress. Ukr. Biokhim. Zh. 2000, 72, 19–23. [Google Scholar]
- Fedorovych, D.V.; Kszeminska, H.; Babjak, L.; Kaszycki, P.; Kołoczek, H. Hexavalent Chromium Stimulation of Riboflavin Synthesis in Flavinogenic Yeast. BioMetals 2001, 14, 23–31. [Google Scholar] [CrossRef] [PubMed]
- Boretsky, Y.R.; Protchenko, O.V.; Prokopiv, T.M.; Mukalov, I.O.; Fedorovych, D.V.; Sibirny, A.A. Mutations and Environmental Factors Affecting Regulation of Riboflavin Synthesis and Iron Assimilation Also Cause Oxidative Stress in the Yeast Pichia guilliermondii. J. Basic Microbiol. 2007, 47, 371–377. [Google Scholar] [CrossRef]
- Sibirny, A.A.; Boretsky, Y.R. Pichia guilliermondii. In Yeast Biotechnology: Diversity and Applications; Satyanarayana, T., Kunze, G., Eds.; Springer: Dordrecht, The Netherlands, 2009; pp. 113–134. [Google Scholar] [CrossRef]
- Sibirny, A.A.; Voronovsky, A.Y. Candida famata (Debaryomyces hansenii). In Yeast Biotechnology: Diversity and Applications; Satyanarayana, T., Kunze, G., Eds.; Springer: Dordrecht, The Netherlands, 2009; pp. 85–111. [Google Scholar] [CrossRef]
- Pynyaha, Y.V.; Boretsky, Y.R.; Fedorovych, D.V.; Fayura, L.R.; Levkiv, A.I.; Ubiyvovk, V.M.; Protchenko, O.V.; Philpott, C.C.; Sibirny, A.A. Deficiency in Frataxin Homologue YFH1 in the Yeast Pichia guilliermondii Leads to Missregulation of Iron Acquisition and Riboflavin Biosynthesis and Affects Sulfate Assimilation. BioMetals 2009, 22, 1051–1061. [Google Scholar] [CrossRef][Green Version]
- Hsu, P.-C.; Yang, C.-Y.; Lan, C.-Y. Candida albicans Hap43 Is a Repressor Induced under Low-Iron Conditions and Is Essential for Iron-Responsive Transcriptional Regulation and Virulence. Eukaryot. Cell 2011, 10, 207–225. [Google Scholar] [CrossRef]
- Prokopiv, T.M.; Fedorovych, D.V.; Boretsky, Y.R.; Sibirny, A.A. Oversynthesis of Riboflavin in the Yeast Pichia guilliermondii Is Accompanied by Reduced Catalase and Superoxide Dismutases Activities. Curr. Microbiol. 2013, 66, 79–87. [Google Scholar] [CrossRef] [PubMed]
- Demuyser, L.; Palmans, I.; Vandecruys, P.; Van Dijck, P. Molecular Elucidation of Riboflavin Production and Regulation in Candida albicans, toward a Novel Antifungal Drug Target. mSphere 2020, 5, e00714-20. [Google Scholar] [CrossRef] [PubMed]
- Boumezbeur, A.-H.; Bruer, M.; Stoecklin, G.; Mack, M. Rational Engineering of Transcriptional Riboswitches Leads to Enhanced Metabolite Levels in Bacillus subtilis. Metab. Eng. 2020, 61, 58–68. [Google Scholar] [CrossRef]
- Ripa, I.; Ruiz-Masó, J.Á.; De Simone, N.; Russo, P.; Spano, G.; del Solar, G. A Single Change in the Aptamer of the Lactiplantibacillus plantarum rib Operon Riboswitch Severely Impairs Its Regulatory Activity and Leads to a Vitamin B2—Overproducing Phenotype. Microb. Biotechnol. 2022, 15, 1253–1269. [Google Scholar] [CrossRef]
- Vikram; Mishra, V.; Rana, A.; Ahire, J.J. Riboswitch-Mediated Regulation of Riboflavin Biosynthesis Genes in Prokaryotes. 3 Biotech 2022, 12, 278. [Google Scholar] [CrossRef] [PubMed]
- Fu, B.; Ying, J.; Chen, Q.; Zhang, Q.; Lu, J.; Zhu, Z.; Yu, P. Enhancing the Biosynthesis of Riboflavin in the Recombinant Escherichia coli BL21 Strain by Metabolic Engineering. Front. Microbiol. 2023, 13, 1111790. [Google Scholar] [CrossRef]
- Rasmussen, E.J.F.; Acs, N.; Jensen, P.R.; Solem, C. Harnessing Oxidative Stress to Obtain Natural Riboflavin Secreting Lactic Acid Bacteria for Use in Biofortification. J. Agric. Food Chem. 2024, 72, 26356–26365. [Google Scholar] [CrossRef] [PubMed]
- Wickerham, L.J.; Flickinger, M.H.; Johnston, R.M. The Production of Riboflavin by Ashbya gossypii. Arch. Biochem. 1946, 9, 95–98. [Google Scholar] [PubMed]
- Revuelta, J.L.; Ledesma-Amaro, R.; Jiménez, A. Industrial Production of Vitamin B2 by Microbial Fermentation. In Industrial Biotechnology of Vitamins, Biopigments, and Antioxidants; Vandamme, E.J., Revuelta, J.L., Eds.; Wiley-VCH Verlag GmbH & Co.: Weinheim, Germany, 2016; pp. 17–40. [Google Scholar] [CrossRef]
- Wang, Y.; Liu, L.; Jin, Z.; Zhang, D. Microbial Cell Factories for Green Production of Vitamins. Front. Bioeng. Biotechnol. 2021, 9, 661562. [Google Scholar] [CrossRef] [PubMed]
- Petrovska, Y.; Lyzak, O.; Ruchala, J.; Dmytruk, K.; Sibirny, A. Co-Overexpression of RIB1 and RIB6 Increases Riboflavin Production in the Yeast Candida famata. Fermentation 2022, 8, 141. [Google Scholar] [CrossRef]
- Kuenz, A.; Tölle, M.; Bromann, S. Investigations on Riboflavin Production by Wild-Type Yeast Strain for Supplementation of Organic Feed. Org. Agric. 2023, 13, 399–410. [Google Scholar] [CrossRef]
- Kato, T.; Azegami, J.; Kano, M.; El Enshasy, H.A.; Park, E.Y. Effects of Sirtuins on the Riboflavin Production in Ashbya gossypii. Appl. Microbiol. Biotechnol. 2021, 105, 7813–7823. [Google Scholar] [CrossRef]
- Kurabayashi, K.; Enshasy, H.A.E.; Park, E.Y.; Kato, T. Increased Production of Riboflavin in Ashbya gossypii by Endoplasmic Reticulum Stresses. Arch. Microbiol. 2025, 207, 167. [Google Scholar] [CrossRef]
- Aguiar, T.Q.; Silva, R.; Domingues, L. Ashbya gossypii beyond Industrial Riboflavin Production: A Historical Perspective and Emerging Biotechnological Applications. Biotechnol. Adv. 2015, 33, 1774–1786. [Google Scholar] [CrossRef]
- Fridovich, I. Oxygen Toxicity: A Radical Explanation. J. Exp. Biol. 1998, 201, 1203–1209. [Google Scholar] [CrossRef]
- Aguirre, J.; Ríos-Momberg, M.; Hewitt, D.; Hansberg, W. Reactive Oxygen Species and Development in Microbial Eukaryotes. Trends Microbiol. 2005, 13, 111–118. [Google Scholar] [CrossRef]
- Temple, M.D.; Perrone, G.G.; Dawes, I.W. Complex Cellular Responses to Reactive Oxygen Species. Trends Cell Biol. 2005, 15, 319–326. [Google Scholar] [CrossRef]
- Halliwell, B.; Gutteridge, J.M.C. Oxygen: Boon yet Bane—Introducing Oxygen Toxicity and Reactive Species. In Free Radicals in Biology and Medicine; Halliwell, B., Gutteridge, J.M.C., Eds.; Oxford University Press: Oxford, UK, 2015; pp. 1–29. [Google Scholar]
- Zhao, Y.; Cao, C.; Liu, Y.; Wang, J.; Li, S.; Li, J.; Deng, Y. Genetic Analysis of Oxidative and Endoplasmic Reticulum Stress Responses Induced by Cobalt Toxicity in Budding Yeast. Biochim. Biophys. Acta BBA—Gen. Subj. 2020, 1864, 129516. [Google Scholar] [CrossRef]
