Synthesis, Anti-Inflammatory, and Molecular Docking Studies of New Heterocyclic Derivatives Comprising Pyrazole, Pyridine, and/or Pyran Moieties
Abstract
1. Introduction
2. Results and Discussion
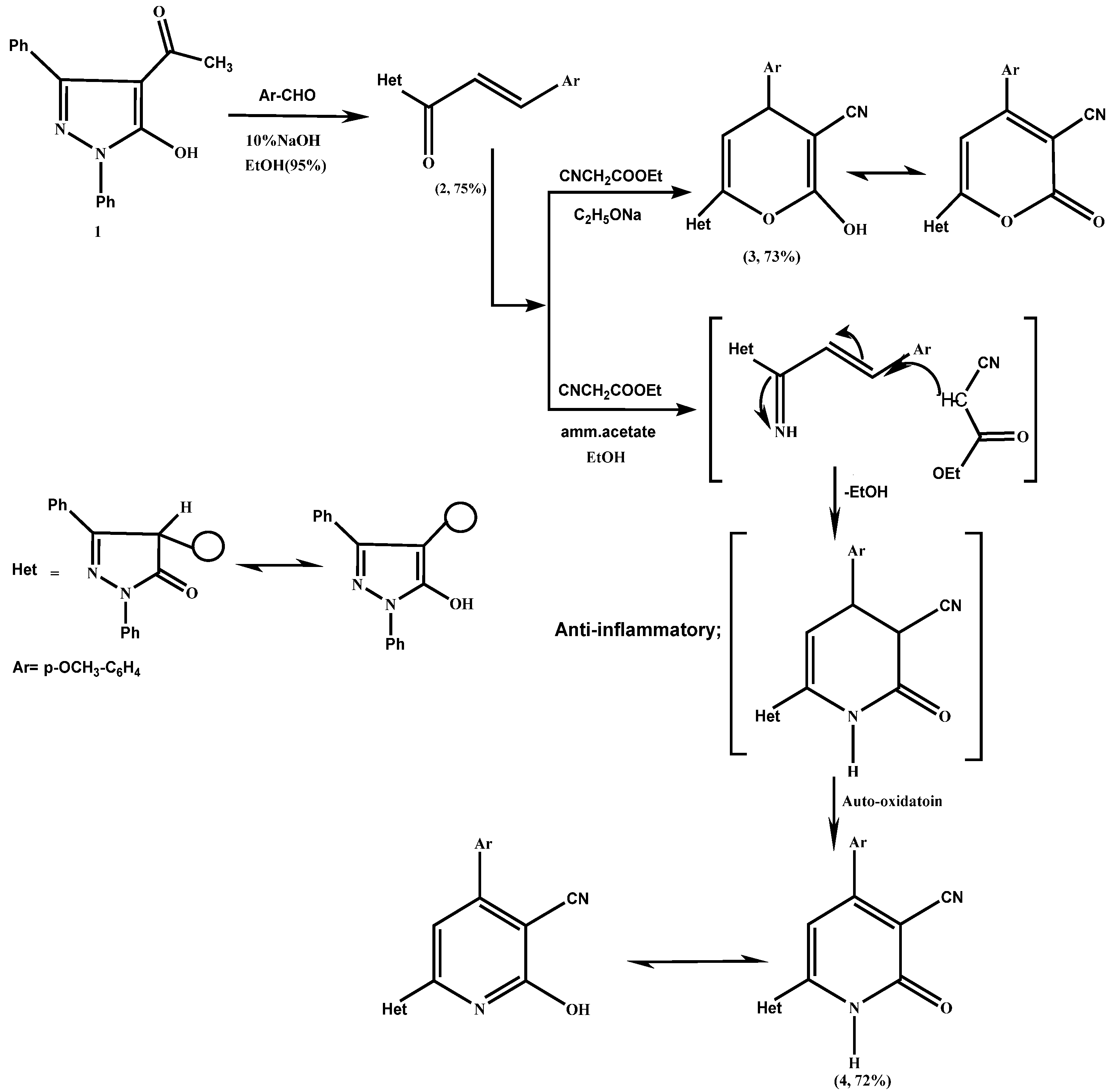
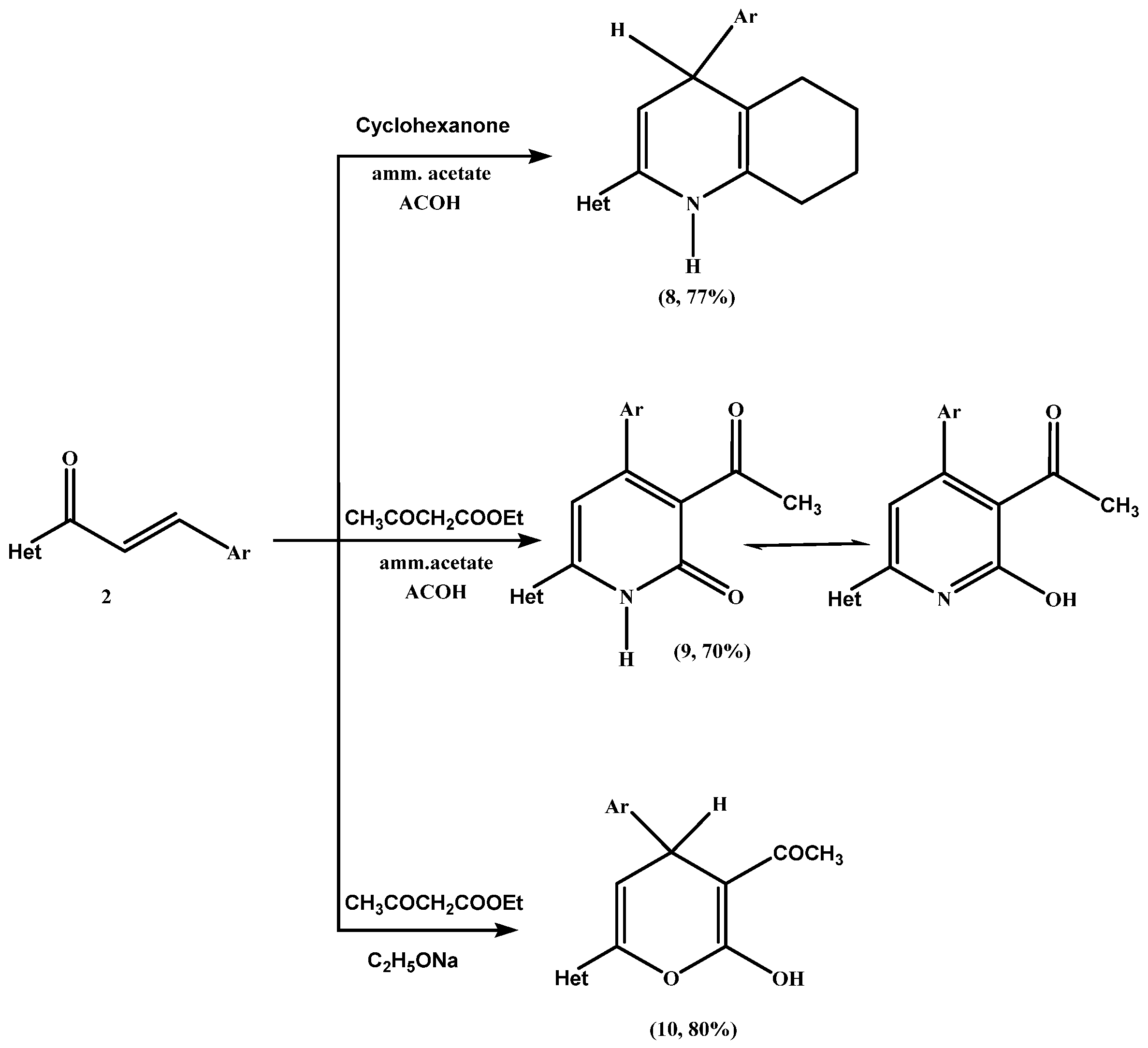
2.1. Chemistry
2.2. In Vitro Inflammation Screening
2.2.1. Protein Denaturation Inhibition
2.2.2. Cell Membrane Protection Assay
2.2.3. Quantitative Gene Expression Assessment
2.3. Computational Studies
- The electron-donating groups such as hydroxyl (-OH) [30] and methoxy (-OCH3) enhance the hydrogen bonding interactions with the binding site pockets of COX-2, leading to stronger enzyme inhibition. In addition, they also improve the solubility and bioavailability, increasing cellular uptake and efficacy.
