Synergistic Anticancer Effects of Bleomycin and Hesperidin Combination on A549 Non-Small Cell Lung Cancer Cells: Antiproliferative, Apoptotic, Anti-Angiogenic, and Autophagic Insights
Abstract
1. Introduction
2. Results
2.1. Hesp, BL and Their Combination Reduces Viability of A549 Non-Small Cell Lung Cancer Cells in a Dose-Dependent Manner
2.2. Combination of Hesp and BL Exhibits Synergistic Interaction
2.3. Colony Survival Is Suppressed in the Presence of Hesp, BL or Their Combinations
2.4. Hesp, BL and Their Combination Inhibits the Migration of A549 Cells
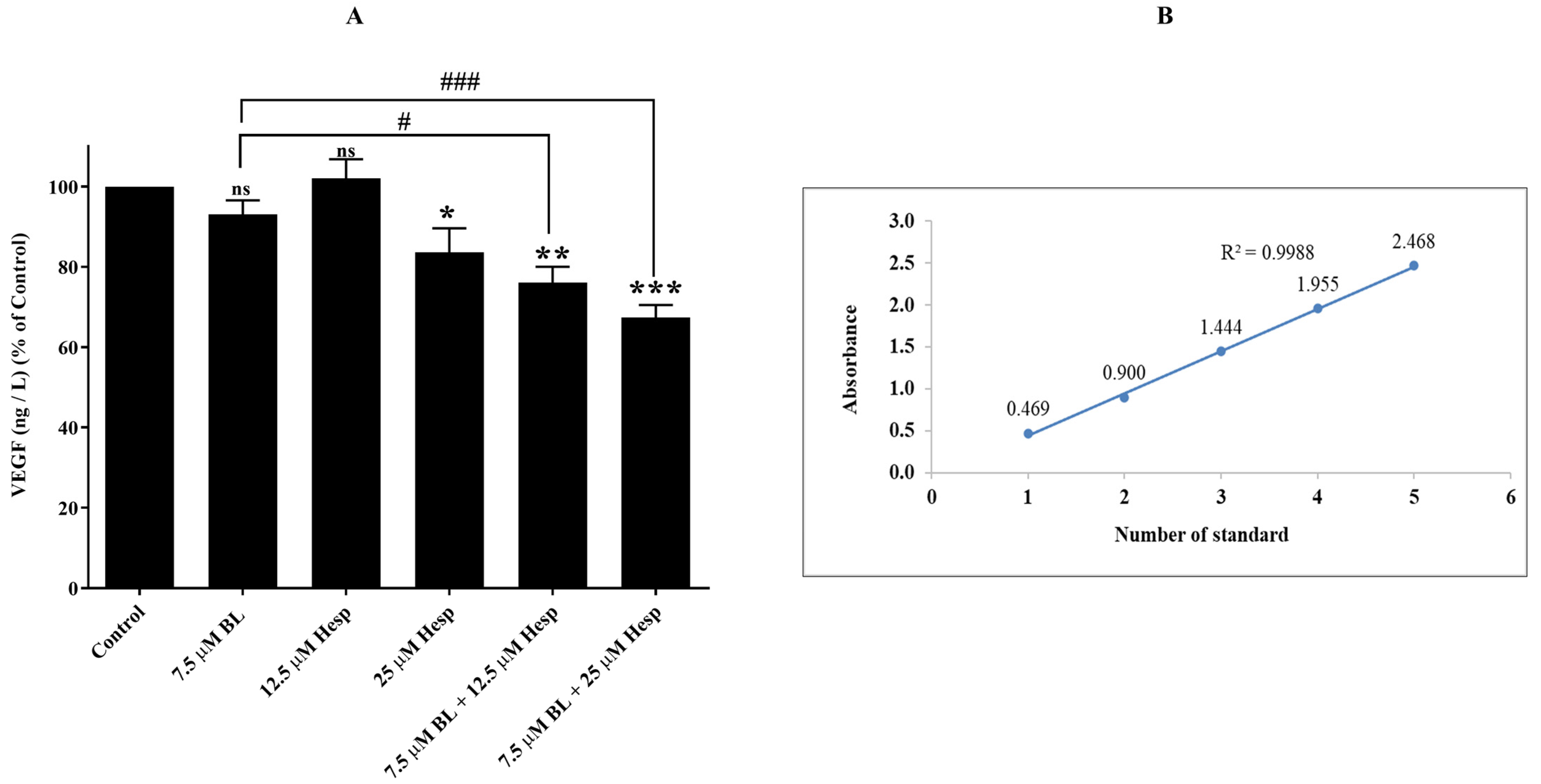
2.5. Hesp + BL Combination Treatment Reduces VEGF Levels
2.6. Cellular Vacuolization and Beclin-1 Protein Expression Levels Indicate the Autophagic Effect of Combined Treatment
2.7. Combination of Hesp and BL Induces Apoptosis in A549 Non-Small Cell Lung Cancer Cells
3. Discussion
4. Materials and Methods
4.1. Chemicals and Reagents
4.2. Cell Culture and Conditions
4.3. Cell Viability
4.4. Determination of Synergism by Combination Index (CI)
4.5. Clonogenic Assay
4.6. Wound-Healing Assay
4.7. Determination of VEGF Amount
4.8. Morphological Investigation of Vacuolization
4.9. Morphological Analysis of Apoptosis
4.10. Determination of Apoptosis by Caspase-3 ELISA
4.11. Determination of Protein Expression Levels by Western Blot
4.12. Statistical Analysis
5. Conclusions
Author Contributions
Funding
Institutional Review Board Statement
Informed Consent Statement
Data Availability Statement
Acknowledgments
Conflicts of Interest
References
- Hanahan, D. Hallmarks of cancer: New dimensions. Cancer Discov. 2022, 12, 31–46. [Google Scholar] [CrossRef] [PubMed]
- Imani, A.; Maleki, N.; Bohlouli, S.; Kouhsoltani, M.; Sharifi, S.; Maleki Dizaj, S. Molecular mechanisms of anticancer effect of rutin. Phytother. Res. 2021, 35, 2500–2513. [Google Scholar] [CrossRef]
- Bray, F.; Laversanne, M.; Sung, H.; Ferlay, J.; Siegel, R.L.; Soerjomataram, I.; Jemal, A. Global cancer statistics 2022: GLOBOCAN estimates of incidence and mortality worldwide for 36 cancers in 185 countries. CA A Cancer J. Clin. 2024, 74, 229–263. [Google Scholar] [CrossRef] [PubMed]
- Lemjabbar-Alaoui, H.; Hassan, O.U.; Yang, Y.W.; Buchanan, P. Lung cancer: Biology and treatment options. Biochim. Biophys. Acta (BBA)-Rev. Cancer 2015, 1856, 189–210. [Google Scholar] [CrossRef]
- Kuruppu, A.I.; Paranagama, P.; Goonasekara, C.L. Medicinal plants commonly used against cancer in traditional medicine formulae in Sri Lanka. Saudi Pharm. J. 2019, 27, 565–573. [Google Scholar] [CrossRef]
- Rasouli, S.; Montazeri, M.; Mashayekhi, S.; Sadeghi-Soureh, S.; Dadashpour, M.; Mousazadeh, H.; Pilehvar-Soltanahmadi, Y. Synergistic anticancer effects of electrospun nanofiber-mediated codelivery of Curcumin and Chrysin: Possible application in prevention of breast cancer local recurrence. J. Drug Deliv. Sci. Technol. 2020, 55, 101–102. [Google Scholar] [CrossRef]
