Andrographolide Sulfonates and Xiyanping: A Review of Chemical Composition, Pharmacological Activities, Clinical Applications, and Adverse Reactions
Abstract
1. Introduction
2. Method of Study
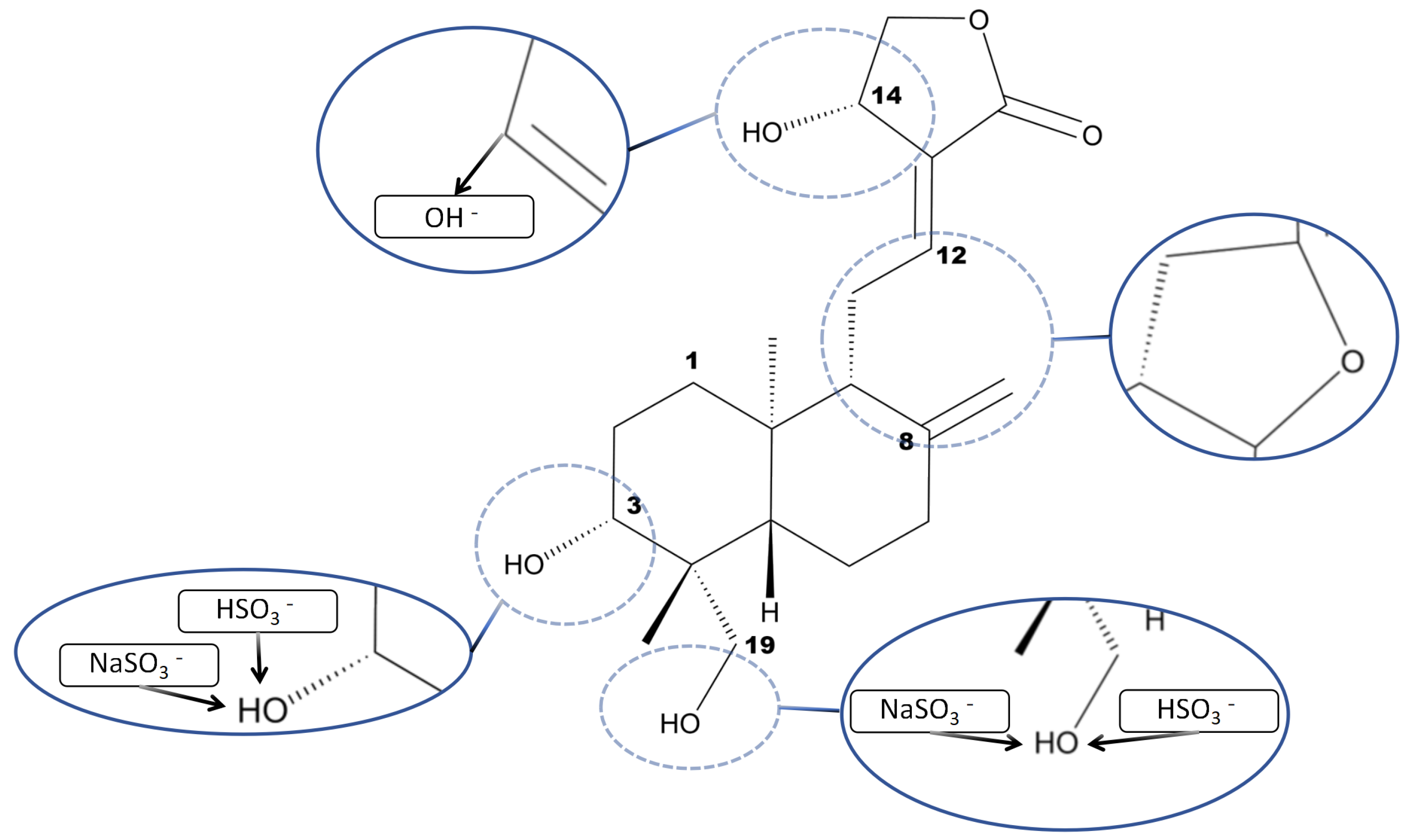
3. Chemical Composition
| No. | Name | Chemical Formula | Reference |
|---|---|---|---|
| 1 | Andrographolide | C20H30O5 | [26] |
| 2 | Andrographolide 19-sulfate | C20H30SO8 | [26] |
| 3 | Sodium andrographolide 19-sulfate | C20H29SO8Na | [26] |
| 4 | Isoandrographolide | C20H30O5 | [27] |
| 5 | 8-epi-isoandrographolide-19-yl sulfate | C20H30SO8 | [28] |
| 6 | Sodium 8-epi-isoandrographolide-19-yl sulfate | C20H30SO8Na | [28] |
| 7 | 3-Hydroxy-8(R), 12(S)-8(12)-epoxy-13-labden-15, 16-olide-19-sulfate | C20H30SO8Na | [22] |
| 8 | Andrographolide 12-sulfate | C20H30SO7 | [26] |
| 9 | Sodium andrographolide 12-sulfate | C20H29SO6Na | [26] |
| 10 | Andrographolide sodium bisulfate | C20H29SO7Na | [29] |
| 11 | 14-Deoxy-11, 12-dehydroandrographolide | C20H28O4 | [26] |
| 12 | Andrographolide 18-p-toluenesulfonate | C27H36SO7 | [26] |
| 13 | Andrographolide 2, 4, 6-trimethylbenzenesulfonate | C29H40SO7 | [26] |
| 14 | 17-hydro-9-dehydroandrographolide | C20H30O5 | [30] |
| 15 | 17-Hydro-9-dehydroandrographolide 19-sulfate | C20H30SO8 | [26] |
| 16 | 17-hydro-9-dehydroandrographolide 19-sodium sulfate | C20H29SO8Na | [26] |
| 17 | 17-hydro-9-dehydroandrographolide 3-sodium sulfate | C20H29SO8Na | [26] |
| 18 | 17-hydro-9-dehydroandrographolide 3, 19-disodium sulfate | C20H28S2O11Na2 | [26] |
| 19 | 8, 11, 13-Labdatrien-15, 16-olide-3, 19-disulfate | C20H28S2O10 | [22] |
| 20 | 3-Hydroxy-8, 11, 13-labdatrien-15, 16-olide-19-sulfate | C20H28SO7 | [22] |
| 21 | 3, 19-Dihydroxy-8, 11, 13-labdatrien-15, 16-olide | C20H28O4 | [22] |
| 22 | sodium 17-hydro-9-dehydro-14, 17-cyclo-andrographolide-19-yl sulfate | C20H27SO7Na | [28] |
| 23 | 10β-8, 17-dihydro7, 8-dehydroandrographolide | C20H30O5 | [31] |
4. Pharmacological Activity
4.1. Effects on Pneumonia and Lung Injury
4.2. Effects on Colitis
4.3. Antiviral Activities
4.4. Other Pharmacological Activities
5. Clinical Application
5.1. Current Status of Clinical Applications
5.2. Clinical Trial Research
5.2.1. Treatment of Pneumonia
5.2.2. Treatment of Bronchitis
5.2.3. Treatment of Hand, Foot, and Mouth Disease
5.2.4. Other Clinical Applications
| No. | Disease | Inclusion Criteria and Number of Patients | Method | Control Drug | Combined Drug | Efficacy | Reference |
|---|---|---|---|---|---|---|---|
| 1 | COVID-19 | 130 adults aged 18 and above with mild to moderate COVID-19 | multicenter, prospective, open-label, and randomized controlled trial | Conventional therapy: Includes oxygen supplementation, antiviral drugs, antibiotics, immune modulators, etc. | Conventional therapy | XYP significantly shortened the time it took for cough relief, fever reduction, and viral clearance. | [80] |
| 2 | Hand, Foot, and Mouth Disease | 230 children aged 1–13 years with severe hand, foot, and mouth disease | Randomized Controlled Trial | Conventional therapy: Mannitol, methylprednisolone, hydrocortisone, dexamethasone, and intravenous immunoglobulin, etc. | Conventional therapy | Adding andrographolide sulfonate to conventional treatment can reduce the occurrence of major complications in children with severe hand, foot, and mouth disease, shorten the duration of fevers, and accelerate the healing time of typical skin or oral mucosal lesions. | [53] |
| 3 | Hand, Foot, and Mouth Disease | 451 children aged 1–13 years with severe hand, foot, and mouth disease | Prospective, Randomized, Controlled Trial | Conventional therapy (according to the 2010 guidelines for the diagnosis and treatment of hand, foot, and mouth disease issued by the National Health and Family Planning Commission of China) | Conventional therapy | The efficacy of XYP in combination with conventional treatment is superior to conventional treatment alone. | [77] |
