Design, Synthesis, Antimicrobial Activity and Molecular Docking of New 1,2,4-Triazepine, 1,3,4,6-Oxatriazepine and Pyridazino[1,2-a] Pyrimidine Derivatives
Abstract
1. Introduction
2. Results and Discussion
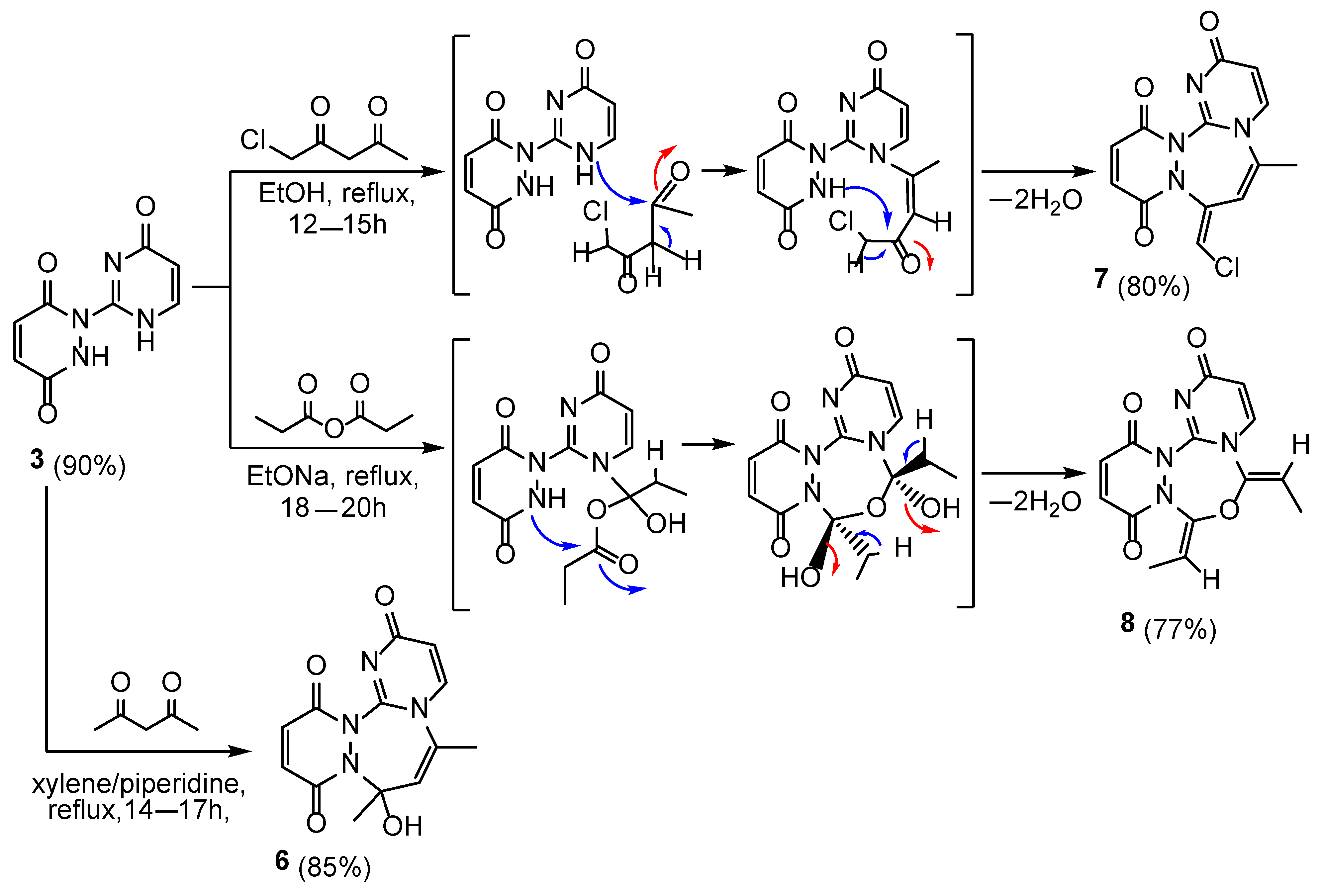
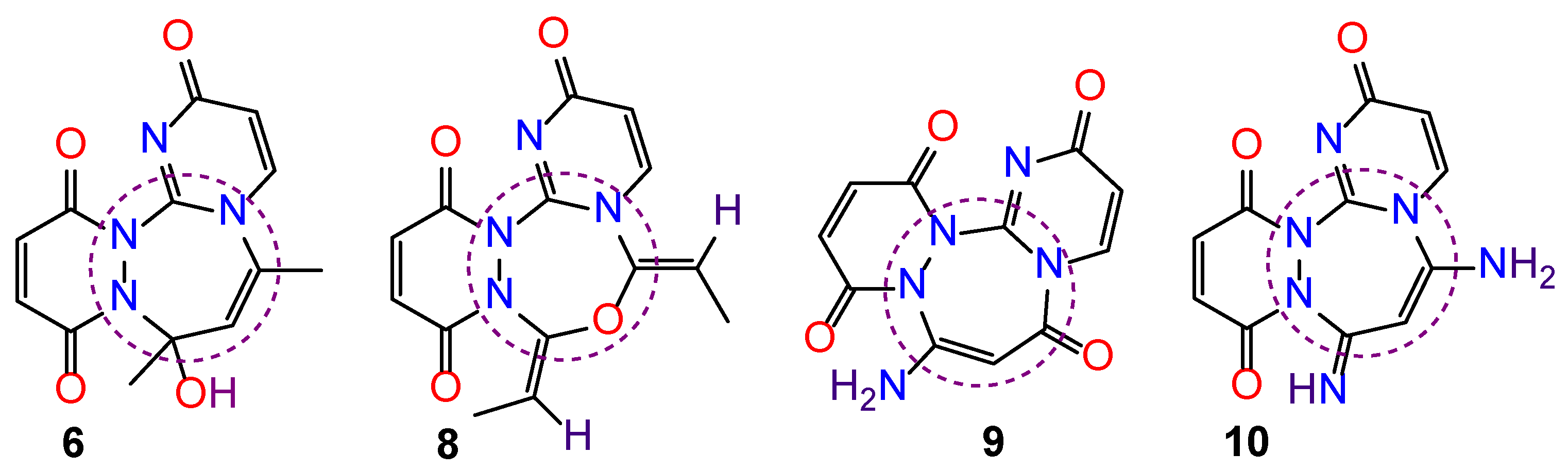
2.1. Synthesis
2.2. Biological Activities
2.2.1. Biological Screening
2.2.2. Structural Activity Relationship (SAR)
2.3. Computational Studies (Molecular Modeling)
2.3.1. Analysis of Computational Results
Docking and Molecular Interaction with Gyrase B of S. aureus (PDB: ID 4URM)
Docking and Molecular Interaction Studies with DNA Gyrase of E. coli
Docking and Interaction of Streptococcus pyogenes Sortase A (spySrt A)
Docking and Interaction with the KPC-2 Carbapenemase of K. pneumoniae
Docking and Interaction with A. niger Fdc1 (4ZA5)
Docking and Interaction with Sterol 14-alpha Demethylase (CYP51) of C. albicans
Docking and Interaction with AaTPS of Alternaria alternata
3. Experimental Section
3.1. General Information
3.2. Synthesis of 1-(4-oxo-1,4-Dihydropyrimidin-2-yl)-1,2-dihydropyridazine-3,6-dione (3)
3.3. Synthesis of 8-Methyl-2H,6H-pyridazino[1,2-a] pyrimido[2,1-c] [1,2,4]triazepine-2,6,10,13-tetraone (4)
3.4. Synthesis of 2H,6H-Pyridazino[1,2-a] pyrimido[2,1-c] [1,2,4]triazepine-2,6,8,10,13(7H)-pentaone (5)
3.5. Synthesis of 8-Hydroxy-6,8-dimethyl-2H,8H-pyridazino[1,2-a] pyrimido[2,1-c] [1,2,4]triazepine-2,10,13-trione (6)
3.6. Synthesis of 8-(Chloromethylene)-6-methyl-2H,8H-pyridazino[1,2-a] pyrimido[2,1-c][1,2,4]triazepine-2, 10, 13-trione (7)
3.7. Synthesis of 6,8-Diethylidene-2H,6H,8H-pyridazino[1,2-c]pyrimido[2,1-e][1,3,4,6]oxatriazepine-2,10,13-trione (8)
3.8. Synthesis of 8-Amino-2H,6H-pyridazino[1,2-a]pyrimido[2,1-c][1,2,4]triazepine-2,6,10,13-tetraone (9)
3.9. Synthesis of 6-Amino-8-imino-2H,8H-pyridazino[1,2-a]pyrimido[2,1-c][1,2,4]triazepine-2,10,13-trione (10)
3.10. Biological Screening (Materials and Methods, In Vitro)
3.11. The Sources of Strain for Different Types of Bacteria and Fungi
3.12. Klebsiella pneumonia (G-ve)
3.13. Escherichia coli (G-ve)
3.14. Streptococcus pyogenes (G + ve)
3.15. Staphylococcus aureus(G + ve)
3.16. The Fungi of Candida albicans
3.17. The Fungi of Curvularia lunata
3.18. The Fungi of Alternaria alternate
3.19. The Fungi of Aspergillus niger
3.20. Computational Methods: Molecular Docking of Synthesized Compounds
3.20.1. Ethical Approval and Consent to Participate
3.20.2. Human and Animal Rights
3.20.3. Chemicals and Drugs
4. Conclusions
Supplementary Materials
Author Contributions
Funding
Institutional Review Board Statement
Informed Consent Statement
Data Availability Statement
Acknowledgments
Conflicts of Interest
References
- Chavan, A.A.; Pai, N.R. Synthesis and Biological Activity of N-Substituted-3-chloro-2-azetidinones. Molecules 2007, 12, 2467–2477. [Google Scholar] [CrossRef]
- Al-Harbi, N.O.; Bahashwan, S.A.; Shadid, K.A. Anti-Inflammatory, Analgesic and Antiparkinsonism Activities of Some Novel Pyridazine Derivatives. J. Am. Sci. 2010, 6, 353–357. [Google Scholar]
- Alaa, J.M.; Saadon, A.A.; Sabah, N.K. Synthesis and Spectroscopic Studies of Some New Oxazepine Derivatives Throughout [2+5] Cycloaddition Reactions (IV). J. Babylon Univ. Pure Appl. Sci. 2012, 22, 377–392. [Google Scholar]
- Asif, H.; Rubina, B.; Deepak, K.; Dong-Soo, S. Synthesis and Biological Evaluation of Novel Substituted- Imidazolidine Derivatives. J. Korean Chem. Soc. 2013, 57, 227–233. [Google Scholar] [CrossRef]
- Deepti, K.S.; Riaz, H.; Sagar, V.; Manish, S.H.; Arma Ashutosh, K.S. Synthesis and Antibacterial Activity of Quinazolinone Derivatives. Int. J. Pharm. Pharm. Sci. 2009, 1, 56–59. [Google Scholar]
- Asif, M.; Singh, A.; Siddiqui, A.A. The Effect of Pyridazine Compounds on The Cardiovascular System. Med. Chem. Res. 2012, 21, 3336–3346. [Google Scholar] [CrossRef]
- Caterina, M.C.; Perillo, I.A.; Boiani, L.; Pezaroglo, H.; Cerecetto, H.; Gonzalez, M.; Salerno, A. Imidazolidines as New Anti-Trypanosoma cruzi Agents: Biological Evaluation and Structure-Activity Relationships. Bioorg. Med. Chem. 2008, 16, 2226. [Google Scholar] [CrossRef] [PubMed]
- Asif, M. Some Recent Approaches of Biologically Active Substituted Pyridazine and Phthalazine Drugs. Curr. Med. Chem. 2012, 19, 2984–2991. [Google Scholar] [CrossRef] [PubMed]
- El-Ansary, A.K.; Kamal, A.M.; Al-Ghorafi, M.A. Design and Synthesis of Some Thieno [2,3-c] pyridazine Derivatives of Expected Anticancer Activity. Med. Chem. Res. 2013, 22, 2589–2601. [Google Scholar] [CrossRef]
- Hilal, M.A.; Ibtisam, K.J.; Malak, N.S. Synthesis and characterization new heterocyclic compounds with studying its biological Activity. Kerbala J. Pharm. Sci. 2012, 4, 119–135. [Google Scholar]
- Ghammamy, S.; Shakeri, R.; Shaabani, B.; Mehrani, K.; Rajaei, S. Synthesis and characterization of three new benzylidene acetohydrazide copper (II) complexes. Afr. J. Pure App. Chem. 2011, 5, 145–148. [Google Scholar]