- Mir, L.M.; Tounekti, O.; Orlowski, S. Bleomycin: Revival of an old drug. Gen. Pharmacol. Vasc. Syst. 1996, 27, 745–748. [Google Scholar] [CrossRef] [PubMed]
- Ahmad, R.; Ahmad, N.; Naqvi, A.A.; Shehzad, A.; Al-Ghamdi, M.S. Role of traditional Islamic and Arabic plants in cancer therapy. J. Tradit. Complement. Med. 2017, 7, 195–204. [Google Scholar] [CrossRef]
- Erdogan, M.K.; Gundogdu, R.; Yapar, Y.; Gecibesler, I.H.; Kirici, M.; Behcet, L.; Tüzün, B.; Taskin-Tok, T.; Taslimi, P. In vitro anticancer, antioxidant and enzyme inhibitory potentials of endemic Cephalaria elazigensis var. purpurea with in silico studies. J. Biomol. Struct. Dyn. 2023, 41, 11832–11844. [Google Scholar] [CrossRef]
- Garg, A.; Garg, S.; Zaneveld, L.J.; Singla, A.K. Chemistry and pharmacology of the Citrus bioflavonoid hesperidin. Phytother. Res. 2001, 15, 655–669. [Google Scholar] [CrossRef]
- Aishatwi, A.A.; Ramesh, E.; Periasamy, V.S.; Subash-Babu, P. The apoptotic effect of hesperetin on human cervical cancer cells is mediated through cell cycle arrest, death receptor, and mitochondrial pathways. Fundam. Clin. Pharmacol. 2013, 27, 581–592. [Google Scholar] [CrossRef] [PubMed]
- Aggarwal, V.; Tuli, H.S.; Thakral, F.; Singhal, P.; Aggarwal, D.; Srivastava, S.; Sethi, G. Molecular mechanisms of action of hesperidin in cancer: Recent trends and advancements. Exp. Biol. Med. 2020, 245, 486–497. [Google Scholar] [CrossRef] [PubMed]
- Roohbakhsh, A.; Parhiz, H.; Soltani, F.; Rezaee, R.; Iranshahi, M. Molecular mechanisms behind the biological effects of hesperidin and hesperetin for the prevention of cancer and cardiovascular diseases. Life Sci. 2015, 124, 64–74. [Google Scholar] [CrossRef]
- Barreca, D.; Gattuso, G.; Bellocco, E.; Calderaro, A.; Trombetta, D.; Smeriglio, A.; Laganà, G.; Daglia, M.; Meneghini, S.; Nabavi, S.M. Flavanones: Citrus phytochemical with health-promoting properties. Biofactors 2017, 43, 495–506. [Google Scholar] [CrossRef]
- Zhou, Z.; Kandhare, A.D.; Kandhare, A.A.; Bodhankar, S.L. Hesperidin ameliorates bleomycin-induced experimental pulmonary fibrosis via inhibition of TGF-beta1/Smad3/AMPK and IkappaBalpha/NF-kappaB pathways. EXCLI J. 2019, 18, 723. [Google Scholar] [PubMed]
- Kandhare, A.D.; Mukherjee, A.; Bodhankar, S.L. Effect of hesperidin in bleomycin-induced pulmonary fibrosis in rats: Critical role of Nrf-2, TNF-A, and IL-1B. Value Health 2017, 20, A887–A888. [Google Scholar] [CrossRef]
- Han, D.; Gong, H.; Wei, Y.; Xu, Y.; Zhou, X.; Wang, Z.; Feng, F. Hesperidin inhibits lung fibroblast senescence via IL-6/STAT3 signaling pathway to suppress pulmonary fibrosis. Phytomedicine 2023, 112, 154680. [Google Scholar] [CrossRef]
