Engineering Stability: Cholesterol-Modulated Liposome Response to Physical and Chemical Stressors for Enhanced Antimicrobial Activity
Abstract
1. Introduction
2. Results
2.1. Influence of Cholesterol on Physicochemical Properties
2.2. Liposomes Under Different Stresses
2.2.1. Impact of Mechanical and Mechanical-Thermal Stresses
2.2.2. Impact of Thermal Stress
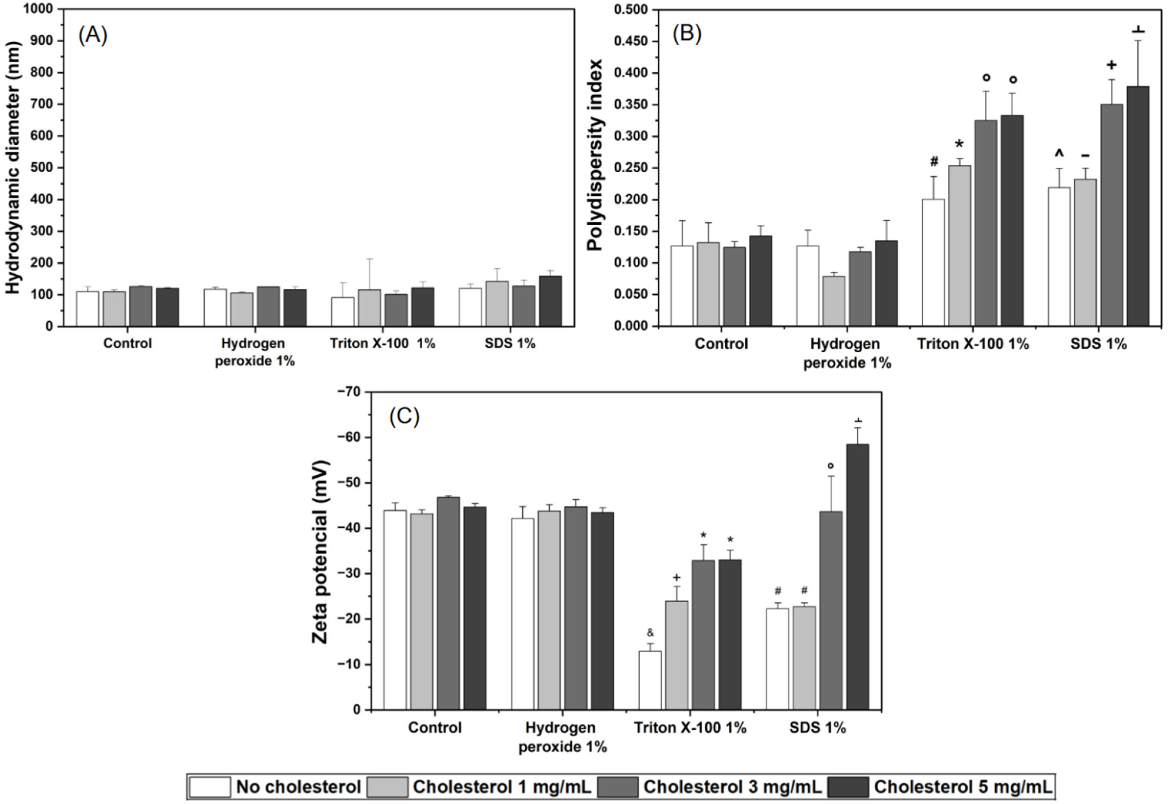
2.2.3. Impact of Chemical Stress
2.3. Functional Response of Encapsulated Streptomycin
3. Discussion
3.1. Evaluation of the Effect of Cholesterol on DH, PdI, and ZP
3.2. Stability Assessment Under Stress Conditions
3.2.1. Liposomes Under Mechanical Stress
3.2.2. Liposomes Under Thermal Stress
3.2.3. Liposomes Under Chemical Stress
3.3. Antimicrobial Activity of Encapsulated Streptomycin
4. Materials and Methods
4.1. Materials
4.2. Liposome Preparation
4.3. Stress Test Methodologies
4.3.1. Mechanical Stress Test
4.3.2. Thermal Stress Test
4.3.3. Combined Mechanical and Thermal Stress
4.3.4. Chemical Stress Test
4.4. Minimum Inhibitory Concentration Test
4.5. Dynamic Light Scattering and Zeta Potential
4.6. Statistical Analysis
5. Conclusions
Supplementary Materials
Author Contributions
Funding
Institutional Review Board Statement
Informed Consent Statement
Data Availability Statement
Conflicts of Interest
Abbreviations
| °C | Degrees Celsius |
| µg | Microgram |
| µL | Microliter |
| CHO | Cholesterol |
| CFU | Colony-forming unit |
| DDS | Drug delivery system |
| DH | Hydrodynamic diameter |
| DLS | Dynamic light scattering |
| GUV | Giant unilamellar vesicle |
| kHz | Kilohertz |
| MBC | Minimum bactericidal concentration |
| MIC | Minimum inhibitory concentration |
| mg | Milligram |
| mL | Milliliter |
| nm | Nanometer |
| PC | L-α-phosphatidylcholine |
| PdI | Polydispersity index |
| rpm | Revolutions per minute |
| SDS | Sodium dodecyl sulfate |
| SD | Standard deviation |
| Tm | Phase transition temperature |
| USA | United States of America |
| ZP | Zeta potential |
References
- World Bank Group. Drug-Resistant Infections: A Threat to Our Economic Future; World Bank Group: Washington, DC, USA, 2017; Available online: https://documents1.worldbank.org/curated/en/323311493396993758/pdf/final-report.pdf (accessed on 23 November 2025).
