Efficacy and Safety of SA001 in Patients with Primary Sjögren’s Syndrome: A Randomized, Double-Blind, Placebo-Controlled Trial
Abstract
1. Introduction
2. Results
2.1. Participant Disposition
2.2. Baseline Characteristics
2.3. Efficacy
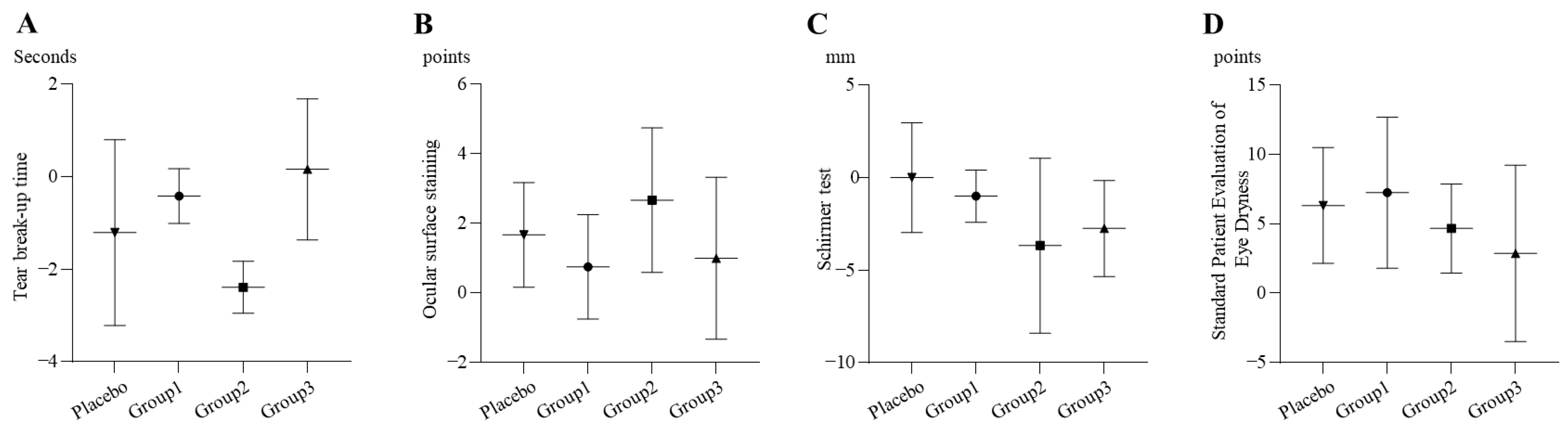
2.3.1. Dry Eye
TBUT
OSS
Schirmer Test
SPEED
2.3.2. Dry Mouth
The Unstimulated Whole Salivary Flow Rate
XI Questionnaire
2.3.3. Biomarkers
2.4. Safety
3. Discussion
4. Materials and Methods
4.1. Study Design
4.2. Participants and Eligibility
4.3. Efficacy Assessments
4.4. Safety Assessments
4.5. Statistical Analysis
5. Conclusions
Supplementary Materials
Author Contributions
Funding
Institutional Review Board Statement
Informed Consent Statement
Data Availability Statement
Acknowledgments
Conflicts of Interest
Abbreviations
| ACR | American College of Rheumatology |
| AE/AEs | Adverse Event(s) |
| ANA | Antinuclear Antibody |
| AUC | Area Under the (plasma) Concentration–Time Curve |
| BID | Twice Daily |
| CI | Confidence Interval(s) |
| CMC | Carboxymethylcellulose |
| Cmax | Maximum (plasma) Concentration |
| DEWS | Dry Eye Workshop |
| EULAR | European Alliance of Associations for Rheumatology |
| GCP | Good Clinical Practice |
| IgA | Immunoglobulin A |
| IgG | Immunoglobulin G |
| IRB | Institutional Review Board |
| KGCP | Korean Good Clinical Practice |
| MAD | Multiple Ascending Dose |
| MedDRA | Medical Dictionary for Regulatory Activities |
| MFDS | Ministry of Food and Drug Safety (Republic of Korea) |
| OSS | Ocular Surface Staining |
| pSS | Primary Sjögren’s Syndrome |
| PK | Pharmacokinetics |
| PT | Preferred Term (MedDRA term level) |
| RF | Rheumatoid Factor |
| RF-IgA | IgA Isotype of Rheumatoid Factor |
| SD | Standard Deviation |
| SjS | Sjögren’s Syndrome |
| SOC | System Organ Class |
| SPEED | Standard Patient Evaluation of Eye Dryness |
| SSA | Anti-Ro (SSA) Antibody |
| SSB | Anti-La (SSB) Antibody |
| TBUT | Tear Break-Up Time |
| TID | Three Times Daily |
| XI | Xerostomia Inventory |
References
- Qi, W.; Tian, J.; Wang, G.; Yan, Y.; Wang, T.; Wei, Y.; Wang, Z.; Zhang, G.; Zhang, Y.; Wang, J. Advances in cellular and molecular pathways of salivary gland damage in Sjogren’s syndrome. Front. Immunol. 2024, 15, 1405126. [Google Scholar] [CrossRef]
- Liao, J.; Yu, X.; Huang, Z.; He, Q.; Yang, J.; Zhang, Y.; Chen, J.; Song, W.; Luo, J.; Tao, Q. Chemokines and lymphocyte homing in Sjogren’s syndrome. Front. Immunol. 2024, 15, 1345381. [Google Scholar] [CrossRef]
- Brito-Zeron, P.; Baldini, C.; Bootsma, H.; Bowman, S.J.; Jonsson, R.; Mariette, X.; Sivils, K.; Theander, E.; Tzioufas, A.; Ramos-Casals, M. Sjogren syndrome. Nat. Rev. Dis. Primers 2016, 2, 16047. [Google Scholar] [CrossRef]