- Lienkamp, A.C.; Heine, T.; Tischler, D. Glutathione: A Powerful but Rare Cofactor among Actinobacteria. In Advances in Applied Microbiology; Gadd, G.M., Sariaslani, S., Eds.; Academic Press: Cambridge, MA, USA, 2020; Volume 110, pp. 181–217. [Google Scholar] [CrossRef]
- Bashandy, S.A.E.; Ebaid, H.; Abdelmottaleb Moussa, S.A.; Alhazza, I.M.; Hassan, I.; Alaamer, A.; al Tamimi, J. Potential Effects of the Combination of Nicotinamide, Vitamin B2 and Vitamin C on Oxidative-Mediated Hepatotoxicity Induced by Thioacetamide. Lipids Health Dis. 2018, 17, 29. [Google Scholar] [CrossRef]
- Jiang, W.-D.; Chen, L.; Liu, Y.; Feng, L.; Wu, P.; Jiang, J.; Kuang, S.-Y.; Tang, L.; Tang, W.-N.; Zhou, X.-Q. Impact and Consequences of Dietary Riboflavin Deficiency Treatment on Flesh Quality Loss in On-Growing Grass Carp (Ctenopharyngodon idella). Food Funct. 2019, 10, 3396–3409. [Google Scholar] [CrossRef]
- Karakoyun, B.; Ertaş, B.; Yüksel, M.; Akakın, D.; Çevik, Ö.; Şener, G. Ameliorative Effects of Riboflavin on Acetic Acid-induced Colonic Injury in Rats. Clin. Exp. Pharmacol. Physiol. 2018, 45, 563–572. [Google Scholar] [CrossRef] [PubMed]
- Anam, K.; Nasuno, R.; Takagi, H. A Novel Mechanism for Nitrosative Stress Tolerance Dependent on GTP Cyclohydrolase II Activity Involved in Riboflavin Synthesis of Yeast. Sci. Rep. 2020, 10, 6015. [Google Scholar] [CrossRef] [PubMed]
- Kato, T.; Kano, M.; Yokomori, A.; Azegami, J.; El Enshasy, H.A.; Park, E.Y. Involvement of a Flavoprotein, Acetohydroxyacid Synthase, in Growth and Riboflavin Production in Riboflavin-Overproducing Ashbya gossypii Mutant. Microb. Cell Factories 2023, 22, 105. [Google Scholar] [CrossRef]
- Kato, T.; Yokomori, A.; Suzuki, R.; Azegami, J.; El Enshasy, H.A.; Park, E.Y. Effects of a Proteasome Inhibitor on the Riboflavin Production in Ashbya gossypii. J. Appl. Microbiol. 2022, 132, 1176–1184. [Google Scholar] [CrossRef] [PubMed]
- Wurtele, H.; Kaiser, G.S.; Bacal, J.; St-Hilaire, E.; Lee, E.-H.; Tsao, S.; Dorn, J.; Maddox, P.; Lisby, M.; Pasero, P.; et al. Histone H3 Lysine 56 Acetylation and the Response to DNA Replication Fork Damage. Mol. Cell. Biol. 2012, 32, 154–172. [Google Scholar] [CrossRef]
- Irene, C.; Theis, J.F.; Gresham, D.; Soteropoulos, P.; Newlon, C.S. Hst3p, a Histone Deacetylase, Promotes Maintenance of Saccharomyces cerevisiae Chromosome III Lacking Efficient Replication Origins. Mol. Genet. Genom. 2016, 291, 271–283. [Google Scholar] [CrossRef]
- Karányi, Z.; Hornyák, L.; Székvölgyi, L. Histone H3 Lysine 56 Acetylation Is Required for Formation of Normal Levels of Meiotic DNA Breaks in S. cerevisiae. Front. Cell Dev. Biol. 2020, 7, 364. [Google Scholar] [CrossRef] [PubMed]
- Jiménez-Nava, R.A. Producción, Purificación e Identificación Del Compuesto Fluorescente Sintetizado Por Hyphopichia wangnamkhiaoensis. Doctoral Thesis, Escuela Nacional de Ciencias Biológicas, Mexico City, Mexico, 2024. [Google Scholar]
- Man, Z.; Rao, Z.; Cheng, Y.; Yang, T.; Zhang, X.; Xu, M.; Xu, Z. Enhanced Riboflavin Production by Recombinant Bacillus subtilis RF1 through the Optimization of Agitation Speed. World J. Microbiol. Biotechnol. 2014, 30, 661–667. [Google Scholar] [CrossRef] [PubMed]
- Chen, J.; Zhai, W.; Li, Y.; Guo, Y.; Zhu, Y.; Lei, G.; Li, J. Enhancing the Biomass and Riboflavin Production of Ashbya gossypii by Using Low-Intensity Ultrasound Stimulation. Biochem. Eng. J. 2022, 181, 108394. [Google Scholar] [CrossRef]
- Zhai, W.; Cheng, J.; Li, Y.; Li, J.; Li, K.; Wei, L. Adaptive Evolution-Assisted Riboflavin Production of Ashbya gossypii from Cane Molasses. Math. Probl. Eng. 2022, 2022, 1–10. [Google Scholar] [CrossRef]
- Ashokkumar, M. The Characterization of Acoustic Cavitation Bubbles—An Overview. Ultrason. Sonochem. 2011, 18, 864–872. [Google Scholar] [CrossRef]
- Chemat, F.; Zill-e-Huma; Khan, M.K. Applications of Ultrasound in Food Technology: Processing, Preservation and Extraction. Ultrason. Sonochem. 2011, 18, 813–835. [Google Scholar] [CrossRef]
- Liu, C.; Xu, Q.; Ma, J.; Wang, S.; Li, J.; Mao, X. Ultrasonic Cavitation Induced Vibrio parahaemolyticus Entering an Apoptosis-like Death Process through SOS Response. Ultrason. Sonochem. 2024, 103, 106771. [Google Scholar] [CrossRef]
- Sun, C.X.; Ma, Y.J.; Wang, J.W. Enhanced Production of Hypocrellin A by Ultrasound Stimulation in Submerged Cultures of Shiraia bambusicola. Ultrason. Sonochem. 2017, 38, 214–224. [Google Scholar] [CrossRef]
- Li, J.; Ma, L.; Liao, X.; Liu, D.; Lu, X.; Chen, S.; Ye, X.; Ding, T. Ultrasound-Induced Escherichia coli O157:H7 Cell Death Exhibits Physical Disruption and Biochemical Apoptosis. Front. Microbiol. 2018, 9, 2486. [Google Scholar] [CrossRef]
- Guilliermond, A.; Fontaine, M.; Raffy, A. Sur l’existence Dans l’Eremothecium ashbyii d’un Pigment Jaune Se Rapportant Au Groupe Des Flavines. Comptes Rendus Académie Sci. 1935, 201, 1077–1080. [Google Scholar]
- Özbaş, T.; Kutsal, T. Comparative Study of Riboflavin Production from Two Microorganisms: Eremothecium ashbyii and Ashbya gossypii. Enzyme Microb. Technol. 1986, 8, 593–596. [Google Scholar] [CrossRef]
- Wendland, J.; Walther, A. Genome Evolution in the Eremothecium Clade of the Saccharomyces Complex Revealed by Comparative Genomics. G3 GenesGenomesGenetics 2011, 1, 539–548. [Google Scholar] [CrossRef]
- Goodwin, T.W.; Pendlington, S. Studies on the Biosynthesis of Riboflavin. Nitrogen Metabolism and Flavinogenesis in Eremothecium ashbyii. Biochem. J. 1954, 57, 631–641. [Google Scholar] [CrossRef]
- Goodwin, T.W.; Jones, O.T.G. Studies on the Biosynthesis of Riboflavin. 3. The Utilization of 14C-Labelled Serine for Riboflavin Biosynthesis by Eremothecium ashbyii. Biochem. J. 1956, 64, 9–13. [Google Scholar] [CrossRef]
- Goodwin, T.W.; Horton, A.A. Studies in Flavinogenesis. 6. The Role of Threonine in Riboflavin Biosynthesis in Eremothecium ashbyii. Biochem. J. 1960, 75, 53–57. [Google Scholar] [CrossRef]
- Yatsyshyn, V.Y.; Ishchuk, O.P.; Voronovsky, A.Y.; Fedorovych, D.V.; Sibirny, A.A. Production of Flavin Mononucleotide by Metabolically Engineered Yeast Candida famata. Metab. Eng. 2009, 11, 163–167. [Google Scholar] [CrossRef]
- Yatsyshyn, V.Y.; Fedorovych, D.V.; Sibirny, A.A. Metabolic and Bioprocess Engineering of the Yeast Candida famata for FAD Production. J. Ind. Microbiol. Biotechnol. 2014, 41, 823–835. [Google Scholar] [CrossRef]