- Nwabuife, J.C.; Pant, A.M.; Govender, T. Liposomal delivery systems and their applications against Staphylococcus aureus and methicillin-resistant Staphylococcus aureus. Adv. Drug Deliv. Rev. 2021, 178, 113861. [Google Scholar] [CrossRef]
- Kinch, M.S.; Kraft, Z.; Schwartz, T. Antibiotic Development: Lessons from the Past and Future Opportunities. Pharm. Res. 2024, 41, 839–848. [Google Scholar] [CrossRef]
- World Health Organization. 10 Global Health Issues to Track in 2021. Available online: https://www.who.int/news-room/spotlight/10-global-health-issues-to-track-in-2021 (accessed on 25 November 2023).
- Makabenta, J.M.V.; Nabawy, A.; Li, C.H.; Schmidt-Malan, S.; Patel, R.; Rotello, V.M. Nanomaterial-Based Therapeutics for Antibiotic-Resistant Bacterial Infections. Nat. Rev. Microbiol. 2021, 19, 23–36. [Google Scholar] [CrossRef]
- Liu, P.; Chen, G.; Zhang, J. A Review of Liposomes as a Drug Delivery System: Current Status of Approved Products, Regulatory Environments, and Future Perspectives. Molecules 2022, 27, 1372. [Google Scholar] [CrossRef]
- Henostroza, M.A.B.; Tavares, G.D.; Yukuyama, M.N.; De Souza, A.; Barbosa, E.J.; Avino, V.C.; Neto, E.d.S.; Lourenço, F.R.; Löbenberg, R.; Bou-Chacra, N.A. Antibiotic-Loaded Lipid-Based Nanocarrier: A Promising Strategy to Overcome Bacterial Infection. Int. J. Pharm. 2022, 621, 121782. [Google Scholar] [CrossRef]
- Karzoun, B.; Albenayan, W.; Raut, S.; Atef, E. Formulation and Characterization of Bone-Targeting Vancomycin-Loaded Liposomes. Pharmaceutics 2025, 17, 792. [Google Scholar] [CrossRef]
- Singh, S.B.; Young, K.; Silver, L.L. What Is an “Ideal” Antibiotic? Discovery Challenges and Path Forward. Biochem. Pharmacol. 2017, 133, 63–73. [Google Scholar] [CrossRef] [PubMed]
- Bellucci, M.C.; Volonterio, A. Aminoglycosides: From Antibiotics to Building Blocks for the Synthesis and Development of Gene Delivery Vehicles. Antibiotics 2020, 9, 504. [Google Scholar] [CrossRef]
- Jospe-Kaufman, M.; Siomin, L.; Fridman, M. The Relationship Between the Structure and Toxicity of Aminoglycoside Antibiotics. Bioorg. Med. Chem. Lett. 2020, 30, e13. [Google Scholar] [CrossRef]
- Wang, D.Y.; van der Mei, H.C.; Ren, Y.; Busscher, H.J.; Shi, L. Lipid-Based Antimicrobial Delivery Systems for the Treatment of Bacterial Infections. Front. Chem. 2020, 7, 872. [Google Scholar] [CrossRef]
- Moghassami, S.; Dadashzadeh, A.; Azevedo, R.B.; Feron, O.; Amorim, C.A. Photodynamic Cancer Therapy Using Liposomes as an Advanced Vesicular Photosensitizer Delivery System. J. Control. Release 2021, 339, 75–90. [Google Scholar] [CrossRef]
- Ghosh, R.; De, M. Liposome-Based Antibacterial Delivery: An Emergent Approach to Combat Bacterial Infections. ACS Omega 2023, 8, 35442–35451. [Google Scholar] [CrossRef]
- Bera, S.; Mondal, D. Stimuli-sensitive nanomaterials for antimicrobial drug delivery. In Drug Targeting and Stimuli Sensitive Drug Delivery; William Andrew Publishing: Norwich, NY, USA, 2018; Chapter 7; pp. 271–302. [Google Scholar] [CrossRef]