- Gong, H.; Qiu, X.; Li, P.; Zhao, R.; Wang, B.; Zhu, L.; Huo, X. Immune infiltration analysis reveals immune cell signatures in salivary gland tissue of primary Sjogren’s syndrome. Front. Med. 2023, 10, 1033232. [Google Scholar] [CrossRef]
- Van Nimwegen, J.F.; Moerman, R.V.; Sillevis Smitt, N.; Brouwer, E.; Bootsma, H.; Vissink, A. Safety of treatments for primary Sjogren’s syndrome. Expert Opin. Drug Saf. 2016, 15, 513–524. [Google Scholar] [CrossRef]
- Leverenz, D.L.; St Clair, E.W. Recent advances in the search for a targeted immunomodulatory therapy for primary Sjogren’s syndrome. F1000Research 2019, 8, 1532. [Google Scholar] [CrossRef]
- Fox, R.I.; Konttinen, Y.; Fisher, A. Use of muscarinic agonists in the treatment of Sjogren’s syndrome. Clin. Immunol. 2001, 101, 249–263. [Google Scholar] [CrossRef]
- Ramos-Casals, M.; Brito-Zeron, P.; Siso-Almirall, A.; Bosch, X.; Tzioufas, A.G. Topical and systemic medications for the treatment of primary Sjogren’s syndrome. Nat. Rev. Rheumatol. 2012, 8, 399–411. [Google Scholar] [CrossRef]
- Zhao, T.; Zhang, R.; Li, Z.; Qin, D.; Wang, X. Novel and potential future therapeutic options in Sjogren’s syndrome. Heliyon 2024, 10, e38803. [Google Scholar] [CrossRef]
- Horai, Y.; Kurushima, S.; Shimizu, T.; Nakamura, H.; Kawakami, A. A Review of the Current Clinical Aspects of Sjogren’s Disease: Geographical Difference, Classification/Diagnostic Criteria, Recent Advancements in Diagnostic Methods, and Molecular Targeted Therapy. J. Clin. Med. 2025, 14, 5577. [Google Scholar] [CrossRef]
- Brito-Zeron, P.; Retamozo, S.; Kostov, B.; Baldini, C.; Bootsma, H.; De Vita, S.; Dorner, T.; Gottenberg, J.E.; Kruize, A.A.; Mandl, T.; et al. Efficacy and safety of topical and systemic medications: A systematic literature review informing the EULAR recommendations for the management of Sjogren’s syndrome. RMD Open 2019, 5, e001064. [Google Scholar] [CrossRef] [PubMed]
- Ramos-Casals, M.; Brito-Zeron, P.; Bombardieri, S.; Bootsma, H.; De Vita, S.; Dorner, T.; Fisher, B.A.; Gottenberg, J.E.; Hernandez-Molina, G.; Kocher, A.; et al. EULAR recommendations for the management of Sjogren’s syndrome with topical and systemic therapies. Ann. Rheum. Dis. 2020, 79, 3–18. [Google Scholar] [CrossRef]
- Arakawa, T.; Higuchi, K.; Fujiwara, Y.; Watanabe, T.; Tominaga, K.; Sasaki, E.; Oshitani, N.; Yoshikawa, T.; Tarnawski, A.S. 15th anniversary of rebamipide: Looking ahead to the new mechanisms and new applications. Dig. Dis. Sci. 2005, 50 (Suppl. S1), S3–S11. [Google Scholar] [CrossRef]