- Hatem, A.A.; Tilal, E.; Mohamed, I.A.; Amer, M.A. The Reaction of Ethyl 2-oxo-2H-chromene-3-carboxylate with Hydrazine Hydrate. Molecules 2013, 18, 2084–2095. [Google Scholar]
- Hossain, N.; Rozenski, J.; De Clercq, E.; Herdewijn, P. Synthesis and Antiviral Activity of the α-Analogues of 1,5-Anhydrohexitol Nucleosides (1,5-Anhydro-2,3-dideoxy-d-ribohexitol Nucleosides). J. Org. Chem. 1997, 62, 2442–2447. [Google Scholar] [CrossRef]
- Eissa, A.A.M.; Moneer, A.A. Synthesis and Antimicrobial Activity of Novel Tetrahydrobenzothienopyrimidines. Arch. Pharm. Res. 2004, 27, 885–892. [Google Scholar] [CrossRef] [PubMed]
- Joseph, S.; Burke, J.M. Optimization of an anti-HIV hairpin ribozyme by in vitro selection. J. Biol. Chem. 1993, 268, 24515–24518. [Google Scholar] [CrossRef]
- Bookser, B.C.; Ugarkar, B.G.; Matelich, M.C.; Lemus, R.H.; Allan, M.; Tsuchiya, M.; Nakane, M.; Nagahisa, A.; Wiesner, J.B.; Erion, M.D. Adenosine Kinase Inhibitors. 6. Synthesis, Water Solubility and Antinociceptive Activity of 5-Phenyl-7-(5-deoxy-β-d-ribofuranosyl) pyrrolo[2,3-d] pyrimidines Substituted at C4 with Glycinamides and Related Compounds. J. Med. Chem. 2005, 48, 7808–7820. [Google Scholar] [CrossRef]
- Wang, S.; Folkes, A.; Chuckowree, I.; Cockcroft, X.; Sohal, S.; Miller, W.; Milton, J.; Wren, S.P.; Vicker, N.; Depledge, P.; et al. Studies on Pyrrolopyrimidines as Selective Inhibitors of Multidrug-Resistance-Associated Protein in Multidrug Resistance. J. Med. Chem. 2004, 47, 1329–1338. [Google Scholar] [CrossRef] [PubMed]
- Bruno, O.; Brullo, C.; Schenone, S.; Bondavalli, F.; Ranise, A.; Tognolini, M.; Impicciatore, M.; Ballabeni, V.; Barocelli, E. Synthesis, antiplatelet and antithrombotic activities of new 2-substituted benzopyrano[4,3-d] pyrimidin-4-cycloamines and 4-amino/cycloamino-benzopyrano[4,3-d] pyrimidin-5-ones. Bioorg Med. Chem. 2006, 14, 121–130. [Google Scholar] [CrossRef]
- Sannigrahi, M. Stereocontrolled synthesis of spirocyclics. Tetrahedron 1999, 55, 9007–9071. [Google Scholar] [CrossRef]
- Srivastav, N.; Mittal, A.; Kumar, A. A Novel Chiral Auxiliary from Chiral Spiranes. cis,cis-(+)- and (−)-Spiro[4.4]nonane-1,6-diol as Chiral Modifier in Lithium Aluminium Hydride Reduction of Phenyl Alkyl Ketones. J. Chem. Soc. Chem. Commun. 1992, 6, 493–494. [Google Scholar] [CrossRef]
- James, M.; Kunze, H.B.; Faulkner, D.J. Two new brominated tyrosine derivatives from the sponge Druinella (=Psammaplysilla) purpurea. J. Nat. Prod. 1991, 54, 1137–1140. [Google Scholar] [CrossRef]
- Kobayashi, J.; Tsuda, M.; Agemi, K.; Shigemiri, H.; Ishibashi, M.; Sasaki, T.; Mikami, Y. Purealidins B and C, new bromotyros-ine alkaloids from the okinawan marine sponge psammaplysilla purea. Tetrahedron 1991, 47, 6617–6622. [Google Scholar] [CrossRef]
- Bellantuono, C.; Reggi, G.; Tognoni, G.; Garattini, S. Clinical Pharmacology and Therapeutic Use. Drugs 1980, 19, 195–219. [Google Scholar] [CrossRef] [PubMed]
- Bartsh, H.; Erker, T. Studies on the chemistry of O, N- and S, N-containing heterocycles. 3. Synthesis of 1,5-benzothiazepines with potential CNS activity. J. Heterocycl. Chem. 1988, 25, 1151–1154. [Google Scholar] [CrossRef]
- Basile, A.S.; Gammal, S.H.; Jones, E.A.; Skolnick, P. GABAA Receptor Complex in an Experimental Model of Hepatic Encephalopathy: Evidence for Elevated Levels of an Endogenous Benzodiazepine Receptor Ligand. J. Neurochem. 1989, 53, 1057–1063. [Google Scholar] [CrossRef]
- Gupta, M.; Paul, S.; Gupta, R. Efficient and novel one-pot synthesis of antifungal active 1-substituted-8-aryl-3-alkyl/aryl-4H-pyrazolo[4,5-f] [1,2,4] triazolo[4,3-b] [1,2,4] triazepines using solid support. Eur. J. Med. Chem. 2011, 46, 631–635. [Google Scholar] [CrossRef]
- Gupta, M. Efficient synthesis of antifungal active 9-substituted-3-aryl-5H,13aH-quinolino[3,2-f] [1,2,4] triazolo[4,3-b] [1,2,4] triazepines in ionic liquids. Bioorg. Med. Chem. Lett. 2011, 21, 4919–4923. [Google Scholar] [CrossRef] [PubMed]
- Esseffar, M.; Jalal, R.; El Messaoudi, M.; El Mouhtadi, M. AM1 theoretical study on the mechanism of 1,3-dipolar cycloaddition reaction of 1,2,4-triazepine and formonitrile oxide. J. Mol. Struct. (THEOCHEM) 1998, 433, 301–309. [Google Scholar] [CrossRef]
- Rezessy, B.; Zubovics, Z.; Kovacs, J.; Toth, G. Synthesis and structure elucidation of new thiazolotriazepines. Tetrahedron 1999, 55, 5909–5922. [Google Scholar] [CrossRef]
- Sladowska, H.; Bodetko, M.; Sieklucka-Dziuba, M.; Rajtar, G.; Ziolkowska, D.; Kleinrok, Z. Transformation of some pyri-do[2,3-d]-pyrimidine derivatives into other di- and triheterocyclic systems. Farmaco 1997, 52, 657–662. [Google Scholar]
- Verardo, G.; Toniutti, N.; Gorassini, A.; Giumanini, A.G. New Heterocycles from the Reaction between Some Natural α-Amino Acid Hydrazides and Formaldehyde. Eur. J. Org. Chem. 1999, 11, 2943–2948. [Google Scholar] [CrossRef]
