Abstract
Background: The development of greener synthetic routes to active pharmaceutical ingredients (APIs) is a key challenge in sustainable chemistry. Methods: In this work, we explored the use of deep eutectic solvents (DESs) in the multi-step synthesis of a fluoroquinolone following the Grohe method. Results: Several steps of the synthetic sequence were successfully carried out using DESs, achieving moderate to good yields, while operating under mild reaction conditions and reducing purification requirements. Overall, the use of DESs led to an overall yield of up to 43%. A comprehensive greenness assessment, combining EcoScale scoring and the GSK and CHEM21 solvent selection guides, confirmed the superior sustainability profile of DESs, reflecting their lower toxicity, biodegradability, and reduced energy demands. Conclusions: These findings establish DESs as promising, eco-friendly alternatives to volatile and hazardous organic solvents for the synthesis of quinolone derivatives, offering a valuable step toward more sustainable pharmaceutical manufacturing.
1. Introduction
In the beginning of this century, Jiménez-González et al. [1] published a life cycle assessment regarding the environmental impact profile associated with the production process of active pharmaceutical ingredients (APIs) by the multinational pharmaceutical company GlaxoSmithKline. This report concluded that in the ‘cradle-to-gate’ life cycle assessment to produce a chosen API, solvent use accounts for about 75% of energy use, 80% of the total mass involved in the process life cycle, 70% of the photochemical ozone creation potential, and ca. 50% of greenhouse gas emissions. The report further concludes that, since solvents constitute a large portion of the waste generated in these processes, their subsequent treatment by incineration exacerbates the overall energy usage of the process. Since this study, further research has been conducted, contributing to a broader understanding of the use of traditional organic solvents and the waste generated from their use in the pharmaceutical and fine chemical industries [2,3]. Taking the concept of sustainability in synthetic processes and the 12 principles of green chemistry, which aim for the use of less hazardous and less polluting materials, and to minimize solvent use, alternative solvents as reaction media have been explored in recent decades in the field of organic chemistry [4]. Among these alternatives are ionic liquids (ILs) and deep eutectic solvents (DESs) [5,6,7,8]. DESs are a mixture of two or more compounds, typically solids, whose melting point suffers a significant depression when mixed at specific molar ratios [9]. DESs present many properties that are ideal for organic synthesis, namely low vapor pressure, low flammability, enhanced thermal behavior, low toxicity, and high biodegradability [2,10,11]. Their application has enabled the replacement of traditional solvents such as dichloromethane, methanol, and chloroform, as well as the substitution of ionic liquids, which often suffer from limited biodegradability and cytotoxicity [3,12]. In the context of drug discovery and active principal ingredient (API) synthesis, DESs can serve as solvents, reaction media, or catalysts, or even all of these simultaneously [13,14,15,16,17].
Currently, at the industrial scale, the fluoroquinolone ciprofloxacin is still produced using the Grohe process [18,19] (Scheme 1) which employs several hazardous and environmentally problematic solvents, including dioxane, toluene, and dimethylformamide (DMF). Although alternative methods for accessing fluoroquinolones have been reported, the Grohe route remains the most widely implemented commercially, yet it remains highly dependent on solvents with poor environmental profiles.
Scheme 1.
Conceptual illustration of the synthesis of ciprofloxacin using the Grohe process [18,19].
Despite the growing interest in DESs, their use in quinolone chemistry has remained relatively unexplored and fundamentally distinct from the approach pursued here. Prior DES-enabled methodologies reported by Chen et al. [20], Ma et al. [21], and others [22] have focused mainly on isolated transformations or on unrelated APIs, typically employing DESs in single-step reactions or as recyclable media. To the best of our knowledge, no study has evaluated the feasibility of incorporating DESs across multiple steps of the Grohe ciprofloxacin synthesis, which is the industrially established pathway that continues to underpin the manufacturing of this major antibiotic. This route presents unique solvation challenges due to its diverse mechanistic steps (acylation, amine substitution, cyclization, and acid-catalyzed deprotection). Moreover, other “green” adaptations of the Grohe chemistry usually rely on the use of metal catalysts without offering a comprehensive replacement for hazardous solvents such as dioxane, toluene, or DMF [23,24,25].
This work constitutes the first multi-step implementation and greenness benchmarking of DESs in the Grohe ciprofloxacin route, identifying both opportunities and limitations, and offering a realistic assessment of how DESs could contribute to greener industrial production of fluoroquinolone derivatives. This process-oriented perspective distinguishes our study from existing DES literature and highlights its translational relevance to pharmaceutical manufacturing.
The main objective of this work was thus to synthesize a ciprofloxacin analog (Figure 1) under Grohe-type conditions while systematically replacing conventional organic solvents with DESs, thereby evaluating improvements in sustainability and reaction efficiency. The final compound obtained is a ciprofloxacin analog rather than ciprofloxacin itself, as the exact benzoyl chloride precursor required for ciprofloxacin synthesis was not commercially available.
Figure 1.
Structure of ciprofloxacin analog prepared in this work.
We additionally carried out a comprehensive greenness assessment using EcoScale scoring, together with the GSK and CHEM21 solvent selection guides, to evaluate the environmental performance of the DES systems. The evaluation of the sustainability and greenness of chemical reactions is an essential component in the development of more environmentally friendly chemical processes, aligning with the principles of Green Chemistry. There are several methods to determine the greenness of a synthetic process. Herein, we have chosen the EcoScale [26] method, which is a quantitative tool used to evaluate the “greenness” of chemical processes, providing a straightforward assessment of their environmental impact. Developed to support sustainable chemistry, the EcoScale assigns a score out of 100 based on key factors including yield, cost, safety, technical setup, and the use of hazardous reagents or solvents. Each parameter contributes penalty points, which are subtracted from the ideal score of 100; a higher final score indicates a greener, more sustainable process. This system allows chemists to compare different synthetic routes or reaction conditions, guiding the selection of methods that minimize environmental burden while maintaining efficiency and practicality.
We have also made a tailored analysis based on the GSK Sustainable Solvent Selection Guide [27,28] and CHEM21 selection guide [29,30]. The GSK Sustainable Solvent Selection Guide was one of the first systematic frameworks for ranking solvents according to health, safety, and environmental criteria. Developed by GlaxoSmithKline, it assigns color-coded ratings to over 100 solvents, providing practical guidance for selecting safer and more sustainable alternatives in laboratory and process chemistry. The CHEM21 Solvent Selection Guide was developed within the CHEM21 project [31] as an expanded update, integrating sustainability, scalability, and regulatory considerations. It covers a wider range of solvents, offers improved granularity in ranking, and emphasizes the substitution of hazardous or unsustainable solvents with greener options suitable for both academic and industrial contexts.
Herein, we present the results using these different methods to evaluate the greenness of DES.
2. Results and Discussion
2.1. Synthesis of Fluoroquinolone (6)
The synthesis proposed in this work is conceptually illustrated in Scheme 2, following the Grohe strategy. Briefly, in this approach, benzoyl chloride (1) reacts with an acrylate (2) in the presence of a base to afford intermediate 3. In step 2, cyclopropylamine is added to obtain intermediate 4, followed by cyclization under basic conditions (step 3) and the subsequent deprotection of the ester moiety under acidic conditions (step 4), yielding the fluoroquinolone 6.
