Development of New Pyrazolo [3,4-b]Pyridine Derivatives as Potent Anti-Leukemic Agents and Topoisomerase IIα Inhibitors with Broad-Spectrum Cytotoxicity
Abstract
1. Introduction
2. Results and Discussion
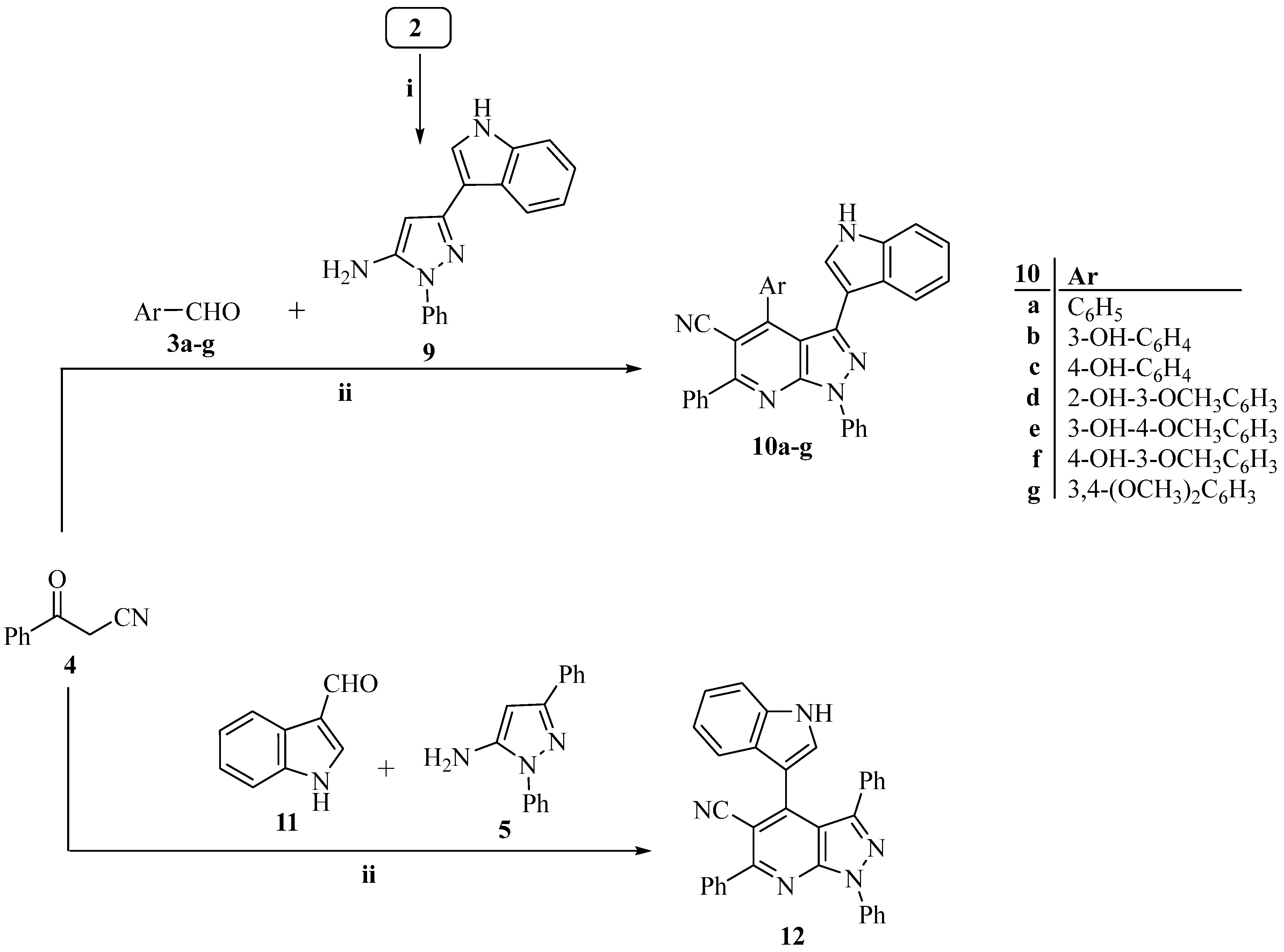
2.1. Chemistry
2.2. Structure Elucidation of the Target Compounds
2.3. Biological Evaluation
2.4. Antiproliferative Activity Against Leukemia Cells
2.5. Immunodetection and Cell Cycle Analysis of MV4-11
2.6. Topoisomerase Relaxation Assay
2.7. Kinase Assays
2.8. Docking
3. Materials and Methods
3.1. Chemistry
3.1.1. General
3.1.2. General Procedure for Synthesis of Pyrazolo [3,4-b]Pyridines (8a–g, 10a–g, and 12)
3.1.3. 6-(1H-Indol-3-yl)-1,3,4-Triphenyl-1H-Pyrazolo [3,4-b]Pyridine-5-Carbonitrile (8a)
3.1.4. 4-(3-Hydroxyphenyl)-6-(1H-Indol-3-yl)-1,3-Diphenyl-1H-Pyrazolo [3,4-b]Pyridine-5-Carbonitrile (8b)
3.1.5. 4-(4-Hydroxyphenyl)-6-(1H-Indol-3-yl)-1,3-Diphenyl-1H-Pyrazolo [3,4-b]Pyridine-5-Carbonitrile (8c)
3.1.6. 4-(2-Hydroxy-3-Methoxyphenyl)-6-(1H-Indol-3-yl)-1,3-Diphenyl-1H-Pyrazolo [3,4-b]Pyridine-5-Carbonitrile (8d)
3.1.7. 4-(3-Hydroxy-4-Methoxyphenyl)-6-(1H-Indol-3-yl)-1,3-Diphenyl-1H-Pyrazolo [3,4-b]Pyridine-5-Carbonitrile (8e)
3.1.8. 4-(4-Hydroxy-3-Methoxyphenyl)-6-(1H-Indol-3-yl)-1,3-Diphenyl-1H-Pyrazolo [3,4-b]Pyridine-5-Carbonitrile (8f)
3.1.9. 4-(3,4-Dimethoxyphenyl)-6-(1H-Indol-3-yl)-1,3-Diphenyl-1H-Pyrazolo [3,4-b]Pyridine-5-Carbonitrile (8g)
3.1.10. 3-(1H-Indol-3-yl)-1,4,6-Triphenyl-1H-Pyrazolo [3,4-b]Pyridine-5-Carbonitrile (10a)
3.1.11. 4-(3-Hydroxyphenyl)-3-(1H-Indol-3-yl)-1,6-Diphenyl-1H-Pyrazolo [3,4-b]Pyridine-5-Carbonitrile (10b)
3.1.12. 4-(4-Hydroxyphenyl)-3-(1H-Indol-3-yl)-1,6-Diphenyl-1H-Pyrazolo [3,4-b]Pyridine-5-Carbonitrile (10c)
3.1.13. 4-(2-Hydroxy-3-Methoxyphenyl)-3-(1H-Indol-3-yl)-1,6-Diphenyl-1H-Pyrazolo [3,4-b]Pyridine-5-Carbonitrile (10d)
3.1.14. 4-(3-Hydroxy-4-Methoxyphenyl)-3-(1H-Indol-3-yl)-1,6-Diphenyl-1H-Pyrazolo [3,4-b]Pyridine-5-Carbonitrile (10e)
3.1.15. 4-(4-Hydroxy-3-Methoxyphenyl)-3-(1H-Indol-3-yl)-1,6-Diphenyl-1H-Pyrazolo [3,4-b]Pyridine-5-Carbonitrile (10f)
3.1.16. 4-(3,4-Dimethoxyphenyl)-3-(1H-Indol-3-yl)-1,6-Diphenyl-1H-Pyrazolo [3,4-b]Pyridine-5-Carbonitrile (10g)
3.1.17. 4-(1H-Indol-3-yl)-1,3,6-Triphenyl-1H-Pyrazolo [3,4-b]Pyridine-5-Carbonitrile (12)
3.2. Biological Evaluation
3.2.1. In Vitro Antitumor Screening Against 60 Cancer Cell Lines
3.2.2. Cell Lines
3.2.3. Cell Viability Assay
3.2.4. Flow Cytometry
3.2.5. Immunoblotting
3.2.6. Topoisomerase Relaxation Assay
3.2.7. Molecular Docking
4. Conclusions
Supplementary Materials
Author Contributions
Funding
Institutional Review Board Statement
Data Availability Statement
Conflicts of Interest
References
- Bray, F.; Laversanne, M.; Sung, H.; Ferlay, J.; Siegel, R.L.; Soerjomataram, I.; Jemal, A. Global cancer statistics 2022: GLOBOCAN estimates of incidence and mortality worldwide for 36 cancers in 185 countries. CA Cancer J. Clin. 2024, 74, 229–263. [Google Scholar] [CrossRef]
- Siegel, R.L.; Kratzer, T.B.; Giaquinto, A.N.; Sung, H.; Jemal, A. Cancer statistics, 2025. CA Cancer J. Clin. 2025, 75, 10–45. [Google Scholar] [CrossRef]
- Bizuayehu, H.M.; Dadi, A.F.; Ahmed, K.Y.; Tegegne, T.K.; Hassen, T.A.; Kibret, G.D.; Ketema, D.B.; Bore, M.G.; Thapa, S.; Odo, D.B.; et al. Burden of 30 cancers among men: Global statistics in 2022 and projections for 2050 using population-based estimates. Cancer 2024, 130, 3708–3723. [Google Scholar] [CrossRef]
- Spring, J.; Munshi, L. Hematology Emergencies in Adults With Critical Illness: Malignant Hematology. Chest 2022, 162, 120–131. [Google Scholar] [CrossRef] [PubMed]
- Daltveit, D.S.; Morgan, E.; Colombet, M.; Steliarova-Foucher, E.; Bendahhou, K.; Marcos-Gragera, R.; Rongshou, Z.; Smith, A.; Wei, H.; Soerjomataram, I. Global patterns of leukemia by subtype, age, and sex in 185 countries in 2022. Leukemia 2025, 39, 412–419. [Google Scholar] [CrossRef] [PubMed]
- Greaves, M. Leukaemia ‘firsts’ in cancer research and treatment. Nat. Rev. Cancer 2016, 16, 163–172. [Google Scholar] [CrossRef] [PubMed]
- Donaire-Arias, A.; Montagut, A.M.; Puig de la Bellacasa, R.; Estrada-Tejedor, R.; Teixidó, J.; Borrell, J.I. 1H-Pyrazolo [3,4-b]pyridines: Synthesis and Biomedical Applications. Molecules 2022, 27, 2237. [Google Scholar] [CrossRef]