- Kolonne, S.; Seviour, R.J.; McDougall, B.M. Effect of pH on Exocellular Riboflavin Production by Eremothecium ashbyii. Biotechnol. Lett. 1994, 16, 79–84. [Google Scholar] [CrossRef]
- Kalingan, A.E.; Krishnan, M.R.V. Application of Agro-Industrial by-Products for Riboflavin Production by Eremothecium ashbyii NRRL 1363. Appl. Microbiol. Biotechnol. 1997, 47, 226–230. [Google Scholar] [CrossRef]
- Jadhav, S.K.; Vijayalakshmi, S. Effect of Stress Inducer on the Morphology of the Riboflavin Producer Eremothecium ashbyii. Res. J. Pharm. Technol. 2018, 11, 5227. [Google Scholar] [CrossRef]
- Moore, H.N.; De Becze, G.; Schraffenberger, E. Studies on Eremothecium ashbyii. J. Bacteriol. 1947, 53, 502. [Google Scholar]
- Hickey, R.J. Some Nutritional Requirements for Biosynthesis of Riboflavin by Eremothecium ashbyii. J. Bacteriol. 1953, 66, 27–33. [Google Scholar] [CrossRef]
- Pujari, V.; Chandra, T.S. Physio-Morphological Changes in a Riboflavin Producer Eremothecium ashbyi DT1 and UV Mutants in Submerged Fermentation. J. Microbiol. Biotechnol. 2001, 11, 552–557. [Google Scholar]
- Vijayalakshmi, S.; Shuvasree, R.; Chandra, T.S.; Mishra, A.K. Lipid Accumulation and Membrane Fluidity Influence Mycelial Stability and Riboflavin Production by the Riboflavinogenic Fungus Eremothecium ashbyii. Internet J. Microbiol. 2009, 8, 7–8. [Google Scholar]
- Simadri, D.; Sampath, K.; Vinod, U.; Prasanth, K.; Rajagopal, K.; Vijayalakshmi, S. Development and Characterization of Expression Vectors for the Riboflavin Overproducing Fungus Eremothecium ashbyii Using Ashbya gossypii Genes. Asian J. Mycol. 2023, 6, 271–289. [Google Scholar] [CrossRef]
- Simadri, D.; Yadav, V.; Rajagopal, K.; Vijayalakshmi, S. Comet Assay to Sudy DNA Damage Caused by Different Stress Inducers in the Riboflavin Overproducer Eremothecium ashbyii. Asian J. Pharm. Clin. Res. 2025, 18, 69–74. [Google Scholar] [CrossRef]
- Amaral De Faria Silva, L.; Ferreira Alves, M.; Florêncio Filho, D.; Aparecida Takahashi, J.; Soares Santos, L.; Almeida De Carvalho, S. Pigment Produced from Arcopilus aureus Isolated from Grapevines: Promising Natural Yellow Colorants for the Food Industry. Food Chem. 2022, 389, 132967. [Google Scholar] [CrossRef]
- Thomas, T.A.; Tirumale, S. Comparative Proteome Profiling of Fusarium chlamydosporum and Elucidation of Pigment Biosynthetic Pathway under Nitrogen Stress. J. Proteom. 2023, 277, 104851. [Google Scholar] [CrossRef]
- Chávez-Camarillo, G.M.; Lopez-Nuñez, P.V.; Jiménez-Nava, R.A.; Aranda-García, E.; Cristiani-Urbina, E. Production of Extracellular α-Amylase by Single-Stage Steady-State Continuous Cultures of Candida wangnamkhiaoensis in an Airlift Bioreactor. PLoS ONE 2022, 17, e0264734. [Google Scholar] [CrossRef]
- Fedorovych, D.V.; Boretsky, V.; Pynyaha, Y.; Bohovych, I.; Boretsky, Y.; Sibirny, A. Cloning of Genes Sef1 and Tup1 Encoding Transcriptional Activator and Global Repressor in the Flavinogenic Yeast Meyerozyma (Candida, Pichia) guilliermondii. Cytol. Genet. 2020, 54, 413–419. [Google Scholar] [CrossRef]
- Palma, M.; Mondo, S.; Pereira, M.; Vieira, É.; Grigoriev, I.V.; Sá-Correia, I. Genome Sequence and Analysis of the Flavinogenic Yeast Candida membranifaciens IST 626. J. Fungi 2022, 8, 254. [Google Scholar] [CrossRef]
- Fitzpatrick, D.A.; Logue, M.E.; Stajich, J.E.; Butler, G. A Fungal Phylogeny Based on 42 Complete Genomes Derived from Supertree and Combined Gene Analysis. BMC EVolume Biol. 2006, 6, 99. [Google Scholar] [CrossRef]
- Miranda, I.; Silva, R.; Santos, M.A.S. Evolution of the Genetic Code in Yeasts. Yeast 2006, 23, 203–213. [Google Scholar] [CrossRef] [PubMed]
- Krassowski, T.; Coughlan, A.Y.; Shen, X.-X.; Zhou, X.; Kominek, J.; Opulente, D.A.; Riley, R.; Grigoriev, I.V.; Maheshwari, N.; Shields, D.C.; et al. Evolutionary Instability of CUG-Leu in the Genetic Code of Budding Yeasts. Nat. Commun. 2018, 9, 1887. [Google Scholar] [CrossRef]
- Gadd, G.M.; Edwards, S.W. Heavy-Metal-Induced Flavin Production by Debaryomyces hansenii and Possible Connexions with Iron Metabolism. Trans. Br. Mycol. Soc. 1986, 87, 533–542. [Google Scholar] [CrossRef]
- Weinstein, L.H.; Purvis, E.R.; Meiss, A.N.; Uhler, R.L. Chelates, Absorption and Translocation of Ethylenediaminetetraacetic Acid by Sunflower Plants. J. Agric. Food Chem. 1954, 2, 421–425. [Google Scholar] [CrossRef]
- Vardja, T.; Vardja, R.; Pudersell, K.; Tohver, A. Riboflavin Excretion from the Excised Roots of Hyoscyamus niger. Pharm. Biol. 2004, 42, 353–359. [Google Scholar] [CrossRef]
- Vorwieger, A.; Gryczka, C.; Czihal, A.; Douchkov, D.; Tiedemann, J.; Mock, H.-P.; Jakoby, M.; Weisshaar, B.; Saalbach, I.; Bäumlein, H. Iron Assimilation and Transcription Factor Controlled Synthesis of Riboflavin in Plants. Planta 2007, 226, 147–158. [Google Scholar] [CrossRef]
- Higa, A.; Miyamoto, E.; Rahman, L.U.; Kitamura, Y. Root Tip-Dependent, Active Riboflavin Secretion by Hyoscyamus albus Hairy Roots under Iron Deficiency. Plant Physiol. Biochem. 2008, 46, 452–460. [Google Scholar] [CrossRef][Green Version]
- Hickey, R.J. The Inactivation of Iron by 2,2’-Bipyridine and Its Effect on Riboflavin Synthesis by Clostridium acetobutylicum. Arch. Biochem. 1945, 8, 439–447. [Google Scholar]
- Worst, D.J.; Gerrits, M.M.; Vandenbroucke-Grauls, C.M.J.E.; Kusters, J.G. Helicobacter pylori ribBA-Mediated Riboflavin Production Is Involved in Iron Acquisition. J. Bacteriol. 1998, 180, 1473–1479. [Google Scholar] [CrossRef] [PubMed]
- Crossley, R.A.; Gaskin, D.J.H.; Holmes, K.; Mulholland, F.; Wells, J.M.; Kelly, D.J.; van Vliet, A.H.M.; Walton, N.J. Riboflavin Biosynthesis Is Associated with Assimilatory Ferric Reduction and Iron Acquisition by Campylobacter jejuni. Appl. Environ. Microbiol. 2007, 73, 7819–7825. [Google Scholar] [CrossRef] [PubMed]
- Coursolle, D.; Baron, D.B.; Bond, D.R.; Gralnick, J.A. The Mtr Respiratory Pathway Is Essential for Reducing Flavins and Electrodes in Shewanella oneidensis. J. Bacteriol. 2010, 192, 467–474. [Google Scholar] [CrossRef] [PubMed]
- Enari, T.-M. Effect of Cobalt and Iron on Riboflavin Production by Candida guilliermondia. Acta Chem. Scand. 1955, 9, 1726–1727. [Google Scholar] [CrossRef]