- Gupta, A.; Landis, R.F.; Rotello, V.M. Nanoparticle-Based Antimicrobials: Surface Functionality and Therapeutic Efficacy. Adv. Mater. 2016, 28, 8231–8248. [Google Scholar] [CrossRef]
- Leitgeb, M.; Knez, Ž.; Primožič, M. Sustainable Technologies for Liposome Preparation. J. Supercrit. Fluids 2020, 165, 104984. [Google Scholar] [CrossRef]
- Patel, A.; Dey, S.; Shokeen, K.; Karpiński, T.M.; Sivaprakasam, S.; Kumar, S.; Manna, D. Sulfonium-Based Liposome-Encapsulated Antibiotics Deliver a Synergistic Antibacterial Activity. RSC Med. Chem. 2021, 12, 1005–1015. [Google Scholar] [CrossRef]
- Gonzalez, G.A.; Syed, S.; Marshall, K.; Hosseinidoust, Z. Liposomal Nanovesicles for Efficient Encapsulation of Staphylococcal Antibiotics. ACS Omega 2019, 4, 10866–10876. [Google Scholar] [CrossRef]
- Emtiazi, H.; Sharif, A.S.; Hemati, M.; Haghiralsadat, B.F.; Pardakhti, A. Comparative Study of Nano-Liposome and Nano-Niosome for Delivery of Achillea Millefolium Essential Oils: Development, Optimization, Characterization and Their Cytotoxicity Effects on Cancer Cell Lines and Antibacterial Activity. Chem. Biodivers. 2022, 19, 202200397. [Google Scholar] [CrossRef] [PubMed]
- Natsaridis, E.; Gkartziou, F.; Mouzoura, P.; Mourtas, S.; Papadia, K.; Kolonitsiou, F.; Antimisiaris, S.G. Cholesterol-Rich Antibiotic-Loaded Liposomes as Efficient Antimicrobial Therapeutics. Int. J. Nanomed. 2025, 20, 4943–4965. [Google Scholar] [CrossRef] [PubMed]
- Briuglia, M.L.; Rotella, C.; McFarlane, A.; Rotella, C.; McFarlane, A.; Lamprou, D.A. Influence of Cholesterol on Liposome Stability and In Vitro Drug Release. Drug Deliv. Transl. Res. 2015, 5, 231–242. [Google Scholar] [CrossRef]
- Susa, F.; Bucca, G.; Limongi, T.; Cauda, V.; Pisano, R. Enhancing the Preservation of Liposomes: The Role of Cryoprotectants, Lipid Formulations and Freezing Approaches. Cryobiology 2021, 98, 46–56. [Google Scholar] [CrossRef]
- Nsairat, H.; Ibrahim, A.A.; Jaber, A.M.; Abdelghany, S.; Atwan, R.; Shalan, N.; Abdelnabi, H.; Odeh, F.; El-Tanani, M.; Alshaer, W. Liposome Bilayer Stability: Emphasis on Cholesterol and Its Alternatives. J. Liposome Res. 2023, 34, 178–202. [Google Scholar] [CrossRef]
- Sułkowski, W.W.; Pentak, D.; Nowak, K.; Sułkowska, A. The Influence of Temperature, Cholesterol Content and pH on Liposome Stability. J. Mol. Struct. 2005, 744–747, 737–747. [Google Scholar] [CrossRef]
- Yu, J.Y.; Chuesiang, P.; Shin, G.H.; Park, H.J. Post-Processing Techniques for the Improvement of Liposome Stability. Pharmaceutics 2021, 13, 1023. [Google Scholar] [CrossRef]
- Agiba, A.M.; Arreola-Ramírez, J.L.; Carbajal, V.; Segura-Medina, P. Light-Responsive and Dual-Targeting Liposomes: From Mechanisms to Targeting Strategies. Molecules 2024, 29, 636. [Google Scholar] [CrossRef]