| 4 | Hand, Foot, and Mouth Disease | 329 children aged 1–14 years with mild hand, foot, and mouth disease | Randomized controlled trial | Vitamin B and C, physical cooling, and combined use of ibuprofen | Conventional therapy | XYP can shorten the onset time of antipyretic effects, as well as the regression time of hand–foot rashes and oral ulcers. The combination of XYP and the control drug further shortens the regression time of rashes and ulcers. | [78] |
| 5 | Acute Gastroenteritis | 200 college students diagnosed with acute gastroenteritis | Randomized controlled trial | Racemic scopolamine hydrochloride | Jinniu abdominal pain tablets | XYP combined with Jinniu abdominal pain tablets in the treatment of acute gastroenteritis significantly reduces serum CRP levels, improving various treatment indicators and yielding good therapeutic effects. The combination group also has a higher treatment efficacy rate than the control group. | [82] |
| 6 | Acute Tonsillitis | 458 patients of all ages with acute tonsillitis | Multicenter, randomized, single-blind, placebo, parallel-controlled trial | Clindamycin, azithromycin, and other antibiotics combined with placebo | Clindamycin, azithromycin, and other antibiotics | XYP can shorten the disease remission time in patients with acute tonsillitis, improve clinical cure rates, and accelerate the alleviation of various symptoms, with clinically reliable safety and efficacy. | [81] |
| 7 | Acute Bronchitis in Children | 78 children aged 1–6 years with acute bronchitis | Multicenter, randomized, parallel-controlled trial | Conventional therapy: Cough suppressants, expectorants, antipyretics, bronchodilators, antihistamines, anti-diarrheal drugs, and oral traditional Chinese medicine without andrographolide | Conventional therapy | The combination of conventional treatment and XYP via intramuscular injection in the treatment of pediatric acute bronchitis is more effective than conventional treatment alone, without increasing adverse reactions. | [73] |
| 8 | Lower Respiratory Tract Infection | 108 patients aged 47–70 years with lower respiratory tract infection | Multicenter, randomized, parallel-controlled trial | Conventional therapy: Cephalosporin antibiotics combined with traditional Chinese and Western medicine for antipyretic, lung-clearing, and cough-suppressing treatment | Conventional therapy | The combination of conventional treatment and XYP for lower respiratory tract infections shows clear clinical efficacy and is superior to conventional treatment alone. | [83] |
| 9 | HBoV Pneumonia | 59 children aged 1–5 years with mild to moderate HBoV pneumonia | Randomized controlled trial | Oral ambroxol solution combined with intravenous ribavirin injection | Qingfei oral solution | Qingfei oral solution combined with XYP in the treatment of pediatric bocavirus pneumonia is effective and superior to treatment with oral ambroxol solution combined with intravenous ribavirin injection. | [68] |
| 10 | Pediatric Mycoplasma Pneumonia | 72 patients aged 1–16 years with mycoplasma pneumonia | Randomized controlled trial | Azithromycin | Azithromycin | XYP combined with azithromycin significantly improves the clinical symptoms in children with mycoplasma pneumonia associated with wind-heat obstructing the lung and phlegm-heat obstructing the lung syndromes in traditional Chinese medicine, with a better treatment effect in the combination group compared to the azithromycin monotherapy group. | [70] |
6. Adverse Reaction
7. Conclusions and Future Prospects
- (1)
- Conduct international collaborative research to enhance our understanding of andrographolide sulfonates, establish quality standards, develop production protocols, and seek overseas approval;
- (2)
- Perform large-scale safety assessments to clarify contraindications for combined medication use and implement strict clinical controls to prevent adverse reactions;
- (3)
- Investigate new therapeutic indications and innovative applications, such as veterinary drugs or agrochemicals, while comparing efficacy with existing treatments;
- (4)
- Initiate large-scale, multicenter, randomized controlled trials to validate safety, efficacy, and long-term risks.