- Lin, R.; Connolly, P.J.; Lu, Y.; Chiu, G.; Li, S.; Yu, Y.; Huang, S.; Li, X.; Emanuel, S.L.; Middleton, S.A.; et al. Synthesis and evaluation of pyrazolo[3,4-b]pyridine CDK1 inhibitors as anti-tumor agents. Bioorganic Med. Chem. Lett. 2007, 17, 4297–4302. [Google Scholar] [CrossRef]
- Almansour, B.S.; Binjubair, F.A.; Abdel-Aziz, A.A.-M.; Al-Rashood, S.T. Synthesis and In Vitro Anticancer Activity of Novel 4-Aryl-3-(4-methoxyphenyl)-1-phenyl-1H-pyrazolo[3,4-b]pyridines Arrest Cell Cycle and Induce Cell Apoptosis by Inhibiting CDK2 and/or CDK9. Molecules 2023, 28, 6428. [Google Scholar] [CrossRef]
- Misra, R.N.; Xiao, H.-Y.; Rawlins, D.B.; Shan, W.; Kellar, K.A.; Mulheron, J.G.; Sack, J.S.; Tokarski, J.S.; Kimball, S.D.; Webster, K.R. 1H-Pyrazolo[3,4-b]pyridine inhibitors of cyclin-dependent kinases: Highly potent 2,6-Difluorophenacyl analogues. Bioorganic Med. Chem. Lett. 2003, 13, 2405–2408. [Google Scholar] [CrossRef] [PubMed]
- Zhai, M.A.; Liu, S.; Gao, M.; Wang, L.; Sun, J.; Du, J.; Guan, Q.; Bao, K.; Zuo, D.; Wu, Y.; et al. 3,5-Diaryl-1H-pyrazolo[3,4-b]pyridines as potent tubulin polymerization inhibitors: Rational design, synthesis and biological evaluation. Eur. J. Med. Chem. 2019, 168, 426–435. [Google Scholar] [CrossRef]
- Witherington, J.; Bordas, V.; Gaiba, A.; Garton, N.S.; Naylor, A.; Rawlings, A.D.; Slingsby, B.P.; Smith, D.G.; Takle, A.K.; Ward, R.W. 6-Aryl-pyrazolo[3,4-b]pyridines: Potent inhibitors of glycogen synthase kinase-3 (GSK-3). Bioorganic Med. Chem. Lett. 2003, 13, 3055–3057. [Google Scholar] [CrossRef] [PubMed]
- Verma, N.; Tiwari, G.; Khanna, A.; Mishra, V.K.; Yadav, Y.; Malviya, M.; Sagar, R. Molecular Design, Synthesis and Anticancer Activity of Novel Pyrazolo[3,4-b]pyridine-based Glycohybrid Molecules. Bioorganic Chem. 2025, 156, 108161. [Google Scholar] [CrossRef] [PubMed]
- Zhao, B.; Li, Y.; Xu, P.; Dai, Y.; Luo, C.; Sun, Y.; Ai, J.; Geng, M.; Duan, W. Discovery of Substituted 1H-Pyrazolo[3,4-b]pyridine Derivatives as Potent and Selective FGFR Kinase Inhibitors. ACS Med. Chem. Lett. 2016, 7, 629–634. [Google Scholar] [CrossRef]
- Liu, N.; Wang, X.; Fu, Q.; Qin, Q.; Wu, T.; Lv, R.; Zhao, D.; Cheng, M. Design, synthesis and biological evaluation of pyrazolo[3,4-b]pyridine derivatives as TRK inhibitors. RSC Med. Chem. 2023, 14, 85–102. [Google Scholar] [CrossRef]
- El-Gohary, N.S.; Hawas, S.S.; Gabr, M.T.; Shaaban, M.I.; El-Ashmawy, M.B. New series of fused pyrazolopyridines: Synthesis, molecular modeling, antimicrobial, antiquorum-sensing and antitumor activities. Bioorganic Chem. 2019, 92, 103109. [Google Scholar] [CrossRef] [PubMed]
- Hawas, S.S.; El-Gohary, N.S.; Gabr, M.T.; Shaaban, M.I.; El-Ashmawy, M.B. Synthesis, molecular docking, antimicrobial, antiquorum-sensing and antiproliferative activities of new series of pyrazolo[3,4-b]pyridine analogs. Synth. Commun. 2019, 49, 2466–2487. [Google Scholar] [CrossRef]
- Kazemi, Z.; Rudbari, H.A.; Moini, N.; Momenbeik, F.; Carnamucio, F.; Micale, N. Indole-Containing Metal Complexes and Their Medicinal Applications. Molecules 2024, 29, 484. [Google Scholar] [CrossRef]
- Qin, H.-L.; Liu, J.; Fang, W.-Y.; Ravindar, L.; Rakesh, K.P. Indole-based derivatives as potential antibacterial activity against methicillin-resistance Staphylococcus aureus (MRSA). Eur. J. Med. Chem. 2020, 194, 112245. [Google Scholar] [CrossRef]
- Siddique, S.; Ahmad, K.R.; Nawaz, S.K.; Raza, A.R.; Ahmad, S.N.; Ali, R.; Inayat, I.; Suleman, S.; Kanwal, M.A.; Usman, M. Evaluation of the antiinflammatory, analgesic, anti-pyretic and anti-ulcerogenic potentials of synthetic indole derivatives. Sci. Rep. 2023, 13, 8639. [Google Scholar] [CrossRef]
- Mehra, A.; Sharma, V.; Verma, A.; Venugopal, S.; Mittal, A.; Singh, G.; Kaur, B. Indole Derived Anticancer Agents. ChemistrySelect 2022, 7, e202202361. [Google Scholar] [CrossRef]
- Hassan, S.M.; Farid, A.; Panda, S.S.; Bekheit, M.S.; Dinkins, H.; Fayad, W.; Girgis, A.S. Indole Compounds in Oncology: Therapeutic Potential and Mechanistic Insights. Pharmaceuticals 2024, 17, 922. [Google Scholar] [CrossRef] [PubMed]
- Ahuja, P.; Siddiqui, N. Anticonvulsant evaluation of clubbed indole-1,2,4-triazine derivatives: A synthetic approach. Eur. J. Med. Chem. 2014, 80, 509–522. [Google Scholar] [CrossRef]