- Knüsel, F. Die Biosynthese Des Riboflavins Bei Candida guilliermondii (A. Cast) Langeron Und Guerra Und Einigen Verwandten Arten. Arch. Für Mikrobiol. 1957, 27, 219–259. [Google Scholar] [CrossRef]
- Naik, M.S.; Das, N.B. Effect of Copper and Zinc Deficiency on the Synthesis of Protein and Riboflavin by Aspergillus niger. Indian J. Exp. Biol. 1964, 2, 59–64. [Google Scholar]
- Fedorovych, D.V.; Protchenko, O.; Lesuisse, E. Iron Uptake by the Yeast Pichia guilliermondii. Flavinogenesis and Reductive Iron Assimilation Are Co-Regulated Processes. BioMetals 1999, 12, 295–300. [Google Scholar] [CrossRef]
- Blazhenko, O.V. Glutathione Deficiency Leads to Riboflavin Oversynthesis in the Yeast Pichia guilliermondii. Curr. Microbiol. 2014, 69, 10–18. [Google Scholar] [CrossRef]
- Sepúlveda-Cisternas, I.; Salazar, J.C.; García-Angulo, V.A. Overview on the Bacterial Iron-Riboflavin Metabolic Axis. Front. Microbiol. 2018, 9, 1478. [Google Scholar] [CrossRef]
- Meneghini, R. Iron Homeostasis, Oxidative Stress, and DNA Damage. Free Radic. Biol. Med. 1997, 23, 783–792. [Google Scholar] [CrossRef]
- Herrero, E.; Ros, J.; Bellí, G.; Cabiscol, E. Redox Control and Oxidative Stress in Yeast Cells. Biochim. Biophys. Acta BBA—Gen. Subj. 2008, 1780, 1217–1235. [Google Scholar] [CrossRef] [PubMed]
- Gudipati, V.; Koch, K.; Lienhart, W.-D.; Macheroux, P. The Flavoproteome of the Yeast Saccharomyces cerevisiae. Biochim. Biophys. Acta BBA—Proteins Proteom. 2014, 1844, 535–544. [Google Scholar] [CrossRef]
- Murad, A.M.A.; D’Enfert, C.; Gaillardin, C.; Tournu, H.; Tekaia, F.; Talibi, D.; Marechal, D.; Marchais, V.; Cottin, J.; Brown, A.J.P. Transcript Profiling in Candida albicans Reveals New Cellular Functions for the Transcriptional Repressors CaTup1, CaMig1 and CaNrg1. Mol. Microbiol. 2001, 42, 981–993. [Google Scholar] [CrossRef] [PubMed]
- Knight, S.A.B.; Lesuisse, E.; Stearman, R.; Klausner, R.D.; Dancis, A. Reductive Iron Uptake by Candida albicans: Role of Copper, Iron and the TUP1 Regulator. Microbiology 2002, 148, 29–40. [Google Scholar] [CrossRef]
- Lan, C.; Rodarte, G.; Murillo, L.A.; Jones, T.; Davis, R.W.; Dungan, J.; Newport, G.; Agabian, N. Regulatory Networks Affected by Iron Availability in Candida albicans. Mol. Microbiol. 2004, 53, 1451–1469. [Google Scholar] [CrossRef]
- Chen, C.; Pande, K.; French, S.D.; Tuch, B.B.; Noble, S.M. An Iron Homeostasis Regulatory Circuit with Reciprocal Roles in Candida albicans Commensalism and Pathogenesis. Cell Host Microbe 2011, 10, 118–135. [Google Scholar] [CrossRef] [PubMed]
- Chen, C.; Noble, S.M. Post-Transcriptional Regulation of the Sef1 Transcription Factor Controls the Virulence of Candida albicans in Its Mammalian Host. PLoS Pathog. 2012, 8, e1002956. [Google Scholar] [CrossRef]
- Groenewald, M.; Daniel, H.-M.; Robert, V.; Poot, G.A.; Smith, M. Polyphasic Re-Examination of Debaryomyces hansenii Strains and Reinstatement of D. hansenii, D. fabryi and D. subglobosus. Persoonia—Mol. Phylogeny EVolume Fungi 2008, 21, 17–27. [Google Scholar] [CrossRef]
- Nguyen, H.-V.; Gaillardin, C.; Neuvéglise, C. Differentiation of Debaryomyces hansenii and Candida famata by rRNA Gene Intergenic Spacer Fingerprinting and Reassessment of Phylogenetic Relationships among D. hansenii, C. hamata, D. habryi, C. flareri (=D. subglobosus) and D. prosopidis: Description of D. vietnamensis sp. nov. Closely Related to D. nepalensis. FEMS Yeast Res. 2009, 9, 641–662. [Google Scholar] [CrossRef][Green Version]
- Tsyrulnyk, A.O.; Fedorovych, D.V.; Dmytruk, K.V.; Sibirny, A.A. Overexpression of Riboflavin Excretase Enhances Riboflavin Production in the Yeast Candida famata. In Flavins and Flavoproteins. Methods in Molecular Biology; Springer: New York, NY, USA, 2021; Volume 2280, pp. 31–42. [Google Scholar] [CrossRef]
- Tsyrulnyk, A.O.; Andreieva, Y.A.; Ruchala, J.; Fayura, L.R.; Dmytruk, K.V.; Fedorovych, D.V.; Sibirny, A.A. Expression of Yeast Homolog of the Mammal BCRP Gene Coding for Riboflavin Efflux Protein Activates Vitamin B2 Production in the Flavinogenic Yeast Candida famata. Yeast 2020, 37, 467–473. [Google Scholar] [CrossRef]
- van Herwaarden, A.E.; Wagenaar, E.; Merino, G.; Jonker, J.W.; Rosing, H.; Beijnen, J.H.; Schinkel, A.H. Multidrug Transporter ABCG2/Breast Cancer Resistance Protein Secretes Riboflavin (Vitamin B2) into Milk. Mol. Cell. Biol. 2007, 27, 1247–1253. [Google Scholar] [CrossRef]
- Mao, Q.; Unadkat, J.D. Role of the Breast Cancer Resistance Protein (BCRP/ABCG2) in Drug Transport—An Update. AAPS J. 2015, 17, 65–82. [Google Scholar] [CrossRef]
- Tsyrulnyk, A.O.; Fedorovych, D.V.; Sobchuk, S.M.; Dmytruk, K.V.; Sibirny, A.A. Lactose Inducible Expression of Transcription Factor Gene SEF1 Increases Riboflavin Production in the Yeast Candida famata. Mikrobiol. Zh. 2021, 83, 3–10. [Google Scholar] [CrossRef]
- Oliveira, A.C.D.; Fernandes, M.L.; Mariano, A.B. Production and Characterization of an Extracellular Lipase from Candida guilliermondii. Braz. J. Microbiol. 2014, 45, 1503–1511. [Google Scholar] [CrossRef]
- Knob, A.; Izidoro, S.C.; Lacerda, L.T.; Rodrigues, A.; de Lima, V.A. A Novel Lipolytic Yeast Meyerozyma guilliermondii: Efficient and Low-Cost Production of Acid and Promising Feed Lipase Using Cheese Whey. Biocatal. Agric. Biotechnol. 2020, 24, 101565. [Google Scholar] [CrossRef]
- Leonard, S.; Gannett, P.M.; Rojanasakul, Y.; Schwegler-Berry, D.; Castranova, V.; Vallyathan, V.; Shi, X. Cobalt-Mediated Generation of Reactive Oxygen Species and Its Possible Mechanism. J. Inorg. Biochem. 1998, 70, 239–244. [Google Scholar] [CrossRef] [PubMed]
- Stadler, J.A.; Schweyen, R.J. The Yeast Iron Regulon Is Induced upon Cobalt Stress and Crucial for Cobalt Tolerance. J. Biol. Chem. 2002, 277, 39649–39654. [Google Scholar] [CrossRef] [PubMed]
- Batghare, A.H.; Roy, K.; Khaire, K.C.; Moholkar, V.S. Mechanistic Investigations in Ultrasound-Induced Intensification of Fermentative Riboflavin Production. Bioresour. Technol. Rep. 2020, 9, 100380. [Google Scholar] [CrossRef]
- Villarreal-Huerta, D.; Mendoza-Téllez, B.; Rosas-Paz, M.Á.; Sánchez, N.S.; Jiménez-Nava, R.A.; Cristiani-Urbina, E.; Segal-Kischinevzky, C.; González, J. Hog1 MAP Kinase Modulates Early Riboflavin Accumulation Under Low-pH and Saline Conditions in Debaryomyces hansenii. Front. Microbiol. 2026, 17, 1746023. [Google Scholar] [CrossRef]