- Sewell, P.; Hawking, F.; Brit, F. Chemotherapy of experimental filariasis. Br. J. Pharmacol. Chemother. 1950, 5, 239–260. [Google Scholar] [CrossRef]
- Fischer, R.; Kunzle, F.M.; Schmutz, J. Pyrrolobenzotriazepines. U.S. Patent 4450108, 22 May 1984. [Google Scholar]
- Kodato, S.-I.; Wada, H.; Saito, S.; Takeda, M.; Nishibata, Y.; Aoe, K.; Date, T.; Onoda, Y.; Tamaki, H. Synthesis of novel pyridotriazepinones as antisecretory agents. Chem. Pharm. Bull. 1987, 35, 80–89. [Google Scholar] [CrossRef]
- Fernández, P.; Guillen, M.I.; Gomar, F.; Aller, E.; Molina, P.; Alcaraz, M.J. A novel cyclo-oxygenase-2 inhibitor modulates catabolic and antiinflammatory mediators in osteoarthritis. Biochem. Pharmacol. 2004, 68, 417–421. [Google Scholar] [CrossRef] [PubMed]
- Shaxted, M.E.; Adatia, T.; Bashall, A. Achiral, selective CCK2 receptor antagonists based on a 1,3,5-benzotriazepine-2,4-dione template. Bioorg. Med. Chem. 2008, 16, 2974–2983. [Google Scholar] [CrossRef]
- Kaur, K.; Talele, T.T. 3D QSAR studies of 1,3,4-benzotriazepine derivatives as CCK2 receptor antagonists. J. Mol. Graph. Modell. 2008, 27, 409–420. [Google Scholar] [CrossRef]
- Mashevskaya, I.V.; Makhmudov, R.R.; Kuslina, L.V.; Mokrushin, I.G.; Shurov, S.N.; Maslivets, A.N. Synthesis and analgesic activity of the products of the interaction between 3-aroylpyrrolo[1,2-a]-quinoxaline-1,2,4(5H)-triones with benzoic acid hydrazides. Pharm. Chem. J. 2012, 45, 660–663. [Google Scholar] [CrossRef]
- Ibrahim, S.M.; Baraka, M.M.; El- Sabbagh, O.I.; Kothayer, H. Synthesis of new benzotriazepin-5(2H)-one derivatives of expected anti-psychotic activity. Med. Chem. Res. 2013, 22, 1488–1496. [Google Scholar] [CrossRef]
- Chen, Q.; Zhu, X.L.; Jiang, L.L.; Liu, Z.M.; Yang, G.F. Synthesis, antifungal activity and CoMFA analysis of novel 1,2,4-triazolo[1,5-a] pyrimidine derivatives. Eur. J. Med. Chem. 2008, 43, 595–603. [Google Scholar] [CrossRef]
- Lee, H.W.; Kim, B.Y.; Ahn, J.B.; Kang, S.K.; Lee, J.H.; Shin, J.S.; Ahn, S.K.; Lee, S.J.; Yoon, S.S. Molecular design, synthesis, and hypoglycemic and hypolipidemic activities of novel pyrimidine derivatives having thiazolidinedione. Eur. J. Med. Chem. 2005, 40, 862–874. [Google Scholar] [CrossRef]
- Mohamed, T.; Rao, P.P.N. Design, synthesis, and evaluation of 2,4-disubstituted pyrimidines as cholinesterase inhibitors. Bioorg. Med. Chem. Lett. 2010, 20, 3606–3609. [Google Scholar] [CrossRef]
- Ouvry, G. Recent applications of seven-membered rings in drug design. Bioorg. Med. Chem. 2022, 57, 116650. [Google Scholar] [CrossRef] [PubMed]
- Lakatosh, S.A.; Luzikov, Y.N.; Preobrazhen-skaya, M.N. Synthesis of 6H-pyrrolo [3′,4′:2,3] [1,4] diazepino[6,7,1-hi] in-dole-8,10(7H,9H)-diones using 3-bromo-4-(indol-1-yl) maleimide scaffold. Org. Biomol. Chem. 2003, 1, 826–833. [Google Scholar] [CrossRef]
- Levin, J.I.; Dijoseph, J.F.; Killar, L.M.; Sung, A.; Walter, T.; Sharr, M.A.; Roth, C.E.; Skotnicki, J.S.; Al-bright, J.D. The synthesis and biological activity of a novel series of diazepine MMP inhibitors. Bioorg. Med. Chem. Lett. 1998, 8, 2657–2662. [Google Scholar] [CrossRef] [PubMed]
- Kato, S.; Harada, H.; Morie, T. Efficient synthesis of (6R)-6-amino-1-methyl-4-(3-methylbenzyl) hexahydro-1H-1,4-diazepine from methyl (2R)- and (2S)-1-benzyl-oxycarbonylaziridine-2-carboxylates. J. Chem. Soc. Perkin Trans. 1997, 21, 3219–3226. [Google Scholar] [CrossRef]
- Hirokawa, Y.; Fujiwara, I.; Suzuki, K.; Harada, H.; Yo-shikawa, T.; Yoshida, N.; Kato, S. Synthesis and Structure−Affinity Relationships of Novel N-(1-Ethyl-4-methylhexahydro-1,4-diazepin-6-yl) pyridine-3-carboxamides with Potent Serotonin 5-HT3 and Dopamine D2 Receptor Antagonistic Activity. J. Med. Chem. 2003, 46, 702–715. [Google Scholar] [CrossRef]
- Curtis, M.P.; Dwight, W.; Pratt, J.; Cowart, M.; Es-benshade, T.A.; Kruger, K.M.; Fox, G.B.; Pan, J.B.; Pa-gano, T.G.; Hancock, A.A. D-Amino Acid Homopiperazine Amides: Discovery of A-320436, a Potent and Selective Non-Imidazole Histamine H3-Receptor Antagonist. Arch. Pharm. 2004, 337, 219–229. [Google Scholar] [CrossRef]
- Taillefumier, C.; Thielges, S.; Chapleur, Y. Anomeric spiroannelated 1,4-diazepine 2,5-diones from furano exo-glycals: To-wards a new class of spironucleosides. Tetrahedron 2004, 60, 2213–2224. [Google Scholar] [CrossRef]
- Janin, Y.L.; Aubertin, A.M.; Chiaroni, A.; Riche, C.; Monneret, C.; Bisagani, E.; Grierson, D.S. Imidazo[1,5-g] [1,4] diazepines, TIBO analogues lacking the phenyl ring: Synthesis and evaluation as anti-HIV agents. Tetrahedron 1996, 52, 15157–15170. [Google Scholar] [CrossRef]
- Mibu, N.; Yukawa, M.; Kashige, N.; Iwase, Y.; Goto, Y.; Miake, F.; Yamaguchi, T.; Ito, S.; Sumoto, K. Synthesis and DNA strand breakage activity of some 1,4-diazepines. Chem. Pharm. Bull. 2003, 51, 27–31. [Google Scholar] [CrossRef][Green Version]