- Kinoshita, S.; Awamura, S.; Oshiden, K.; Nakamichi, N.; Suzuki, H.; Yokoi, N.; Rebamipide Ophthalmic Suspension Phase, I.I.S.G. Rebamipide (OPC-12759) in the treatment of dry eye: A randomized, double-masked, multicenter, placebo-controlled phase II study. Ophthalmology 2012, 119, 2471–2478. [Google Scholar] [CrossRef]
- Kak, M. Rebamipide in gastric mucosal protection and healing: An Asian perspective. World J. Gastrointest. Pharmacol. Ther. 2025, 16, 101753. [Google Scholar] [CrossRef]
- Narala, A.; Guda, S.; Veerabrahma, K. Lipid Nanoemulsions of Rebamipide: Formulation, Characterization, and In Vivo Evaluation of Pharmacokinetic and Pharmacodynamic Effects. AAPS Pharm. Sci. Tech. 2019, 20, 26. [Google Scholar] [CrossRef]
- Bae, S.; Huh, K.Y.; Oh, J.; Yu, K.S.; Kim, A. Evaluation of Safety, Tolerability and Pharmacokinetic Characteristics of SA001 and Its Active Metabolite Rebamipide after Single and Multiple Oral Administration. Pharmaceuticals 2023, 16, 132. [Google Scholar] [CrossRef]
- Bowman, S.J.; Everett, C.C.; O’Dwyer, J.L.; Emery, P.; Pitzalis, C.; Ng, W.F.; Pease, C.T.; Price, E.J.; Sutcliffe, N.; Gendi, N.S.T.; et al. Randomized Controlled Trial of Rituximab and Cost-Effectiveness Analysis in Treating Fatigue and Oral Dryness in Primary Sjogren’s Syndrome. Arthritis Rheumatol. 2017, 69, 1440–1450. [Google Scholar] [CrossRef]
- Baer, A.N.; Gottenberg, J.E.; St Clair, E.W.; Sumida, T.; Takeuchi, T.; Seror, R.; Foulks, G.; Nys, M.; Mukherjee, S.; Wong, R.; et al. Efficacy and safety of abatacept in active primary Sjogren’s syndrome: Results of a phase III, randomised, placebo-controlled trial. Ann. Rheum. Dis. 2021, 80, 339–348. [Google Scholar] [CrossRef]
- Kudur, M.H.; Hulmani, M. Rebamipide: A Novel Agent in the Treatment of Recurrent Aphthous Ulcer and Behcet’s Syndrome. Indian J. Dermatol. 2013, 58, 352–354. [Google Scholar] [CrossRef]
- Akamatsu, T.; Nakamura, N.; Furuya, N.; Shimizu, T.; Gotou, A.; Kiyosawa, K.; Katsuyama, T.; Osumi, T.; Hirao, Y.; Miyamoto, G. Local gastric and serum concentrations of rebamipide following oral ingestion in healthy volunteers. Dig. Dis. Sci. 2002, 47, 1399–1404. [Google Scholar] [CrossRef] [PubMed]
- Shin, B.S.; Kim, C.H.; Jun, Y.S.; Yoon, C.H.; Rho, J.I.; Lee, K.C.; Han, H.S.; Yoo, S.D. Oral absorption and pharmacokinetics of rebamipide and rebamipide lysinate in rats. Drug Dev. Ind. Pharm. 2004, 30, 869–876. [Google Scholar] [CrossRef] [PubMed]
- Guo, Y.; Wang, Y.; Xu, L. Enhancedbioavailability of rebamipide nanocrystal tablets: Formulation and in vitro/in vivo evaluation. Asian J. Pharm. Sci. 2014, 10, 223–229. [Google Scholar]