- Kurtzman, C.P.; Suzuki, M. Phylogenetic Analysis of Ascomycete Yeasts That Form Coenzyme Q-9 and the Proposal of the New Genera Babjeviella, Meyerozyma, Millerozyma, Priceomyces, and Scheffersomyces. Mycoscience 2010, 51, 2–14. [Google Scholar] [CrossRef]
- Wang, L.; Chi, Z.; Wang, X.; Ju, L.; Chi, Z.; Guo, N. Isolation and Characterization of Candida membranifaciens Subsp. Flavinogenie W14-3, a Novel Riboflavin-Producing Marine Yeast. Microbiol. Res. 2008, 163, 255–266. [Google Scholar] [CrossRef]
- Utashima, Y.; Yamashita, S.; Arima, T.-H.; Masaki, K. Codon Optimization Enables the Zeocin Resistance Marker’s Use in the Ascomycete Yeast Debaryomyces occidentalis. J. Gen. Appl. Microbiol. 2017, 63, 254–257. [Google Scholar] [CrossRef][Green Version]
- Matanović, A.; Arambašić, K.; Žunar, B.; Štafa, A.; Svetec Miklenić, M.; Šantek, B.; Svetec, I.-K. Toolbox for Genetic Transformation of Non-Conventional Saccharomycotina Yeasts: High Efficiency Transformation of Yeasts Belonging to the Schwanniomyces Genus. J. Fungi 2022, 8, 531. [Google Scholar] [CrossRef]
- Amornrattanapan, P. Riboflavin Production by Candida tropicalis Isolated from Seawater. Sci. Res. Essays 2013, 8, 43–47. [Google Scholar]
- Hernández-Montañez, Z.F.; Juárez-Montiel, M.; Velázquez-Ávila, M.; Cristiani-Urbina, E.; Hernández-Rodríguez, C.; Villa-Tanaca, L.; Chávez-Camarillo, G. Production and Characterization of Extracellular α-Amylase Produced by Wickerhamia sp. X-Fep. Appl. Biochem. Biotechnol. 2012, 167, 2117–2129. [Google Scholar] [CrossRef] [PubMed]
- Chávez-Camarillo, G.M.; Santiago-Flores, U.M.; Mena-Vivanco, A.; Morales-Barrera, L.; Cortés-Acosta, E.; Cristiani-Urbina, E. Transient Responses of Wickerhamia sp. Yeast Continuous Cultures to Qualitative Changes in Carbon Source Supply: Induction and Catabolite Repression of α-Amylase Synthesis. Ann. Microbiol. 2018, 68, 625–635. [Google Scholar] [CrossRef]
- Romo-Silva, M.; Flores-Camargo, E.O.; Chávez-Camarillo, G.M.; Cristiani-Urbina, E. Production, Purification, and Characterization of Extracellular Lipases from Hyphopichia wangnamkhiaoensis and Yarrowia deformans. Fermentation 2024, 10, 595. [Google Scholar] [CrossRef]
- Pérez-Rodríguez, A.; Flores-Ortiz, C.M.; Chávez-Camarillo, G.M.; Cristiani-Urbina, E.; Morales-Barrera, L. Potential Capacity of Candida wangnamkhiaoensis to Produce Oleic Acid. Fermentation 2023, 9, 443. [Google Scholar] [CrossRef]
- Linares-Martínez, L. Producción y Caracterización Parcial de Un Compuesto Fluorescente de Candida wangnamkhiaoensis. Bachelor’s Thesis, Escuela Nacional de Ciencias Biológicas, Mexico City, Mexico, 2019. [Google Scholar]
- Jiménez-Nava, R.A. Influencia de Los Factores Nutricionales Sobre La Producción de Un Compuesto Fluorescente Por Candida wangnamkhiaoensis En Un Reactor Neumático. Master’s Thesis, Escuela Nacional de Ciencias Biológicas, Mexico City, Mexico, 2020. [Google Scholar]
- Jiménez-Nava, R.A.; Zepeda-Vallejo, L.G.; Santoyo-Tepole, F.; Chávez-Camarillo, G.M.; Cristiani-Urbina, E. RP-HPLC Separation and 1H NMR Identification of a Yellow Fluorescent Compound—Riboflavin (Vitamin B2)—Produced by the Yeast Hyphopichia wangnamkhiaoensis. Biomolecules 2023, 13, 1423. [Google Scholar] [CrossRef]
- Ribeiro, L.R.; Santos, A.R.O.; Groenewald, M.; Smith, M.T.H.; Lara, C.A.; Góes-Neto, A.; Jacques, N.; Grondin, C.; Casaregola, S.; Lachance, M.-A.; et al. Description of Hyphopichia buzzinii f.a., sp. nov. and Hyphopichia homilentoma comb. nov., the Teleomorph of Candida homilentoma. Antonie Van Leeuwenhoek 2017, 110, 985–994. [Google Scholar] [CrossRef]
- Hassan, H.S.; Shetaia, Y.M.; Shafei, M.S.; Elrefai, H.A.; Elaasser, M. Optimization of Riboflavin Production by Rhodotorula glutinis Using Statistical Design. Egypt. Pharm. J. 2020, 19, 312–320. [Google Scholar] [CrossRef]
- Morin, N.; Czerwiec, Q.; Nicaud, J.; Neuvéglise, C.; Rossignol, T. Transforming Candida hispaniensis, a Promising Oleaginous and Flavogenic Yeast. Yeast 2020, 37, 348–355. [Google Scholar] [CrossRef]
- Pedrolli, D.B.; Kühm, C.; Sévin, D.C.; Vockenhuber, M.P.; Sauer, U.; Suess, B.; Mack, M. A Dual Control Mechanism Synchronizes Riboflavin and Sulphur Metabolism in Bacillus subtilis. Proc. Natl. Acad. Sci. USA 2015, 112, 14054–14059. [Google Scholar] [CrossRef]
- Abduljalil, J.M. Bacterial Riboswitches and RNA Thermometers: Nature and Contributions to Pathogenesis. Non-Coding RNA Res. 2018, 3, 54–63. [Google Scholar] [CrossRef]
- Ray, S.; Chauvier, A.; Walter, N.G. Kinetics Coming into Focus: Single-Molecule Microscopy of Riboswitch Dynamics. RNA Biol. 2019, 16, 1077–1085. [Google Scholar] [CrossRef] [PubMed]
- Ariza-Mateos, A.; Nuthanakanti, A.; Serganov, A. Riboswitch Mechanisms: New Tricks for an Old Dog. Biochem. Mosc. 2021, 86, 962–975. [Google Scholar] [CrossRef] [PubMed]
- Sharma, S.; Grover, N. Riboswitches: Sensors and Regulators. In Fundamentals of RNA Structure and Function; Grover, N., Ed.; Springer: Cham, Switzerland, 2022; pp. 147–165. [Google Scholar] [CrossRef]
- Nudler, E. The Riboswitch Control of Bacterial Metabolism. Trends Biochem. Sci. 2004, 29, 11–17. [Google Scholar] [CrossRef]
- Micura, R.; Höbartner, C. Fundamental Studies of Functional Nucleic Acids: Aptamers, Riboswitches, Ribozymes and DNAzymes. Chem. Soc. Rev. 2020, 49, 7331–7353. [Google Scholar] [CrossRef]
- Vitreschak, A.G.; Rodionov, D.A.; Mironov, A.A.; Gelfand, M.S. Regulation of Riboflavin Biosynthesis and Transport Genes in Bacteria by Transcriptional and Translational Attenuation. Nucleic Acids Res. 2002, 30, 3141–3151. [Google Scholar] [CrossRef]
- Pedrolli, D.B.; Langer, S.; Hobl, B.; Schwarz, J.; Hashimoto, M.; Mack, M. The ribB FMN Riboswitch from Escherichia coli Operates at the Transcriptional and Translational Level and Regulates Riboflavin Biosynthesis. FEBS J. 2015, 282, 3230–3242. [Google Scholar] [CrossRef] [PubMed]
- Oraei, M.; Razavi, S.H.; Khodaiyan, F. Optimization of Effective Minerals on Riboflavin Production by Bacillus subtilis subsp. subtilis ATCC 6051 Using Statistical Designs. Avicenna J. Med. Biotechnol. 2018, 10, 49–55. [Google Scholar]
- Awotundun, T.; Olanbiwoninu, A. Probiotic Potential of Riboflavin-Overproducing Bacillus subtilis ACU-I163MR and ACU-I11MR, Isolated from Fermented African Locust Beans. Access Microbiol. 2025, 7, 000883.v3. [Google Scholar] [CrossRef]