- Abu-Hashem, A.A.; Amri, N.; El-Sayed, A.F. Design, evaluation, cytotoxic activity, molecular docking, ADMET analysis, and dynamic simulations and the preparation of new isoxazoles, thiazoles, 1,3-thiazines, and thiazolopyrimidines derived from quinoline-pyridopyrimidines. Pharm. Biol. 2025, 63, 607–644. [Google Scholar] [CrossRef]
- Abu-Hashem, A.A.; Al-Hussain, S.A. Design, Synthesis, Antimicrobial Activity, and Molecular Docking of Novel Thiazoles, Pyrazoles, 1,3-Thiazepinones, and 1,2,4-Triazolopyrimidines Derived from Quinoline-Pyrido[2,3-d] Pyrimidinones. Pharmaceuticals 2024, 17, 1632. [Google Scholar] [CrossRef]
- Abu-Hashem, A.A.; Hakami, O.; Amri, N. Synthesis, Anticancer Activity and Molecular Docking of New Quinolines, Quinazolines and 1,2,4-triazoles with pyrido[2,3-d] pyrimidines. Heliyon 2024, 10, e26735. [Google Scholar] [CrossRef]
- Abu-Hashem, A.A.; Yousif, M.N.M.; El-Gazzar, A.B.A.; Hafez, H.N. Synthesis, design, and antimicrobial activity of pyrido[2,3-d] [1,2,4] triazolo[4,3-a] pyrimidinones based on quinoline derivatives. J. Chin. Chem. Soc. 2023, 70, 2187–2205. [Google Scholar] [CrossRef]
- Abu-Hashem, A.A.; Al-Hussain, S.A. The Synthesis, Antimicrobial Activity, and Molecular Docking of New 1,2,4-Triazole, 1,2,4-Triazepine, Quinoline, and Pyrimidine Scaffolds Condensed to Naturally Occurring Furochromones. Pharmaceuticals 2022, 15, 1232. [Google Scholar] [CrossRef]
- Abu-Hashem, A.A.; Al-Hussain, S.A.; Zaki, M.E.A. Design, Synthesis and Anticancer Activity of New Polycyclic: Imidazole, Thiazine, Oxathiine, Pyrrolo-Quinoxaline and Thienotriazolopyrimidine Derivatives. Molecules 2021, 26, 2031. [Google Scholar] [CrossRef] [PubMed]
- Abu-Hashem, A.A.; Al-Hussain, S.A.; Zaki, M.E.A. 1,3,5-Triazines; 1,3,5-Oxadiazepines and Thiazolopyrimidines Derived from Visnaginone and Khellinone as Anti-Inflammatory and Analgesic Agents. Molecules 2020, 25, 220. [Google Scholar] [CrossRef] [PubMed]
- Abu-Hashem, A.A. Synthesis of New Furothiazolo Pyrimido Quinazolinones from Visnagenone or Khellinone and Antimicrobial Activity. Molecules 2018, 23, 2793. [Google Scholar] [CrossRef]
- Abu-Hashem, A.A.; Youssef, M.M. Synthesis of new visnagen and khellin furochromone pyrimidine derivatives and their anti-inflammatory and analgesic activity. Molecules 2011, 16, 1956–1972. [Google Scholar] [CrossRef]
- Abu-Hashem, A.A.; Abdelgawad, A.A.M.; Gouda, M.A. Vilsmeier-Haack Cyclisation as A Facile Synthetic Route to Thieno [2,3-b] quinolines (Part I). Lett. Org. Chem. 2023, 20, 197–220. [Google Scholar] [CrossRef]
- Abu-Hashem, A.A.; Abu-Zied, K.M.; Zaki, M.E.A.; El-Shehry, M.F.; Awad, H.M.; Khedr, M.A. Design, Synthesis, and Anticancer Potential of the Enzyme (PARP-1) Inhibitor with Computational Studies of New Triazole, Thiazolidinone, -Thieno[2,3-d] Pyrimidinones. Lett. Drug Des. Discov. 2020, 17, 799–819. [Google Scholar] [CrossRef]
- Abu-Hashem, A.A. Synthesis and Antimicrobial Activity of New 1,2,4-Triazole, 1,3,4-Oxadiazole, 1,3,4-Thiadiazole, Thiopyrane, Thiazolidinone, and Azepine Derivatives. J. Heterocycl. Chem. 2021, 58, 74–92. [Google Scholar] [CrossRef]
- Abu-Hashem, A.A. Synthesis of New Pyrazoles, Oxadiazoles, Triazoles, Pyrrolotriazines, and Pyrrolotriazepines as Potential Cytotoxic Agents. J. Heterocycl. Chem. 2021, 58, 805–821. [Google Scholar] [CrossRef]
- Abu-Hashem, A.A.; Gouda, M.A.; Badria, F.A. Design, Synthesis, and Identification of Novel Substituted Isothiochromene Analogs as Potential Antiviral and Cytotoxic Agents. Med. Chem. Res. 2018, 27, 2297–2311. [Google Scholar] [CrossRef]
- Ashraf, M.S.; AlShammery, H.; Janardanan, R.P.; Allahyani, M.; Almehmadi, M.; Asif, M. Synthesis, docking simulation, and antimicrobial evaluation of pyridazine-based heterocyclic compounds. J. Mol. Struct. 2025, 1325, 140976. [Google Scholar] [CrossRef]
- Fares, I.M.Z.; Salem, M.E.; Shafik, M.S.; Abdelhamid, I.A.; Elwahy, A.H.M.; Ibrahim, N.S.; Abdel-Megid, M.; Diab, H.M. Synthesis, molecular docking simulation, and antimicrobial activities of novel fused pyrimidine systems linked to N-arylacetamide and vanillin units as novel hybrid molecules via Hantzsch and Biginelli reactions. J. Mol. Struct. 2025, 1339, 142345. [Google Scholar] [CrossRef]
- Khalaf, H.; El-Sayed, A.; Sediek, A.; Radwan, M. Synthesis, molecular docking, ADMET studies and biological evaluation of fused Pyrazolopyridopyrimidine derivatives as antioxidant and antimicrobial agents. Sci. Rep. 2025, 15, 43654. [Google Scholar] [CrossRef]
- Pokharkar, K.; Ali Siddiki, A.; Chauhan, R.S. Design, Synthesis, and Molecular Docking of Pyrido[3,4-d] Pyrimidine Derivatives: Unveiling Their Anticancer Potential. ChemistrySelect 2025, 10, e01650. [Google Scholar] [CrossRef]