Our aim is to introduce DES in the synthesis of fluoroquinolones using the current method used in the industry. Accordingly, the DESs were designed based on the intended type of reaction and prepared as described in a previous work [9]. Table 1 lists the DESs prepared in this study.
Table 1.
Deep eutectic solvents used in this work.
The synthesis of intermediate 3 was attempted by reacting acyl chloride 1 with acrylate 2 using several DESs (Scheme 3). The use of a DES composed of glycerol and K2CO3 was initially considered, following a study of various molar ratios by Naser et al. [32]. A molar ratio of 1:6 (K2CO3:Gly) was selected as the solvent, as its viscosity is low enough to form a homogeneous mixture with the starting material at the working temperature. However, under these conditions, the desired product was not obtained. Other DES systems, including ChCl:U (1:2) and Bet:U:Gly (1:2:2), were also tested, but likewise failed to yield the target compound. The only DES in which the product was formed and could be isolated was NMA:DMU (7:3) using NaOH as the base. Unfortunately, the reaction yield was too low (ca. 3%), making this approach unfeasible for our purposes.
Scheme 3.
Synthesis of intermediate 3 using organic solvents and DES.
The failure of glycerol-based DESs and ChCl-based DESs in this step can be rationalized by their strong hydrogen-bonding networks and the nucleophilicity of polyols. Glycerol is known to react competitively with acyl chlorides and activated acrylates, leading to transesterification or acyl-glycerol by-products [33,34], which suppress the formation of the desired product. In addition, highly protic DESs such as ChCl:U or Bet:U:Gly strongly solvate the acrylate, reducing its electrophilicity. In contrast, the amide-based DES composed of NMA and DMU provides a polar, aprotic environment similar to that of DMF, which can favor the acylation reaction; however, the low yield indicates that base-mediated activation remains insufficient, demonstrating that the use of DESs alone is not sufficient to efficiently carry out this transformation. Consequently, we performed the synthesis using traditional organic solvents, specifically dioxane, with TEA as the base. To minimize the volume of organic solvents required for product purification, we opted to use the crude reaction mixture as the starting material for the subsequent step. According to Grohe’s patent [18], this reaction should afford the product in high yield when using dioxane (approximately 80%). However, the acyl chloride described in the patent differs from the one used in this work, which may account for the discrepancies in the results obtained.
In the literature, the introduction of a cyclopropyl group into a terminal amine (step 2) is typically carried out in organic solvents such as toluene [18,19], THF [35], or diethyl ether [36]. In this work, we explored the use of DESs as alternative reaction media (Scheme 4).
Scheme 4.
Synthesis of compound 4 in DESs, using the reaction crude from step 1.
The systems evaluated included ChCl:U (1:2), ChCl:Gly (1:2), Bet:U:Gly (1:2:2), Bet:LA (1:2), and Bet:Gly (1:2). In all cases, the reaction proceeded smoothly, affording compound 4 in two steps and in moderate to good yields (31–55%) under significantly milder conditions (50 °C, 15 min). Using DESs, we were able to carry out the reaction under much milder temperatures and with drastically reduced reaction times, highlighting the efficiency and potential of these solvents as greener and more practical alternatives to conventional organic media.
In this case, DESs offer an advantage mainly due to their high polarity and strong hydrogen-bonding capacity, which enhance both nucleophile activation and electrophile reactivity. The polar DES medium efficiently solvates and stabilizes the deprotonated amine generated by K2CO3, increasing its nucleophilicity. At the same time, the strong hydrogen-bond network interacts with the starting molecule, making it more electrophilic. Together, these polarity-driven effects facilitate the cyclization to the desired product and contribute to the moderate to high yields obtained. Based on the known Kamlet–Taft polarity parameters, hydrogen-bond donor capacity, and ionic character, the most polar DES is the ChCl:Gly (1:2) [37], which justifies its higher yield.
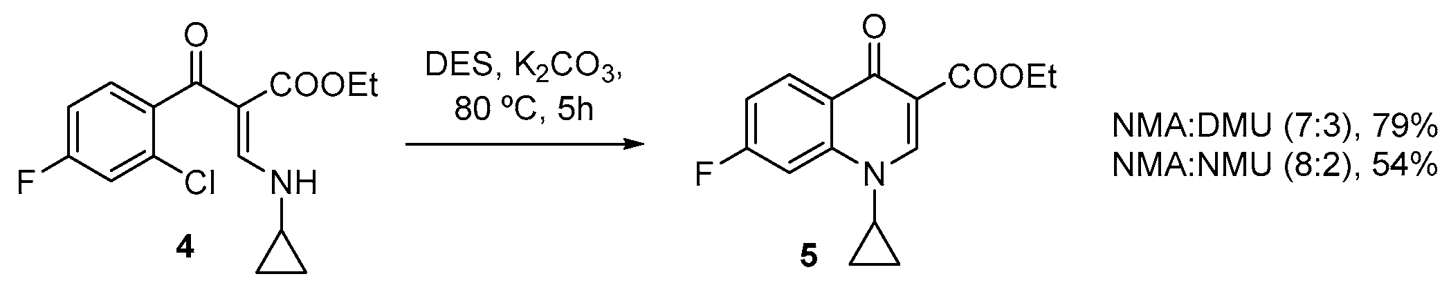
The reaction from step 3, i.e., the ring-closure reaction, is commonly carried out in DMF in the presence of K2CO3 [18,38,39]. The presence of the base catalyzes the intramolecular nucleophilic attack, resulting in cyclization, forming HCl and a by-product. According to Glushkov et al. [39] 10 mL of TEA is used for each 10 mmol of starting material in 50 mL of DMF at 105–110 °C for 3 h. On the other hand, Checetti et al. [38] reported 1.4 mmol of K2CO3 for each 1.3 mmol of starting material in 8 mL DMF at 100 °C for 1 h. To avoid the use of such harsh conditions and toxic solvents, we used DESs as alternative reaction media (Scheme 5).
Scheme 5.
Synthesis of compound 5 using DES as reaction media.
The use of the DES composed of glycerol and K2CO3, referred to in the first step, was initially considered. However, the cyclization reaction did not proceed, even after 48 h of stirring at the appropriate temperature, and the addition of up to eight equivalents of extra K2CO3 also failed to promote the reaction. Other DESs, including ChCl:U (1:2) and Bet:U:Gly (1:2:2), were similarly tested, but none led to the formation of the desired product. In contrast, acetamide-based DESs successfully afforded the target compound in moderate to good yields (54–79%).
In this transformation, the efficiency of the intramolecular cyclization proved to be highly dependent on the polarity and hydrogen-bonding environment of the solvent. Common choline chloride- or betaine-based DESs, which possess very high ionic character and strong polarity, failed to promote the reaction, likely due to excessive solvation of the deprotonated amine and reduced effective nucleophilicity under these highly polar conditions. In contrast, acetamide-based DESs provided a more balanced polarity and a cooperative hydrogen-bonding network that maintained sufficient nucleophilicity of the amine. As a result, NMA:DMU and NMA:NMU DESs successfully afforded the target product in moderate to good yields (54–79%). This outcome highlights that moderately polar, amide-rich DESs can offer an optimal medium for intramolecular nucleophilic cyclization by combining adequate solvation with effective H-bond–mediated activation.