- Radchenko, M.M.; Tigunova, O.O.; Zelena, L.B.; Beiko, N.Y.; Andriiash, H.S.; Shulga, S.M. Phylogenetic Analysis of the Bacillus subtilis IFBG MK-2 Strain and Riboflavin Production by Its Induced Clones. Cytol. Genet. 2021, 55, 145–151. [Google Scholar] [CrossRef]
- Wang, X.; Wang, Q.; Qi, Q. Identification of Riboflavin: Revealing Different Metabolic Characteristics between Escherichia coli BL21(DE3) and MG1655. FEMS Microbiol. Lett. 2015, 362, fnv071. [Google Scholar] [CrossRef]
- Fu, B.; Chen, M.; Bao, X.; Lu, J.; Zhu, Z.; Guan, F.; Yan, C.; Wang, P.; Fu, L.; Yu, P. Site-Directed Mutagenesis of Bifunctional Riboflavin Kinase/FMN Adenylyltransferase via CRISPR/Cas9 to Enhance Riboflavin Production. Synth. Syst. Biotechnol. 2024, 9, 503–512. [Google Scholar] [CrossRef]
- Farr, S.B.; Kogoma, T. Oxidative Stress Responses in Escherichia coli and Salmonella typhimurium. Microbiol. Rev. 1991, 55, 561–585. [Google Scholar] [CrossRef]
- Koh, Y.-S.; Choih, J.; Lee, J.-H.; Roe, J.-H. Regulation of the ribA Gene Encoding GTP Cyclohydrolase II by the soxRS Locus in Escherichia coli. Mol. Gen. Genet. MGG 1996, 251, 591–598. [Google Scholar] [CrossRef] [PubMed]
- Pérez-García, F.; Burgardt, A.; Kallman, D.R.; Wendisch, V.F.; Bar, N. Dynamic Co-Cultivation Process of Corynebacterium glutamicum Strains for the Fermentative Production of Riboflavin. Fermentation 2021, 7, 11. [Google Scholar] [CrossRef]
- Noman, A.E.; Al-Barha, N.S.; Sharaf, A.-A.M.; Al-Maqtari, Q.A.; Mohedein, A.; Mohammed, H.H.H.; Chen, F. A Novel Strain of Acetic Acid Bacteria Gluconobacter oxydans FBFS97 Involved in Riboflavin Production. Sci. Rep. 2020, 10, 13527. [Google Scholar] [CrossRef] [PubMed]
- Bashandy, S.R.; Abd-Alla, M.H.; Mahmoud, G.A.-E. Using Fermentation Waste of Ethanol-Producing Yeast for Bacterial Riboflavin Production and Recycling of Spent Bacterial Mass for Enhancing the Growth of Oily Plants. J. Appl. Microbiol. 2022, 132, 2020–2033. [Google Scholar] [CrossRef] [PubMed]
- Mahmoud, G.A.-E.; Bashandy, S.R. Nitrogen, Amino Acids, and Carbon as Control Factors of Riboflavin Production by Novosphingobium panipatense-SR3 (MT002778). Curr. Microbiol. 2021, 78, 1577–1589. [Google Scholar] [CrossRef]
- Llamas-Arriba, M.G.; Hernández-Alcántara, A.M.; Mohedano, M.L.; Chiva, R.; Celador-Lera, L.; Velázquez, E.; Prieto, A.; Dueñas, M.T.; Tamame, M.; López, P. Lactic Acid Bacteria Isolated from Fermented Doughs in Spain Produce Dextrans and Riboflavin. Foods 2021, 10, 2004. [Google Scholar] [CrossRef]
- Hernández-Alcántara, A.M.; Chiva, R.; Mohedano, M.L.; Russo, P.; Ruiz-Masó, J.Á.; del Solar, G.; Spano, G.; Tamame, M.; López, P. Weissella cibaria Riboflavin-Overproducing and Dextran-Producing Strains Useful for the Development of Functional Bread. Front. Nutr. 2022, 9, 978831. [Google Scholar] [CrossRef]
- Diez-Ozaeta, I.; Martín-Loarte, L.; Mohedano, M.L.; Tamame, M.; Ruiz-Masó, J.Á.; del Solar, G.; Dueñas, M.T.; López, P. A Methodology for the Selection and Characterization of Riboflavin-Overproducing Weissella cibaria Strains after Treatment with Roseoflavin. Front. Microbiol. 2023, 14, 1154130. [Google Scholar] [CrossRef]
- Russo, P.; Diez-Ozaeta, I.; Mangieri, N.; Tamame, M.; Spano, G.; Dueñas, M.T.; López, P.; Mohedano, M.L. Biotechnological Potential and Safety Evaluation of Dextran- and Riboflavin-Producing Weisella cibaria Strains for Gluten-Free Baking. Foods 2023, 13, 69. [Google Scholar] [CrossRef]
- Diez-Ozaeta, I.; Berasarte, I.; Zeid, A.F.; Fernández, M.; Russo, P.; López, P.; Dueñas, M.T.; Mohedano, M.L. Functional Characterization of the Riboflavin-Overproducing and Dextran-Producing Weissella cibaria BAL3C-5 C120T Strain for the Development of Biofortified Plant-Based Beverages. Int. J. Food Microbiol. 2025, 426, 110908. [Google Scholar] [CrossRef] [PubMed]
- Hemalatha, M.; Subathra Devi, C. Bio Prospecting of Riboflavin Producing Bacteria from Different Riboflavin Enriched Food Sources. Biosci. J. 2022, 38, e38088. [Google Scholar] [CrossRef]
- Lebeer, S.; Ahannach, S.; Gehrmann, T.; Wittouck, S.; Eilers, T.; Oerlemans, E.; Condori, S.; Dillen, J.; Spacova, I.; Vander Donck, L.; et al. A Citizen-Science-Enabled Catalogue of the Vaginal Microbiome and Associated Factors. Nat. Microbiol. 2023, 8, 2183–2195. [Google Scholar] [CrossRef]
- Spacova, I.; Ahannach, S.; Breynaert, A.; Erreygers, I.; Wittouck, S.; Bron, P.A.; Van Beeck, W.; Eilers, T.; Alloul, A.; Blansaer, N.; et al. Spontaneous Riboflavin-Overproducing Limosilactobacillus reuteri for Biofortification of Fermented Foods. Front. Nutr. 2022, 9, 916607. [Google Scholar] [CrossRef]
- Smythe, P.; Efthimiou, G. In Silico Genomic and Metabolic Atlas of Limosilactobacillus reuteri DSM 20016: An Insight into Human Health. Microorganisms 2022, 10, 1341. [Google Scholar] [CrossRef]
- Handa, A.; Rajamani, P. Waste Management and Environment. In Basic Biotechniques for Bioprocess and Bioentrepreneurship; Bhatt, A.K., Bhatia, R.K., Bhalla, T.C., Eds.; Academic Press: London, UK, 2023; pp. 391–413. [Google Scholar] [CrossRef]
- Rawat, C.D.; Phian, S.; Gupta, R.; Verma, H.; Kumar, M.; Kaur, J.; Rawat, V.S. Microbial Bioprocesses in Remediation of Contaminated Environments and Resource Recovery. In Microbial Bioprocesses; Shukla, P., Ed.; Elsevier: London, UK, 2023; pp. 225–274. [Google Scholar] [CrossRef]
- Othman, A.S.; Ahmed, N.A.; Elneklawi, M.S.; Hassan, M.M.; El-Mongy, M.A. Generation of Green Electricity from Sludge Using Photo-Stimulated Bacterial Consortium as a Sustainable Technology. Microb. Cell Factories 2023, 22, 183. [Google Scholar] [CrossRef]
- Huang, W.; Long, X.; Okamoto, A. Enhancement of Microbial Current Production by Riboflavin Requires the Reduced Heme Centers in Outer Membrane Cytochromes in Shewanella oneidensis MR-1. Electrochim. Acta 2023, 464, 142860. [Google Scholar] [CrossRef]
- Ding, J.; Guo, Y.; Tang, M.; Zhou, S. Effects of Exogenous Riboflavin or Cytochrome Addition on the Cathodic Reduction of Cr(VI) in Microbial Fuel Cell with Shewanella putrefaciens. Environ. Sci. Pollut. Res. 2024, 31, 29185–29198. [Google Scholar] [CrossRef]