- The presence of the amino group enhances the binding affinity to COX-2 by forming additional hydrogen bonding with the active site residues. Further, it also influences lipophilicity.
- The -CONHNH2 moiety provides further hydrogen bonding sites, enhancing the overall inhibitory mechanism.
- The aromatic systems contribute to arene–arene stacking with hydrophobic residues in COX-2, increasing their affinity and inhibitory potential.
3. Materials and Methods
3.1. Chemistry
3.2. In Vitro Inflammation Screening
3.2.1. Protein Denaturation Inhibition
3.2.2. Cell Membrane Protection Assay
3.2.3. Quantitative Gene Expression Assessment
3.2.4. Statistical Analysis
3.3. Docking Studies
4. Conclusions
Supplementary Materials
Author Contributions
Funding
Institutional Review Board Statement
Informed Consent Statement
Data Availability Statement
Acknowledgments
Conflicts of Interest
References
- Mendez-Encinas, M.A.; Valencia, D.; Ortega-García, J.; Carvajal-Millan, E.; Díaz-Ríos, J.C.; Mendez-Pfeiffer, P.; Soto-Bracamontes, C.M.; Garibay-Escobar, A.; Alday, E.; Velazquez, C. Anti-Inflammatory Potential of Seasonal Sonoran Propolis Extracts and Some of Their Main Constituents. Molecules 2023, 28, 4496. [Google Scholar] [CrossRef] [PubMed]
- Hasan, M.M.; Islam, M.E.; Hossain, M.S.; Akter, M.; Rahman, M.A.A.; Kazi, M.; Khan, S.; Parvin, M.S. Unveiling the therapeutic potential: Evaluation of anti-inflammatory and antineoplastic activity of Magnolia champaca Linn’s stem bark isolate through molecular docking insights. Heliyon 2024, 10, e22972. [Google Scholar] [CrossRef] [PubMed]
- Sheshachalam, A.; Srivastava, N.; Mitchell, T.; Lacy, P.; Eitzen, G. Granule protein processing and regulated secretion in neutrophils. Front. Immunol. 2014, 5, 448. [Google Scholar] [CrossRef] [PubMed]
- Zhang, Z.; Yue, P.; Lu, T.; Wang, Y.; Wei, Y.; Wei, X. Role of lysosomes in physiological activities, diseases, and therapy. J. Hematol. Oncol. 2021, 14, 79. [Google Scholar] [CrossRef]
- Anosike, C.A.; Obidoa, O.; Ezeanyika, L.U. Membrane stabilization as a mechanism of the anti-inflammatory activity of methanol extract of garden egg (Solanum aethiopicum). DARU J. Pharm. Sci. 2012, 20, 1. [Google Scholar] [CrossRef]
- Yoshida, T.; Prudent, M.; D’Alessandro, A. Red blood cell storage lesion: Causes and potential clinical consequences. Blood Transfus. 2019, 17, 27–52. [Google Scholar] [CrossRef]
- Medeiros-Albuquerque, A.F.; Roriz-Fonteles, C.S.; do Nascimento-Costa, J.J.; Viana-Silva, J.R.; de Barros-Silva, P.G.; Studart-Soares, E.C.; Chaves, F.N.; Alves-Pereira, K.M.; Ribeiro, T.R.; Gurgel-Costa, F.W. RT-qPCR study of COX-1 and-2 genes in oral surgical model comparing single-dose preemptive ibuprofen and etoricoxib: A randomized clinical trialy. J. Clin. Exp. Dent. 2020, 12, e371–e380. [Google Scholar] [CrossRef]