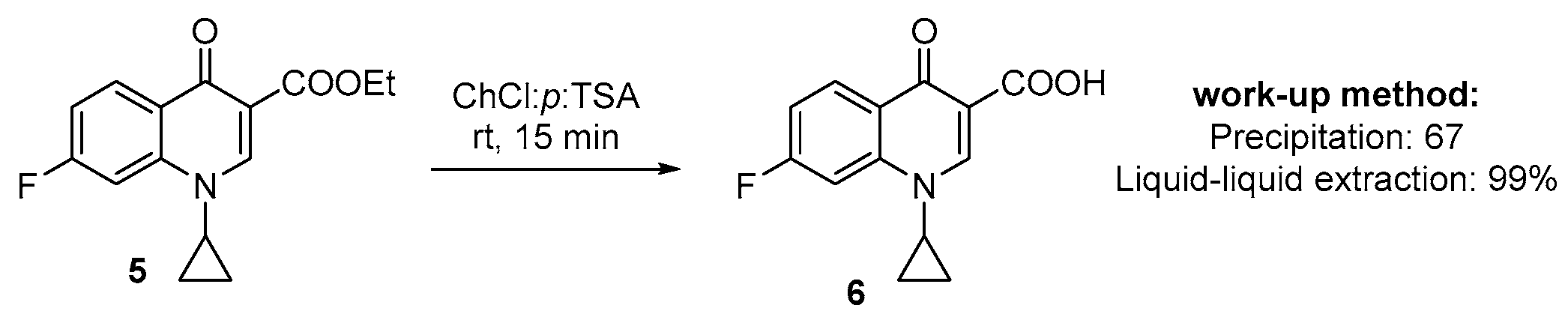
Finally, the deprotection of the ethyl group in compound 5, as shown in Scheme 6, converted the ester into the corresponding carboxylic acid of compound 6. The ester hydrolysis was carried out via an acid-catalyzed mechanism.
Scheme 6.
Synthesis of fluoroquinolone 6 using DES as catalyst and reaction medium.
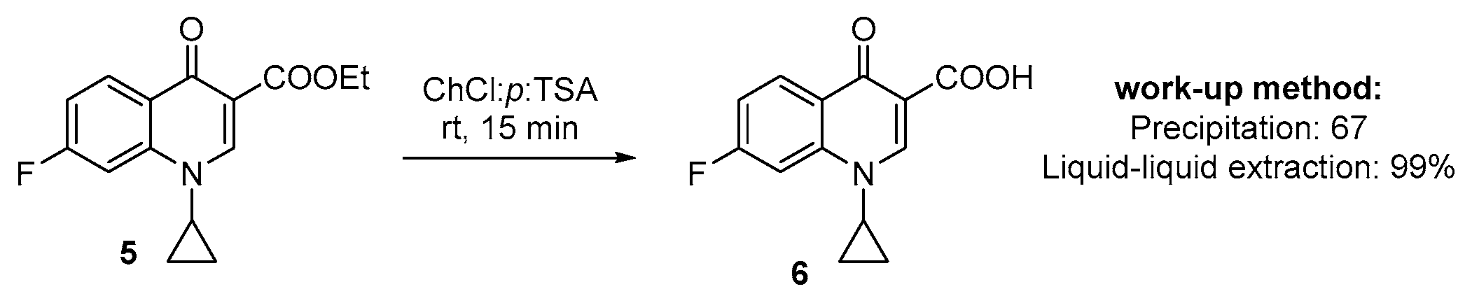
Although it may not appear to be the most straightforward approach, this reversible reaction is the method commonly employed in industry, and we therefore adopted the same strategy [18,40,41]. Hence, we have chosen the eutectic mixture ChCl/p-TSA (1:2) so that the DES could have a dual role, as a solvent and a catalyst. Furthermore, this DES had already been used successfully by other authors, as exemplified by the study by Annes et al. [42]. Due to the good solubility of the starting material in this DES and its low viscosity at room temperature, the reaction was carried out at this temperature.
Interestingly, after 15 min, TLC analysis indicated complete consumption of the starting material and the formation of a new spot with a slightly different Rf. The crude reaction mixture was processed using two alternative methods: (1) adding water to the reaction mixture and the precipitation of compound 6 after being left at 4 °C overnight, followed by filtration; and (2) extraction with ethyl acetate, followed by vacuum evaporation of the organic solvent. These methods afforded compound 6 with 67 and 99% yield, respectively. This contrasting behavior between the two purification methods arises mostly from solubility effects rather than chemical reactivity. Precipitation leads to reduced yields due to the partial solubilization of the product in the DES, whereas liquid–liquid extraction removes the product quantitatively. Although the latter provides a substantially higher yield, it presents drawbacks with respect to “greenness,” as it requires the use of EtOAc, anhydrous Na2SO4 for drying the organic phase, and additional energy for solvent removal under reduced pressure. Consequently, the advantages and disadvantages of each method should be carefully considered when selecting an appropriate purification strategy.
The chosen DESs provided a strongly Brønsted-acidic, non-volatile medium that enabled efficient protonation of the ester carbonyl, while its hydrogen-bond network facilitated proton shuttling and rapid hydrolysis at room temperature. Moreover, the DESs contributed to the effective stabilization of the reaction intermediate, allowing complete conversion within minutes and preventing a reverse reaction.
Overall, this work demonstrated that DESs can be successfully incorporated into the total synthesis of APIs using the strategies currently used in industry. The strategy applied here enabled the preparation of fluoroquinolone 6 with an 18–43% overall yield. Although we were able to use DESs throughout most steps of the sequence, a key limitation of this study is that the initial step still required the use of dioxane to obtain synthetically meaningful yields. We tested several alternative DESs, including the use of multiple DES families and different bases; however, none were able to efficiently lead to the formation of intermediate 3. This incompatibility appears to be more related to the transformation itself rather than methodology issues, i.e., glycerol- and choline-based DESs undergo competitive transesterification or excessive solvation of the acrylate, while amide-based DESs provide insufficient activation of the acyl chloride despite their favorable polarity.
Alternative acylation tactics, such as using acid fluorides or activated esters, could, in theory, avoid the formation of side products, allowing the use of DESs. Nonetheless, under the conditions tested, none of these approaches afforded acceptable yields, indicating that the use of dioxane in this specific step is currently unavoidable. Future work will therefore focus on identifying more reactive acylating agents compatible with DESs, exploring other eutectic mixtures with reduced hydrogen-bond donor character, and investigating continuous-flow or biphasic DES systems that may enable acylation under greener conditions. This limitation underscores the solvation-sensitive nature of the Grohe acylation step and highlights a key area for future methodological development.
Although solvent recyclability was not experimentally assessed in this study, it is important to consider the fate of deep eutectic solvents (DESs) under industrial-scale conditions. Unlike volatile organic solvents such as dioxane, which are typically recovered by distillation, most DESs employed, particularly choline chloride, betaine, glycerol, and amide-based mixtures, are non-volatile and thermally robust, minimizing solvent loss during processing. Their negligible vapor pressure prevents solvent loss during heating, and the moderate temperatures used here (50–80 °C) suggest that reuse would be feasible with minimal degradation. In many related reports, DESs can be recovered simply by separating the organic product and removing water under reduced pressure [43,44,45,46]. However, this can be energy-intensive and economically disadvantageous when scaled up [47]. Given that most DES components are relatively cheap, an alternative industrially relevant approach is to perform aqueous dilution after product extraction and treat the remaining DES–water mixture as low-hazard aqueous waste rather than regenerating it. This strategy may simplify downstream processing while maintaining a favorable safety and environmental profile. Nonetheless, future work should evaluate DESs’ stability, eventual recyclability, and performance over multiple cycles to quantify their practical advantage in large-scale fluoroquinolone manufacture.