Author Contributions
Funding
Conflicts of Interest
List of Abbreviations
| COVID-19 | Coronavirus Disease 2019 |
| MUC5AC | Mucin 5AC |
| MUC5B | Mucin 5B |
| NF-κB | Nuclear Factor Kappa B |
| MCP-5 | Monocyte Chemoattractant Protein 5 |
| CYP3A4 | Cytochrome P450 3A4 |
| p38 | p38 Mitogen-Activated Protein Kinase (p38 MAPK) |
| p65 | p65 Subunit of NF-κB |
| YAP | Yes-Associated Protein |
| TLR4 | Toll-Like Receptor 4 |
| MyD88 | Myeloid Differentiation Primary Response 88 |
| Nrf2/HO-1 | Nuclear Factor Erythroid 2-Related Factor 2/Heme Oxygenase-1 |
| TNF-α | Tumor Necrosis Factor Alpha |
| IL-1β | Interleukin-1 Beta |
| IL-6 | Interleukin-6 |
| IL-10 | Interleukin-10 |
| IFN-γ | Interferon Gamma |
References
- Hossain, S.; Urbi, Z.; Karuniawati, H.; Mohiuddin, R.B.; Moh Qrimida, A.; Allzrag, A.M.M.; Ming, L.C.; Pagano, E.; Capasso, R. Andrographis paniculata (Burm. f.) Wall. Ex Nees: An Updated Review of Phytochemistry, Antimicrobial Pharmacology, and Clinical Safety and Efficacy. Life 2021, 11, 348. [Google Scholar] [CrossRef] [PubMed]
- Tewari, D.; Mocan, A.; Parvanov, E.D.; Sah, A.N.; Nabavi, S.M.; Huminiecki, L.; Ma, Z.F.; Lee, Y.Y.; Horbańczuk, J.O.; Atanasov, A.G. Ethnopharmacological Approaches for Therapy of Jaundice: Part I. Front. Pharmacol. 2017, 8, 518. [Google Scholar] [CrossRef] [PubMed]
- Chinese Pharmacopoeia Commission. Chinese Pharmacopoeia; China Medical Science Press: Beijing, China, 2020; Volume 1, p. 329.
- Jiang, M.; Sheng, F.; Zhang, Z.; Ma, X.; Gao, T.; Fu, C.; Li, P. Andrographis paniculata (Burm.f.) Nees and Its Major Constituent Andrographolide as Potential Antiviral Agents. J. Ethnopharmacol. 2021, 272, 113954. [Google Scholar] [CrossRef]
- Li, X.; Yuan, W.; Wu, J.; Zhen, J.; Sun, Q.; Yu, M. Andrographolide, a Natural Anti-Inflammatory Agent: An Update. Front. Pharmacol. 2022, 13, 920435. [Google Scholar] [CrossRef]
- Mishra, A.; Shaik, H.A.; Sinha, R.K.; Shah, B.R. Andrographolide: A Herbal-Chemosynthetic Approach for Enhancing Immunity, Combating Viral Infections, and Its Implication on Human Health. Molecules 2021, 26, 7036. [Google Scholar] [CrossRef]
- Agrawal, P.; Nair, M.S. An Insight into the Pharmacological and Analytical Potential of Andrographolide. Fundam. Clin. Pharmacol. 2022, 36, 586–600. [Google Scholar] [CrossRef]
- Ye, L.; Wang, T.; Tang, L.; Liu, W.; Yang, Z.; Zhou, J.; Zheng, Z.; Cai, Z.; Hu, M.; Liu, Z. Poor Oral Bioavailability of a Promising Anticancer Agent Andrographolide Is Due to Extensive Metabolism and Efflux by P-Glycoprotein. J. Pharm. Sci. 2011, 100, 5007–5017. [Google Scholar] [CrossRef]
- Panossian, A.; Hovhannisyan, A.; Mamikonyan, G.; Abrahamian, H.; Hambardzumyan, E.; Gabrielian, E.; Goukasova, G.; Wikman, G.; Wagner, H. Pharmacokinetic and Oral Bioavailability of Andrographolide from Andrographis paniculata Fixed Combination Kan Jang in Rats and Human. Phytomedicine 2000, 7, 351–364. [Google Scholar] [CrossRef]
- Pawar, A.; Rajalakshmi, S.; Mehta, P.; Shaikh, K.; Bothiraja, C. Strategies for Formulation Development of Andrographolide. RSC Adv. 2016, 6, 69282–69300. [Google Scholar] [CrossRef]
- Chen, H.W.; Huang, C.S.; Li, C.C.; Lin, A.H.; Huang, Y.J.; Wang, T.S.; Yao, H.T.; Lii, C.K. Bioavailability of Andrographolide and Protection against Carbon Tetrachloride-Induced Oxidative Damage in Rats. Toxicol. Appl. Pharmacol. 2014, 280, 1–9. [Google Scholar] [CrossRef]
- Bhaisare, S.; Pathak, S.; Ajankar, V.V. Physiological Activities of the King of Bitters (Andrographis paniculata): A Review. Cureus 2023, 15, e43515. [Google Scholar] [CrossRef] [PubMed]
- Li, Z.H.; Lu, X.H.; Long, X.Y.; Wu, H.Y. Research Progress of Andrographolide. Shizhen Guoyi Guoyao 2012, 23, 2854–2857. [Google Scholar]
- Ping, J.; Wang, S.Y.; Xie, N.; Chen, X.; Wang, X.F. In Vitro Antiviral Pharmacodynamics Study of Sulfonated Andrographolide. Chin. Exp. Tradit. Formulae 2012, 18, 175–179. [Google Scholar] [CrossRef]
- Yang, J. Research Progress of Andrographolide. Chin. Tradit. Herb. Drugs 2009, 40, 1168–1170. [Google Scholar]
- Wang, H.; Jin, X.Y.; Pang, B.; Liu, C.X.; Zheng, W.K.; Yang, F.W.; Pang, W.T.; Zhang, J.H. Analysis of Clinical Research Protocols for Traditional Chinese Medicine Intervention in COVID-19. Chin. Tradit. Herb. Drugs 2020, 45, 1232–1241. [Google Scholar] [CrossRef]
- Wang, Z.F.; Chen, X.; Zhang, W.; Xie, Y.M. Evidence-Based Research on the Pre- and Post-Market Phases of Xiyanping Injection. Chin. Tradit. Herb. Drugs 2014, 39, 3637–3640. [Google Scholar]
- Cui, J.; Si, F.G. Clinical Application Research Progress of Xiyanping Injection. Huaihai Med. 2018, 36, 378–380. [Google Scholar] [CrossRef]
- Xu, S.Y.; Li, W.; Zhan, H.X.; Pang, P.W.; Ma, E.Y.; Wu, B. Clinical Application Analysis of Xiyanping Nebulization for Pediatric Pneumonia. Chin. J. Clin. Pharmacol. 2021, 37, 1596–1598+1602. [Google Scholar] [CrossRef]