- El-Etrawy, A.S.; Ryad, N.; Fouda, A.; Sherbiny, F.F.; Abdel-Rahman, A.A.H.; Sakr, M.A.S. Design, Synthesis, Antimicrobial Evaluation, Molecular Docking, and Computational Studies of New 1,2,4-Triazolo[4,3-a] pyrimidin-5(1H)-one Derivatives. J. Fluoresc. 2025, 35, 11897–11914. [Google Scholar] [CrossRef]
- Hussain, A.O.; Hassan, A.Y.; Abdel-Aziem, A.; Abou-Amra, E.S. Synthesis, antimicrobial evaluation, and computational investigation of new triazine-based compounds via DFT and molecular docking. Sci. Rep. 2025, 15, 42921. [Google Scholar] [CrossRef] [PubMed]
- Elumalai, K.; Shanmugam, A.; Devaraji, M.; Srinivasan, S. Synthesis and molecular docking of pyrimidine derivatives as antibacterial agents. Carbon Resour. Convers. 2024, 7, 100222. [Google Scholar] [CrossRef]
- Benzenine, D.; Daoud, I.; Aissaoui, N.; Kibou, Z.; Seijas, J.A.; Vázquez-Tato, M.P.; Ziani-Cherif, C.; Belarbi, L.; Choukchou-Braham, N. Design, Synthesis, Molecular Docking, and ADME-Tox Investigations of Imidazo[1,2-a] Pyrimidines Derivatives as Antimicrobial Agents. Molecules 2024, 29, 5058. [Google Scholar] [CrossRef]
- Agrawal, M.; Kumar, A.; Singh, A.K.; Singh, H.; Narasimhan, B.; Kumar, P. Design, Synthesis, Molecular Docking, and Biological Evaluation of 7-Phenyl-5-(thiophen-2-yl) pyrido [2,3-d] pyrimidine-2,4(1H,3H)-diones as Antibacterial Agents. Curr. Top. Med. Chem. 2025. [Google Scholar] [CrossRef]
- Abdel Reheim, M.A.M.; Ghazal, B.; Abdel Hafiz, I.S.; Abdel Rady, H.; Elhagalic, G.A.M.; El-Gaby, M.S.A. Design, synthesis, characterization, structure-activity relationship, and molecular docking studies of novel 2,3-dihydro pyrimidin-4(5H)-one and pyrimido[5,4–c] pyridazine-4-carbonitrile derivatives with biological evaluation. J. Mol. Struct. 2024, 1318, 139113. [Google Scholar] [CrossRef]
- Jeelan, B.N.; Akshay, K.T. Design, Synthesis, Drug-Likeness, anti-Inflammatory, Antimicrobial Activity, and Molecular Docking Studies of Pyrimidine Analogs. Polycycl. Aromat. Compd. 2024, 44, 6957–6969. [Google Scholar] [CrossRef]
- Khalaf, H.S.; Abd El-Gwaad, A.A.; El-Sayed, A.F.; Awad, H.M.; Fayed, A.A. Synthesis, Molecular Docking, and Pharmacological Evaluations of Novel Pyrimidine Derivatives. Chem. Biodivers. 2025, 22, e202500477. [Google Scholar] [CrossRef]
- Qurban, J.; Alqarni, S.A.; Alalawy, A.I.; Alshammari, N.A.H.; Ashour, G.R.S.; Alnoman, M.M.; Katuah, H.A.; El-Metwaly, N.M. Antimicrobial activity, synthesis, and docking study of some novel arylazo-1,3-thiazolopyrimidine and arylazo-1,3-thiazolopyridopyrimidine derivatives. BMC Chem. 2025, 19, 148. [Google Scholar] [CrossRef] [PubMed]
- Alzahrani, A.Y.A.; Ghoneim, A.A.; Zordok, W.A.; Derafa, W. Synthesis, Characterization, DFT Analysis, and Antimicrobial Evaluation of Thiazolo[4,5-d]Pyrimidine and Thiazolo[4,5-b]Pyridine Derivatives. Int. J. Quantum Chem. 2025, 125, e70127. [Google Scholar] [CrossRef]
- Radwan, M.A.A.; Alshubramy, M.A.; Abdel-Motaal, M.; Hemdan, B.A. Synthesis, molecular docking and antimicrobial activity of new fused Pyrimidine and Pyridine derivatives. Bioorg. Chem. 2020, 96, 103516. [Google Scholar] [CrossRef]
- Javed, A.; Sapra, S.; Alam, A. Synthesis, antimicrobial activity, and docking study of some N3, N6-diphenylpyridazine-3,6- diamine derivatives as dihydrofolate reductase inhibitors. Int. J. Pharm. Investig. 2018, 8, 138–144. [Google Scholar]
- Abu-Hashem, A.A.; Hakami, O.; Amri, N.; Mukhrish, Y.E.; Abdelgawad, A.A.M. Synthesis of 1,3,5-Triazepines and Benzo [f] [1,3,5] triazepines and Their Biological Activity: Recent Advances and New Approaches. Molecules 2024, 29, 632. [Google Scholar] [CrossRef]
- Abu-Hashem, A.A.; Fathy, U.; Gouda, M.A. Synthesis of 1,2,4-Triazolopyridazines, Isoxazolofuropyridazines, and Tetrazolo-pyridazines as Antimicrobial Agents. J. Heterocycli. Chem. 2020, 57, 3461–3474. [Google Scholar] [CrossRef]
- Abu-Hashem, A.A.; Hakami, O.; Amri, N.; Mukhrish, Y.E.; Abdelgawad, A.A.M.; Yousif, M.N.M. Recent advances in the chemistry of oxadiazepine derivatives: A significant leap in synthetic heterocycles and biological activity. Mini-Rev. Org. Chem. 2025, 22, 801–817. [Google Scholar] [CrossRef]
- Al-Wahaibi, L.H.; Rabea, S.M.; Mahmoud, M.A.; Youssif, B.G.M.; Bräse, S.; Abdel-Aziz, S.A. Synthesis and Antimicrobial Evaluation of New 1,2,4-Triazolo[1,5-a] pyrimidine-Based Derivatives as Dual Inhibitors of Bacterial DNA Gyrase and DHFR. ACS Omega 2024, 9, 47261–47273. [Google Scholar] [CrossRef] [PubMed]
- Tian, G.; Song, Q.; Liu, Z.; Guo, J.; Cao, S.; Long, S. Recent advances in 1,2,3- and 1,2,4-triazole hybrids as antimicrobials and their SAR: A critical review. Eur. J. Med. Chem. 2023, 259, 115603. [Google Scholar] [CrossRef]
- Raval, K.; Ganatra, T. Basics, types and applications of molecular docking: A review. IP Int. J. Compr. Adv. Pharmacol. 2022, 7, 12–16. [Google Scholar] [CrossRef]
- Sroor, F.M.; El-Sayed, A.F.; Abdelraof, M. Design, synthesis, structure elucidation, antimicrobial, molecular docking, and SAR studies of novel urea derivatives bearing tricyclic aromatic hydrocarbon rings. Arch. Der Pharm. 2024, 357, 2300738. [Google Scholar] [CrossRef]