2.2. Greenness Evaluation Using the EcoScale, GSK, and CHEM21 Guides
To improve clarity and better integrate the sustainability discussion, we have streamlined the narrative by focusing on the interpretive aspects of each parameter, namely how solvent choice, hazard classification, and purification strategy influence the overall green profile of the synthesis. To avoid repetition and provide a more intuitive overview, we have summarized the EcoScale, GSK, and CHEM21 outcomes using a concise, color-coded comparison table and an integrated graphical representation of the EcoScale scores for all steps (Table 2). This visual summary highlights the relative penalties associated with each solvent system, the impact of DESs on reaction performance, and the specific steps where sustainability bottlenecks (particularly Step 1) persist. Together, these revisions offer a clearer and more accessible interpretation of the sustainability landscape of the process.
Table 2.
Green assessment for the proposed synthetic route.
For the synthesis of compound 3 performed in dioxane, the EcoScale score was 41.5, reflecting the limited greenness of this solvent due to its inherent toxicity and associated hazards. The color code attributed to dioxane highlights its significant concerns regarding toxicity, safety, and environmental impact. In contrast, the DES system, composed of NMA and DMU, exhibits a comparatively safer profile, classified within the yellow zone, and therefore a more sustainable and eco-friendlier alternative to dioxane. However, the reaction yield obtained in this medium (3%) was extremely low, rendering it unsuitable for the intended purpose, as reflected by the poor EcoScale score (20.5). Despite multiple attempts to improve the yield, no enhancement was achieved. For this reason, this specific reaction must be carried out in dioxane, even though its green assessment is unfavorable. Nonetheless, omitting the purification step and using the crude product from the dioxane reaction in subsequent steps improves the overall greenness of the process compared with the traditional protocol.
The synthesis of compound 4 in various DESs afforded moderately higher EcoScale scores (52–65), indicating that eutectic mixtures provide a more sustainable alternative for this transformation. Although the use of DESs requires an extraction step, their low hazard profiles and overall safer characteristics make them preferable to conventional organic solvents. According to the GSK and Chem21 guidelines, the DESs employed are primarily composed of components without GHS warnings, such as betaine, urea, and glycerol, highlighting a clear advantage in terms of safety and sustainability. While choline chloride and lactic acid do carry GHS warnings, the resulting DESs remain suitable for API synthesis and represent promising substitutes for toluene, the solvent currently used industrially for this step. Despite being performed at moderate temperature (50 °C) and short reaction times, the energy rating for reactions conducted in DESs was considered green. This is justified by the intrinsic properties of DESs: they are biodegradable, renewable, stable at 50 °C, and non-volatile, allowing the reaction to proceed under simple stirring without reflux or additional equipment. These features considerably reduce overall energy consumption. Regarding reaction outcomes, some DESs, namely ChCl:Gly (1:2) and Bet:U:Gly (1:2:2), afforded moderate yields and were therefore assigned a light-yellow rating.
Step 3 of the Grohe method requires the use of DMF and K2CO3 for the cyclization to compound 5. In this work, we explored the use of DESs as alternative reaction media. The EcoScale values obtained for this step using NMA:DMU (7:3) and NMA:NMU (8:2) were 63.5 and 50.0, respectively, corresponding to a moderate greenness profile. The higher EcoScale score observed for NMA:DMU (7:3) is primarily attributable to differences in toxicological profiles and the resulting safety penalties applied by the EcoScale metric. NMU is a known precursor of the mutagenic and carcinogenic compound N-nitroso-N-methyl urea, and therefore carries a substantial hazard penalty, which significantly decreases the EcoScale score for any procedure employing it. In contrast, DMU is considered substantially less toxic, reducing the safety and disposal penalties associated with the DES and consequently improving the overall greenness rating. Secondary factors may also influence these differences: variations in mixture composition can affect handling requirements (PPE and engineering controls), volatility and potential emissions, ease of product separation or solvent recovery, and waste stream classification, all of which are accounted for by EcoScale either directly or through associated operational factors. Assuming yields and workup complexity are comparable between the two DESs, the toxicological penalty alone plausibly accounts for the superior EcoScale performance of the NMA:DMU system.
As previously observed, acetamide-based DESs do not exhibit a green profile as favorable as those of choline- or betaine-based systems. Nevertheless, an inspection of the color-coded assessment reveals that NMA:DMU (7:3) afforded a relatively high yield (79%), whereas NMA:NMU (8:2) resulted in a lower yield (52%), illustrating that reaction efficiency is strongly dependent on DES composition. Regarding energy requirements, a yellow rating was assigned since the reaction required 5 h to reach completion, a moderate reaction time. However, as noted previously, DESs possess low volatility and high thermal stability, enabling reactions to be conducted at temperatures up to 80 °C without solvent loss, thereby reducing overall energy and resource consumption.
The synthesis of compound 6 involves the ester hydrolysis. Although the most traditional route for this step uses basic conditions (saponification), the Grohe patent refers to acid-catalyzed hydrolysis. In fact, in the literature, some acid-catalyzed ester hydrolysis has been found [44]. A common mixture used is composed of equal volumes of HCl, AcOH, and water. Although water is the greenest solvent, the use of HCl and AcOH can be somewhat problematic. Both acids are highly corrosive, with HCl also presenting high volatility and inhalation hazards, while AcOH contributes additional volatility and flammability concerns. Their combined use therefore raises safety issues for operators, as well as environmental burdens due to the need for the neutralization and control of acidic effluents. In this context, we have replaced the HCl/AcOH/water system with a DES, namely ChCl:p-TSA, which can offer a safer and more sustainable alternative. This DES is non-volatile, reducing the risk of inhalation exposure, while choline chloride is biodegradable and of low toxicity. Although p-TSA remains corrosive, the overall hazard profile of the mixture is significantly lower and, therefore, more environmentally compatible. Furthermore, the reaction conditions can have a significant impact on the greenness of this step. Using a DES, compound 6 could be obtained efficiently in just 15 min at room temperature, whereas the traditional HCl/AcOH/water mixture requires reflux conditions. Furthermore, the reaction proceeded efficiently at low temperature and in a remarkably short reaction time, which is reflected in its high EcoScale scores (>70). However, the final score varied substantially depending on the purification method. Although precipitation followed by filtration would be expected to be the more sustainable option, the significantly lower yield obtained with this approach ultimately reduced its greenness. In contrast, the liquid–liquid extraction and solvent evaporation method, despite involving additional solvent use, delivered a much higher yield and consequently achieved a superior EcoScale score of 91.5/100. Taken together, the results demonstrate that it is critical to compare different systems, reaction conditions, and even purification methods to choose the most sustainable method.
Overall, although the synthesis of compound 3 still relied on dioxane, the EcoScale assessment highlights that DES-based solvents, in combination with more sustainable strategies such as precipitation, provide a promising pathway toward greener synthetic methodologies.