- Zhou, T.; Li, R.; Zhang, S.; Zhao, S.; Sharma, M.; Kulshrestha, S.; Khan, A.; Kakade, A.; Han, H.; Niu, Y.; et al. A Copper-specific Microbial Fuel Cell Biosensor Based on Riboflavin Biosynthesis of Engineered Escherichia coli. Biotechnol. Bioeng. 2021, 118, 210–222. [Google Scholar] [CrossRef]
- Cheng, M.; Zhang, H.; Li, Y.; Chen, W. Riboflavin Secreted by Shewanella sp. FDL-2 Facilitates Its Reduction of Se(IV) and Te(IV) by Promoting Electron Transfer. RSC Adv. 2023, 13, 34445–34454. [Google Scholar] [CrossRef]
- Edwards, A.M. Structure and General Properties of Flavins. In Flavins and Flavoproteins. Methods in Molecular Biology; Weber, S., Schleicher, E., Eds.; Humana Press: New York, NY, USA, 2014; Volume 1146, pp. 3–13. [Google Scholar] [CrossRef]
- Müller, F. NMR Spectroscopy on Flavins and Flavoproteins. In Flavins and Flavoproteins. Methods in Molecular Biology; Weber, S., Schleicher, E., Eds.; Humana Press: New York, NY, USA, 2014; Volume 1146, pp. 229–306. [Google Scholar] [CrossRef]
- Pedrolli, D.B.; Jankowitsch, F.; Schwarz, J.; Langer, S.; Nakanishi, S.; Mack, M. Natural Riboflavin Analogs. In Flavins and Flavoproteins. Methods in Molecular Biology; Weber, S., Schleicher, E., Eds.; Humana Press: New York, NY, USA, 2014; Volume 1146, pp. 41–63. [Google Scholar] [CrossRef]
- Fracassetti, D.; Limbo, S.; D’Incecco, P.; Tirelli, A.; Pellegrino, L. Development of a HPLC Method for the Simultaneous Analysis of Riboflavin and Other Flavin Compounds in Liquid Milk and Milk Products. Eur. Food Res. Technol. 2018, 244, 1545–1554. [Google Scholar] [CrossRef]
- Jankowitsch, F.; Kühm, C.; Kellner, R.; Kalinowski, J.; Pelzer, S.; Macheroux, P.; Mack, M. A Novel N,N-8-Amino-8-Demethyl-d-Riboflavin Dimethyltransferase (RosA) Catalyzing the Two Terminal Steps of Roseoflavin Biosynthesis in Streptomyces davawensis. J. Biol. Chem. 2011, 286, 38275–38285. [Google Scholar] [CrossRef] [PubMed]
- Jankowitsch, F.; Schwarz, J.; Rückert, C.; Gust, B.; Szczepanowski, R.; Blom, J.; Pelzer, S.; Kalinowski, J.; Mack, M. Genome Sequence of the Bacterium Streptomyces davawensis JCM 4913 and Heterologous Production of the Unique Antibiotic Roseoflavin. J. Bacteriol. 2012, 194, 6818–6827. [Google Scholar] [CrossRef]
- Schwarz, J.; Konjik, V.; Jankowitsch, F.; Sandhoff, R.; Mack, M. Identification of the Key Enzyme of Roseoflavin Biosynthesis. Angew. Chem. Int. Ed. 2016, 55, 6103–6106. [Google Scholar] [CrossRef]
- Mora-Lugo, R.; Stegmüller, J.; Mack, M. Metabolic Engineering of Roseoflavin-Overproducing Microorganisms. Microb. Cell Factories 2019, 18, 146. [Google Scholar] [CrossRef]
- Schneider, C.; Konjik, V.; Kißling, L.; Mack, M. The Novel Phosphatase RosC Catalyzes the Last Unknown Step of Roseoflavin Biosynthesis in Streptomyces davaonensis. Mol. Microbiol. 2020, 114, 609–625. [Google Scholar] [CrossRef]
- Dmytruk, K.V.; Ruchala, J.; Fayura, L.R.; Chrzanowski, G.; Dmytruk, O.V.; Tsyrulnyk, A.O.; Andreieva, Y.A.; Fedorovych, D.V.; Motyka, O.I.; Mattanovich, D.; et al. Efficient Production of Bacterial Antibiotics Aminoriboflavin and Roseoflavin in Eukaryotic Microorganisms, Yeasts. Microb. Cell Factories 2023, 22, 132. [Google Scholar] [CrossRef]
- Fedorovych, D.V.; Tsyrulnyk, A.O.; Ruchala, J.; Sobchuk, S.M.; Dmytruk, K.V.; Fayura, L.R.; Sibirny, A.A. Construction of the Advanced Flavin Mononucleotide Producers in the Flavinogenic Yeast Candida famata. Yeast 2023, 40, 360–366. [Google Scholar] [CrossRef] [PubMed]
- Krikunova, P.V.; Tolordava, E.R.; Arkharova, N.A.; Karimov, D.N.; Bukreeva, T.V.; Shirinian, V.Z.; Khaydukov, E.V.; Pallaeva, T.N. Riboflavin Crystals with Extremely High Water Solubility. ACS Appl. Mater. Interfaces 2024, 16, 5504–5512. [Google Scholar] [CrossRef]
- Sakai, I.; Watanabe, T.; Chibata, T. Selection of Microorganisms Producing Flavin-Adenine Dinucleotide from FMN and Adenine (AMP) and Production of Flavin-Adenine Dinucleotide by Sarcina lutea. Agric. Biol. Chem. 1973, 37, 849–856. [Google Scholar] [CrossRef]
- Watanabe, T.; Uchida, T.; Kato, J.; Chibata, I. Production of Flavine-Adenine Dinucleotide from Riboflavine by a Mutant of Sarcina lutea. Appl. Microbiol. 1974, 27, 531–536. [Google Scholar] [CrossRef]
- Nakagawa, S.; Hagihara, T.; Fujio, T.; Aisaka, K. Metaphosphate-Dependent Phosphorylation of Riboflavin to FMN by Corynebacterium ammoniagenes. Appl. Microbiol. Biotechnol. 1995, 43, 325–329. [Google Scholar] [CrossRef]
- Nakagawa, S.; Igarashi, A.; Ohta, T.; Hagihara, T.; Fujio, T.; Aisaka, K. Nucleotide Sequence of the FAD Synthetase Gene from Corynebacterium ammoniagenes and Its Expression in Escherichia coli. Biosci. Biotechnol. Biochem. 1995, 59, 694–702. [Google Scholar] [CrossRef]
- Hou, Y.; Hossain, G.S.; Li, J.; Shin, H.; Du, G.; Chen, J.; Liu, L. Metabolic Engineering of Cofactor Flavin Adenine Dinucleotide (FAD) Synthesis and Regeneration in Escherichia coli for Production of A-keto Acids. Biotechnol. Bioeng. 2017, 114, 1928–1936. [Google Scholar] [CrossRef]
- Liu, S.; Diao, N.; Wang, Z.; Lu, W.; Tang, Y.-J.; Chen, T. Modular Engineering of the Flavin Pathway in Escherichia coli for Improved Flavin Mononucleotide and Flavin Adenine Dinucleotide Production. J. Agric. Food Chem. 2019, 67, 6532–6540. [Google Scholar] [CrossRef]
- Yatsyshyn, V.Y.; Fedorovych, D.V.; Sibirny, A.А. Medium Optimization for Production of Flavin Mononucleotide by the Recombinant Strain of the Yeast Candida famata Using Statistical Designs. Biochem. Eng. J. 2010, 49, 52–60. [Google Scholar] [CrossRef]
- Rychen, G.; Aquilina, G.; Azimonti, G.; Bampidis, V.; Bastos, M.d.L.; Bories, G.; Chesson, A.; Flachowsky, G.; Gropp, J.; Kolar, B.; et al. Safety of Vitamin B2 (80%) as Riboflavin Produced by Bacillus subtilis KCCM-10445 for All Animal Species. EFSA J. 2018, 16, e05223. [Google Scholar] [CrossRef]
- Rychen, G.; Aquilina, G.; Azimonti, G.; Bampidis, V.; Bastos, M.d.L.; Bories, G.; Chesson, A.; Cocconcelli, P.S.; Flachowsky, G.; Gropp, J.; et al. Safety and Efficacy of Vitamin B2 (Riboflavin) Produced by Ashbya gossypii DSM 23096 for All Animal Species Based on a Dossier Submitted by BASF SE. EFSA J. 2018, 16, e05337. [Google Scholar] [CrossRef]
- European Union Regulation (EU) 2018/848 of the European Parliament and of the Council of 30 May 2018 on Organic Production and Labelling of Organic Products and Repealing Council Regulation (EC) No 834/2007. Off. J. Eur. Union 2018, 150, 1–92.