- Novack, G.D.; Asbell, P.; Barabino, S.; Bergamini, M.V.W.; Ciolino, J.B.; Foulks, G.N.; Goldstein, M.; Lemp, M.A.; Schrader, S.; Woods, C.; et al. TFOS DEWS II Clinical Trial Design Report. Ocul. Surf. 2017, 15, 629–649. [Google Scholar] [CrossRef]
- Hwang, H.B.; Ku, Y.H.; Kim, E.C.; Kim, H.S.; Kim, M.S.; Hwang, H.S. Easy and effective test to evaluate tear-film stability for self-diagnosis of dry eye syndrome: Blinking tolerance time (BTT). BMC Ophthalmol. 2020, 20, 438. [Google Scholar] [CrossRef]
- Senchyna, M.; Wax, M.B. Quantitative assessment of tear production: A review of methods and utility in dry eye drug discovery. J. Ocul. Biol. Dis. Infor. 2008, 1, 1–6. [Google Scholar] [CrossRef]
- Savini, G.; Prabhawasat, P.; Kojima, T.; Grueterich, M.; Espana, E.; Goto, E. The challenge of dry eye diagnosis. Clin. Ophthalmol. 2008, 2, 31–55. [Google Scholar] [CrossRef]
- Rasmussen, A.; Stone, D.U.; Kaufman, C.E.; Hefner, K.S.; Fram, N.R.; Siatkowski, R.L.; Huang, A.J.W.; Chodosh, J.; Rasmussen, P.T.; Fife, D.A.; et al. Reproducibility of Ocular Surface Staining in the Assessment of Sjogren Syndrome-Related Keratoconjunctivitis Sicca: Implications on Disease Classification. ACR Open Rheumatol. 2019, 1, 292–302. [Google Scholar] [CrossRef]
- Walker, P.M.; Lane, K.J.; Ousler, G.W., 3rd; Abelson, M.B. Diurnal variation of visual function and the signs and symptoms of dry eye. Cornea 2010, 29, 607–612. [Google Scholar] [CrossRef]
- Imanaka, T.; Sato, I.; Tanaka, S.; Kawakami, K. Predictive factors for the placebo effect in clinical trials for dry eye: A pooled analysis of three clinical trials. Br. J. Ophthalmol. 2017, 101, 1471–1474. [Google Scholar] [CrossRef]
- Maslinska, M.; Manczak, M.; Kwiatkowska, B.; Ramsperger, V.; Shen, L.; Suresh, L. IgA immunoglobulin isotype of rheumatoid factor in primary Sjogren’s syndrome. Rheumatol. Int. 2021, 41, 643–649. [Google Scholar] [CrossRef]
- Sugai, S.; Takahashi, H.; Ohta, S.; Nishinarita, M.; Takei, M.; Sawada, S.; Yamaji, K.; Oka, H.; Umehara, H.; Koni, I.; et al. Efficacy and safety of rebamipide for the treatment of dry mouth symptoms in patients with Sjogren’s syndrome: A double-blind placebo-controlled multicenter trial. Mod. Rheumatol. 2009, 19, 114–124. [Google Scholar] [CrossRef] [PubMed][Green Version]
- Zhang, X.; Feng, R.; Zhao, J.; Wang, Y.; He, J.; Liu, L.; Cheng, Y.; Yao, H.; Tang, S.; Chen, J.; et al. Salivary gland ultrasonography in primary Sjogren’s syndrome from diagnosis to clinical stratification: A multicentre study. Arthritis Res. Ther. 2021, 23, 305. [Google Scholar] [CrossRef] [PubMed]