- Khaled, N.A.; Ahmed, N.S.; Abdelazem, A.Z.; Mohamed, N.A.; El-Sayed, A.F.; Ahmed, S.A. Design, synthesis, biological evaluation, in silico ADME prediction and molecular docking of pyrazole-benzamides as multitargeting protien kinase inhibitors. J. Mol. Struct. 2023, 1288, 135753. [Google Scholar] [CrossRef]
- Rønning, T.G.; Aas, C.G.; Støen, R.; Bergh, K.; Afset, J.E.; Holte, M.S.; Radtke, A. Investigation of an outbreak caused by antibiotic-susceptible Klebsiella oxytoca in a neonatal intensive care unit in Norway. Acta Paediatr. 2019, 108, 76–82. [Google Scholar] [CrossRef] [PubMed]
- Fotadar, U.; Zaveloff, P.; Terracio, L. Growth of Escherichia coli at elevated temperatures. J. Basic Microbiol. 2005, 45, 403–404. [Google Scholar] [CrossRef]
- Connolly, K.L.; Roberts, A.L.; Holder, R.C.; Reid, S.D. Dispersal of group a strep-tococcal biofilms by the cysteine protease SpeB leads to increased disease severity in a murine model. PLoS ONE 2011, 6, e18984. [Google Scholar] [CrossRef]
- Lowy, F.D. Staphylococcus aureus Infections. N. Engl. J. Med. 1998, 339, 520–532. [Google Scholar] [CrossRef]
- Pokhrel, S.; Boonmee, N.; Tulyaprawat, O.; Pharkjaksu, S.; Thaipisutikul, I.; Chairatana, P.; Ngamskulrungroj, P.; Mitrpant, C. Assessment of Biofilm Formation by Candida albicans Strains Isolated from Hemocultures and Their Role in Pathogenesis in the Zebrafish Model. J. Fungi 2022, 8, 1014. [Google Scholar] [CrossRef]
- Krizsan, K.; Toth, E.; Nagy, L.G.; Galgoczy, L.; Manikandan, P.; Chandrasekaran, M.; Kadaikunnan, S.; Alharbi, N.S.; Vágvölgyi, C.; Papp, T. Molecular identification and antifungal susceptibility of Curvularia australiensis, C. hawaiiensis and C. spicifera isolated from human eye infections. Mycoses 2015, 58, 603–609. [Google Scholar] [CrossRef]
- Zheng, L.; Zhao, J.; Liang, X.; Zhan, G.; Jiang, S.; Kang, Z. Identification of a Novel Alternaria alternata Strain Able to Hyperparasitize Puccinia striiformis f. sp. tritici, the Causal Agent of Wheat Stripe Rust. Front. Microbiol. 2017, 8, 71. [Google Scholar] [CrossRef] [PubMed]
- Ellena, V.; Bucchieri, D.; Arcalis, E.; Sauer, M.; Steiger, M.G. Sclerotia formed by citric acid-producing strains of Aspergillus niger: Induction and morphological analysis. Fungal Biol. 2021, 125, 485–494. [Google Scholar] [CrossRef]
- BIOVIA. Dassault Systèmes BIOVIA, Discovery Studio Modeling Environment; Dassault Systèmes: San Diego, CA, USA, 2017. [Google Scholar]
- O’Boyle, N.M.; Banck, M.; James, C.A.; Morley, C.; Vandermeersch, T.; Hutchison, G.R. Open Babel: An Open chemical toolbox. J. Cheminform. 2011, 3, 33. [Google Scholar] [CrossRef] [PubMed]
- Eberhardt, J.; Santos-Martins, D.; Tillack, A.F.; Forli, S. AutoDock Vina 1.2.0: New Docking Methods, Expanded Force Field, and Python Bindings. J. Chem. Inf. Model. 2021, 61, 3891–3898. [Google Scholar] [CrossRef] [PubMed]















| MIC (µmol mL−1) | ||||
|---|---|---|---|---|
| Compounds | Microorganisms | |||
| Gram-Negative Bacteria | Gram-Positive Bacteria | |||
| Klebsiella pneumoniae | E. coli | Streptococcus pyogenes | Staphylococcus aureus | |
| 1 | 21 | 23 | 25 | 27 |
| 2 | 18 | 20 | 22 | 24 |
| 3 | 13 | 15 | 16 | 17 |
| 4 | 12 | 14 | 15 | 16 |
| 5 | 8 | 7 | 8 | 9 |
| 6 | 4 | 3 | 3 | 4 |
| 7 | 5 | 4 | 4 | 5 |
| 8 | 3 | 2 | 2 | 3 |
| 9 | 2 | 2 | 1 | 2 |
| 10 | 1 | 1 | 1 | 2 |
| Cefotaxime sodium | 1 | 1 | 1 | 2 |
| Negative control | NI | NI | NI | NI |
| MIC (µmol mL−1) | ||||
|---|---|---|---|---|
| Compounds | Microorganisms | |||
| Candida albicans | Curvularia lunata | Alternaria alternata | Aspergillus niger | |
| 1 | 26 | 29 | 30 | 31 |
| 2 | 20 | 22 | 25 | 28 |
| 3 | 15 | 17 | 18 | 19 |
| 4 | 10 | 12 | 13 | 14 |
| 5 | 7 | 8 | 9 | 10 |
| 6 | 5 | 6 | 6 | 7 |
| 7 | 6 | 7 | 8 | 9 |
| 8 | 3 | 4 | 4 | 5 |
| 9 | 2 | 2 | 3 | 4 |
| 10 | 1 | 1 | 2 | 3 |
| Nystatin | 1 | 1 | 2 | 3 |
| Negative control | NI | NI | NI | NI |
| Protein | Ligand | 3D Structure | Hydrophilic Interactions | Hydrophobic Contacts | No. of H-Bonds | No. of Total Bonds | Affinity kcal mol−1 | |||
|---|---|---|---|---|---|---|---|---|---|---|
| Residue (H-Bond) | Length | Residue (Bond Type) | Length | |||||||
| 1 | GyraseB of B. pumilis (PDB: ID 4URM) | 6 | ![]() | Lys203, (H- Bond) Arg239, (H- Bond) | 2.02 2.16 | His55, (Pi–alkyl) Lys203, (Pi–alkyl) Arg239, (Pi–Cation) Phe172, (Pi–Pi Stacked) | 2.82 5.20 3.54 5.21 | 2 | 6 | −9.30 |
| 2 | 8 | ![]() | Arg52, (H- Bond) Arg239, (H- Bond) His241, (H- Bond) | 2.47 3.09 2.93 | Val49, (Carbon H. bond) | 3.55 | 3 | 4 | −9.30 | |
| 3 | 9 | ![]() | Arg239, (H- Bond) Asn11, (H- Bond) Asn11, (H- Bond) His241, (H- Bond) Arg52, (H- Bond) Ser50, (H- Bond) | 2.19 2.86 2.25 2.09 2.24 2.75 | Lys203, (Carbon H. bond) | 3.45 | 6 | 7 | −9.20 | |