- Singh, A.; Bhutani, C.; Khanna, P.; Talwar, S.; Singh, S.K.; Khanna, L. Recent report on indoles as a privileged antiviral scaffold in drug discovery. Eur. J. Med. Chem. 2025, 281, 117017. [Google Scholar] [CrossRef] [PubMed]
- Zhu, Y.; Zhao, J.; Luo, L.; Gao, Y.; Bao, H.; Li, P.; Zhang, H. Research progress of indole compounds with potential antidiabetic activity. Eur. J. Med. Chem. 2021, 223, 113665. [Google Scholar] [CrossRef] [PubMed]
- Süzen, S. Antioxidant Activities of Synthetic Indole Derivatives and Possible Activity Mechanisms. In Bioactive Heterocycles V; Khan, M.T.H., Ed.; Springer: Berlin/Heidelberg, Germany, 2007; pp. 145–178. [Google Scholar]
- Nishiguchi, G.A.; Atallah, G.; Bellamacina, C.; Burger, M.T.; Ding, Y.; Feucht, P.H.; Garcia, P.D.; Han, W.; Klivansky, L.; Lindvall, M. Discovery of novel 3,5-disubstituted indole derivatives as potent inhibitors of Pim-1, Pim-2, and Pim-3 protein kinases. Bioorganic Med. Chem. Lett. 2011, 21, 6366–6369. [Google Scholar] [CrossRef]
- Al-Warhi, T.; El Kerdawy, A.M.; Aljaeed, N.; Ismael, O.E.; Ayyad, R.R.; Eldehna, W.M.; Abdel-Aziz, H.A.; Al-Ansary, G.H. Synthesis, Biological Evaluation and In Silico Studies of Certain Oxindole-Indole Conjugates as Anticancer CDK Inhibitors. Molecules 2020, 25, 2031. [Google Scholar] [CrossRef]
- Tiwari, S.V.; Pansare, D.N.; Lokwani, D.K.; Bhandari, S.V.; Kanode, V.V.; Tandale, O.V.; Kadam, A.R. Appraisal and synthesis of novel indole-thiazole derivatives as epidermal growth factor receptor tyrosine kinase (EGFR-TK) inhibitors against resistance mutation for lung cancer treatment. Results Chem. 2024, 11, 101760. [Google Scholar] [CrossRef]
- Bruel, A.; Logé, C.; de Tauzia, M.-L.; Ravache, M.; Le Guevel, R.; Guillouzo, C.; Lohier, J.-F.; Oliveira Santos, J.S.-d.; Lozach, O.; Meijer, L.; et al. Synthesis and biological evaluation of new 5-benzylated 4-oxo-3,4-dihydro-5H-pyridazino[4,5-b]indoles as PI3Kα inhibitors. Eur. J. Med. Chem. 2012, 57, 225–233. [Google Scholar] [CrossRef]
- Liu, Y.; Li, J.; Zhou, G.; Zhang, J.; Teng, Y.; Bai, Z.; Liu, T. Design, synthesis and anticancer activity studies of novel indole derivatives as Bcl-2/Mcl-1 dual inhibitors. Med. Chem. Res. 2023, 32, 99–108. [Google Scholar] [CrossRef]
- Zidar, N.; Secci, D.; Tomašič, T.; Mašič, L.P.; Kikelj, D.; Passarella, D.; Argaez, A.N.G.; Hyeraci, M.; Dalla Via, L. Synthesis, Antiproliferative Effect, and Topoisomerase II Inhibitory Activity of 3-Methyl-2-phenyl-1H-indoles. ACS Med. Chem. Lett. 2020, 11, 691–697. [Google Scholar] [CrossRef]
- Asati, V.; Bhupal, R.; Bhattacharya, S.; Kaur, K.; Gupta, G.D.; Pathak, A.; Mahapatra, D.K. Recent Updates on Indole Derivatives as Kinase Inhibitors in the Treatment of Cancer. Anticancer Agents Med. Chem. 2023, 23, 404–416. [Google Scholar] [CrossRef] [PubMed]
- Swedan, H.K.; Kassab, A.E.; Gedawy, E.M.; Elmeligie, S.E. Topoisomerase II inhibitors design: Early studies and new perspectives. Bioorganic Chem. 2023, 136, 106548. [Google Scholar] [CrossRef] [PubMed]
- McKie, S.J.; Neuman, K.C.; Maxwell, A. DNA topoisomerases: Advances in understanding of cellular roles and multi-protein complexes via structure-function analysis. BioEssays News Rev. Mol. Cell. Dev. Biol. 2021, 43, e2000286. [Google Scholar] [CrossRef]
- Pommier, Y.; Nussenzweig, A.; Takeda, S.; Austin, C. Human topoisomerases and their roles in genome stability and organization. Nat. Rev. Mol. Cell Biol. 2022, 23, 407–427. [Google Scholar] [CrossRef]
- Baranello, L.; Kouzine, F.; Levens, D. Topoisomerase Regulation of Cancer Gene Expression. Annu. Rev. Biochem. 2025, 94, 333–359. [Google Scholar] [CrossRef]
- Buzun, K.; Bielawska, A.; Bielawski, K.; Gornowicz, A. DNA topoisomerases as molecular targets for anticancer drugs. J. Enzym. Inhib. Med. Chem. 2020, 35, 1781–1799. [Google Scholar] [CrossRef]
- Matias-Barrios, V.M.; Dong, X. The Implication of Topoisomerase II Inhibitors in Synthetic Lethality for Cancer Therapy. Pharmaceuticals 2023, 16, 94. [Google Scholar] [CrossRef]
- Delgado, J.L.; Hsieh, C.M.; Chan, N.L.; Hiasa, H. Topoisomerases as anticancer targets. Biochem. J. 2018, 475, 373–398. [Google Scholar] [CrossRef] [PubMed]
- Bondarev, A.D.; Jonsson, J.; Chubarev, V.N.; Tarasov, V.V.; Lagunas-Rangel, F.A.; Schiöth, H.B. Recent developments of topoisomerase inhibitors: Clinical trials, emerging indications, novel molecules and global sales. Pharmacol. Res. 2024, 209, 107431. [Google Scholar] [CrossRef]