- Kaddah, S.; Khreich, N.; Kaddah, F.; Charcosset, C.; Greige-Gerges, H. Cholesterol Modulates the Liposome Membrane Fluidity and Permeability for a Hydrophilic Molecule. Food Chem. Toxicol. 2018, 113, 40–48. [Google Scholar] [CrossRef] [PubMed]
- Pande, S. Liposomes for Drug Delivery: Review of Vesicular Composition, Factors Affecting Drug Release and Drug Loading in Liposomes. Artif. Cells Nanomed. Biotechnol. 2023, 51, 428–440. [Google Scholar] [CrossRef]
- Pavlovic, N.; Mijalković, J.; Balanč, B.; Luković, N.; Knežević-Jugović, Z. Role of Cholesterol in Modifying the Physical and Stability Properties of Liposomes and In Vitro Release of Vitamin B12. Eng. Proc. 2025, 99, 10. [Google Scholar] [CrossRef]
- Shaker, S.; Gardouh, A.R.; Ghorab, M.M. Factors Affecting Liposome Particle Size Prepared by Ethanol Injection Method. Res. Pharm. Sci. 2017, 12, 346–352. [Google Scholar] [CrossRef]
- Pan, J.; Mills, T.T.; Tristram-Nagle, S.; Nagle, J.F. Cholesterol Perturbs Lipid Bilayers Nonuniversally. Phys. Rev. Lett. 2008, 100, 198103. [Google Scholar] [CrossRef] [PubMed]
- Karal, M.A.S.; Mokta, N.A.; Levadny, V.; Belaya, M.; Ahmed, M.; Ahamed, K.; Ahammed, S. Effects of Cholesterol on the Size Distribution and Bending Modulus of Lipid Vesicles. PLoS ONE 2022, 17, e0263119. [Google Scholar] [CrossRef]
- Ong, S.G.M.; Chitneni, M.; Lee, K.S.; Ming, L.C.; Yuen, K.H. Evaluation of Extrusion Technique for Nanosizing Liposomes. Pharmaceutics 2016, 8, 36. [Google Scholar] [CrossRef]
- Vitkova, V.; Yordanova, V.; Staneva, G.; Petkov, O.; Stoyanova-Ivanova, A.; Antonova, K.; Popkirov, G. Dielectric Properties of Phosphatidylcholine Membranes and the Effect of Sugars. Membranes 2021, 11, 847. [Google Scholar] [CrossRef]
- Xie, J.; Meng, Z.; Han, X.; Li, S.; Ma, X.; Chen, X.Y.; Liang, Y.M.; Deng, X.; Xia, K.; Zhang, Y.; et al. Cholesterol Microdomain Potentiates the Eradication of Bacterial Biofilms by Antibiotic Liposomes. Adv. Healthc. Mater. 2022, 11, 2101745. [Google Scholar] [CrossRef]
- Watt, E.; Andriescu, I.; Ho, E.A. Pneumolysin-Responsive Liposomal Platform for Selective Treatment of Streptococcus pneumoniae. Drug Deliv. Transl. Res. 2025, 15, 1739–1754. [Google Scholar] [CrossRef]
- Basak, S.; Das, T.K. Nanogels of Oxoammonium with Immobilized Enzymes: A Biocompatible and Injectable Platform for Enhanced Enzyme Stability and Reusability. Biomacromolecules 2025, 26, 8289–8302. [Google Scholar] [CrossRef] [PubMed]
- Ho, H.M.K.; Craig, D.Q.M.; Day, R.M. An Experimental Design Approach to Model the Effects of Formulation and Drug Loading on the Structure and Properties of Therapeutic Nanogels. Pharmaceutics 2022, 19, 2. [Google Scholar]
- Sierra, M.B.; Alarcón, L.; Gerbino, D.; Pedroni, V.I.; Buffo, F.E.; Morini, M.A. Effects of Hydroxy-Xanthones on Dipalmitoylphosphatidylcholine Lipid Bilayers: A Theoretical and Experimental Study. Chem. Phys. Lipids 2017, 206, 1–8. [Google Scholar] [CrossRef] [PubMed]
- ASTM Standard D4182–D418; Zeta Potential of Colloids in Water and Waste Water. ASTM: Philadelphia, PA, USA, 1985.