- Chen, J.; Li, W.; Yao, H.; Xu, J. Insights into Drug Discovery from Natural Products through Structural Modification. Fitoterapia 2015, 103, 231–241. [Google Scholar] [CrossRef]
- Estolano-Cobián, A.; Alonso, M.M.; Díaz-Rubio, L.; Ponce, C.N.; Córdova-Guerrero, I.; Marrero, J.G. Tanshinones and Their Derivatives: Heterocyclic Ring-Fused Diterpenes of Biological Interest. Mini Rev. Med. Chem. 2021, 21, 171–185. [Google Scholar] [CrossRef]
- Xu, H.; Wang, G.F.; Han, F.; Liu, K.; Yang, X.L.; Tang, C.S. Isolation and Characterization of Four New Derivatives in the Sulfonation Reaction System of Andrographolide. Acta Chim. Sin. 2009, 67, 261–265. [Google Scholar]
- Yang, Q.W.; Li, Q.; Zhang, J.; Xu, Q.; Yang, X.; Li, Z.Y.; Xu, H. Crystal Structure and Anti-Inflammatory and Anaphylactic Effects of Andrographlide Sulphonate E in Xiyanping, a Traditional Chinese Medicine Injection. J. Pharm. Pharmacol. 2019, 71, 251–259. [Google Scholar] [CrossRef] [PubMed]
- Zhan, H.Z.; Chen, W.K.; Xiao, X.W.; Yang, X.L.; Luo, Y.H. Simultaneous Determination of Four Active Ingredients in Xiyanping Injection by HPLC. Chin. J. Pharm. Anal. 2012, 32, 140–143. [Google Scholar] [CrossRef]
- Chong, L.; Chen, W.; Luo, Y.; Jiang, Z. Simultaneous Determination of 9-Dehydro-17-Hydro-Andrographolide and Sodium 9-Dehydro-17-Hydro-Andrographolide-19-Yl Sulfate in Rat Plasma by UHPLC-ESI-MS/MS after Administration of Xiyanping Injection: Application to a Pharmacokinetic Study. Biomed. Chromatogr. 2013, 27, 825–830. [Google Scholar] [CrossRef]
- Wang, J.Y.; Liu, W.Y. Research Progress on Sulfonated Andrographolide in Classification Detection and Clinical Application. Today Pharm. 2018, 28, 426–432. [Google Scholar]
- Toppo, E.; Darvin, S.S.; Esakkimuthu, S.; Nayak, M.K.; Balakrishna, K.; Sivasankaran, K.; Pandikumar, P.; Ignacimuthu, S.; Al-Dhabi, N.A. Effect of Two Andrographolide Derivatives on Cellular and Rodent Models of Non-Alcoholic Fatty Liver Disease. Biomed. Pharmacother. 2017, 95, 402–411. [Google Scholar] [CrossRef]
- Xiao, X.W.; Fu, H.Z.; Luo, Y.H.; Wei, X.Y. Potential Anti-Angiogenic Sulfates of Andrographolide. J. Asian Nat. Prod. Res. 2013, 15, 809–818. [Google Scholar] [CrossRef]
- Liu, Y.H.; Zhang, Z.B.; Zheng, Y.F.; Chen, H.M.; Yu, X.T.; Chen, X.Y.; Zhang, X.; Xie, J.H.; Su, Z.Q.; Feng, X.X.; et al. Gastroprotective Effect of Andrographolide Sodium Bisulfite against Indomethacin-Induced Gastric Ulceration in Rats. Int. Immunopharmacol. 2015, 26, 384–391. [Google Scholar] [CrossRef]
- Chong, L. Pharmacokinetics and Tissue Distribution of Active Ingredients in Xiyanping Injection in Rats. Master’s Thesis, Nanchang University, Nanchang, China, 2014. [Google Scholar]
- Liu, D.; Wang, Z.; Liu, Y.; Zhang, Y.; Guo, E.; He, M.; Liu, J.; Deng, S.; Ye, W.; Xie, N. Two New Isomeric Andrographolides with Anti-Inflammatory and Cytotoxic Activity. Chem. Biodivers. 2020, 17, e1900494. [Google Scholar] [CrossRef]
- Clementi, N.; Ghosh, S.; De Santis, M.; Castelli, M.; Criscuolo, E.; Zanoni, I.; Clementi, M.; Mancini, N. Viral Respiratory Pathogens and Lung Injury. Clin. Microbiol. Rev. 2021, 34, e00103-20. [Google Scholar] [CrossRef]
- Cui, J.; Gao, J.; Li, Y.; Fan, T.; Qu, J.; Sun, Y.; Liu, W.; Guo, W.; Xu, Q. Andrographolide Sulfate Inhibited NF-κB Activation and Alleviated Pneumonia Induced by Poly I:C in Mice. J. Pharmacol. Sci. 2020, 144, 189–196. [Google Scholar] [CrossRef] [PubMed]
- Qian, H.; Yang, H.; Li, X.; Yang, G.; Zheng, X.; He, T.; Li, S.; Liu, B.; Wu, Y.; Cheng, Y.; et al. Andrographolide Sulfonate Attenuates Alveolar Hypercoagulation and Fibrinolytic Inhibition Partly via NF-κB Pathway in LPS-Induced Acute Respiratory Distress Syndrome in Mice. Biomed. Pharmacother. 2021, 143, 112209. [Google Scholar] [CrossRef] [PubMed]
- Peng, S.; Hang, N.; Liu, W.; Guo, W.; Jiang, C.; Yang, X.; Xu, Q.; Sun, Y. Andrographolide Sulfonate Ameliorates Lipopolysaccharide-Induced Acute Lung Injury in Mice by down-Regulating MAPK and NF-κB Pathways. Acta Pharm. Sin. B 2016, 6, 205–211. [Google Scholar] [CrossRef]
- Peng, S.; Gao, J.; Liu, W.; Jiang, C.; Yang, X.; Sun, Y.; Guo, W.; Xu, Q. Andrographolide Ameliorates OVA-Induced Lung Injury in Mice by Suppressing ROS-Mediated NF-κB Signaling and NLRP3 Inflammasome Activation. Oncotarget 2016, 7, 80262–80274. [Google Scholar] [CrossRef]
- Zhu, T.; Wang, D.; Zhang, W.; Liao, X.; Guan, X.; Bo, H.; Sun, J.; Huang, N.; He, J.; Zhang, Y.; et al. Andrographolide Protects against LPS-Induced Acute Lung Injury by Inactivation of NF-κB. PLoS ONE 2013, 8, e56407. [Google Scholar] [CrossRef]