- Kinoshita, S.; Awamura, S.; Nakamichi, N.; Suzuki, H.; Oshiden, K.; Yokoi, N. Rebamipide Ophthalmic Suspension Phase II Study Group A multicenter, open-label, 52-week study of 2% rebamipide (OPC-12759) ophthalmic suspension in patients with dry eye. Am. J. Ophthalmol. 2014, 157, 576–583 e571. [Google Scholar] [CrossRef] [PubMed]
- Petrone, D.; Condemi, J.J.; Fife, R.; Gluck, O.; Cohen, S.; Dalgin, P. A double-blind, randomized, placebo-controlled study of cevimeline in Sjogren’s syndrome patients with xerostomia and keratoconjunctivitis sicca. Arthritis Rheum. 2002, 46, 748–754. [Google Scholar] [CrossRef]
- Cifuentes, M.; Del Barrio-Diaz, P.; Vera-Kellet, C. Pilocarpine and artificial saliva for the treatment of xerostomia and xerophthalmia in Sjogren syndrome: A double-blind randomized controlled trial. Br. J. Dermatol. 2018, 179, 1056–1061. [Google Scholar] [CrossRef]
- Nakagawa, Y. Management of dry mouth in Sjo¨gren’s syndrome. Jpn. Dent. Sci. Rev. 2011, 47, 115–123. [Google Scholar] [CrossRef]
- Ekici, E.; Caglar, C.; Akgumus, E.U. The Repeatability, Reproducibility, and Correlation of the Schirmer Test: A Comparison of Open versus Closed Eye. Korean J. Ophthalmol. 2022, 36, 306–312. [Google Scholar] [CrossRef]
- Quere, B.; Saraux, A.; Carvajal-Alegria, G.; Guellec, D.; Mouterde, G.; Lamotte, C.; Hammenfors, D.; Jonsson, M.; Choi, S.E.; Hong-Ki, M.; et al. Reliability Exercise of Ultrasound Salivary Glands in Sjogren’s Disease: An International Web Training Initiative. Rheumatol. Ther. 2024, 11, 411–423. [Google Scholar] [CrossRef]
- Rebel, D.; de Wolff, L.; Delli, K.; Stel, A.J.; Kokol, H.C.; Vissink, A.; Kroese, F.G.M.; Arends, S.; Bootsma, H. Added value of the salivary gland ultrasonography OMERACT score in the ACR/EULAR classification criteria for Sjogren’s disease. Semin. Arthritis Rheum. 2024, 67, 152473. [Google Scholar] [CrossRef]
- Jung, J.Y.; Kim, J.W.; Kim, H.A.; Suh, C.H. Salivary Biomarkers in Patients with Sjogren’s Syndrome—A Systematic Review. Int. J. Mol. Sci. 2021, 22, 12903. [Google Scholar] [CrossRef]
- Bachhuber, F.; Huss, A.; Senel, M.; Tumani, H. Diagnostic biomarkers in tear fluid: From sampling to preanalytical processing. Sci. Rep. 2021, 11, 10064. [Google Scholar] [CrossRef]
- Tsuboi, H.; Hagiwara, S.; Asashima, H.; Takahashi, H.; Hirota, T.; Noma, H.; Umehara, H.; Kawakami, A.; Nakamura, H.; Sano, H.; et al. Comparison of performance of the 2016 ACR-EULAR classification criteria for primary Sjogren’s syndrome with other sets of criteria in Japanese patients. Ann. Rheum. Dis. 2017, 76, 1980–1985. [Google Scholar] [CrossRef]