- Chou, T.C. Theoretical basis, experimental design, and computerized simulation of synergism and antagonism in drug combination studies. Pharmacol. Rev. 2006, 58, 621–681. [Google Scholar] [CrossRef] [PubMed]
- Li, J.; Wang, R.; Kong, Y.; Broman, M.M.; Carlock, C.; Chen, L.; Liu, X. Targeting Plk1 to Enhance Efficacy of Olaparib in Castration-Resistant Prostate Cancer. Mol. Cancer Ther. 2017, 16, 469–479. [Google Scholar] [CrossRef]
- Franken, N.A.; Rodermond, H.M.; Stap, J.; Haveman, J.; Van Bree, C. Clonogenic assay of cells in vitro. Nat. Protoc. 2006, 1, 2315–2319. [Google Scholar] [CrossRef]
- Rodriguez, L.G.; Wu, X.; Guan, J.L. Wound-healing assay. In Cell Migration; Humana Press: Totowa, NJ, USA, 2005; pp. 23–29. [Google Scholar]
- Hoeben, A.N.N.; Landuyt, B.; Highley, M.S.; Wildiers, H.; Van Oosterom, A.T.; De Bruijn, E.A. Vascular endothelial growth factor and angiogenesis. Pharmacol. Rev. 2004, 56, 549–580. [Google Scholar] [CrossRef] [PubMed]
- Liu, K.; Tang, Q.; Fu, C.; Peng, J.; Yang, H.; Li, Y.; Hong, H. Influence of glucose starvation on the pathway of death in insect cell line Sl: Apoptosis follows autophagy. Cytotechnology 2007, 54, 97–105. [Google Scholar] [CrossRef]
- Wang, J. Beclin 1 bridges autophagy, apoptosis and differentiation. Autophagy 2008, 4, 947–948. [Google Scholar] [CrossRef]
- Van Dyke, T. p53 and tumor suppression. N. Engl. J. Med. 2007, 356, 79–81. [Google Scholar] [CrossRef] [PubMed]
- Ramalingam, V.; Varunkumar, K.; Ravikumar, V.; Rajaram, R. p53 mediated transcriptional regulation of long non-coding RNA by 1-hydroxy-1-norresistomycin triggers intrinsic apoptosis in adenocarcinoma lung cancer. Chem.-Biol. Interact. 2018, 287, 1–12. [Google Scholar] [CrossRef] [PubMed]
- Feng, L.; Li, J.; Li, F.; Li, H.; Bei, S.; Zhang, X.; Yang, Z. Long noncoding RNA VCAN-AS1 contributes to the progression of gastric cancer via regulating p53 expression. J. Cell. Physiol. 2020, 235, 4388–4398. [Google Scholar] [CrossRef]
- Karimian, A.; Ahmadi, Y.; Yousefi, B. Multiple functions of p21 in cell cycle, apoptosis and transcriptional regulation after DNA damage. DNA Repair. 2016, 42, 63–71. [Google Scholar] [CrossRef]
- Kang, S.; Kim, E.O.; Kim, S.H.; Lee, J.H.; Ahn, K.S.; Yun, M.; Lee, S.G. Morusin induces apoptosis by regulating expression of Bax and Survivin in human breast cancer cells. Oncol. Lett. 2017, 13, 4558–4562. [Google Scholar] [CrossRef] [PubMed]
- Liang, Y.; Yan, C.; Schor, N.F. Apoptosis in the absence of caspase 3. Oncogene 2001, 20, 6570–6578. [Google Scholar] [CrossRef]
- DeSantis, C.E.; Lin, C.C.; Mariotto, A.B.; Siegel, R.L.; Stein, K.D.; Kramer, J.L.; Alteri, R.; Robbins, A.S.; Jemal, A. Cancer treatment and survivorship statistics, 2014. CA Cancer J Clin. 2014, 64, 252–271. [Google Scholar] [CrossRef] [PubMed]