- Gao, F.; Liu, X.; Shen, Z.; Jia, X.; He, H.; Gao, J.; Wu, J.; Jiang, C.; Zhou, H.; Wang, Y. Andrographolide Sulfonate Attenuates Acute Lung Injury by Reducing Expression of Myeloperoxidase and Neutrophil-Derived Proteases in Mice. Front. Physiol. 2018, 9, 939. [Google Scholar] [CrossRef]
- Hellinger, W.C.; Brewer, N.S. Imipenem. Mayo Clin. Proc. 1991, 66, 1074–1081. [Google Scholar] [CrossRef]
- Zhang, G.; Jiang, C.; Xie, N.; Xu, Y.; Liu, L.; Liu, N. Treatment with Andrographolide Sulfonate Provides Additional Benefits to Imipenem in a Mouse Model of Klebsiella Pneumoniae Pneumonia. Biomed. Pharmacother. 2019, 117, 109065. [Google Scholar] [CrossRef]
- Gu, X.; Gao, R.; Li, Y.; Liu, J.; Wu, Y.; Xu, H. Combination Effect of Azithromycin with TCM Preparation Xiyanping Injection against Klebsiella Pneumoniae Infection in Rats. Phytomedicine 2022, 104, 154332. [Google Scholar] [CrossRef]
- Ye, L.; Cheng, L.; Deng, Y.; Liu, H.; Wu, X.; Wang, T.; Chang, Q.; Zhang, Y.; Wang, D.; Li, Z.; et al. Herb-Drug Interaction Between Xiyanping Injection and Lopinavir/Ritonavir, Two Agents Used in COVID-19 Pharmacotherapy. Front. Pharmacol. 2021, 12, 773126. [Google Scholar] [CrossRef]
- Wangchuk, P.; Yeshi, K.; Loukas, A. Ulcerative Colitis: Clinical Biomarkers, Therapeutic Targets, and Emerging Treatments. Trends Pharmacol. Sci. 2024, 45, 892–903. [Google Scholar] [CrossRef] [PubMed]
- Guan, F.; Luo, H.; Wu, J.; Li, M.; Chen, L.; Huang, N.; Wei, G.; Nie, J.; Chen, B.; Su, Z.; et al. Andrographolide Sodium Bisulfite Ameliorates Dextran Sulfate Sodium-Induced Colitis and Liver Injury in Mice via Inhibiting Macrophage Proinflammatory Polarization from the Gut-Liver Axis. Int. Immunopharmacol. 2022, 110, 109007. [Google Scholar] [CrossRef]
- Liu, W.; Guo, W.; Guo, L.; Gu, Y.; Cai, P.; Xie, N.; Yang, X.; Shu, Y.; Wu, X.; Sun, Y.; et al. Andrographolide Sulfonate Ameliorates Experimental Colitis in Mice by Inhibiting Th1/Th17 Response. Int. Immunopharmacol. 2014, 20, 337–345. [Google Scholar] [CrossRef]
- Gao, J.; Cui, J.; Zhong, H.; Li, Y.; Liu, W.; Jiao, C.; Gao, J.; Jiang, C.; Guo, W.; Xu, Q. Andrographolide Sulfonate Ameliorates Chronic Colitis Induced by TNBS in Mice via Decreasing Inflammation and Fibrosis. Int. Immunopharmacol. 2020, 83, 106426. [Google Scholar] [CrossRef]
- Shu, L.; Fu, H.; Pi, A.; Feng, Y.; Dong, H.; Si, C.; Li, S.; Zhu, F.; Zheng, P.; Zhu, Q. Protective Effect of Andrographolide against Ulcerative Colitis by Activating Nrf2/HO-1 Mediated Antioxidant Response. Front. Pharmacol. 2024, 15, 1424219. [Google Scholar] [CrossRef]
- Guo, W.; Liu, W.; Chen, G.; Hong, S.; Qian, C.; Xie, N.; Yang, X.; Sun, Y.; Xu, Q. Water-Soluble Andrographolide Sulfonate Exerts Anti-Sepsis Action in Mice through down-Regulating P38 MAPK, STAT3 and NF-κB Pathways. Int. Immunopharmacol. 2012, 14, 613–619. [Google Scholar] [CrossRef]
- Burrell, C.J.; Howard, C.R.; Murphy, F.A. Chapter 7—Pathogenesis of Virus Infections. In Fenner and White’s Medical Virology (Fifth Edition); Burrell, C.J., Howard, C.R., Murphy, F.A., Eds.; Academic Press: London, UK, 2017; pp. 77–104. ISBN 978-0-12-375156-0. [Google Scholar] [CrossRef]
- Kulanayake, S.; Tikoo, S.K. Adenovirus Core Proteins: Structure and Function. Viruses 2021, 13, 388. [Google Scholar] [CrossRef]
- Esposito, S.; Principi, N. Hand, Foot and Mouth Disease: Current Knowledge on Clinical Manifestations, Epidemiology, Aetiology and Prevention. Eur. J. Clin. Microbiol. Infect. Dis. 2018, 37, 391–398. [Google Scholar] [CrossRef]
- Li, M.; Yang, X.; Guan, C.; Wen, T.; Duan, Y.; Zhang, W.; Li, X.; Wang, Y.; Zhao, Z.; Liu, S. Andrographolide Sulfonate Reduces Mortality in Enterovirus 71 Infected Mice by Modulating Immunity. Int. Immunopharmacol. 2018, 55, 142–150. [Google Scholar] [CrossRef]
- Li, X.; Zhang, C.; Shi, Q.; Yang, T.; Zhu, Q.; Tian, Y.; Lu, C.; Zhang, Z.; Jiang, Z.; Zhou, H.; et al. Improving the Efficacy of Conventional Therapy by Adding Andrographolide Sulfonate in the Treatment of Severe Hand, Foot, and Mouth Disease: A Randomized Controlled Trial. Evid. Based Complement. Altern. Med. 2013, 2013, 316250. [Google Scholar] [CrossRef]
- Li, X.; Zhang, X.; Ding, J.; Xu, Y.; Wei, D.; Tian, Y.; Chen, W.; Huang, J.; Wen, T.; Li, S. Comparison between Chinese Herbal Medicines and Conventional Therapy in the Treatment of Severe Hand, Foot, and Mouth Disease: A Randomized Controlled Trial. Evid. Based Complement. Altern. Med. 2014, 2014, 140764. [Google Scholar] [CrossRef] [PubMed]
- Wen, T.; Xu, W.; Liang, L.; Li, J.; Ding, X.; Chen, X.; Hu, J.; Lv, A.; Li, X. Clinical Efficacy of Andrographolide Sulfonate in the Treatment of Severe Hand, Foot, and Mouth Disease (HFMD) Is Dependent upon Inhibition of Neutrophil Activation. Phytother. Res. 2015, 29, 1161–1167. [Google Scholar] [CrossRef] [PubMed]