- Kharwar, A.; Mishra, A.; Singh, V.K.; Tiwari, A.K. In silico approach to design new cyclooxygenase-2 (COX-2) inhibitors based on MM/QM and ADMET analysis. Chem. Phys. Impact 2024, 8, 100509. [Google Scholar] [CrossRef]
- Abad, N.; Buhlak, S.; Hajji, M.; Saffour, S.; Akachar, J.; Kesgun, Y.; Al-Ghulikah, H.; Hanashalshahaby, E.; Turkez, H.; Mardinoglu, A. Unveiling structural features, chemical reactivity, and bioactivity of a newly synthesized purine derivative through crystallography and computational approaches. J. Mol. Struct. 2024, 1311, 138400. [Google Scholar] [CrossRef]
- Hawash, M.; Jaradat, N.; Abualhasan, M.; Şüküroğlu, M.K.; Qaoud, M.T.; Kahraman, D.C.; Daraghmeh, H.; Maslamani, L.; Sawafta, M.; Ratrout, A.; et al. Design, synthesis, molecular docking studies and biological evaluation of thiazole carboxamide derivatives as COX inhibitors. BMC Chem. 2023, 17, 11. [Google Scholar] [CrossRef]
- Gandhi, J.; Khera, L.; Gaur, N.; Paul, C.; Kaul, R. Role of modulator of inflammation cyclooxygenase-2 in gammaherpesvirus mediated tumorigenesis. Front. Microbiol. 2017, 8, 538. [Google Scholar] [CrossRef] [PubMed]
- Orlando, B.J.; Malkowski, M.G. Crystal structure of rofecoxib bound to human cyclooxygenase-2. Acta Crystallogr. Sect. Struct. Biol. Commun. 2016, 72, 772–776. [Google Scholar] [CrossRef]
- Holt, C.I.; Hutchins, M.O.; Pileggi, R. A Real Time Quantitative PCR Analysis and Correlation of COX-1 and COX-2 Enzymes in Inflamed Dental Pulps Following Administration of Three Different NSAIDs. J. Endod. 2005, 31, 799–804. [Google Scholar] [CrossRef] [PubMed]
- Gomha, S.M.; Edrees, M.M.; Altalbawy, F.M.A. Synthesis and characterization of some new bis-pyrazolyl-thiazoles incorporating the thiophene moiety as potent anti-tumor agents. Int. J. Mol. Sci. 2016, 17, 1499. [Google Scholar] [CrossRef] [PubMed]
- Reheim, M.A.M.A.; Hafiz, I.S.A.; Rady, H.S.E.A. Utility of Diketone in Heterocyclic Synthesis: Synthesis of New Substituted Pyrimidines and Fused Pyrimidine of Potential Biosignificant Interest. Curr. Org. Synth. 2018, 15, 1171–1181. [Google Scholar] [CrossRef]
- El-Naggar, M.; Rashdan, H.R.M.; Abdelmonsef, A.H. Cyclization of Chalcone Derivatives: Design, Synthesis, In Silico Docking Study, and Biological Evaluation of New Quinazolin-2,4-diones Incorporating Five-, Six-, and Seven-Membered Ring Moieties as Potent Antibacterial Inhibitors. ACS Omega 2023, 8, 27216–27230. [Google Scholar] [CrossRef]