3. Materials and Methods
3.1. General Information
2-Chloro-4-fluorobenzoyl chloride (TCI Europe, >98.0%), ethyl 3-(dimethylamino)acrylate (Sigma-Aldrich, St. Louis, MO, USA, 95%), triethylamine (TEA, Sigma-Aldrich, St. Louis, MO, USA, ≥99.5%), 1,3-dimethyurea (DMU, Sigma-Aldrich, St. Louis, MO, USA, ≥98.0%), N-methyl acetamide (NMA, Sigma-Aldrich, St. Louis, MO, USA, ≥99%), sodium hydroxide (NaOH, Sigma-Aldrich, St. Louis, MO, USA, 97%, powder), cyclopropylamine (TCI Europe, >95.0%), N-methyl urea (NMU, Sigma-Aldrich, St. Louis, MO, USA, 97%), choline chloride (ChCl, TCI Europe, >98%), glycerol (Gly, Sigma-Aldrich, St. Louis, MO, USA, ≥98%), potassium carbonate (K2CO3, Sigma, St. Louis, MO, USA, ≥99%), betaine anhydrous (Bet, TCI Europe, > 97%), sodium sulfate (Sigma-Aldrich, St. Louis, MO, USA, 98% anhydrous), lactic acid (LA, Sigma-Aldrich, St. Louis, MO, USA, natural, ≥85%), p-toluene sulfonic acid monohydrate (p-TSA, TCI Europe, >98.0%), urea (U, Sigma-Aldrich, St. Louis, MO, USA, ≥98%) were used without further purification. For purification by column chromatography, silica gel 0.040–0.063 mm (Labbox Labware S.L., Premià de Dalt, Spain, SGEC-060-500) was used as the stationary phase. A compressed air flow was applied in a 400 mm column, and the amount of silica used was determined based on the mass of the sample to be isolated. The proton nuclear magnetic resonance (1H NMR) and carbon (13C NMR) spectra were acquired using a Bruker Avance III 400 spectrometer, operating at frequencies of 400 MHz for 1H and 101 MHz for 13C. The spectra were recorded using deuterated chloroform (CDCl3) or deuterated dimethyl sulfoxide (DMSO-d6). NMR data were processed using MestReNova (version 14.2.3, Mestrelab Research S.L., Santiago de Compostela, Spain).
3.2. DES Preparation
All the DESs were prepared according to the commonly used method of heating and stirring [9]. Briefly, the DES components were mixed in a glass vial at the corresponding molar ratios and heated at 60–80 °C until a viscous transparent liquid was formed. Afterwards, the DESs were cooled down to room temperature (ca. 20 °C) and stored in a sealed vial at room temperature until needed. The water content of the DESs was then determined using an 831 KF Coulometer (Metrohm) with a generator electrode and without a diaphragm.
3.3. Synthesis
Synthesis of ethyl 2-(2-chloro-4-fluorobenzoyl)-3-(dimethylamino) acrylate (3): To a 100 mL round-bottom flask containing anhydrous dioxane (2.5 mL), 2-chloro-4-fluorobenzoyl chloride (1, 5 mmol, 0.64 mL) and ethyl 3-(dimethylamino)acrylate (2, 6 mmol, 0.86 mL) were added slowly while the flask was kept in an ice bath. Then, TEA (6 mmol, 0.84 mL) was added. The reaction mixture was stirred at room temperature for 1 h and then heated under reflux (100 °C) for an additional hour. The reaction progress was monitored by TLC using Hex:EtOAc (7:3) as eluent. Once completed, the solvent was removed under reduced pressure, and approximately 10 mL of EtOAc was added to the crude. Then, distilled water (20 mL) was added, and the organic layer was separated. The aqueous layer was extracted twice with ethyl acetate (2× 10 mL). The combined organic extracts were dried over anhydrous Na2SO4, filtered, and the solvent was removed under vacuum. The desired product 3 was purified by column chromatography using Hex:EtOAc (20:1). The resulting yellow solid, obtained in 35% yield, was then characterized by both 1H and 13C NMR spectroscopy. For further studies, the crude, after the extraction step, was used without the purification of compound 3.
Dioxane was replaced by NMA:DMU (7:3, 3 g), and TEA was substituted by NaOH (10.98 mmol, 0.439 g). The reaction mixture was stirred at 50 °C for 40 min. After reaction completion, water was added to the crude, and EtOAc (10 mL) was also added. Then, distilled water (20 mL) was added, and the organic layer was separated. The aqueous layer was extracted with EtAOc (2× 10 mL). The combined organic extracts were combined, dried over anhydrous Na2SO4, filtered, and the solvent was removed under vacuum.
The desired product 3 was purified by column chromatography using Hex:EtOAc (20:1) with a yield of 3%. The structure of the final compound was confirmed by NMR. Rf (Hex:EtOAc, 7:3) = 0,06; 1H NMR (CDCl3) δ 7.82 (s, 1H, H2), 7.40 (t, J = 7.3 Hz, 1H, H9), 7.08 (dd, J = 8.6 Hz, J = 2.5 Hz, 1H, H6), 6.98 (td, J = 8.3, 2.5 Hz, 1H, H7), 3.93 (q, J = 7.1 Hz, 2H, H1′), 3.33 (s, 3H, NCH3), 2.95 (s, 3H, NCH3) 0.90 (t, J = 7.1 Hz, 3H, H2′).
13C NMR (CDCl3) 189.5 (C4), 167.0 (C8), 163.9 (C1′), 161.4 (C2), 138.8 (C10, C6), 116.9 (d, J = 25.67 Hz, C9), 114.9 (d, J = 20.12 Hz, C7), 93.5 (C2′), 49.2, 48.1 (NCH3), 13.9 (C3′).
Synthesis of ethyl 2-(2-chloro-4-fluorobenzoyl)-3-(cyclopropylamino)acrylate (4): The crude of the previous reaction, carried out in dioxane, was dissolved in DES (ChCl:U (1:2), ChCl:Gly (1:2), Bet:LA (1:2), Bet:U:Gly (1:2:2), or Bet:Gly (1:2), 3 g). Following 15 min of heating at 50 °C, a work-up procedure was performed to extract the organic layer from the eutectic medium. This involved dissolving the crude reaction mixture in 20 mL of distilled water to reduce viscosity and facilitate transfer to a separatory funnel, where EtOAc (10 mL) was used as the extraction solvent. The aqueous phase was extracted with an additional EtOAc (10 mL). The combined organic layers were washed with saturated NaCl solution, dried over anhydrous Na2SO4, and concentrated under reduced pressure. The resulting residue was purified by column chromatography using Hex:EtOAc (20:1). This approach was employed using the DES systems ChCl:U (1:2), ChCl:Gly (1:2), Bet:LA (1:2), Bet:U:Gly (1:2:2) and Bet:Gly (1:2), resulting in yields of 34%, 55%, 37%, 52%, and 31%, respectively. The structure of isolated compounds was confirmed by NMR. Rf (Hex:EtOAc, 7:3) = 0.6, 1H NMR (CDCl3) δ 11.06 (d, J = 13.7 Hz, 1H, NH-H1), 8.29 (dd, J = 15.9, 14.0 Hz, 1H, H2), 7.29–7.15 (m, 1H, H8), 7.09 (dt, J = 8.6, 3.1 Hz, 1H, H5), 7.00 (td, J = 8.3, 2.4 Hz, 1H, H6), 3.97 (q, J = 23.5, 7.1 Hz, 2H, H2′), 3.06–2.94 (m, 1H, H1″), 0.99 (t, J = 7.1 Hz, 3H, H3′), 0.91–0.82 (m, 4H, H2″/H3″); 13C NMR (CDCl3) δ 192.7 (C8), 166.6 (C1′), 161.2 (C2), 139.0 (C10), 130.8 (d, J = 10.2 Hz), 128.4 (d, J = 9.29 Hz, C5), 116.3 (d, J = 24.55 Hz, C9), 113.6 (d, J = 24.55 Hz, C7), 59.8 (C2′), 30.5, 29.7 (C1″), 13.9 (C3′), 6.6 (C2″, C3″).