- Li, J.; Guo, S.; Tan, Y.; Zhang, J.; Wu, Z.; Stalin, A.; Zhang, F.; Huang, Z.; Wu, C.; Liu, X.; et al. Integrated Network Pharmacology Analysis and in Vitro Validation Revealed the Underlying Mechanism of Xiyanping Injection in Treating Coronavirus Disease 2019. Medicine 2023, 102, e34866. [Google Scholar] [CrossRef] [PubMed]
- Cecconi, M.; Evans, L.; Levy, M.; Rhodes, A. Sepsis and Septic Shock. Lancet 2018, 392, 75–87. [Google Scholar] [CrossRef] [PubMed]
- Galfo, V.; Tiseo, G.; Riccardi, N.; Falcone, M. Therapeutic Drug Monitoring of Antibiotics for Methicillin-Resistant Staphylococcus Aureus Infections: An Updated Narrative Review for Clinicians. Clin. Microbiol. Infect. 2024, 31, 194–200. [Google Scholar] [CrossRef]
- Zhang, L.; Wen, B.; Bao, M.; Cheng, Y.; Mahmood, T.; Yang, W.; Chen, Q.; Lv, L.; Li, L.; Yi, J.; et al. Andrographolide Sulfonate Is a Promising Treatment to Combat Methicillin-Resistant Staphylococcus Aureus and Its Biofilms. Front. Pharmacol. 2021, 12, 720685. [Google Scholar] [CrossRef]
- Zhan, J.Y.X.; Wang, X.F.; Liu, Y.H.; Zhang, Z.B.; Wang, L.; Chen, J.N.; Huang, S.; Zeng, H.F.; Lai, X.P. Andrographolide Sodium Bisulfate Prevents UV-Induced Skin Photoaging through Inhibiting Oxidative Stress and Inflammation. Mediat. Inflamm. 2016, 2016, 3271451. [Google Scholar] [CrossRef]
- Sethy, C.; Kundu, C.N. 5-Fluorouracil (5-FU) Resistance and the New Strategy to Enhance the Sensitivity against Cancer: Implication of DNA Repair Inhibition. Biomed. Pharmacother. 2021, 137, 111285. [Google Scholar] [CrossRef]
- Xu, L.; Cai, P.; Li, X.; Wu, X.; Gao, J.; Liu, W.; Yang, J.; Xu, Q.; Guo, W.; Gu, Y. Inhibition of NLRP3 Inflammasome Activation in Myeloid-Derived Suppressor Cells by Andrographolide Sulfonate Contributes to 5-FU Sensitization in Mice. Toxicol. Appl. Pharmacol. 2021, 428, 115672. [Google Scholar] [CrossRef]
- Li, L.X.; Wang, Z.F.; Xie, Y.M.; Yang, Y.Y.; Fan, H.W.; Zhuang, Y.; Lyu, L. Real-World Study on Characteristics and Medication Patterns of Xiyanping Injection in Pneumonia Treatment. Chin. Tradit. Herb. Drugs 2023, 54, 2546–2557. [Google Scholar]
- Wang, L.X.; Yang, W.; Xie, Y.M.; Chang, Y.P.; Wang, Z.F. Clinical Application and Safety Analysis of Xiyanping Injection in 4023 Real-World Cases. J. Tradit. Chin. Med. 2014, 55, 571–574. [Google Scholar]
- Zhao, Y.; Shi, C.; Huang, P. Clinical Application Analysis of Xiyanping Injection Based on Hospital Centralized Monitoring After Market Launch. China J. Chin. Mater. Med. 2016, 41, 743–747. [Google Scholar]
- Jiang, P. Clinical Application Evaluation of Xiyanping Injection. Chin. Tradit. Pat. Med. 2014, 36, 211–213. [Google Scholar]
- Allander, T. Human Bocavirus. J. Clin. Virol. 2008, 41, 29–33. [Google Scholar] [CrossRef]
- Wang, M.M.; Xing, W.M.; Zhang, L.; Han, X.M. Clinical Study of Qingfei Oral Solution Combined with Xiyanping Injection in Pediatric Bocavirus Pneumonia. Chin. Tradit. Herb. Drugs 2017, 48, 3802–3806. [Google Scholar]
- Xu, S.S.; Guo, L.F.; Wu, Y.; Zhang, J.D.; Ma, Z.Z.; Zhang, C.G. Clinical Characteristics and Epidemiological Analysis of Mycoplasma Pneumonia in Children. Chin. J. Hosp. Infect. 2017, 27, 3307–3310. [Google Scholar]
- Ma, S.X.; Yan, Y.B.; Zhang, X.; Liu, L.L.; Qin, Z.X.; Li, J. Efficacy and Effect on Serum Cytokines of Xiyanping Injection Combined with Azithromycin in Mycoplasma Pneumonia in Children. Chin. Tradit. Herb. Drugs 2019, 50, 2945–2949. [Google Scholar]
- Cavallazzi, R.; Ramirez, J.A. How and When to Manage Respiratory Infections out of Hospital. Eur. Respir. Rev. 2022, 31, 220092. [Google Scholar] [CrossRef]
- Dong, K.X.; Wu, W.; Wang, Z.F.; Li, L.X.; Yang, Y.Y. Complex Network Analysis of Xiyanping Injection in Bronchitis Treatment Based on Real-World Data. Chin. Exp. Tradit. Formulae 2021, 27, 175–184. [Google Scholar] [CrossRef]
- Chen, Q.; Zhu, X.H.; Liu, Y.; Li, L.; Luo, J.H.; Zhang, Y.Y.; Huang, J.; Cao, X.C.; Song, X.H.; Wan, F.R. Multicenter, Randomized, Parallel-Controlled Study on Intramuscular Injection of Xiyanping Injection in Pediatric Acute Bronchitis. Chin. J. Contemp. Pediatr. 2023, 25, 1107–1112. [Google Scholar]
- Ding, Y.; Liu, W.Y.; Liu, J.F.; Xiong, Y.; He, X.P.; Zhang, M.; Chen, Y.S.; Li, J.; Xu, P.; Xie, S.H.; et al. Multicenter, Double-Blind, Randomized Controlled Trial of Xiyanping Injection for Acute Bronchitis. Chin. J. Basic. Med. Tradit. Chin. Med. 2023, 29, 432–437. [Google Scholar] [CrossRef]
- Zhang, X. Efficacy Analysis of Piperacillin Sulbactam Combined with Xiyanping in Acute Infectious Bronchitis. Jiangsu Med. 2011, 37, 1719–1720. [Google Scholar] [CrossRef]
- Ji, T.; Han, T.; Tan, X.; Zhu, S.; Yan, D.; Yang, Q.; Song, Y.; Cui, A.; Zhang, Y.; Mao, N.; et al. Surveillance, Epidemiology, and Pathogen Spectrum of Hand, Foot, and Mouth Disease in Mainland of China from 2008 to 2017. Biosaf. Health 2019, 1, 32–40. [Google Scholar] [CrossRef]