- Nepali, K.; Sharma, S.; Sharma, M.; Bedi, P.M.S.; Dhar, K.L. Rational approaches, design strategies, structure activity relationship and mechanistic insights for anticancer hybrids. Eur. J. Med. Chem. 2014, 77, 422–487. [Google Scholar] [CrossRef]
- Herencia, F.; Ferrándiz, M.L.; Ubeda, A.; Domínguez, J.; Charris, J.E.; Lobo, G.M.; Alcaraz, M.J. Synthesis and anti-inflammatory activity of chalcone derivatives. Bioorg. Med. Chem. Lett. 1998, 8, 1169–1174. [Google Scholar] [CrossRef]
- Bułakowska, A.; Sławiński, J.; Hering, A.; Gucwa, M.; Ochocka, J.R.; Hałasa, R.; Balewski, Ł.; Stefanowicz-Hajduk, J. New Chalcone Derivatives Containing 2,4-Dichlorobenzenesulfonamide Moiety with Anticancer and Antioxidant Properties. Int. J. Mol. Sci. 2024, 25, 274. [Google Scholar] [CrossRef]
- Okolo, E.N.; Ugwu, D.I.; Ezema, B.E.; Ndefo, J.C.; Eze, F.U.; Ezema, C.G.; Ezugwu, J.A.; Ujam, O.T. New chalcone derivatives as potential antimicrobial and antioxidant agent. Sci. Rep. 2021, 11, 21781. [Google Scholar] [CrossRef]
- Yadav, A.; Sharma, V.; Singh, G. Anti-Inflammatory Potential of Chalcone Related Compounds: An Updated Review. ChemistrySelect 2024, 9, e202401321. [Google Scholar] [CrossRef]
- Karrouchi, K.; Radi, S.; Ramli, Y.; Taoufik, J.; Mabkhot, Y.N.; Al-Aizari, F.A.; Ansar, M. Synthesis and pharmacological activities of Pyrazole derivatives: A review. Molecules 2018, 23, 134. [Google Scholar] [CrossRef] [PubMed]
- Pawar, D.C.; Gaikwad, S.V.; Kamble, S.S.; Gavhane, P.D.; Gaikwad, M.V.; Dawane, B.S. Design, Synthesis, Docking and Biological Study of Pyrazole-3,5-diamine Derivatives with Potent Antitubercular Activity. Chem. Methodol. 2022, 6, 677–690. [Google Scholar] [CrossRef]
- Gaikwad, S.; Kováčiková, L.; Pawar, P.; Gaikwad, M.; Boháč, A.; Dawane, B. An updates: Oxidative aromatization of THβC to β-carbolines and their application for the β-carboline alkaloids synthesis. Tetrahedron 2024, 155, 133903. [Google Scholar] [CrossRef]
- Abdel Reheim, M.A.M.; Abdel Hafiz, I.S.; Reffat, H.M.; Abdel Rady, H.S.; Shehadi, I.A.; Rashdan, H.R.M.; Hassan, A.; Abdelmonsef, A.H. New 1,3-diphenyl-1H-pyrazol-5-ols as anti-methicillin resistant Staphylococcus aureus agents: Synthesis, antimicrobial evaluation and in silico studies. Heliyon 2024, 10, e33160. [Google Scholar] [CrossRef]
- Mohamed, S.F.; Youssef, M.M.; Amr, A.E.G.E.; Kotb, E.R. Antimicrobial activities of some synthesized pyridines, oxazines and thiazoles from 3-aryl-1-(2-naphthyl)prop-2-en-1-ones. Sci. Pharm. 2008, 76, 279–303. [Google Scholar] [CrossRef]
- Albratty, M.; Alhazmi, H.A. Novel pyridine and pyrimidine derivatives as promising anticancer agents: A review. Arab. J. Chem. 2022, 15, 103846. [Google Scholar] [CrossRef]