Synthesis of Ethyl 1-cyclopropyl-7-fluoro-4-oxo-1,4-dihydroquinoline-3-carboxylate (5): Compound 4 (0.32 mmol, 0.1 g) was dissolved in DES (2 g) and heated at 80 °C for 5 h. The reaction crude was extracted using EtOAc (10 mL), and the combined organic layers were washed with saturated NaCl solution, dried over anhydrous Na2SO4, and concentrated under reduced pressure. The resulting residue was purified by column chromatography using Hex:EtOAc (20:1) as eluent. This method was used for the eutectic systems NMA:DMU (7:3) and NMA:NMU (8:2), which afforded the desired compound in 79% and 52%, respectively. Furthermore, the method was scaled up to 1.28 mmol of starting material (4) using the system NMA:DMU (7:3), isolating the compound in 53.8% yield. NMR was used to confirm the structure of the isolated compound. Rf (Hex:EtOAc, 1:1) = 0.2, 1H NMR (CDCl3) δ 8.57 (s, 1H, H2), 8.48 (dd, J = 8.9, 6.4 Hz, 1H, H6), 7.55 (dd, J = 10.3, J = 2.4 Hz, 1H, H9), 7.14 (m, 1H, H7), 4.40 (q, J = 7.1 Hz, 2H, H2′), 3.5 (m, 1H, H1″), 1.43 (t, J = 7.1 Hz, 3H, H3′), 1.37–1.31 and 1.16–1.12 (m, 2H, H2″, H3″); 13C NMR (CDCl3) δ 173.71 (C8), 165.7 (C1′), 164.0 (C4), 149.2 (C2), 142.3 (d, J = 11.84 Hz, C10), 130.9 (d, J = 11.21 Hz, C6), 125.38 (C4), 113.9 (d, J = 14.04 Hz C7), 102.9 (d, J = 28.08 Hz, C9), 61.2 (C2′), 34.6 (C1″), 14.6 (C3″), 8.3 (NCH3).
Synthesis of 1-cyclopropyl-7-fluoro-4-oxo-1,4-dihydroquinoline-3-carboxylic acid (6): Compound 5 (0.368 g, 1.4 mmol) was dissolved in 3 g of ChCl/p-TSA (1:2), and the mixture was stirred at room temperature. After 15 min, TLC analysis confirmed the complete conversion of the initial carboxylate. Compound 6 was purified using two different methods: cooling overnight to allow the product to precipitate (66% yield) and performing a liquid–liquid extraction with ethyl acetate followed by solvent evaporation (99% yield). The structure of compound 6 was confirmed by NMR. Rf (Hex:EtOAc, 1:1) = 0.09, 1H NMR (CDCl3) δ 14.68 (s, 1H, -OH), 8.89 (s, 1H, H2), 8.55 (dd, J = 8.9, 6.1 Hz, 1H, H8), 7.73 (d, J = 10.7 Hz, 1H, H6), 7.36–7.30 (m, 1H, H5), 3.64–3.51 (m, 1H, H1′), 1.48–1.14 (m, 6H, H2′/H3′). 13C NMR (CDCl3) δ 173.58, 165.59, 149.05, 142.14, 130.74, 125.22, 113.77, 111.59, 103.01, 34.53, 8.20.
3.4. Greenness Assessment
EcoScale calculator: The greenness of the procedure was assessed using the EcoScale methodology [26]. An ideal reaction is assigned a score of 100, from which penalty points are subtracted according to yield, cost, safety, technical setup, purification, and environmental impact. In this work, the EcoScale score was calculated using the online EcoScale calculator available at https://ecoscale.cheminfo.org/calculator (accessed in 1 November 2025). Relevant reaction parameters (yield, solvent, reagent hazards, work-up, and purification) were entered into the platform, which automatically assigned penalty points and computed the final score. The output was recorded, and penalty assignments were cross-checked with material safety data sheets (MSDS) and reagent hazard classifications to ensure consistency.
Green metrics using GSK Sustainable Solvent Selection Guide and CHEM21 selection guide: A more personalized analysis was carried out, considering the GSK Sustainable Solvent Selection Guide and CHEM21 selection guide. The GSK guide provides color-coded rankings for solvents based on health, safety, and environmental impact (green = recommended, amber = usable with caution, red = undesirable). The CHEM21 guide expands this framework by evaluating a broader set of solvents and incorporating additional sustainability factors, including scalability and regulatory considerations. GHS (Globally Harmonized System) labels were identified for each solvent and DES components (in each material safety data sheet (MSDS)) and compared to the guides mentioned. This iterative approach enables a quantitative comparison of the environmental impact of different solvents and DES formulations.
4. Conclusions
In this study, we demonstrated the potential of deep eutectic solvents (DESs) as greener alternatives to conventional organic solvents in the synthesis of fluoroquinolone analogs following the Grohe method. Most key transformations were successfully carried out with DESs, allowing the reactions to be carried out with moderate reaction times and lower energy inputs. Greenness assessments using EcoScale and the GSK and CHEM21 solvent selection guides further reinforced the advantages of DESs over traditional solvents used with the Grohe method, such as dioxane, toluene, and DMF. While some limitations remained, particularly in early synthetic steps where yield was critical, the overall results demonstrate that DESs can significantly enhance the sustainability profile of quinolone synthesis, with an overall yield up to 43% with eutectic media. Taken together, these findings support the growing role of DESs as versatile, safer, and more sustainable solvents in pharmaceutical synthesis. Future work should focus on scale-up studies, the reusability of DESs, and broader application to other active pharmaceutical ingredients to fully unlock the potential of DESs in advancing green chemistry and sustainable drug manufacturing.
Supplementary Materials
The following supporting information can be downloaded at: https://www.mdpi.com/article/10.3390/ph19020208/s1, NMR data.
Author Contributions
A.R.J.: conceptualization, supervision, and review and editing. R.N. and L.D.: investigation, original draft. All authors have read and agreed to the published version of the manuscript.
Funding
This research was funded by the Associate Laboratory for Green Chemistry (LAQV) and through national funds from FCT/MCTES through the LA/P/0008/2020 (10.54499/LA/P/0008/2020), UIDP/50006/2020 (10.54499/UIDP/50006/2020), and UIDB/50006/2020 (10.54499/UIDB/50006/2020), and through the CEEC contract 10.54499/2023.06113.CEECIND/CP2836/CT0003.
Data Availability Statement
The original contributions presented in this study are included in the article/Supplementary Material. Further inquiries can be directed to the corresponding author.
Acknowledgments
The data supporting this article have been included as part of the Supplementary Information.
Conflicts of Interest
The authors declare no conflicts of interest.