- Xiu-hui, L.I.; Shuang-jie, L.I.; Yi, X.U.; Dan, W.E.I.; Qing-sheng, S.H.I.; Qing-xiong, Z.H.U.; Tong, Y.; Jian-bo, D.; Yi-mei, T.; Ji-han, H.; et al. Effect of Integrated Chinese and Western Medicine Therapy on Severe Hand, Foot and Mouth Disease: A Prospective, Randomized, Controlled Trial. Chin. J. Integr. Med. 2017, 23, 887–892. [Google Scholar]
- Guoliang, Z.; Liyun, H.; Liuping, T.; Tong, Y.; Xinying, Z.; Qingxiong, Z.; Shiyan, Y.; Yong, H.; Baoju, H.; Jindong, Z.; et al. Xiyanping Injection Therapy for Children with Mild Hand Foot and Mouth Disease: A Randomized Controlled Trial. J. Tradit. Chin. Med. 2017, 37, 397–403. [Google Scholar] [CrossRef]
- Jin, Y.H.; Zhan, Q.Y.; Peng, Z.Y.; Ren, X.Q.; Yin, X.T.; Cai, L.; Yuan, Y.F.; Yue, J.R.; Zhang, X.C.; Yang, Q.W.; et al. Evidence-Based Clinical Practice Guidelines for COVID-19 (Updated Version). J. PLA Med. 2020, 45, 1003–1031. [Google Scholar]
- Zhang, X.Y.; Lv, L.; Zhou, Y.L.; Xie, L.D.; Xu, Q.; Zou, X.F.; Ding, Y.; Tian, J.; Fan, J.L.; Fan, H.W.; et al. Efficacy and Safety of Xiyanping Injection in the Treatment of COVID-19: A Multicenter, Prospective, Open-Label and Randomized Controlled Trial. Phytother. Res. PTR 2021, 35, 4401–4410. [Google Scholar] [CrossRef]
- Ding, Y.; Zhang, Q.F.; Shen, Q.L.; Zhang, M.; Xie, S.H.; Li, J.; Jiao, S.S.; Li, L.B.; Zhao, D.M.; Chen, Y.S.; et al. Multicenter, Randomized, Single-Blind, Placebo-Controlled Clinical Study of Xiyanping Injection in Acute Tonsillitis. Chin. Tradit. Herb. Drugs 2023, 54, 3586–3593. [Google Scholar]
- Liu, S.L.; Luo, J.N.; Zeng, J.; Zhao, S.; Huang, M.C.; Cai, X.G. Xiyanping Injection Combined with Jinniu Abdominal Pain Tablets in the Treatment of Acute Gastroenteritis: A Clinical Study on 200 Cases. Mod. Distance Educ. Chin. Med. 2016, 14, 64–66. [Google Scholar]
- Yuan, L.P. Analysis of the Effectiveness of Xiyanping Combined with Antibiotics in the Treatment of Community-Acquired Lower Respiratory Tract Infections. Chin. Community Physician 2016, 32, 94–95. [Google Scholar]
- Traditional Chinese Medicine Injections. Wikipedia, the Free Encyclopedia 2024. Available online: https://zh.wikipedia.org/wiki/%E4%B8%AD%E8%8D%AF%E6%B3%A8%E5%B0%84%E5%89%82 (accessed on 14 December 2024).
- Jiangxi Provincial Drug Administration. Public Announcement on Approving the Resumption of Production and Sales of Xiyanping Injection by Jiangxi Qingfeng Pharmaceutical Co., Ltd. (No. 55, 2017). Available online: https://mpa.jiangxi.gov.cn/jxsypjdglj/col/col37111/content/content_1840284366215786496.html (accessed on 14 December 2024).
- Ma, G.Q.; Kuang, J.J. Literature Analysis of 109 Cases of Adverse Reactions to Xiyanping Injection. Chin. Drug Alert 2010, 7, 558–560. [Google Scholar]
- Yang, R.Z.; Li, Y. Clinical Analysis of Allergic Reactions Induced by Xiyanping Injection. China Pharm. 2007, 16, 21. [Google Scholar] [CrossRef]
- Kapingidza, A.B.; Kowal, K.; Chruszcz, M. Antigen–Antibody Complexes. In Vertebrate and Invertebrate Respiratory Proteins, Lipoproteins and Other Body Fluid Proteins; Hoeger, U., Harris, J.R., Eds.; Springer International Publishing: Cham, Switzerland, 2020; pp. 465–497. ISBN 978-3-030-41769-7. [Google Scholar]
- Windbichler, M.; Echtenacher, B.; Takahashi, K.; Ezekowitz, R.A.B.; Schwaeble, W.J.; Jenseniuis, J.C.; Männel, D.N. Investigations on the Involvement of the Lectin Pathway of Complement Activation in Anaphylaxis. Int. Arch. Allergy Immunol. 2006, 141, 11–23. [Google Scholar] [CrossRef] [PubMed]
- Lieberman, P. Mechanisms of Anaphylaxis beyond Classically Mediated Antigen- and IgE-Induced Events. Ann. Allergy Asthma Immunol. 2017, 118, 246–248. [Google Scholar] [CrossRef]
- Yang, X.L.; Cheng, F.; Liu, Y.H.; Liu, D.F.; Liu, Y.Q.; Ouyang, T.; Lv, W.Q. Stability Study of Xiyanping Injection Combined with 15 Drugs. Chin. New Drugs J. 2013, 22, 2374–2378. [Google Scholar]
- Wang, Z.F.; Zhang, H.C.; Xie, Y.M.; Miao, Q.; Sun, Z.T.; Wang, R.B.; Wang, X.G.; Zhan, S.Y. Expert Consensus on the Clinical Application of Xiyanping Injection in the Treatment of Respiratory Infectious Diseases (Adult Version). China J. Chin. Mater. Med. 2019, 44, 5282–5286. [Google Scholar] [CrossRef]
- Sun, Y.; Fan, J.J.; Yan, P.J.; Zhu, Y.N.; Dong, Y.Z.; Zhang, F.M.; Du, J. Research Progress in the Non-Clinical Safety Re-Evaluation of Traditional Chinese Medicine Injections. Drug Eval. Res. 2024, 47, 1400–1412. [Google Scholar]
- Wen, Y.; Wang, Y.; Zhao, C.; Zhao, B.; Wang, J. The Pharmacological Efficacy of Baicalin in Inflammatory Diseases. Int. J. Mol. Sci. 2023, 24, 9317. [Google Scholar] [CrossRef]