- Pentheroudakis, G.; Goussia, A.; Voulgaris, E.; Nikolaidis, K.; Ioannidou, E.; Papoudou-Bai, A.; Grepi, K.; Kanavaros, P.; Pavlidis, N.; Bai, M. High levels of topoisomerase IIα protein expression in diffuse large B-cell lymphoma are associated with high proliferation, germinal center immunophenotype, and response to treatment. Leuk. Lymphoma 2010, 51, 1260–1268. [Google Scholar] [CrossRef]
- Jang, J.Y.; Kim, D.; Im, E.; Kim, N.D. Etoposide as a Key Therapeutic Agent in Lung Cancer: Mechanisms, Efficacy, and Emerging Strategies. Int. J. Mol. Sci. 2025, 26, 796. [Google Scholar] [CrossRef]
- Skok, Ž.; Zidar, N.; Kikelj, D.; Ilaš, J. Dual Inhibitors of Human DNA Topoisomerase II and Other Cancer-Related Targets. J. Med. Chem. 2019, 63, 884–904. [Google Scholar] [CrossRef] [PubMed]
- Bhutani, V.; Varzideh, F.; Wilson, S.; Kansakar, U.; Jankauskas, S.S.; Santulli, G. Doxorubicin-Induced Cardiotoxicity: A Comprehensive Update. J. Cardiovasc. Dev. Dis. 2025, 12, 207. [Google Scholar] [CrossRef]
- Zhu, L.; Lin, M. The Synthesis of Nano-Doxorubicin and its Anticancer Effect. Anticancer Agents Med. Chem. 2021, 21, 2466–2477. [Google Scholar] [CrossRef]
- Kobayashi, K.; Ratain, M.J. Pharmacodynamics and long-term toxicity of etoposide. Cancer Chemother. Pharmacol. 1994, 34, S64–S68. [Google Scholar] [CrossRef] [PubMed]
- Sharma, N.K.; Bahot, A.; Sekar, G.; Bansode, M.; Khunteta, K.; Sonar, P.V.; Hebale, A.; Salokhe, V.; Sinha, B.K. Understanding Cancer’s Defense against Topoisomerase-Active Drugs: A Comprehensive Review. Cancers 2024, 16, 680. [Google Scholar] [CrossRef] [PubMed]
- Hu, W.; Huang, X.-S.; Wu, J.-F.; Yang, L.; Zheng, Y.-T.; Shen, Y.-M.; Li, Z.-Y.; Li, X. Discovery of Novel Topoisomerase II Inhibitors by Medicinal Chemistry Approaches. J. Med. Chem. 2018, 61, 8947–8980. [Google Scholar] [CrossRef]
- Shen, G.; Li, S.; Zhu, Y.; Xu, Z.; Liu, X.; Lv, C.; Xing, Z.; Cui, L.; Li, W. Recent progress in topoisomerase inhibitors as anticancer agents: Research and design strategies for Topo I and II inhibitors via structural optimization. Bioorganic Chem. 2025, 165, 109040. [Google Scholar] [CrossRef]
- Qiu, G.; Xie, J.; Li, F.; Han, K.; Long, Q.; Kowah, J.A.H.; Gao, R.; Wang, L.; Liu, X. Design, synthesis and biological evaluation of matrine contains benzimidazole derivatives as dual TOPOI and PARP inhibitors for cancer therapy. Eur. J. Med. Chem. 2024, 270, 116348. [Google Scholar] [CrossRef]
- Wang, B.; Shi, T.; Jia, S.; Wang, E.; Ruan, X.; Sheng, C.; Wu, S.; Zhou, Q. Indolo[3,2-c]isoquinoline Hydroxamic Acid Derivatives as Novel Orally Topoisomerase-Histone Deacetylase Dual Inhibitors for NSCLC Therapy. J. Med. Chem. 2025, 68, 1300–1315. [Google Scholar] [CrossRef]
- Mohammed, H.H.H.; Abd El-Hafeez, A.A.; Ebeid, K.; Mekkawy, A.I.; Abourehab, M.A.S.; Wafa, E.I.; Alhaj-Suliman, S.O.; Salem, A.K.; Ghosh, P.; Abuo-Rahma, G.E.-D.A.; et al. New 1,2,3-triazole linked ciprofloxacin-chalcones induce DNA damage by inhibiting human topoisomerase I& II and tubulin polymerization. J. Enzym. Inhib. Med. Chem. 2022, 37, 1346–1363. [Google Scholar] [CrossRef]
- Eldehna, W.M.; Tawfik, H.O.; Abdulla, M.-H.; Nafie, M.S.; Aref, H.; Shaldam, M.A.; Alhassan, N.S.; Al Obeed, O.; Elsayed, Z.M.; Abdel-Aziz, H.A. Identification of indole-grafted pyrazolopyrimidine and pyrazolopyridine derivatives as new anticancer agents: Synthesis, biological assessments, and molecular modeling insights. Bioorganic Chem. 2024, 153, 107804. [Google Scholar] [CrossRef]
- Barghash, R.F.; Eldehna, W.M.; Kovalová, M.; Vojáčková, V.; Kryštof, V.; Abdel-Aziz, H.A. One-pot three-component synthesis of novel pyrazolo[3,4-b]pyridines as potent antileukemic agents. Eur. J. Med. Chem. 2022, 227, 113952. [Google Scholar] [CrossRef]
- Eldehna, W.M.; Abdulla, M.-H.; Nafie, M.S.; Elsawi, A.E.; Ayman, S.; Shahin, M.I.; Alhassan, N.S.; Zubaidi, A.M.; Ghabbour, H.A.; Elaasser, M.; et al. Unveiling the anticancer potential of novel spirooxindole-tethered pyrazolopyridine derivatives. Bioorganic Chem. 2024, 153, 107778. [Google Scholar] [CrossRef] [PubMed]
- Syamala, M. Recent progress in three-component reactions. An update. Org. Prep. Proced. Int. 2009, 41, 1–68. [Google Scholar] [CrossRef]