- Radini, I.A.M. Design, synthesis, and antimicrobial evaluation of novel pyrazoles and pyrazolyl 1,3,4-thiadiazine derivatives. Molecules 2018, 23, 2092. [Google Scholar] [CrossRef]
- Selvaraj, J. Molecular docking analysis of COX-2 for potential inhibitors. Bioinformation 2020, 16, 753–758. [Google Scholar] [CrossRef]
- Salem, M.A.I.; Marzouk, M.I.; El-Kazak, A.M. Synthesis and characterization of some new coumarins with in vitro antitumor and antioxidant activity and high protective effects against DNA damage. Molecules 2016, 21, 249. [Google Scholar] [CrossRef]
- Abdelmonsef, A.H.; Abdelhakeem, M.A.; Mosallam, A.M.; Temairk, H.; El-Naggar, M.; Okasha, H.; Rashdan, H.R.M. A search for antiinflammatory therapies: Synthesis, in silico investigation of the mode of action, and in vitro analyses of new quinazolin-2,4-dione derivatives targeting phosphodiesterase-4 enzyme. J. Heterocycl. Chem. 2022, 59, 474–492. [Google Scholar] [CrossRef]
- Salman, F.H.; Hassan, E.A.; Mohamed, M.A.; Sherif, S.A.; Moharib, M.N.; El Azeem, E.M.A. Evaluation of the Potential Therapeutic Anti-inflammatory, Anti- proliferative and Apoptotic Effects of Viburnum tinus Leaves Different Extracts. Egypt. J. Chem. 2022, 65, 95–110. [Google Scholar] [CrossRef]
- O’Boyle, N.M.; Banck, M.; James, C.A.; Morley, C.; Vandermeersch, T.; Hutchison, G.R. Open Babel: An Open chemical toolbox. J. Cheminform. 2011, 3, 33. [Google Scholar] [CrossRef] [PubMed]
- Brooks, B.R.; Brooks, C.L.; Mackerell, A.D.; Nilsson, L.; Petrella, R.J.; Roux, B.; Won, Y.; Archontis, G.; Bartels, C.; Boresch, S.; et al. CHARMM: The biomolecular simulation program. J. Comput. Chem. 2009, 30, 1545–1614. [Google Scholar] [CrossRef]
- Rappe, A.K.; Casewit, C.J.; Colwell, K.S.; Goddard, W.A.I.I.I.; Skiff, W.M. UFF, a full periodic table force field for molecular mechanics and molecular dynamics simulations. J. Am. Chem. Soc. 1992, 114, 10024–10035. [Google Scholar] [CrossRef]
- Dallakyan, S.; Olson, A.J. Small-Molecule Library Screening by Docking with PyRx. In Chemical Biology; Springer: Berlin/Heidelberg, Germany, 2015; pp. 243–250. [Google Scholar] [CrossRef]
- Daina, A.; Michielin, O.; Zoete, V. SwissADME: A free web tool to evaluate pharmacokinetics, drug-likeness and medicinal chemistry friendliness of small molecules. Sci. Rep. 2017, 7, 42717. [Google Scholar] [CrossRef]
- Yang, H.; Lou, C.; Sun, L.; Li, J.; Cai, Y.; Wang, Z.; Li, W.; Liu, G.; Tang, Y. AdmetSAR 2.0: Web-service for prediction and optimization of chemical ADMET properties. Bioinformatics 2019, 35, 1067–1069. [Google Scholar] [CrossRef]








| 50 µg/mL | 100 µg/mL | 250 µg/mL | 500 µg/mL | |
|---|---|---|---|---|
| Diclofenac | 21.8 ± 1.2 | 52.9 ± 2.1 | 76.5 ± 1.5 | 94.5 ± 2.1 |
| 2 | 91.7 ± 0.09 | 96.58 ± 0.8 | 97.56 ± 0.08 | 98.37 ± 0.1 |