References
- Jiménez-González, C.; Curzons, A.D.; Constable, D.J.C.; Cunningham, V.L. Cradle-to-gate life cycle inventory and assessment of pharmaceutical compounds. Int. J. Life Cycle Assess. 2004, 9, 114–121. [Google Scholar] [CrossRef]
- Omar, K.A.; Sadeghi, R. Physicochemical properties of deep eutectic solvents: A review. J. Mol. Liq. 2022, 360, 119524. [Google Scholar] [CrossRef]
- Constable, D.J.C.; Jimenez-Gonzalez, C.; Henderson, R.K. Perspective on Solvent Use in the Pharmaceutical Industry. Org. Process Res. Dev. 2007, 11, 133–137. [Google Scholar] [CrossRef]
- Domingues, L.; Duarte, A.R.C.; Jesus, A.R. How Can Deep Eutectic Systems Promote Greener Processes in Medicinal Chemistry and Drug Discovery? Pharmaceuticals 2024, 17, 221. [Google Scholar] [CrossRef] [PubMed]
- Paiva, A.; Craveiro, R.; Aroso, I.; Martins, M.; Reis, R.L.; Duarte, A.R.C. Natural deep eutectic solvents—Solvents for the 21st century. ACS Sustain. Chem. Eng. 2014, 2, 1063–1071. [Google Scholar] [CrossRef]
- Ruß, C.; König, B. Low melting mixtures in organic synthesis—An alternative to ionic liquids? Green Chem. 2012, 14, 2969–2982. [Google Scholar] [CrossRef]
- Sheldon, R.A. Green solvents for sustainable organic synthesis: State of the art. Green Chem. 2005, 7, 267–278. [Google Scholar] [CrossRef]
- Lipshutz, B.H.; Ghorai, S. Transitioning organic synthesis from organic solvents to water. What’s your E Factor? Green Chem. 2014, 16, 3660–3679. [Google Scholar] [CrossRef]
- Meneses, L.; Santos, F.; Gameiro, A.R.; Paiva, A.; Duarte, A.R.C. Preparation of binary and ternary deep eutectic systems. J. Vis. Exp. 2019, 2019, e60326. [Google Scholar] [CrossRef]
- Omar, K.A.; Sadeghi, R. Database of deep eutectic solvents and their physical properties: A review. J. Mol. Liq. 2023, 384, 121899. [Google Scholar] [CrossRef]
- Mannu, A.; Blangetti, M.; Baldino, S.; Prandi, C. Promising Technological and Industrial Applications of Deep Eutectic Systems. Materials 2021, 14, 2494. [Google Scholar] [CrossRef]
- Alonso, D.A.; Baeza, A.; Chinchilla, R.; Guillena, G.; Pastor, I.M.; Ramón, D.J. Deep Eutectic Solvents: The Organic Reaction Medium of the Century. European J. Org. Chem. 2016, 2016, 612–632. [Google Scholar] [CrossRef]
- Miraki, M.K.; Mehraban, J.A.; Yazdani, E.; Heydari, A. Deep eutectic solvent (DES) as dual solvent/catalyst for synthesis of α-diazocarbonyl compounds using aldol-type coupling. J. Mol. Liq. 2017, 234, 129–132. [Google Scholar] [CrossRef]
- Quivelli, A.F.; Rossi, F.V.; Vitale, P.; García-Álvarez, J.; Perna, F.M.; Capriati, V. Sustainable and Scalable Two-Step Synthesis of Thenfadil and Some Analogs in Deep Eutectic Solvents: From Laboratory to Industry. ACS Sustain. Chem. Eng. 2022, 10, 4065–4072. [Google Scholar] [CrossRef]
- Procopio, D.; Siciliano, C.; Perri, A.; Guillena, G.; Ramón, D.J.; Di Gioia, M.L. Sustainable Synthesis of the Active Pharmaceutical Ingredient Atenolol in Deep Eutectic Solvents. Int. J. Mol. Sci. 2024, 25, 6677. [Google Scholar] [CrossRef]
- Cicco, L.; Dilauro, G.; Perna, F.M.; Vitale, P.; Capriati, V. Advances in deep eutectic solvents and water: Applications in metal- and biocatalyzed processes{,} in the synthesis of APIs{,} and other biologically active compounds. Org. Biomol. Chem. 2021, 19, 2558–2577. [Google Scholar] [CrossRef] [PubMed]
- Simone, M.; Pulpito, M.; Perna, F.M.; Capriati, V.; Vitale, P. Switchable Deep Eutectic Solvents for Sustainable Sulfonamide Synthesis. Chem.–A Eur. J. 2024, 30, e202402293. [Google Scholar] [CrossRef] [PubMed]
- Grohe, K. 3-Amino-2-Benzoylacrylic Acid Derivatives and a Process for Their Preparation. U.S. Patent 4,699,992, 13 October 1987. [Google Scholar]
- Grohe, K.; Heitzer, H. Cycloaracylierung von Enaminen, I. Synthese von 4-Chinolon-3-carbonsäuren. Liebigs Ann. Chemie 1987, 1987, 29–37. [Google Scholar] [CrossRef]
- Chen, G.; Xie, Z.; Liu, Y.; Meng, J. Synthesis of 2,4-Disubstituted Quinolines in Deep Eutectic Solvents. Chin. J. Org. Chem. 2020, 40, 156–161. [Google Scholar] [CrossRef]
- Zhang, Z.-H.; Zhang, X.-N.; Mo, L.-P.; Li, Y.-X.; Ma, F.-P. Catalyst-free synthesis of quinazoline derivatives using low melting sugar–urea–salt mixture as a solvent. Green Chem. 2012, 14, 1502–1506. [Google Scholar] [CrossRef]
- Patel, A.; Patel, S.; Mehta, M.; Patel, Y.; Patel, R.; Shah, D.; Patel, D.; Shah, U.; Patel, M.; Patel, S.; et al. A review on synthetic investigation for quinoline- recent green approaches. Green Chem. Lett. Rev. 2022, 15, 337–372. [Google Scholar] [CrossRef]
- Miliutina, M.; Ejaz, S.A.; Khan, S.U.; Iaroshenko, V.O.; Villinger, A.; Iqbal, J.; Langer, P. Synthesis, alkaline phosphatase inhibition studies and molecular docking of novel derivatives of 4-quinolones. Eur. J. Med. Chem. 2017, 126, 408–420. [Google Scholar] [CrossRef] [PubMed]
- Kant, R.; Singh, V.; Nath, G.; Awasthi, S.K.; Agarwal, A. Design, synthesis and biological evaluation of ciprofloxacin tethered bis-1,2,3-triazole conjugates as potent antibacterial agents. Eur. J. Med. Chem. 2016, 124, 218–228. [Google Scholar] [CrossRef]
- Geddis, S.M.; Coroama, T.; Forrest, S.; Hodgkinson, J.T.; Welch, M.; Spring, D.R. Synthesis and biological evaluation of 1,2-disubstituted 4-quinolone analogues of Pseudonocardia sp. natural products. Beilstein J. Org. Chem. 2018, 14, 2680–2688. [Google Scholar] [CrossRef]
- Van Aken, K.; Strekowski, L.; Patiny, L. EcoScale, a semi-quantitative tool to select an organic preparation based on economical and ecological parameters. Beilstein J. Org. Chem. 2006, 2, 3. [Google Scholar] [CrossRef]