- Zhi, S.; Ma, X.; Zhang, W. Consecutive multicomponent reactions for the synthesis of complex molecules. Org. Biomol. Chem. 2019, 17, 7632–7650. [Google Scholar] [CrossRef] [PubMed]
- Wang, Z.-Y.; Zhang, Z.; Chen, W.; Liu, Y.; Xia, R. Recent Advances in Three-Component Synthesis of Difluorinated Compounds. Org. Biomol. Chem. 2025, 62, 848–879. [Google Scholar] [CrossRef]
- Tripolitsiotis, N.P.; Thomaidi, M.; Neochoritis, C.G. The Ugi three-component reaction; a valuable tool in modern organic synthesis. Eur. J. Org. Chem. 2020, 2020, 6525–6554. [Google Scholar] [CrossRef]
- Katariya, K.D.; Shah, S.R.; Reddy, D. Anticancer, antimicrobial activities of quinoline based hydrazone analogues: Synthesis, characterization and molecular docking. Bioorganic Chem. 2020, 94, 103406. [Google Scholar] [CrossRef]
- Tawfik, H.O.; Petreni, A.; Supuran, C.T.; El-Hamamsy, M.H. Discovery of new carbonic anhydrase IX inhibitors as anticancer agents by toning the hydrophobic and hydrophilic rims of the active site to encounter the dual-tail approach. Eur. J. Med. Chem. 2022, 232, 114190. [Google Scholar] [CrossRef] [PubMed]
- Boyd, M.R.; Paull, K.D. Some practical considerations and applications of the National Cancer Institute in vitro anticancer drug discovery screen. Drug Dev. Res. 1995, 34, 91–109. [Google Scholar] [CrossRef]
- Rashid, M.; Husain, A.; Mishra, R.; Karim, S.; Khan, S.; Ahmad, M.; Al-wabel, N.; Husain, A.; Ahmad, A.; Khan, S.A. Design and synthesis of benzimidazoles containing substituted oxadiazole, thiadiazole and triazolo-thiadiazines as a source of new anticancer agents. Arab. J. Chem. 2019, 12, 3202–3224. [Google Scholar] [CrossRef]
- Singla, P.; Luxami, V.; Paul, K. Synthesis and in vitro evaluation of novel triazine analogues as anticancer agents and their interaction studies with bovine serum albumin. Eur. J. Med. Chem. 2016, 117, 59–69. [Google Scholar] [CrossRef] [PubMed]
- Bouchard, V.J.; Rouleau, M.; Poirier, G.G. PARP-1, a determinant of cell survival in response to DNA damage. Exp. Hematol. 2003, 31, 446–454. [Google Scholar] [CrossRef]
- Lu, C.; Zhu, F.; Cho, Y.-Y.; Tang, F.; Zykova, T.; Ma, W.-y.; Bode, A.M.; Dong, Z. Cell apoptosis: Requirement of H2AX in DNA ladder formation, but not for the activation of caspase-3. Mol. Cell 2006, 23, 121–132. [Google Scholar] [CrossRef]
- Zhu, P.; Qian, J.; Xu, Z.; Meng, C.; Liu, J.; Shan, W.; Zhu, W.; Wang, Y.; Yang, Y.; Zhang, W.; et al. Piperlonguminine and Piperine Analogues as TrxR Inhibitors that Promote ROS and Autophagy and Regulate p38 and Akt/mTOR Signaling. J. Nat. Prod. 2020, 83, 3041–3049. [Google Scholar] [CrossRef]
- Elsebaie, H.A.; El-Bastawissy, E.A.; Elberembally, K.M.; Khaleel, E.F.; Badi, R.M.; Shaldam, M.A.; Eldehna, W.M.; Tawfik, H.O.; El-Moselhy, T.F. Novel 4-(2-arylidenehydrazineyl)thienopyrimidine derivatives as anticancer EGFR inhibitors: Design, synthesis, biological evaluation, kinome selectivity and in silico insights. Bioorganic Chem. 2023, 140, 106799. [Google Scholar] [CrossRef]
- Tawfik, H.O.; Mousa, M.H.A.; Zaky, M.Y.; El-Dessouki, A.M.; Sharaky, M.; Abdullah, O.; El-Hamamsy, M.H.; Al-Karmalawy, A.A. Rationale design of novel substituted 1,3,5-triazine candidates as dual IDH1(R132H)/IDH2(R140Q) inhibitors with high selectivity against acute myeloid leukemia: In vitro and in vivo preclinical investigations. Bioorganic Chem. 2024, 149, 107483. [Google Scholar] [CrossRef]
- Abo Al-Hamd, M.G.; Tawfik, H.O.; Abdullah, O.; Yamaguchi, K.; Sugiura, M.; Mehany, A.B.M.; El-Hamamsy, M.H.; El-Moselhy, T.F. Recruitment of hexahydroquinoline as anticancer scaffold targeting inhibition of wild and mutants EGFR (EGFRWT, EGFRT790M, and EGFRL858R). J. Enzym. Inhib. Med. Chem. 2023, 38, 2241674. [Google Scholar] [CrossRef]
- Aboukhatwa, S.M.; Sidhom, P.A.; Angeli, A.; Supuran, C.T.; Tawfik, H.O. Terminators or Guardians? Design, Synthesis, and Cytotoxicity Profiling of Chalcone-Sulfonamide Hybrids. ACS Omega 2023, 8, 7666–7683. [Google Scholar] [CrossRef] [PubMed]
- Tawfik, H.O.; Shaldam, M.A.; Nocentini, A.; Salem, R.; Almahli, H.; Al-Rashood, S.T.; Supuran, C.T.; Eldehna, W.M. Novel 3-(6-methylpyridin-2-yl)coumarin-based chalcones as selective inhibitors of cancer-related carbonic anhydrases IX and XII endowed with antiproliferative activity. J. Enzym. Inhib. Med. Chem. 2022, 37, 1043–1052. [Google Scholar] [CrossRef] [PubMed]