- Dorr, R.T.; Von-Hoff, D.D. Drug monographs. In Cancer Chemotherapy Handbook, 2nd ed.; Appleton and Lange: Norwalk, CT, USA, 1994; pp. 227–236. [Google Scholar]
- Galluzzi, L.; Pedro, B.S.; Vitale, I.G.O.R.; Aaronson, S.A.; Abrams, J.M.; Adam, D.; Alnemri, E.S.; Altucci, L.; Andrews, D.; Annicchiarico-Petruzzelli, M.; et al. Essential versus accessory aspects of cell death: Recommendations of the NCCD 2015. Cell Death Differ. 2015, 22, 58–73. [Google Scholar] [CrossRef] [PubMed]
- Stubbe, J.; Kozarich, J.W. Mechanisms of bleomycin-induced DNA degradation. Chem. Rev. 1987, 87, 1107–1136. [Google Scholar] [CrossRef]
- Palit, S.; Kar, S.; Sharma, G.; Das, P.K. Hesperetin induces apoptosis in breast carcinoma by triggering accumulation of ROS and activation of ASK1/JNK pathway. J. Cell. Physiol. 2015, 230, 1729–1739. [Google Scholar] [CrossRef]
- Carmeliet, P. VEGF as a key mediator of angiogenesis in cancer. Oncology 2005, 69, 4–10. [Google Scholar] [CrossRef] [PubMed]
- Birsu Cincin, Z.; Unlu, M.; Kiran, B.; Sinem Bireller, E.; Baran, Y.; Cakmakoglu, B. Anti-proliferative, apoptotic and signal transduction effects of hesperidin in non-small cell lung cancer cells. Cell Oncol. 2015, 38, 195–204. [Google Scholar] [CrossRef] [PubMed]
- Perry, M. The Chemotherapy Source Book; Lippincott Williams & Wilkins: Philadelphia, PA, USA, 2001; pp. 237–239. [Google Scholar]
- Kawaguchi, K.; Mizuno, T.; Aida, K.; Uchino, K. Hesperidin as an inhibitor of lipases from porcine pancreas and Pseudomonas. Biosci. Biotechnol. Biochem. 1997, 61, 102–104. [Google Scholar] [CrossRef]
- Rabe, E.; Agus, G.B.; Roztocil, K. Analysis of the effects of micronized purified flavonoid fraction versus placebo on symptoms and quality of life in patients suffering from chronic venous disease: From a prospective randomized trial. Int. Angiol. A J. Int. Union Angiol. 2015, 34, 428–436. [Google Scholar]
- Ribble, D.; Goldstein, N.B.; Norris, D.A.; Shellman, Y.G. A simple technique for quantifying apoptosis in 96-well plates. BMC Biotechnol. 2005, 5, 12. [Google Scholar] [CrossRef]
- Kaleem, S.; Siddiqui, S.; Siddiqui, H.H.; Hussain, A.; Arshad, M.; Akhtar, J.; Rizvi, A. Eupalitin induces apoptosis in prostate carcinoma cells through ROS generation and increase of caspase-3 activity. Cell Biol. Int. 2016, 40, 196–203. [Google Scholar] [CrossRef] [PubMed]
- Bradford, M.M. A rapid and sensitive method for the quantitation of microgram quantities of protein utilizing the principle of protein-dye binding. Anal. Biochem. 1976, 72, 248–254. [Google Scholar] [CrossRef]