- Bampidis, V.; Azimonti, G.; Bastos, M.d.L.; Christensen, H.; Dusemund, B.; Durjava, M.F.; Kouba, M.; López-Alonso, M.; López Puente, S.; Marcon, F.; et al. Safety and Efficacy of Feed Additives Consisting of Vitamin B2 (98%) and Vitamin B2 (80%) as Riboflavin Produced by Bacillus subtilis KCCM 10445 for All Animal Species (Hubei Guangji Pharmaceutical Co. Ltd.). EFSA J. 2021, 19, 6629. [Google Scholar] [CrossRef]
- Bampidis, V.; Azimonti, G.; Bastos, M.d.L.; Christensen, H.; Dusemund, B.; Fašmon Durjava, M.; Kouba, M.; López-Alonso, M.; López Puente, S.; Marcon, F.; et al. Safety of the Feed Additive Consisting of Vitamin B2/Riboflavin (Produced by Bacillus subtilis KCCM 10445) for All Animal Species (Hubei Guangji Pharmaceutical Co. Ltd.). EFSA J. 2022, 20, 7607. [Google Scholar] [CrossRef] [PubMed]
- Bampidis, V.; Azimonti, G.; Bastos, M.d.L.; Christensen, H.; Dusemund, B.; Durjava, M.; Kouba, M.; López-Alonso, M.; López Puente, S.; Marcon, F.; et al. Safety and Efficacy of a Feed Additive Consisting of Vitamin B2 (Riboflavin) Produced by Bacillus subtilis CGMCC 13326 for All Animal Species (Kempex Holland B.V.). EFSA J. 2023, 21, 7874. [Google Scholar] [CrossRef]
- Villa, R.E.; Azimonti, G.; Bonos, E.; Christensen, H.; Durjava, M.; Dusemund, B.; Gehring, R.; Glandorf, B.; Kouba, M.; López-Alonso, M.; et al. Safety and Efficacy of Feed Additives Consisting of Vitamin B2 (98%) and Vitamin B2 (80%) Produced with Bacillus subtilis CGMCC 7.449 for All Animal Species (Chifeng Pharmaceutical Co., Ltd.). EFSA J. 2025, 23, e9249. [Google Scholar] [CrossRef]
- Barbau-Piednoir, E.; De Keersmaecker, S.C.J.; Wuyts, V.; Gau, C.; Pirovano, W.; Costessi, A.; Philipp, P.; Roosens, N.H. Genome Sequence of EU-Unauthorized Genetically Modified Bacillus subtilis Strain 2014-3557 Overproducing Riboflavin, Isolated from a Vitamin B2 80% Feed Additive. Genome Announc. 2015, 3, e00214-15. [Google Scholar] [CrossRef]
- Goh, S.; Good, L. Plasmid Selection in Escherichia coli Using an Endogenous Essential Gene Marker. BMC Biotechnol. 2008, 8, 61. [Google Scholar] [CrossRef]
- Stanbury, P.F.; Whitaker, A.; Hall, S.J. The Production of Heterologous Proteins. In Principles of Fermentation Technology; Stanbury, P.F., Whitaker, A., Hall, S.J., Eds.; Butterworth-Heinemann: Oxford, UK, 2017. [Google Scholar] [CrossRef]
- Bharadwaj, S.V.V.; Ram, S.; Pancha, I.; Mishra, S. Recent Trends in Strain Improvement for Production of Biofuels From Microalgae. In Microalgae Cultivation for Biofuels Production; Yousuf, A., Ed.; Academic Press: London, UK, 2020. [Google Scholar] [CrossRef]
- Zhang, X.; Li, Y.; Wang, K.; Yin, J.; Du, Y.; Yang, Z.; Pan, X.; You, J.; Rao, Z. Construction of Antibiotic-Free Riboflavin Producer in Escherichia coli by Metabolic Engineering Strategies with a Plasmid Stabilization System. Synth. Syst. Biotechnol. 2025, 10, 346–355. [Google Scholar] [CrossRef] [PubMed]
- Dmytruk, K.V.; Yatsyshyn, V.Y.; Sybirna, N.O.; Fedorovych, D.V.; Sibirny, A.A. Metabolic Engineering and Classic Selection of the Yeast Candida famata (Candida flareri) for Construction of Strains with Enhanced Riboflavin Production. Metab. Eng. 2011, 13, 82–88. [Google Scholar] [CrossRef] [PubMed]
- Liu, S.; Hu, W.; Wang, Z.; Chen, T. Rational Engineering of Escherichia coli for High-Level Production of Riboflavin. J. Agric. Food Chem. 2021, 69, 12241–12249. [Google Scholar] [CrossRef] [PubMed]
- Son, J.; Jang, S.H.; Cha, J.W.; Jeong, K.J. Development of CRISPR Interference (CRISPRi) Platform for Metabolic Engineering of Leuconostoc citreum and Its Application for Engineering Riboflavin Biosynthesis. Int. J. Mol. Sci. 2020, 21, 5614. [Google Scholar] [CrossRef]





Disclaimer/Publisher’s Note: The statements, opinions and data contained in all publications are solely those of the individual author(s) and contributor(s) and not of MDPI and/or the editor(s). MDPI and/or the editor(s) disclaim responsibility for any injury to people or property resulting from any ideas, methods, instructions or products referred to in the content. |
© 2026 by the authors. Licensee MDPI, Basel, Switzerland. This article is an open access article distributed under the terms and conditions of the Creative Commons Attribution (CC BY) license.
Share and Cite
Jiménez-Nava, R.A.; Chávez-Camarillo, G.M.; Cristiani-Urbina, E. Biosynthesis, Regulation, and Biotechnological Production Strategies of Riboflavin (Vitamin B2) and Its Derivatives: A Review. Pharmaceuticals 2026, 19, 389. https://doi.org/10.3390/ph19030389
Jiménez-Nava RA, Chávez-Camarillo GM, Cristiani-Urbina E. Biosynthesis, Regulation, and Biotechnological Production Strategies of Riboflavin (Vitamin B2) and Its Derivatives: A Review. Pharmaceuticals. 2026; 19(3):389. https://doi.org/10.3390/ph19030389
Chicago/Turabian StyleJiménez-Nava, Raziel Arturo, Griselda Ma. Chávez-Camarillo, and Eliseo Cristiani-Urbina. 2026. "Biosynthesis, Regulation, and Biotechnological Production Strategies of Riboflavin (Vitamin B2) and Its Derivatives: A Review" Pharmaceuticals 19, no. 3: 389. https://doi.org/10.3390/ph19030389
APA StyleJiménez-Nava, R. A., Chávez-Camarillo, G. M., & Cristiani-Urbina, E. (2026). Biosynthesis, Regulation, and Biotechnological Production Strategies of Riboflavin (Vitamin B2) and Its Derivatives: A Review. Pharmaceuticals, 19(3), 389. https://doi.org/10.3390/ph19030389