- Eldehna, W.M.; Salem, R.; Elsayed, Z.M.; Al-Warhi, T.; Knany, H.R.; Ayyad, R.R.; Traiki, T.B.; Abdulla, M.-H.; Ahmad, R.; Abdel-Aziz, H.A.; et al. Development of novel benzofuran-isatin conjugates as potential antiproliferative agents with apoptosis inducing mechanism in Colon cancer. J. Enzym. Inhib. Med. Chem. 2021, 36, 1423–1434. [Google Scholar] [CrossRef] [PubMed]
- Eldehna, W.M.; Fares, M.; Bonardi, A.; Avgenikos, M.; Baselious, F.; Schmidt, M.; Al-Warhi, T.; Abdel-Aziz, H.A.; Rennert, R.; Peat, T.S.; et al. 4-(Pyrazolyl)benzenesulfonamide Ureas as Carbonic Anhydrases Inhibitors and Hypoxia-Mediated Chemo-Sensitizing Agents in Colorectal Cancer Cells. J. Med. Chem. 2024, 67, 20438–20454. [Google Scholar] [CrossRef]
- Elsawi, A.E.; Elbadawi, M.M.; Nocentini, A.; Almahli, H.; Giovannuzzi, S.; Shaldam, M.; Salem, R.; Ibrahim, T.M.; Abdel-Aziz, H.A.; Supuran, C.T.; et al. 1,5-Diaryl-1,2,4-triazole Ureas as New SLC-0111 Analogues Endowed with Dual Carbonic Anhydrase and VEGFR-2 Inhibitory Activities. J. Med. Chem. 2023, 66, 10558–10578. [Google Scholar] [CrossRef]
- Elbadawi, M.M.; Eldehna, W.M.; Wang, W.; Agama, K.K.; Pommier, Y.; Abe, M. Discovery of 4-alkoxy-2-aryl-6,7-dimethoxyquinolines as a new class of topoisomerase I inhibitors endowed with potent in vitro anticancer activity. Eur. J. Med. Chem. 2021, 215, 113261. [Google Scholar] [CrossRef]
- Wu, C.-C.; Li, T.-K.; Farh, L.; Lin, L.-Y.; Lin, T.-S.; Yu, Y.-J.; Yen, T.-J.; Chiang, C.-W.; Chan, N.-L. Structural Basis of Type II Topoisomerase Inhibition by the Anticancer Drug Etoposide. Science 2011, 333, 459–462. [Google Scholar] [CrossRef]
- Eldehna, W.M.; Mohamed, R.; Elnagar, R.M.; Giovannuzzi, S.; Tayel, A.; Abdulla, M.-H.; Alhassan, N.S.; Shaldam, M.A.; Nocentini, A.; Supuran, C.T.; et al. Identification of isatin-triazole-benzenesulfonamide hybrids as dual hCA IX/XII and c-met inhibitors with hypoxia-mediated chemo-sensitizing activity. Bioorganic Chem. 2025, 166, 109071. [Google Scholar] [CrossRef]
- Trott, O.; Olson, A.J. AutoDock Vina: Improving the speed and accuracy of docking with a new scoring function, efficient optimization, and multithreading. J. Comput. Chem. 2010, 31, 455–461. [Google Scholar] [CrossRef]
- Abo-Kamar, A.M.; Abdelaziz, A.A.; Ashour, A.E.; Shaldam, M.A.; Elekhnawy, E. Employing diclofenac sodium as a novel therapeutic frontier for Staphylococcus epidermidis infections. Sci. Rep. 2025, 15, 31377. [Google Scholar] [CrossRef]










| Cell Lines | Growth Inhibition Percentage (GI%) | |||||||||||||||
|---|---|---|---|---|---|---|---|---|---|---|---|---|---|---|---|---|
| 8a | 8b | 8c | 8d | 8e | 8f | 8g | 10a | 10b | 10c | 10d | 10e | 10f | 10g | 12 | ||
| Leukemia | CCRF-CEM | 30 | 80 | 83 | ֍ | 83 | 99 | ֍ | 63 | L | 92 | 80 | L | 89 | 48 | 56 |
| HL-60(TB) | 12 | 99 | 93 | ֍ | 95 | 93 | ֍ | 18 | L | L | 61 | L | 93 | ֍ | 25 | |
| K-562 | 69 | 95 | 96 | ֍ | 99 | 99 | 11 | 73 | 97 | 95 | 15 | 99 | 95 | 64 | 60 | |
| MOLT-4 | 46 | 82 | 84 | ֍ | 89 | 94 | ֍ | 67 | L | 99 | 42 | L | 90 | 48 | 59 | |
| RPMI-8226 | 29 | L | 96 | 15 | 96 | 98 | ֍ | 44 | L | 92 | 32 | L | 91 | 21 | 35 | |
| SR | NT | NT | NT | NT | NT | NT | NT | 69 | L | NT | 38 | L | 99 | 31 | NT | |
| Lung Cancer (NSC) | A549 | 22 | 96 | L | ֍ | L | 91 | ֍ | 39 | 88 | 93 | ֍ | L | L | 39 | 34 |
| EKVX | 27 | L | L | 15 | L | L | 29 | 70 | L | L | 28 | L | L | 50 | 27 | |
| HOP-62 | 29 | L | L | 22 | L | L | 12 | 22 | L | L | ֍ | L | L | 18 | 16 | |
| HOP-92 | ֍ | L | L | ֍ | 82 | 70 | ֍ | NT | NT | 89 | NT | NT | NT | NT | ֍ | |
| NCI-H226 | 36 | L | L | 48 | L | L | 20 | 42 | L | L | 13 | L | L | 23 | 30 | |
| NCI-H23 | 15 | L | L | ֍ | L | L | 20 | 52 | L | L | 15 | L | L | 23 | 39 | |
| NCI-H322M | 11 | L | L | ֍ | L | 90 | ֍ | 19 | 73 | 98 | 20 | 90 | 82 | 26 | 13 | |
| NCI-H460 | 61 | 93 | L | ֍ | L | L | ֍ | 75 | L | L | ֍ | L | L | 42 | 47 | |
| NCI-H522 | ֍ | 90 | L | ֍ | L | 98 | ֍ | L | L | L | 21 | L | L | 44 | 19 | |
| Colon Cancer | COLO 205 | 13 | L | L | ֍ | L | L | ֍ | 37 | L | L | ֍ | L | L | 16 | 13 |
| HCC-2998 | 23 | L | L | ֍ | L | L | ֍ | 70 | L | L | ֍ | L | L | 34 | 25 | |
| HCT-116 | 60 | L | L | ֍ | L | L | ֍ | 44 | 98 | L | ֍ | 96 | L | 43 | 52 | |