- Zyad, A.; Tilaoui, M.; Jaafari, A.; Oukerrou, M.A.; Mouse, H.A. More Insights into the Pharmacological Effects of Artemisinin. Phytother. Res. 2018, 32, 216–229. [Google Scholar] [CrossRef]
- Tanrisever, B.; Santella, P.J. Cefadroxil. A Review of Its Antibacterial, Pharmacokinetic and Therapeutic Properties in Comparison with Cephalexin and Cephradine. Drugs 1986, 32 (Suppl. 3), 1–16. [Google Scholar] [CrossRef]
- Kalepu, S.; Nekkanti, V. Insoluble Drug Delivery Strategies: Review of Recent Advances and Business Prospects. Acta Pharm. Sin. B 2015, 5, 442–453. [Google Scholar] [CrossRef] [PubMed]
- Bhalani, D.V.; Nutan, B.; Kumar, A.; Singh Chandel, A.K. Bioavailability Enhancement Techniques for Poorly Aqueous Soluble Drugs and Therapeutics. Biomedicines 2022, 10, 2055. [Google Scholar] [CrossRef] [PubMed]
- Bruno, C.D.; Harmatz, J.S.; Duan, S.X.; Zhang, Q.; Chow, C.R.; Greenblatt, D.J. Effect of Lipophilicity on Drug Distribution and Elimination: Influence of Obesity. Br. J. Clin. Pharmacol. 2021, 87, 3197–3205. [Google Scholar] [CrossRef] [PubMed]
- Climent, E.; Benaiges, D.; Pedro-Botet, J. Hydrophilic or Lipophilic Statins? Front. Cardiovasc. Med. 2021, 8, 687585. [Google Scholar] [CrossRef]
- Wei, X.R. Systematic Review of the Efficacy, Safety, and Cost-Effectiveness of Xiyanping Injection in the Treatment of Pediatric Bronchitis. Master’s Thesis, Beijing University of Chinese Medicine, Beijing, China, 2017. [Google Scholar]






| Type of Adverse Reaction | Proportion (%) | Clinical Manifestation |
|---|---|---|
| Skin and Appendage Damage | 50.57 | Primarily manifested as facial flushing, accompanied by rashes, urticaria, and wheal-like erythema distributed on the face and neck. In some patients, the rash extends to the chest and limbs. Vaso-neurotic edema is observed, with pronounced eyelid and facial swelling, cold edema of the upper and lower lips, and mild swelling of the fingers and toes. |
| Anaphylactic Shock | 21.59 | Symptoms include nausea, vomiting, restlessness, cyanosis of the lips, bluish discoloration of the face, cold extremities, hypotension, and impaired consciousness. |
| Digestive System | 11.36 | Accompanied by diarrhea, watery stools, nausea, severe vomiting, and hyperactive bowel sounds. |
| Respiratory System | 7.95 | Coughing and shortness of breath. |
| Other Severe Anaphylactoid Reactions | 3.98 | Symptoms include dizziness, abdominal pain, fine facial sweating, dry mouth, temporary slowed cognitive response with cold sweating, forced limb convulsions, lethargy, pale complexion, cold and clammy extremities, and mild hypotension (not reaching shock levels). |
| Cardiovascular System | 3.41 | Tachycardia. |
| Allergic Asthma | 0.57 | Chest tightness, breathlessness, and audible significant wheezing sounds in both lungs. |
| Drug Fever | 0.57 | High fever with abnormally elevated body temperature |
Disclaimer/Publisher’s Note: The statements, opinions and data contained in all publications are solely those of the individual author(s) and contributor(s) and not of MDPI and/or the editor(s). MDPI and/or the editor(s) disclaim responsibility for any injury to people or property resulting from any ideas, methods, instructions or products referred to in the content. |
© 2025 by the authors. Licensee MDPI, Basel, Switzerland. This article is an open access article distributed under the terms and conditions of the Creative Commons Attribution (CC BY) license (https://creativecommons.org/licenses/by/4.0/).
Share and Cite
Li, Z.; Yao, L.; Liu, Z.; Wang, L.; Ruan, H.; Shen, Y.; Zhang, P.; Li, K.; Wang, H.; Fan, L.; et al. Andrographolide Sulfonates and Xiyanping: A Review of Chemical Composition, Pharmacological Activities, Clinical Applications, and Adverse Reactions. Pharmaceuticals 2025, 18, 183. https://doi.org/10.3390/ph18020183
Li Z, Yao L, Liu Z, Wang L, Ruan H, Shen Y, Zhang P, Li K, Wang H, Fan L, et al. Andrographolide Sulfonates and Xiyanping: A Review of Chemical Composition, Pharmacological Activities, Clinical Applications, and Adverse Reactions. Pharmaceuticals. 2025; 18(2):183. https://doi.org/10.3390/ph18020183
Chicago/Turabian StyleLi, Zihong, Lihao Yao, Zhenjie Liu, Liuping Wang, Huini Ruan, Yuanle Shen, Peng Zhang, Kaitong Li, Honglan Wang, Lili Fan, and et al. 2025. "Andrographolide Sulfonates and Xiyanping: A Review of Chemical Composition, Pharmacological Activities, Clinical Applications, and Adverse Reactions" Pharmaceuticals 18, no. 2: 183. https://doi.org/10.3390/ph18020183
APA StyleLi, Z., Yao, L., Liu, Z., Wang, L., Ruan, H., Shen, Y., Zhang, P., Li, K., Wang, H., Fan, L., Tu, L., & Feng, J. (2025). Andrographolide Sulfonates and Xiyanping: A Review of Chemical Composition, Pharmacological Activities, Clinical Applications, and Adverse Reactions. Pharmaceuticals, 18(2), 183. https://doi.org/10.3390/ph18020183