- Karaz, S.; Erkan, S. Liposomes under Shear Stress: Structure, Dynamics, and Applications in Drug Delivery. Adv. NanoBiomed Res. 2023, 3, 2200101. [Google Scholar] [CrossRef]
- Pandur, Ž.; Dogsa, I.; Dular, M.; Stopar, D. Liposome Destruction by Hydrodynamic Cavitation in Comparison to Chemical, Physical and Mechanical Treatments. Ultrason. Sonochem. 2020, 61, 104826. [Google Scholar] [CrossRef]
- Doskocz, J.; Dałek, P.; Foryś, A.; Trzebicka, B.; Przybyło, M.; Mesarec, L.; Iglič, A.; Langner, M. The Effect of Lipid Phase on Liposome Stability upon Exposure to Mechanical Stress. BBA Biomembr. 2020, 1862, 183361. [Google Scholar] [CrossRef]
- Geng, T.; Ding, L.; Liu, M.; Zou, X.; Gu, Z.; Lin, H.; Sun, L. Preservation of Extracellular Vesicles for Drug Delivery: A Comparative Evaluation of Storage Buffers. J. Drug Deliv. Sci. Technol. 2025, 107, 106850. [Google Scholar] [CrossRef]
- Feng, C.; Wang, Y.; Xu, J.; Zheng, Y.; Zhou, W.; Wang, Y.; Luo, C. Precisely Tailoring Molecular Structure of Doxorubicin Prodrugs to Enable Stable Nanoassembly, Rapid Activation, and Potent Antitumor Effect. Pharmaceutics 2024, 16, 1582. [Google Scholar] [CrossRef] [PubMed]
- Mitchell, M.J.; Billingsley, M.M.; Haley, R.M.; Wechsler, M.E.; Peppas, N.A.; Langer, R. Engineering Precision Nanoparticles for Drug Delivery. Nat. Rev. Drug Discov. 2021, 20, 101–124. [Google Scholar] [CrossRef]
- Shen, P.; Huang, K.; Zhang, X.; Yin, G.; Qin, M.; Ma, H.; Fan, Z.; Liao, Y. Genetically Engineered MSC-Derived Hybrid Cellular Vesicles for ROS-Scavenging and Mitochondrial Homeostasis in Hepatic Ischemia-Reperfusion Injury. Mater. Today Bio 2025, 34, 102215. [Google Scholar] [CrossRef] [PubMed]
- Marcelino, J.; Lima, J.L.F.C.; Reis, S.; Matos, C. Assessing the Effects of Surfactants on the Physical Properties of Liposome Membranes. Chem. Phys. Lipids 2007, 146, 94–103. [Google Scholar] [CrossRef]
- Derjaguin, B.; Landau, L. Theory of the Stability of Strongly Charged Lyophobic Sols and of the Adhesion of Strongly Charged Particles in Solutions of Electrolytes. Acta Physicochim. URSS 1941, 14, 633–662. [Google Scholar]
- Benedini, L.; Antollini, S.; Fanani, M.L.; Palma, S.; Messina, P.; Schulz, P. Study of the Influence of Ascorbyl Palmitate and Amiodarone in the Stability of Unilamellar Liposomes. Mol. Membr. Biol. 2014, 31, 85–94. [Google Scholar] [CrossRef]
- Verwey, E.J.W. Theory of the Stability of Lyophobic Colloids. J. Phys. Chem. 1947, 51, 631–636. [Google Scholar] [CrossRef]
- Benedini, L.; Messina, P. Proniosomes and Niosomes for Enhanced Drug Delivery. In Systems of Nanovesicular Drug Delivery; Nayak, A.K., Hasnain, M.S., Aminabhavi, T.M., Torchilin, V.P., Eds.; Academic Press: Cambridge, MA, USA, 2022; pp. 115–128. [Google Scholar] [CrossRef]
- Santander-Ortega, M.J.; Plaza-Oliver, M.; Rodríguez-Robledo, V.; Castro-Vázquez, L.; Villaseca-González, N.; González-Fuentes, J.; Marcos, M.M.; Arroyo-Jiménez, M.M.; Lozano, M.V. Colloids for Drug Delivery to the Brain. J. Drug Deliv. Sci. Technol. 2017, 42, 193–206. [Google Scholar] [CrossRef]