| HCT-15 | 80 | L | L | 14 | L | L | ֍ | 56 | L | L | 23 | L | L | 35 | 56 | |
| HT29 | 36 | L | L | ֍ | L | L | ֍ | 41 | L | L | ֍ | L | L | 29 | 46 | |
| KM 12 | 40 | L | L | ֍ | L | L | ֍ | 69 | L | L | ֍ | L | L | 39 | 34 | |
| SW-620 | 27 | L | L | ֍ | L | L | ֍ | 37 | L | L | ֍ | L | L | 11 | 13 | |
| CNS Cancer | SF-268 | 17 | 65 | 92 | 15 | 81 | 72 | ֍ | 41 | 88 | 56 | 29 | L | 93 | 31 | 15 |
| SF-295 | 45 | L | L | 22 | L | L | ֍ | 35 | L | L | 19 | L | L | 26 | 23 | |
| SF-539 | 53 | L | L | 14 | L | L | 12 | 26 | L | L | 11 | L | L | 14 | 28 | |
| SNB-19 | 32 | L | L | 24 | L | 99 | 11 | 40 | L | 87 | 22 | L | 90 | 33 | 16 | |
| SNB-75 | 18 | 65 | 91 | 13 | 99 | 83 | ֍ | 25 | 70 | 47 | 28 | 85 | 72 | 26 | ֍ | |
| U251 | 52 | L | L | 13 | L | L | ֍ | 38 | L | L | 17 | L | L | 30 | 35 | |
| Melanoma | LOX IMVI | 66 | L | L | 13 | L | L | 11 | 49 | L | L | 17 | L | L | 33 | 40 |
| MALME-3M | 25 | L | L | 13 | L | L | ֍ | 58 | L | L | 13 | L | L | 66 | 17 | |
| M14 | ֍ | L | L | ֍ | L | L | ֍ | 31 | 98 | L | ֍ | L | 92 | 27 | 18 | |
| MDA-MB-435 | 16 | L | L | ֍ | L | 97 | ֍ | 44 | L | L | ֍ | L | L | 32 | 13 | |
| SK-MEL-2 | ֍ | 67 | L | ֍ | 98 | 44 | ֍ | 40 | L | 29 | 16 | L | L | 21 | ֍ | |
| SK-MEL-28 | 26 | L | L | ֍ | L | L | ֍ | 57 | L | 93 | ֍ | L | L | 60 | ֍ | |
| SK-MEL-5 | 25 | L | L | 26 | L | L | 14 | 30 | 87 | L | 22 | L | 53 | ֍ | 42 | |
| UACC-257 | ֍ | 59 | 82 | ֍ | L | 55 | ֍ | 24 | 60 | 51 | ֍ | 90 | 96 | 15 | ֍ | |
| UACC-62 | 16 | L | L | 12 | L | L | ֍ | 19 | 66 | 64 | 13 | L | 55 | 23 | ֍ | |
| Ovarian Cancer | IGROV1 | 19 | L | L | ֍ | L | 97 | ֍ | 27 | L | 98 | ֍ | L | L | 17 | 15 |
| OVCAR-3 | ֍ | L | L | ֍ | L | L | ֍ | ֍ | L | L | ֍ | L | L | ֍ | ֍ | |
| OVCAR-4 | ֍ | 95 | 99 | 22 | 93 | 87 | ֍ | 25 | 82 | 70 | 19 | 96 | 91 | 29 | 12 | |
| OVCAR-5 | ֍ | L | L | ֍ | L | L | ֍ | 15 | L | 98 | ֍ | L | 92 | ֍ | ֍ | |
| OVCAR-8 | 36 | L | L | 18 | L | 96 | ֍ | 28 | L | 99 | 28 | L | 99 | 28 | 19 | |
| ADR-RES | 40 | L | L | 21 | L | L | ֍ | 29 | L | L | 24 | L | L | 28 | 17 | |
| SK-OV-3 | ֍ | 57 | 83 | ֍ | 66 | 33 | ֍ | 25 | 76 | 33 | ֍ | 82 | 78 | ֍ | ֍ | |
| Renal Cancer | 786-0 | 64 | 93 | L | ֍ | L | L | ֍ | 41 | 89 | L | 14 | 99 | 81 | 28 | 19 |
| A498 | ֍ | L | L | ֍ | L | L | ֍ | 54 | L | L | ֍ | L | L | ֍ | ֍ | |
| ACHN | 44 | L | L | ֍ | 97 | 98 | ֍ | 36 | L | L | ֍ | L | 86 | 22 | 26 | |
| CAKI-1 | 15 | 99 | L | 17 | 92 | 85 | 17 | 54 | L | L | 27 | L | L | 49 | 31 | |
| RXF 393 | L | L | L | 36 | L | L | 31 | 71 | L | L | 21 | L | L | 72 | 49 | |
| SN 12C | 17 | L | L | 14 | L | L | ֍ | 48 | L | L | 14 | L | L | 29 | 26 | |
| TK-10 | ֍ | 68 | 82 | ֍ | 63 | 57 | ֍ | ֍ | 50 | 45 | ֍ | 61 | 58 | ֍ | ֍ | |
| UO-31 | 42 | L | L | 12 | L | L | 29 | 33 | 46 | L | 40 | L | L | 35 | 47 | |
| Prostate Cancer | PC-3 | 37 | L | L | 12 | L | 92 | ֍ | NT | NT | 98 | NT | NT | NT | NT | 58 |
| DU-145 | 21 | L | L | ֍ | L | L | ֍ | 42 | L | L | ֍ | L | L | 32 | 15 | |
| Breast Cancer | MCF7 | 46 | L | L | 16 | L | L | 16 | 56 | L | L | 21 | L | L | 41 | 57 |
| MDA-MB-231 | 31 | L | L | ֍ | L | L | 22 | 39 | L | L | 30 | L | L | 42 | 27 | |
| HS 578T | 32 | L | L | 18 | L | 97 | ֍ | 52 | L | L | ֍ | L | L | 63 | 19 | |
| BT-549 | ֍ | L | L | ֍ | L | L | 11 | 41 | 83 | L | ֍ | L | L | 28 | ֍ | |
| T-47D | ֍ | 83 | 74 | 14 | 72 | 60 | ֍ | 66 | L | 74 | 31 | 96 | 99 | 39 | 48 | |
| MDA-MB-468 | ֍ | L | L | ֍ | L | L | ֍ | 35 | L | L | ֍ | L | 98 | 19 | 41 | |
| GI Mean | 24 | 120 | 154 | 8 | 138 | 125 | 3 | 43 | 126 | 118 | 15 | 138 | 122 | 29 | 23 | |
| Subpanel Cell Lines | GI50 (μM) | ||||||||
|---|---|---|---|---|---|---|---|---|---|
| 8b | 8c | 8e | 8f | 10b | 10c | 10e | 10f | ||
| Leukemia | CCRF-CEM | 2.67 | 0.32 | 0.74 | 2.44 | 4.28 | 2.85 | 2.92 | 2.95 |
| HL-60(TB) | 3.47 | 0.65 | 0.99 | 4.77 | 3.56 | 3.04 | 2.92 | 2.47 | |
| K-562 | 2.67 | 0.45 | 1.62 | 3.68 | 3.21 | 2.74 | 2.85 | 2.07 | |
| MOLT-4 | 2.82 | 0.48 | 1.23 | 3.77 | 3.31 | 2.00 | 2.36 | 2.12 | |
| RPMI-8226 | 2.90 | 0.88 | 0.57 | 3.74 | 4.27 | ֍ | 2.52 | 2.39 | |
| SR | 2.87 | 0.48 | 0.71 | 2.76 | 3.57 | 2.60 | 2.53 | 2.21 | |
| Lung Cancer (NSC) | A549 | 2.84 | 1.57 | 2.34 | 3.32 | 3.43 | 4.07 | 2.66 | 2.80 |
| EKVX | 2.37 | 1.27 | 1.46 | 2.92 | 3.21 | 2.36 | 2.75 | 2.37 | |
| HOP-62 | 2.32 | 1.16 | 3.52 | 2.30 | 2.11 | 3.19 | 1.73 | 2.02 | |