| 3 | 87.64 ± 0.23 | 92.03 ± 0.1 | 96.42 ± 0.05 | 100 ± 0.09 |
| 4 | 90.24 ± 0.12 | 90.93 ± 0.32 | 91.2 ± 0.1 | 91.62 ± 0.22 |
| 5 | 82.6 ± 0.15 | 95.28 ± 0.17 | 100 ± 0.07 | 100 ± 0.1 |
| 6 | 97.56 ± 0.09 | 99.67 ± 0.63 | 100 ± 0.06 | 100 ± 0.08 |
| 7 | 91.3 ± 0.01 | 91.54 ± 0.5 | 96.66 ± 0.23 | 100 ± 0.2 |
| 8 | 92.52 ± 0.08 | 100 ± 0.77 | 100 ± 0.79 | 100 ± 0.67 |
| 9 | 75.6 ± 0.3 | 98.94 ± 0.08 | 100 ± 0.79 | 100 ± 0.6 |
| 10 | 94.71 ± 0.21 | 100 ± 0.08 | 100 ± 0.88 | 100 ± 0.88 |
| 11 | 100 ± 0.88 | 100 ± 0.48 | 100 ± 0.66 | 100 ± 0.06 |
| 12 | 100 ± 0.49 | 100 ± 0.78 | 100 ± 0.89 | 100 ± 0.57 |
| 13 | 97.31 ± 0.26 | 100 ± 0.2 | 100 ± 0.05 | 100 ± 0.03 |
| 14 | 100 ± 0.07 | 100 ± 0.01 | 100 ± 0.44 | 100 ± 0.56 |
| 15 | 96.99 ± 0.19 | 100 ± 0.03 | 100 ± 0.56 | 100 ± 0.75 |
| 50 µg/mL | 100 µg/mL | 250 µg/mL | 500 µg/mL | |
|---|---|---|---|---|
| Diclofenac | 2 ± 0.3 | 10 ± 0.77 | 22 ± 0.36 | 46 ± 0.9 |
| 2 | 99.92 ± 0.38 | 100 ± 0.49 | 100 ± 0.34 | 100 ± 0.09 |
| 3 | 99.9 ± 0.69 | 100 ± 0.55 | 100 ± 0.99 | 100 ± 0.25 |
| 4 | 100 ± 0.1 | 100 ± 0.09 | 100 ± 0.39 | 100 ± 0.08 |
| 5 | 99.83 ± 0.3 | 99.89 ± 0.05 | 100 ± 0.03 | 100 ± 0.88 |
| 6 | 99.63 ± 0.93 | 99.85 ± 0.38 | 100 ± 0.19 | 100 ± 0.97 |
| 7 | 99.68 ± 0.88 | 99.83 ± 0.22 | 99.95 ± 0.39 | 100 ± 0.56 |
| 8 | 99.91 ± 0.07 | 100 ± 0.34 | 100 ± 0.93 | 100 ± 0.3 |
| 9 | 99.92 ± 0.4 | 100 ± 0.35 | 100 ± 0.48 | 100 ± 0.67 |
| 10 | 99.71 ± 0.1 | 99.91 ± 0.73 | 100 ± 0.59 | 100 ± 0.22 |
| 11 | 100 ± 0.36 | 100 ± 0.03 | 100 ± 0.98 | 100 ± 0.77 |
| 12 | 99.69 ± 0.08 | 100 ± 0.45 | 100 ± 0.08 | 100 ± 0.45 |
| 13 | 99.56 ± 0.88 | 99.87 ± 0.23 | 100 ± 0.23 | 100 ± 0.83 |
| 14 | 99.62 ± 0.02 | 99.78 ± 0.11 | 99.92 ± 0.09 | 100 ± 0.11 |
| 15 | 100 ± 0.21 | 100 ± 0.63 | 100 ± 0.05 | 100 ± 0.84 |
| 2D Structure | Binding Score kcal/mol | Docked Complex (Amino Acid–Ligand) Interactions | Distance (Å) | |
|---|---|---|---|---|
| Diclofenac | ![]() | −6.5 | H-bonds ARG120—diclofenac ARG120—diclofenac arene–sigma interactions TYR115:HE1—diclofenac | 2.16 1.96 2.76 |
| 6 | ![]() | −10.0 | H-bonds VAL155:O—compound 6 PRO154:O—compound 6 arene–arene interactions TYR136—compound 6 | 2.46 2.42 5.91 |
| 11 | ![]() | −9.8 | H-bonds PRO154:O—compound 11 | 1.91 |
| 12 | ![]() | −10.9 | H-bonds CYS47:N—compound 12 arene–arene interactions TYR136—compound 12 | 2.22 5.72 |
| 13 | ![]() | −10.7 | H-bonds PRO154:O—compound 13 ASP157:OD1—compound 13 | 2.36 2.02 |
| Molecule | MW | HBAs | HBDs | Rotatable Bonds | TPSA | %ABS | Bioavailability Score | BBB Permeant | Lipinski Violations |
|---|---|---|---|---|---|---|---|---|---|
| Diclofenac | 296.15 | 3 | 2 | 4 | 49.33 | 95.00 | 0.58 | Yes | 0 |