- Yun, J.-S.; Hwangbo, S.-A.; Jeong, Y.-G. Preparation of Uniform Nano Liposomes Using Focused Ultrasonic Technology. Nanomaterials 2023, 13, 2618. [Google Scholar] [CrossRef]
- Do Amaral Santiago, T.T.; de Oliveira, J.R.M.; Sala, L.; Burkert, J.F.d.M. Cell Rupture by High-Speed Homogenization and by Cold Plasma to Produce Microbial Lipids. Braz. J. Chem. Eng. 2025, 42, 869–881. [Google Scholar] [CrossRef]
- Lattin, J.R.; Pitt, W.G. Factors Affecting Ultrasonic Release from eLiposomes. J. Pharm. Sci. 2015, 104, 1373–1384. [Google Scholar] [CrossRef]
- Luan, J.; Wang, D.; Zhang, S.; Miyazaki, Y.; Shinoda, W.; Wilson, D.A. Complex Energy Landscapes of Self-Assembled Vesicles. J. Am. Chem. Soc. 2023, 145, 15496. [Google Scholar] [CrossRef]
- Parchekani, J.; Allahverdi, A.; Taghdir, M.; Naderi-Manesh, H. Design and Simulation of the Liposomal Model Using a Coarse-Grained Molecular Dynamics Approach. Sci. Rep. 2022, 12, 2371. [Google Scholar] [CrossRef]
- Boafo, G.F.; Magar, K.T.; Ekpo, M.D.; Qian, W.; Tan, S.; Chen, C. The Role of Cryoprotective Agents in Liposome Stabilization and Preservation. Int. J. Mol. Sci. 2022, 23, 12487. [Google Scholar] [CrossRef] [PubMed]
- Sun, L.; Li, J.; Wu, D.; Wang, H.; Yu, D. Enzymatic Preparation of Structured Phospholipids from Soybean Phosphatidylcholine and Investigation of their Phase Behavior. Food Chem. 2025, 489, 144969. [Google Scholar] [CrossRef]
- Ghysels, A.; Krämer, A.; Venable, R.M.; Teague, W.E.; Lyman, E.; Gawrisch, K.; Pastor, R.W. Permeability of Membranes in the Liquid Ordered and Liquid Disordered Phases. Nat. Commun. 2019, 10, 5616. [Google Scholar] [CrossRef] [PubMed]
- Cwiklik, L.; Jungwirth, P. Massive Oxidation of Phospholipid Membranes Leads to Pore Creation and Bilayer Disintegration. Chem. Phys. Lett. 2010, 486, 99–103. [Google Scholar] [CrossRef]
- Suntres, Z.E. Liposomal Antioxidants for Protection Against Oxidant-Induced Damage. J. Toxicol. 2011, 2011, 152474. [Google Scholar] [CrossRef]
- Mirhadi, E.; Askarizadeh, A.; Farhoudi, L.; Mashreghi, M.; Behboodifar, S.; Alavizadeh, S.H.; Arabi, L.; Jaafari, M.R. Phospholipids with High Transition Temperature Enhance Redox-Sensitive Liposomal Doxorubicin Efficacy. Chem. Phys. Lipids 2024, 261, 105396. [Google Scholar] [CrossRef]
- Kurosawa, Y.; Tsuchida, T.; Goto, S. Triton X-100 Modulates Lipid Bilayer Fluidity. Colloids Surf. B 2025, 254, 114807. [Google Scholar] [CrossRef] [PubMed]
- Sęk, A.; Perczyk, P.; Wydro, P.; Gruszecki, W.I.; Szcześ, A. Effect of Trace Amounts of Ionic Surfactants on the Zeta Potential of DPPC Liposomes. Chem. Phys. Lipids 2021, 235, 105059. [Google Scholar] [CrossRef] [PubMed]
- De Almeida, R.F.M.; Fedorov, A.; Prieto, M. Sphingomyelin/Phosphatidylcholine/Cholesterol Phase Diagram. Biophys. J. 2003, 85, 2406–2416. [Google Scholar] [CrossRef]
- Israelachvili, J.N. Intermolecular and Surface Forces, 3rd ed.; Academic Press: London, UK, 2011; pp. 196–197. Available online: https://books.google.com.br/books?hl=en&lr=&id=vgyBJbtNOcoC&oi=fnd&pg=PP1&ots=_RTt9ju4Qg&sig=23EwnwQ8YTBxf0QZTf8T9nR_Ero&redir_esc=y#v=onepage&q&f=false (accessed on 27 November 2025).