| 10 | ![]() | His241, (H- Bond) Ser50, (H- Bond) Val49, (H- Bond) Lys203, (H- Bond) Asp84, (H- Bond) | 3.05 2.58 2.97 2.12 | Asp84, (Pi–cation) Asp84, (Carbon H. bond) | 5.46 3.53 | 5 | 7 | −9.10 | ||
| 4 | Cefotaxime | ![]() | Asn103, (H- Bond) Val49, (H- Bond) Arg239, (H- Bond) Arg202, (H- Bond) | 2.13 2.34 3.01 2.52 | Ile86, (Pi–sigma) Asp54, (Pi–Pi Stacked) | 3.58 4.72 | 1 | 3 | −7.10 | |
| NO | Protein | Ligand | 3D Structure | Hydrophilic Interactions | Hydrophobic Contacts | No. of H-Bonds | No. of Total Bonds | Affinity kcal mol−1 | ||
|---|---|---|---|---|---|---|---|---|---|---|
| Residue (H-Bond) | Length | Residue (Bond Type) | Length | |||||||
| 1 | DNA Gyrase of E. coli (PDB: ID 7P2M) | 6 | ![]() | Thr165, (H- Bond) Gly77, (H- Bond) Asn46, (H- Bond) | 3.32 2.99 2.45 | Arg76, (Pi–Cation) Val120, (alkyl) Ile78, (Pi–alkyl) Ile78, (Pi–alkyl) Ile94, (Pi–alkyl) | 4.07 4.96 5.06 2.66 4.69 | 3 | 8 | −7.60 |
| 2 | 8 | ![]() | - | - | Val120, (alkyl) Ile78, (Pi–alkyl) Ile78, (Pi–alkyl) Arg76, (Pi–Cation) Glu50, (Pi–Cation) | 4.25 4.94 5.73 4.34 4.11 | 0 | 5 | −7.40 | |
| 3 | 9 | ![]() | Arg76, (H- Bond) Thr165, (H- Bond) | 3.20 3.30 | Ile78, (Pi–Cation) Glu50, (Pi–Cation) Arg76, (alkyl) | 5.01 3.55 4.29 | 2 | 10 | −7.80 | |
| 4 | 10 | ![]() | - | - | Glu50, (Pi–cation) Glu50, (Pi–cation) Asp73, (Pi–Cation) Asn46, (Carbon–H bond) | 4.77 5.10 2.89 2.86 | 0 | 4 | −7.30 | |
| 5 | Cefotaxime | ![]() | Ala47, (H- Bond) Asn46, (H- Bond) Ser121, (H- Bond) Ile94, (H-Bond) | 2.75 2.40 2.64 1.95 | Ile78, (alkyl) Val120, (alkyl) Asp73, (Carbon–H bond) | 4.25 5.13 3.41 | 4 | 7 | −7.10 | |
| No | Protein | Ligand | 3D Structure | Hydrophilic Interactions | Hydrophobic Contacts | No. of H-Bonds | No. of Total Bonds | Affinity kcal mol−1 | ||
|---|---|---|---|---|---|---|---|---|---|---|
| Residue (H-Bond) | Length | Residue (Bond Type) | Length | |||||||
| 1 | Sortase A from Streptococcus pyogenes (PDB: ID 8T8G) | 6 | ![]() | - | - | Val206, (alkyl) Arg216, (alkyl) Leu113, (Pi–alkyl) Val191, (Carbon–H bond) Ala140, (alkyl) Met125, (alkyl) Val191, (Pi–sigma) Ile194,(alkyl) | 5.04 5.29 4.49 3.93 4.93 3.41 5.78 3.85 | 0 | 8 | −6.40 |
| 2 | 8 | ![]() | - | - | Val186, (alkyl) Val206, (alkyl) Val193, (Pi–alkyl) Pro188, (Carbon–H bond) Ile218, (alkyl) Ile194, (alkyl) Met125, (alkyl) Val191, (alkyl) | 4.80 4.68 4.11 5.45 4.06 5.27 4.01 3.37 | 0 | 8 | −6.80 | |
| 9 | ![]() | Val191, (H- Bond) Pro188, (H- Bond) Arg216, (H- Bond) | 2.88 2.70 1.38 | - | - | 3 | 3 | −6.10 | ||
| 10 | ![]() | Pro188, (H- Bond) | 2.53 | - | - | 1 | 1 | −6.00 | ||
| 6 | Cefotaxime | ![]() | Arg216, (H- Bond) Pro188, (H- Bond) Met125, (H- Bond) Met125, (H- Bond) Thr124, (H- Bond) | 2.47 2.16 1.87 2.66 2.25 | Leu113, (Pi–sigma) | 3.48 | 5 | 6 | −6.10 | |
| Protein | Ligand | 3D Structure | Hydrophilic Interactions | Hydrophobic Contacts | No. of H-Bonds | No. of Total Bonds | Affinity kcal mol−1 | |||
|---|---|---|---|---|---|---|---|---|---|---|
| Residue (H-Bond) | Length | Residue (Bond Type) | Length | |||||||
| 1 | KPC-2 carbapenemase of K. pneumoniae (PDB: ID 2OV5) | 6 | ![]() | Ser130 (H- Bond) Asn170 (H- Bond) | 2.67 2.58 | Trp105, (Pi–Pi shaped) Trp105, (Pi–alkyl) Trp105, (CH-bond) Asn132, (CH-bond) Leu167, (Pi–alkyl) | 3.93 5.27 3.43 3.17 5.47 | 2 | 7 | −8.10 |
| 2 | 8 | ![]() | Lys234, (H- Bond) Thr216, (H- Bond) Arg220, (H- Bond) Thr237, (H- Bond) | 2.48 2.22 2.56 1.89 | Trp105, (Pi–alkyl) His274, (Pi–alkyl) Ser130, (CH-bond) | 4.46 5.10 2.97 | 4 | 7 | −7.90 | |
| 3 | 9 | ![]() | Thr237, (H- Bond) Lys73, (H- Bond) Asn132, (H- Bond) Glu166, (H- Bond) | 2.70 2.80 2.25 2.88 | Trp105, (Pi–Pi shaped) | 5.24 | 4 | 10 | −8.90 | |
| 4 | 10 | ![]() | Ser70 (H- Bond) | 2.07 | Glu166, (Pi–cation) Glu166, (Pi–cation) Trp105, (CH-bond) | 3.09 3.00 3.04 | 1 | 4 | −7.30 | |
| 5 | Cefotaxime | ![]() | Lys73, (H- Bond) Ser70, (H- Bond) Thr237, (H- Bond) Thr235, (H- Bond) Thr215, (H- Bond) | 2.57 2.69 2.77 2.85 2.62 | Trp105, (Pi–alkyl) Trp105, (Sulfur) His219, (Pi–cation) | 3.76 4.86 4.75 | 5 | 8 | −7.40 | |
| NO | Protein | Ligand | 3D Structure | Hydrophilic Interactions | Hydrophobic Contacts | No. of H-Bonds | No. of Total Bonds | Affinity kcal mol−1 | ||
|---|---|---|---|---|---|---|---|---|---|---|
| Residue (H- Bond) | Length | Residue (Bond Type) | Length | |||||||
| 1 | A. niger Fdc1 (PDB:ID 4ZA5) | 6 | ![]() | Ile171, (H-Bond) Ile171, (H-Bond) Gln190, (H-Bond) | 2.00 2.77 2.24 | Ala172, (Pi–alkyl) Met283, (Pi–alkyl) Leu439, (Pi–alkyl) Ile171, (Pi–alkyl) Ile327, (Pi–sigma) | 4.96 4.39 5.20 3.78 3.65 | 3 | 8 | −12.40 |
| 2 | 8 | ![]() | - | - | Ile327, (Pi–sigma) Ile327, (Pi–alkyl) Ile171, (Pi–alkyl) Phe280, (Pi–alkyl) Arg173, (Pi–alkyl) Ile171, (Carbon H bond) | 3.62 4.56 3.85 5.18 3.96 3.64 | 0 | 6 | −12.0 | |
| 3 | 9 | ![]() | - | - | Thr323, (Pi–sigma) Ile171, (Pi–alkyl) Ile171, (Carbon H bond) | 3.67 5.10 3.32 | 0 | 3 | −9.00 | |