- Alder, C.M.; Hayler, J.D.; Henderson, R.K.; Redman, A.M.; Shukla, L.; Shuster, L.E.; Sneddon, H.F. Updating and further expanding GSK{’}s solvent sustainability guide. Green Chem. 2016, 18, 3879–3890. [Google Scholar] [CrossRef]
- Henderson, R.K.; Jiménez-González, C.; Constable, D.J.C.; Alston, S.R.; Inglis, G.G.A.; Fisher, G.; Sherwood, J.; Binks, S.P.; Curzons, A.D. Expanding GSK{’}s solvent selection guide—Embedding sustainability into solvent selection starting at medicinal chemistry. Green Chem. 2011, 13, 854–862. [Google Scholar] [CrossRef]
- Prat, D.; Wells, A.; Hayler, J.; Sneddon, H.; McElroy, C.R.; Abou-Shehada, S.; Dunn, P.J. CHEM21 selection guide of classical- and less classical-solvents. Green Chem. 2016, 18, 288–296. [Google Scholar] [CrossRef]
- Prat, D.; Hayler, J.; Wells, A. A survey of solvent selection guides. Green Chem. 2014, 16, 4546–4551. [Google Scholar] [CrossRef]
- Summerton, L.; Taylor, R.J.; Clark, J.H. Promoting the uptake of green and sustainable methodologies in pharmaceutical synthesis: CHEM21 education and training initiatives. Sustain. Chem. Pharm. 2016, 4, 67–76. [Google Scholar] [CrossRef]
- Naser, J.; Mjalli, F.; Jibril, B.; Al-Hatmi, S.; Gano, Z. Potassium Carbonate as a Salt for Deep Eutectic Solvents. Int. J. Chem. Eng. Appl. 2013, 4, 114–118. [Google Scholar] [CrossRef]
- Lv, J.; Yu, J.-C.; Feng, G.-J.; Luo, T.; Dong, H. Stannous chloride as a low toxicity and extremely cheap catalyst for regio-/site-selective acylation with unusually broad substrate scope. Green Chem. 2020, 22, 6936–6942. [Google Scholar] [CrossRef]
- Qingdao Zhenkai Biomedical Technology Co., Ltd. NoPreparation Method of 2-MCPD, D5-2-MCPD and 13C3-2-MCPD. (2022). CN Patent 114853564B, 5 April 2024. [Google Scholar]
- Škugor, M.M.; Štimac, V.; Palej, I.; Lugarić, Đ.; Paljetak, H.Č.; Filić, D.; Modrić, M.; Đilović, I.; Gembarovski, D.; Mutak, S.; et al. Synthesis and biological activity of 4″-O-acyl derivatives of 14- and 15-membered macrolides linked to ω-quinolone-carboxylic unit. Bioorg. Med. Chem. 2010, 18, 6547–6558. [Google Scholar] [CrossRef]
- Zhi, Y.; Gao, L.-X.; Jin, Y.; Tang, C.-L.; Li, J.-Y.; Li, J.; Long, Y.-Q. 4-Quinolone-3-carboxylic acids as cell-permeable inhibitors of protein tyrosine phosphatase 1B. Bioorg. Med. Chem. 2014, 22, 3670–3683. [Google Scholar] [CrossRef] [PubMed]
- Fernandes, C.C.; Paiva, A.; Haghbakhsh, R.; Duarte, A.R.C. Is it possible to correlate various physicochemical properties of Natural Deep eutectic systems in order to predict their behaviours as solvents? J. Mol. Liq. 2023, 384, 122280. [Google Scholar] [CrossRef]
- Cecchetti, V.; Clementi, S.; Cruciani, G.; Fravolini, A.; Pagella, P.G.; Savino, A.; Tabarrini, O. 6-Aminoquinolones: A new class of quinolone antibacterials? J. Med. Chem. 1995, 38, 973–982. [Google Scholar] [CrossRef] [PubMed]
- Glushkov, R.G.; Marchanko, N.B.; Levshin, I.B.; Dronova, L.N. Synthesis and amination of 1-alkyl-6-nitro-4-oxo-7-chloro-1,4-dihydroquinoline-3-carboxylic acids. Pharm. Chem. J. 1997, 31, 267–271. [Google Scholar] [CrossRef]
- Shi, H.; Wang, Y.; Hua, R. Acid-catalyzed carboxylic acid esterification and ester hydrolysis mechanism: Acylium ion as a sharing active intermediate via a spontaneous trimolecular reaction based on density functional theory calculation and supported by electrospray ionization-mass. Phys. Chem. Chem. Phys. 2015, 17, 30279–30291. [Google Scholar] [CrossRef] [PubMed]
- Martin, R.B. Mechanisms of Acid Hydrolysis of Carboxylic Acid Esters and Amides. J. Am. Chem. Soc. 1962, 84, 4130–4136. [Google Scholar] [CrossRef]
- Annes, S.B.; Vigneshwar, K.; Nivedha, K.; Manojveer, S.; Ramesh, S. Deep Eutectic Solvent Mediated Alkyne-Carbonyl Metathesis (ACM) Reaction for the Synthesis of 2H-Chromene Derivatives. ChemistrySelect 2019, 4, 6245–6249. [Google Scholar] [CrossRef]
- Delaye, P.-O.; Salami, C.; Thiery, E. Microwave-Assisted Organic Syntheses in Deep Eutectic Solvents: A Win-Win Association for Sustainable Chemistry. ChemistryOpen 2025, e202500478. [Google Scholar] [CrossRef] [PubMed]
- Nejrotti, S.; Antenucci, A.; Pontremoli, C.; Gontrani, L.; Barbero, N.; Carbone, M.; Bonomo, M. Critical Assessment of the Sustainability of Deep Eutectic Solvents: A Case Study on Six Choline Chloride-Based Mixtures. ACS Omega 2022, 7, 47449–47461. [Google Scholar] [CrossRef] [PubMed]
- Azizi, N.; Edrisi, M. Multicomponent reaction in deep eutectic solvent for synthesis of substituted 1-aminoalkyl-2-naphthols. Res. Chem. Intermed. 2017, 43, 379–385. [Google Scholar] [CrossRef]
- Perna, F.M.; Vitale, P.; Capriati, V. Deep eutectic solvents and their applications as green solvents. Curr. Opin. Green Sustain. Chem. 2020, 21, 27–33. [Google Scholar] [CrossRef]
- Di Gioia, M.L.; Cassano, R.; Costanzo, P.; Herrera Cano, N.; Maiuolo, L.; Nardi, M.; Nicoletta, F.P.; Oliverio, M.; Procopio, A. Green Synthesis of Privileged Benzimidazole Scaffolds Using Active Deep Eutectic Solvent. Molecules 2019, 24, 2885. [Google Scholar] [CrossRef] [PubMed]
Disclaimer/Publisher’s Note: The statements, opinions and data contained in all publications are solely those of the individual author(s) and contributor(s) and not of MDPI and/or the editor(s). MDPI and/or the editor(s) disclaim responsibility for any injury to people or property resulting from any ideas, methods, instructions or products referred to in the content. |
© 2026 by the authors. Licensee MDPI, Basel, Switzerland. This article is an open access article distributed under the terms and conditions of the Creative Commons Attribution (CC BY) license.