| Total | Group 1 | Group 2 | Group 3 | Placebo | p-Value | |||||||
|---|---|---|---|---|---|---|---|---|---|---|---|---|
| N = 28 | N = 8 | N = 5 | N = 9 | N = 6 | ||||||||
| N | % | N | % | N | % | N | % | N | % | |||
| Sex (N, %) | Male | 0 | 0.00 | 0 | 0.00 | 0 | 0.00 | 0 | 0.00 | 0 | 0.00 | - |
| Female | 28 | 100.00 | 8 | 100.00 | 5 | 100.00 | 9 | 100.00 | 6 | 100.00 | ||
| Age (years) | Mean | 58.54 | 56.13 | 66.00 | 60.00 | 53.33 | 0.1113 | |||||
| SD | 9.29 | 11.47 | 6.96 | 4.09 | 10.71 | |||||||
| Median | 59.00 | 56.00 | 66.00 | 59.00 | 53.50 | |||||||
| Min | 41.00 | 42.00 | 56.00 | 53.00 | 41.00 | |||||||
| Max | 75.00 | 75.00 | 75.00 | 67.00 | 69.00 | |||||||
| Height (cm) | Mean | 158.28 | 160.21 | 157.56 | 156.46 | 159.02 | 0.5278 | |||||
| SD | 5.30 | 4.74 | 7.47 | 3.94 | 6.12 | |||||||
| Median | 157.70 | 160.45 | 157.20 | 157.00 | 160.10 | |||||||
| Min | 150.00 | 154.20 | 150.20 | 150.00 | 150.20 | |||||||
| Max | 169.20 | 166.20 | 169.20 | 162.50 | 165.00 | |||||||
| Weight (kg) | Mean | 55.08 | 60.79 | 49.60 | 55.66 | 51.15 | 0.1040 | |||||
| SD | 9.18 | 8.30 | 6.87 | 10.88 | 5.49 | |||||||
| Median | 52.65 | 59.55 | 51.80 | 51.40 | 50.25 | |||||||
| Min | 40.20 | 51.00 | 40.20 | 46.10 | 45.00 | |||||||
| Max | 76.10 | 74.60 | 58.00 | 76.10 | 60.50 | |||||||
| History of punctal occlusion or other treatments, procedures, or surgeries for symptom improvement | Yes | 14 | 50.00 | 4 | 50.00 | 3 | 60.00 | 3 | 33.33 | 4 | 66.67 | 0.6233 |
| No | 14 | 50.00 | 4 | 50.00 | 2 | 40.00 | 6 | 66.67 | 2 | 33.33 | ||
| Group 1 | Group 2 | Group 3 | Placebo | p-Value | ||||||
|---|---|---|---|---|---|---|---|---|---|---|
| N = 4 | N = 3 | N = 8 | N = 6 | |||||||
| Mean | SD | Mean | SD | Mean | SD | Mean | SD | |||
| Visit 2 | 1.44 | 0.04 | 1.41 | 0.15 | 1.29 | 0.04 | 1.42 | 0.23 | 0.2420 | |
| Visit 4 | 1.47 | 0.25 | 1.37 | 0.20 | 1.33 | 0.13 | 1.35 | 0.24 | 0.7281 | |
| Δ (Visit 2–Visit 4) | −0.03 | 0.22 | 0.04 | 0.08 | −0.04 | 0.12 | 0.07 | 0.20 | 0.6240 | |
| N | % | N | % | N | % | N | % | |||
| Visit 2 | Positive | 4 | 100.00 | 3 | 100.00 | 8 | 100.00 | 6 | 100.00 | - |
| Negative | 0 | 0.00 | 0 | 0.00 | 0 | 0.00 | 0 | 0.00 | ||
| Visit 4 | Positive | 4 | 100.00 | 3 | 100.00 | 8 | 100.00 | 5 | 83.33 | 0.6190 |
| Negative | 0 | 0.00 | 0 | 0.00 | 0 | 0.00 | 1 | 16.67 | ||
| SOC/PT | Total | Group 1 | Group 2 | Group 3 | Placebo | |||||
|---|---|---|---|---|---|---|---|---|---|---|
| N = 28 | N = 8 | N = 5 | N = 9 | N = 6 | ||||||
| Adverse Events | N | % | N | % | N | % | N | % | N | % |