| 4 | 10 | ![]() | Ile171, (H-Bond) Ser223, (H-Bond) | 2.13 2.00 | - | - | 2 | 2 | −9.60 | |
| 5 | Nystatin | ![]() | Trp169, (H-Bond) Met225, (H-Bond) | 1.76 2.72 | Ala172, (Pi–alkyl) | 3.60 | 2 | 3 | −8.10 | |
| No | Protein | Ligand | 3D Structure | Hydrophilic Interactions | Hydrophobic Contacts | No. of H-Bonds | No. of Total Bonds | Affinity kcal mol−1 | ||
|---|---|---|---|---|---|---|---|---|---|---|
| Residue (H- Bond) | Length | Residue (Bond Type) | Length | |||||||
| 1 | Sterol 14-alpha demethylase of C. albicans (PDB:ID 5TZ1) | 6 | ![]() | - | - | Tyr118, (Pi–alkyl) Ile379, (Pi–alkyl) Phe105, (Pi–alkyl) Ile379, (Pi–alkyl) His468, (Pi–alkyl) Leu376, (Pi–sigma) Cys470, (Sulfur) | 3.63 4.97 5.18 5.44 5.47 4.95 4.92 4.20 | 0 | 7 | −7.50 |
| 2 | 8 | ![]() | Arg381, (H-Bond) Lys143, (H-Bond) | 2.53 3.00 | Phe463, (Carbon H bond) Ile471, (Pi–alkyl) Cys470, (Pi–alkyl) Cys470, (Pi–alkyl) Phe463, (Pi–alkyl) His468, (Pi–alkyl) | 3.19 5.14 4.64 3.91 5.43 2.11 | 2 | 8 | −7.60 | |
| 3 | 9 | ![]() | Leu376, (H-Bond) Thr311, (H-Bond) | 1.99 2.96 | Pro375, (Carbon H bond) Gly308, (Carbon H bond) Ile471, (Pi–alkyl) Ile304, (Pi–alkyl) Leu370, (Pi–alkyl) Ala476, (Pi–alkyl) Pro375, (Pi–alkyl) Thr311, (Pi–sigma) | 3.00 3.32 4.92 5.24 4.82 4.13 4.95 3.86 | 2 | 10 | −6.90 | |
| 4 | 10 | ![]() | Cys470, (H-Bond) Gln479, (H-Bond) | 2.96 2.83 | Gly472, (Carbon H bond) Thr311, (Carbon H bond) Cys470, (Pi–alkyl) Ala476, (Pi–alkyl) Gly308, (Pi–sigma) | 3.57 2.59 4.91 4.60 3.81 | 2 | 7 | −6.90 | |
| 5 | Nystatin | ![]() | Tyr460, (H-Bond) Gly303, (H-Bond) Ile304, (H-Bond) | 2.69 2.73 2.18 | Pro462, (Carbon H bond) Leu461, (Carbon H bond) Ser312, (Carbon H bond) Tyr460, (Pi–alkyl) Trp427, (Pi–alkyl) Ile471, (Pi–alkyl) Ile304, (Pi–alkyl) | 3.18 3.36 3.40 4.08 5.35 4.05 4.46 | 3 | 10 | −6.20 | |
| No | Protein | Ligand | 3D Structure | Hydrophilic Interactions | Hydrophobic Contacts | No. of H-Bonds | No. of Total Bonds | Affinity kcal mol−1 | ||
|---|---|---|---|---|---|---|---|---|---|---|
| Residue (H-Bond) | Length | Residue (Bond Type) | Length | |||||||
| 1 | AaTPS of Alternaria alternata (PDB:ID 6LCD) | 6 | ![]() | Asn392, (H-Bond) Asn307, (H-Bond) Val268, (H-Bond) | 2.57 2.60 1.73 | Phe149, (Pi–Pi Stacked) Phe149, (Pi–alkyl) Ile169, (Pi–alkyl) Ile153, (Pi–alkyl) Ile172, (Pi–alkyl) Ala269, (Pi–alkyl) | 4.54 4.51 4.86 5.06 3.86 4.03 | 3 | 9 | −8.40 |
| 2 | 8 | ![]() | Asn307, (H-Bond) Asn307, (H-Bond) Arg264, (H-Bond) | 2.33 2.77 2.68 | Phe149, (Carbon H bond) Leu273, (Pi–alkyl) Tyr272, (Pi–alkyl) Ile172, (Pi–alkyl) Ile169, (Pi–alkyl) | 3.26 4.77 4.56 3.94 5.10 | 3 | 8 | −8.50 | |
| 3 | 9 | ![]() | Asn307, (H-Bond) Asn307, (H-Bond) Val268, (H-Bond) | 2.18 2.28 2.79 | Phe146, (Pi–Pi Stacked) Phe149, (Pi–Pi Stacked) | 4.80 4.85 | 3 | 5 | −8.20 | |
| 4 | 10 | ![]() | Asn307, (H-Bond) Asp267, (H-Bond) | 2.15 2.52 | Asp267, (Pi–cation) Asp176, (Pi–cation) | 2.32 5.08 | 2 | 4 | −8.30 | |
| 5 | Nystatin | ![]() | Lys314, (H-Bond) Ser311, (H-Bond) Tyr260, (H-Bond) Tyr260, (H-Bond) Asp267, (H-Bond) Asp367, (H-Bond) Tyr263, (H-Bond) | 2.11 2.82 1.92 2.28 1.80 2.14 2.65 | His136, (Carbon H bond) Tyr263, (Pi–alkyl) | 3.01 5.44 | 7 | 9 | −7.50 | |
Disclaimer/Publisher’s Note: The statements, opinions and data contained in all publications are solely those of the individual author(s) and contributor(s) and not of MDPI and/or the editor(s). MDPI and/or the editor(s) disclaim responsibility for any injury to people or property resulting from any ideas, methods, instructions or products referred to in the content. |
© 2025 by the authors. Licensee MDPI, Basel, Switzerland. This article is an open access article distributed under the terms and conditions of the Creative Commons Attribution (CC BY) license.
Share and Cite
Amri, N.; Abu-Hashem, A.A. Design, Synthesis, Antimicrobial Activity and Molecular Docking of New 1,2,4-Triazepine, 1,3,4,6-Oxatriazepine and Pyridazino[1,2-a] Pyrimidine Derivatives. Pharmaceuticals 2026, 19, 83. https://doi.org/10.3390/ph19010083
Amri N, Abu-Hashem AA. Design, Synthesis, Antimicrobial Activity and Molecular Docking of New 1,2,4-Triazepine, 1,3,4,6-Oxatriazepine and Pyridazino[1,2-a] Pyrimidine Derivatives. Pharmaceuticals. 2026; 19(1):83. https://doi.org/10.3390/ph19010083
Chicago/Turabian StyleAmri, Nasser, and Ameen Ali Abu-Hashem. 2026. "Design, Synthesis, Antimicrobial Activity and Molecular Docking of New 1,2,4-Triazepine, 1,3,4,6-Oxatriazepine and Pyridazino[1,2-a] Pyrimidine Derivatives" Pharmaceuticals 19, no. 1: 83. https://doi.org/10.3390/ph19010083
APA StyleAmri, N., & Abu-Hashem, A. A. (2026). Design, Synthesis, Antimicrobial Activity and Molecular Docking of New 1,2,4-Triazepine, 1,3,4,6-Oxatriazepine and Pyridazino[1,2-a] Pyrimidine Derivatives. Pharmaceuticals, 19(1), 83. https://doi.org/10.3390/ph19010083




