| 6 | 462.50 | 5 | 2 | 5 | 106.32 | 100.00 | 0.55 | No | 0 |
| 11 | 410.47 | 4 | 2 | 5 | 71.67 | 98.93 | 0.55 | Yes | 0 |
| 12 | 452.50 | 5 | 1 | 6 | 79.95 | 99.33 | 0.55 | No | 0 |
| 13 | 492.53 | 6 | 4 | 7 | 141.31 | 99.33 | 0.55 | No | 0 |
| Reference | Sequence | Primer | Gene |
|---|---|---|---|
| 4 | 5′-TGATGATTGCCCGACTCCCT-3′ 5′-TCATCTGCCTGCTCTGGTCA-3′ | COX-2F COX-2R | COX-2 |
| 2 | 5′-ATCCGCAAAGACCTGTACGC-3′ 5′-TCTTCATTGTGCTGGGTGCC-3′ | β-actinF β-actinR | β-actin |
Disclaimer/Publisher’s Note: The statements, opinions and data contained in all publications are solely those of the individual author(s) and contributor(s) and not of MDPI and/or the editor(s). MDPI and/or the editor(s) disclaim responsibility for any injury to people or property resulting from any ideas, methods, instructions or products referred to in the content. |
© 2025 by the authors. Licensee MDPI, Basel, Switzerland. This article is an open access article distributed under the terms and conditions of the Creative Commons Attribution (CC BY) license (https://creativecommons.org/licenses/by/4.0/).
Share and Cite
Reheim, M.A.M.A.; Rady, H.S.A.; Mohamed, O.A.; Hassan, A.; Hafiz, I.S.A.; Reffat, H.M.; Elsaid, F.G.; Eldesoqui, M.; Alshaya, D.S.; Badawy, A.A.; et al. Synthesis, Anti-Inflammatory, and Molecular Docking Studies of New Heterocyclic Derivatives Comprising Pyrazole, Pyridine, and/or Pyran Moieties. Pharmaceuticals 2025, 18, 335. https://doi.org/10.3390/ph18030335
Reheim MAMA, Rady HSA, Mohamed OA, Hassan A, Hafiz ISA, Reffat HM, Elsaid FG, Eldesoqui M, Alshaya DS, Badawy AA, et al. Synthesis, Anti-Inflammatory, and Molecular Docking Studies of New Heterocyclic Derivatives Comprising Pyrazole, Pyridine, and/or Pyran Moieties. Pharmaceuticals. 2025; 18(3):335. https://doi.org/10.3390/ph18030335
Chicago/Turabian StyleReheim, Mohamed A. M. Abdel, Hend S. Abdel Rady, Omnia A. Mohamed, Abdelfattah Hassan, Ibrahim S. Abdel Hafiz, Hala M. Reffat, Fahmy Gad Elsaid, Mamdouh Eldesoqui, Dalal Sulaiman Alshaya, Abdelnaser A. Badawy, and et al. 2025. "Synthesis, Anti-Inflammatory, and Molecular Docking Studies of New Heterocyclic Derivatives Comprising Pyrazole, Pyridine, and/or Pyran Moieties" Pharmaceuticals 18, no. 3: 335. https://doi.org/10.3390/ph18030335
APA StyleReheim, M. A. M. A., Rady, H. S. A., Mohamed, O. A., Hassan, A., Hafiz, I. S. A., Reffat, H. M., Elsaid, F. G., Eldesoqui, M., Alshaya, D. S., Badawy, A. A., Fayad, E., & Abdelmonsef, A. H. (2025). Synthesis, Anti-Inflammatory, and Molecular Docking Studies of New Heterocyclic Derivatives Comprising Pyrazole, Pyridine, and/or Pyran Moieties. Pharmaceuticals, 18(3), 335. https://doi.org/10.3390/ph18030335