| Ear and labyrinth disorders | 1 | 16.67 | 1 | 100.00 | 0 | 0.00 | 0 | 0.00 | 0 | 0.00 |
| Deafness neurosensory | 1 | 16.67 | 1 | 100.00 | 0 | 0.00 | 0 | 0.00 | 0 | 0.00 |
| Eye disorders | 2 | 33.33 | 0 | 0.00 | 0 | 0.00 | 2 | 100.00 | 0 | 0.00 |
| Eye pain | 2 | 33.33 | 0 | 0.00 | 0 | 0.00 | 2 | 100.00 | 0 | 0.00 |
| Musculoskeletal and connective tissue disorders | 1 | 16.67 | 0 | 0.00 | 1 | 50.00 | 0 | 0.00 | 0 | 0.00 |
| Periarthritis | 1 | 16.67 | 0 | 0.00 | 1 | 50.00 | 0 | 0.00 | 0 | 0.00 |
| Renal and urinary disorders | 1 | 16.67 | 0 | 0.00 | 0 | 0.00 | 0 | 0.00 | 1 | 100.00 |
| Nephrolithiasis | 1 | 16.67 | 0 | 0.00 | 0 | 0.00 | 0 | 0.00 | 1 | 100.00 |
| Respiratory, thoracic. and mediastinal disorders | 1 | 16.67 | 0 | 0.00 | 1 | 50.00 | 0 | 0.00 | 0 | 0.00 |
| Dyspnea | 1 | 16.67 | 0 | 0.00 | 1 | 50.00 | 0 | 0.00 | 0 | 0.00 |
Disclaimer/Publisher’s Note: The statements, opinions and data contained in all publications are solely those of the individual author(s) and contributor(s) and not of MDPI and/or the editor(s). MDPI and/or the editor(s) disclaim responsibility for any injury to people or property resulting from any ideas, methods, instructions or products referred to in the content. |
© 2026 by the authors. Licensee MDPI, Basel, Switzerland. This article is an open access article distributed under the terms and conditions of the Creative Commons Attribution (CC BY) license.
Share and Cite
Park, J.; Seo, K.Y.; Ahn, H.; Shin, Y.; Jun, I.; Kim, T.-i.; Shin, B.K.; Yoon, D.-Y.; Lee, S.-M. Efficacy and Safety of SA001 in Patients with Primary Sjögren’s Syndrome: A Randomized, Double-Blind, Placebo-Controlled Trial. Pharmaceuticals 2026, 19, 189. https://doi.org/10.3390/ph19010189
Park J, Seo KY, Ahn H, Shin Y, Jun I, Kim T-i, Shin BK, Yoon D-Y, Lee S-M. Efficacy and Safety of SA001 in Patients with Primary Sjögren’s Syndrome: A Randomized, Double-Blind, Placebo-Controlled Trial. Pharmaceuticals. 2026; 19(1):189. https://doi.org/10.3390/ph19010189
Chicago/Turabian StylePark, Jaewon, Kyoung Yul Seo, Hyunmin Ahn, Yearim Shin, Ikhyun Jun, Tae-im Kim, Bum Kyu Shin, Da-Young Yoon, and Soo-Min Lee. 2026. "Efficacy and Safety of SA001 in Patients with Primary Sjögren’s Syndrome: A Randomized, Double-Blind, Placebo-Controlled Trial" Pharmaceuticals 19, no. 1: 189. https://doi.org/10.3390/ph19010189
APA StylePark, J., Seo, K. Y., Ahn, H., Shin, Y., Jun, I., Kim, T.-i., Shin, B. K., Yoon, D.-Y., & Lee, S.-M. (2026). Efficacy and Safety of SA001 in Patients with Primary Sjögren’s Syndrome: A Randomized, Double-Blind, Placebo-Controlled Trial. Pharmaceuticals, 19(1), 189. https://doi.org/10.3390/ph19010189