- Saralamma, V.V.G.; Vetrivel, P.; Lee, H.J.; Kim, S.M.; Ha, S.E.; Murugesan, R.; Kim, G.S. Comparative proteomic analysis uncovers potential biomarkers involved in the anticancer effect of Scutellarein in human gastric cancer cells. Oncol. Rep. 2020, 44, 939–958. [Google Scholar] [CrossRef] [PubMed]
- Gundogdu, R.; Erdogan, M.K.; Ditsiou, A.; Spanswick, V.; Garcia-Gomez, J.J.; Hartley, J.A.; Esashi, F.; Hergovich, A.; Gomez, V. hMOB2 deficiency impairs homologous recombination-mediated DNA repair and sensitises cancer cells to PARP inhibitors. Cell. Signal. 2021, 87, 110106. [Google Scholar] [CrossRef] [PubMed]








| Primary Antibody | Dilution Ratio | Secondary Antibody | Dilution Ratio |
|---|---|---|---|
| Beclin-1 | 1:1000 | Goat anti rabbit IG-g HRP | 1:1000 |
| p53 | 1:1000 | Goat anti mouse IG-g HRP | 1:1000 |
| p21 | 1:1000 | Goat anti rabbit IG-g HRP | 1:1000 |
| Bax | 1:1000 | Goat anti rabbit IG-g HRP | 1:1000 |
| cPARP | 1:1000 | Goat anti rabbit IG-g HRP | 1:1000 |
| Tubulin | 1:1000 | Goat anti mouse IG-g HRP | 1:1000 |
Disclaimer/Publisher’s Note: The statements, opinions and data contained in all publications are solely those of the individual author(s) and contributor(s) and not of MDPI and/or the editor(s). MDPI and/or the editor(s) disclaim responsibility for any injury to people or property resulting from any ideas, methods, instructions or products referred to in the content. |
© 2025 by the authors. Licensee MDPI, Basel, Switzerland. This article is an open access article distributed under the terms and conditions of the Creative Commons Attribution (CC BY) license (https://creativecommons.org/licenses/by/4.0/).
Share and Cite
Erdogan, M.K.; Ozer, G. Synergistic Anticancer Effects of Bleomycin and Hesperidin Combination on A549 Non-Small Cell Lung Cancer Cells: Antiproliferative, Apoptotic, Anti-Angiogenic, and Autophagic Insights. Pharmaceuticals 2025, 18, 254. https://doi.org/10.3390/ph18020254
Erdogan MK, Ozer G. Synergistic Anticancer Effects of Bleomycin and Hesperidin Combination on A549 Non-Small Cell Lung Cancer Cells: Antiproliferative, Apoptotic, Anti-Angiogenic, and Autophagic Insights. Pharmaceuticals. 2025; 18(2):254. https://doi.org/10.3390/ph18020254
Chicago/Turabian StyleErdogan, Mehmet Kadir, and Guleser Ozer. 2025. "Synergistic Anticancer Effects of Bleomycin and Hesperidin Combination on A549 Non-Small Cell Lung Cancer Cells: Antiproliferative, Apoptotic, Anti-Angiogenic, and Autophagic Insights" Pharmaceuticals 18, no. 2: 254. https://doi.org/10.3390/ph18020254
APA StyleErdogan, M. K., & Ozer, G. (2025). Synergistic Anticancer Effects of Bleomycin and Hesperidin Combination on A549 Non-Small Cell Lung Cancer Cells: Antiproliferative, Apoptotic, Anti-Angiogenic, and Autophagic Insights. Pharmaceuticals, 18(2), 254. https://doi.org/10.3390/ph18020254