- Pokhrel, D.R.; Sah, M.K.; Gautam, B.; Basak, H.K.; Bhattarai, A.; Chatterjee, A. A Recent Overview of Surfactant–Drug Interactions. RSC Adv. 2023, 13, 17685. [Google Scholar] [CrossRef]
- Bangham, A.D.; Standish, M.M.; Watkins, J.C. Diffusion of Univalent Ions across Lamellae of Swollen Phospholipids. J. Mol. Biol. 1965, 13, 238–252. [Google Scholar] [CrossRef]
- Hammer, Ø.; Harper, D.A.T.; Ryan, P.D. PAST: Paleontological Statistics Software Package. Palaeontol. Electron. 2001, 4, 9. [Google Scholar]




| Formulation Code | Cholesterol (mg/mL) | Stress Abbreviation | Stress Condition |
|---|---|---|---|
| Lc0c, Lc1c, Lc3c, Lc5c | 0, 1, 3, 5 | c | Control |
| Lc0pu, Lc1pu, Lc3pu, Lc5pu | 0, 1, 3, 5 | pu | Probe ultrasonication |
| Lc0ub, Lc1ub, Lc3ub, Lc5ub | 0, 1, 3, 5 | ub | Ultrasonic bath |
| Lc0ut, Lc1ut, Lc3ut, Lc5ut | 0, 1, 3, 5 | ut | Ultra-turrax |
| Lc0uf, Lc1uf, Lc3uf, Lc5uf | 0, 1, 3, 5 | uf | Ultrasonic bath + freezing |
| Lc0t75, Lc1t75, Lc3t75, Lc5t75 | 0, 1, 3, 5 | t75 | 75 °C |
| Lc0t-30, Lc1t-30, Lc3t-30, Lc5t-30 | 0, 1, 3, 5 | t-30 | −30 °C |
| Lc0t-80, Lc1t-80, Lc3t-80, Lc5t-80 | 0, 1, 3, 5 | t-80 | −80 °C |
| Lc0hp, Lc1hp, Lc3hp, Lc5hp | 0, 1, 3, 5 | hp | Hydrogen peroxide |
| Lc0tx, Lc1tx, Lc3tx, Lc5tx | 0, 1, 3, 5 | tx | Triton X |
| Lc0sds, Lc1sds, Lc3sds, Lc5sds | 0, 1, 3, 5 | sds | SDS |
Disclaimer/Publisher’s Note: The statements, opinions and data contained in all publications are solely those of the individual author(s) and contributor(s) and not of MDPI and/or the editor(s). MDPI and/or the editor(s) disclaim responsibility for any injury to people or property resulting from any ideas, methods, instructions or products referred to in the content. |
© 2026 by the authors. Licensee MDPI, Basel, Switzerland. This article is an open access article distributed under the terms and conditions of the Creative Commons Attribution (CC BY) license.
Share and Cite
Ribeiro, L.M.; Bonatto, C.C.; Silva, L.P. Engineering Stability: Cholesterol-Modulated Liposome Response to Physical and Chemical Stressors for Enhanced Antimicrobial Activity. Pharmaceuticals 2026, 19, 366. https://doi.org/10.3390/ph19030366
Ribeiro LM, Bonatto CC, Silva LP. Engineering Stability: Cholesterol-Modulated Liposome Response to Physical and Chemical Stressors for Enhanced Antimicrobial Activity. Pharmaceuticals. 2026; 19(3):366. https://doi.org/10.3390/ph19030366
Chicago/Turabian StyleRibeiro, Luísa Morato, Cínthia Caetano Bonatto, and Luciano Paulino Silva. 2026. "Engineering Stability: Cholesterol-Modulated Liposome Response to Physical and Chemical Stressors for Enhanced Antimicrobial Activity" Pharmaceuticals 19, no. 3: 366. https://doi.org/10.3390/ph19030366
APA StyleRibeiro, L. M., Bonatto, C. C., & Silva, L. P. (2026). Engineering Stability: Cholesterol-Modulated Liposome Response to Physical and Chemical Stressors for Enhanced Antimicrobial Activity. Pharmaceuticals, 19(3), 366. https://doi.org/10.3390/ph19030366