| HOP-92 | 1.39 | 2.31 | 1.18 | 2.65 | 2.92 | 3.10 | 2.87 | 2.65 | |
| NCI-H226 | 2.19 | 1.87 | 1.86 | 1.84 | ֍ | ֍ | ֍ | 4.03 | |
| NCI-H23 | 2.25 | 1.44 | 1.52 | 2.68 | 1.86 | 2.02 | 1.88 | 1.86 | |
| NCI-H322M | 2.12 | 1.89 | 2.08 | 3.83 | 4.00 | ֍ | 3.24 | 2.96 | |
| NCI-H460 | 2.36 | 1.27 | 2.17 | 2.10 | 2.67 | 3.09 | 1.75 | 1.90 | |
| NCI-H522 | 2.40 | 1.68 | 2.38 | 2.46 | 2.07 | 1.83 | 1.80 | 2.03 | |
| Colon Cancer | COLO 205 | 1.63 | 2.05 | 2.61 | 2.02 | 1.92 | 2.79 | 1.65 | 1.85 |
| HCC-2998 | 2.22 | 1.59 | 1.50 | 1.81 | 1.78 | 2.09 | 1.85 | 1.90 | |
| HCT-116 | 2.32 | 1.37 | 1.62 | 1.78 | 1.91 | 2.33 | 1.83 | 1.75 | |
| HCT-15 | 1.97 | 1.16 | 1.26 | 1.70 | 1.74 | 3.41 | 2.39 | 1.90 | |
| HT29 | 2.54 | 1.24 | 2.28 | 2.15 | 3.05 | 3.14 | 1.84 | 1.82 | |
| KM 12 | 1.59 | 1.34 | 1.54 | 2.04 | 1.98 | 3.09 | 1.91 | 1.73 | |
| SW-620 | ֍ | 2.26 | ֍ | ֍ | 2.89 | 3.14 | 1.50 | 3.12 | |
| CNS Cancer | SF-268 | 2.79 | 3.64 | 3.65 | 4.67 | 2.85 | ֍ | 2.98 | 2.61 |
| SF-295 | 2.08 | 0.23 | 0.37 | 2.02 | 2.61 | ֍ | 2.43 | 2.14 | |
| SF-539 | 1.69 | 0.31 | 0.62 | 1.80 | 3.72 | ֍ | 2.15 | 1.82 | |
| SNB-19 | NT | NT | NT | NT | ֍ | NT | 4.26 | 3.31 | |
| SNB-75 | 1.84 | 0.23 | 0.44 | 2.13 | 2.04 | 3.43 | 2.17 | 2.81 | |
| U251 | 1.79 | 0.62 | 0.85 | 2.28 | 2.19 | 3.18 | 1.85 | 1.67 | |
| Melanoma | LOX IMVI | 1.53 | 1.23 | 1.36 | 1.69 | 1.66 | 1.90 | 1.70 | 1.65 |
| MALME-3M | 2.12 | 2.54 | 2.31 | 3.05 | 2.72 | 3.14 | 1.67 | 1.68 | |
| M14 | 2.37 | 1.57 | 2.03 | 2.36 | 2.95 | ֍ | 2.41 | 2.20 | |
| MDA-MB-435 | 2.31 | 1.30 | 2.71 | 2.03 | 2.41 | 3.12 | 2.19 | 2.16 | |
| SK-MEL-2 | 2.31 | 1.49 | 2.56 | 4.08 | ֍ | ֍ | 3.99 | 4.93 | |
| SK-MEL-28 | 3.21 | 1.36 | 1.94 | 4.02 | ֍ | ֍ | 2.74 | 2.91 | |
| SK-MEL-5 | 2.13 | 1.66 | 1.52 | 3.87 | ֍ | ֍ | 4.70 | 3.13 | |
| UACC-257 | 4.12 | 4.43 | ֍ | ֍ | ֍ | ֍ | 4.70 | ֍ | |
| UACC-62 | 1.72 | 1.37 | 2.28 | 2.86 | ֍ | ֍ | ֍ | ֍ | |
| Ovarian Cancer | IGROV1 | 1.82 | 2.22 | 1.93 | 4.71 | 3.69 | ֍ | 2.81 | 2.75 |
| OVCAR-3 | 2.09 | 1.61 | 1.35 | 1.85 | 1.58 | 3.14 | 1.88 | 1.96 | |
| OVCAR-4 | 3.08 | 2.84 | ֍ | 4.49 | 3.67 | ֍ | 2.94 | 2.69 | |
| OVCAR-5 | 2.47 | 1.54 | 2.78 | 2.78 | ֍ | ֍ | 3.05 | 3.53 | |
| OVCAR-8 | 2.58 | 2.13 | 2.58 | 3.32 | 3.65 | 4.67 | 3.08 | 2.73 | |
| NCI/ADR-RES | 2.14 | 1.87 | 1.82 | 2.15 | 2.73 | ֍ | 3.12 | 2.41 | |
| SK-OV-3 | 3.67 | 2.41 | 4.00 | ֍ | 3.56 | 1.30 | 2.25 | 3.75 | |
| Renal Cancer | 786-0 | 3.22 | 0.36 | 0.84 | 1.92 | 2.15 | 4.37 | 1.87 | 2.00 |
| A498 | 4.90 | 1.20 | 2.01 | 2.03 | 4.88 | ֍ | 2.81 | 2.08 | |
| ACHN | 2.39 | 1.09 | 1.33 | 3.16 | 3.47 | 3.59 | 3.17 | 2.41 | |
| CAKI-1 | 2.48 | 1.18 | 1.79 | 3.38 | 2.88 | 3.32 | 2.60 | 2.50 | |
| RXF 393 | 2.17 | 0.15 | 0.23 | 1.89 | 3.34 | 4.57 | 2.71 | 2.33 | |
| SN 12C | 1.60 | 1.67 | 2.21 | 1.77 | 2.20 | 2.46 | 1.94 | 1.58 | |
| TK-10 | NT | NT | NT | NT | 1.58 | NT | 4.14 | 4.33 | |
| UO-31 | 1.83 | 0.93 | 1.65 | 2.08 | 2.47 | ֍ | 2.10 | 1.81 | |
| Prostate Cancer | PC-3 | 1.72 | 1.10 | 1.48 | 3.25 | 2.76 | 3.23 | 2.76 | 2.56 |
| DU-145 | 2.20 | 1.40 | 1.76 | 2.24 | 2.19 | 2.71 | 2.11 | 1.75 | |
| Breast Cancer | MCF7 | 1.92 | 0.59 | 1.21 | 1.84 | 2.98 | 2.87 | 2.64 | 2.22 |
| MDA-MB-231 | 1.96 | 1.46 | 1.78 | 2.05 | 2.21 | 2.25 | 1.92 | 1.48 | |
| HS 578T | 1.75 | 0.85 | 1.21 | 1.93 | 3.01 | 2.01 | 1.76 | 3.19 | |
| BT-549 | 2.96 | 1.27 | 3.95 | 2.53 | 3.23 | 4.78 | 3.76 | 2.19 | |
| T-47D | 2.61 | 2.80 | 4.68 | 3.57 | 2.10 | 3.66 | 2.50 | 3.85 | |
| MDA-MB-468 | 2.43 | 1.84 | 1.68 | 3.03 | 3.14 | ֍ | 2.79 | 2.26 | |
| Code | Parameter | Panel | GI50-MID | MID a | ||||||||
|---|---|---|---|---|---|---|---|---|---|---|---|---|
| Leukemia | Lung Cancer (NSC) | Colon Cancer | CNS Cancer | Melanoma | Ovarian Cancer | Renal Cancer | Prostate Cancer | Breast Cancer | ||||
| 8b | MID b | 2.90 | 2.24 | 2.93 | 2.03 | 2.42 | 2.55 | 2.65 | 1.96 | 2.27 | 21.95 | 2.43 |
| Selectivity c | 0.83 | 1.08 | 0.82 | 1.19 | 1.00 | 0.95 | 0.91 | 1.23 | 1.07 | |||
| 8c | MID b | 0.54 | 1.60 | 1.25 | 1.00 | 1.88 | 2.08 | 0.94 | 1.25 | 1.46 | 12.00 | 1.33 |
| Selectivity c | 2.46 | 0.83 | 1.06 | 1.33 | 0.70 | 0.63 | 1.33 | 1.06 | 0.91 | |||
| 8e | MID b | 0.97 | 2.05 | 2.42 | 1.18 | 2.49 | 2.80 | 1.43 | 1.62 | 2.41 | 17.37 | 1.93 |
| Selectivity c | 1.98 | 0.94 | 0.79 | 1.63 | 0.77 | 0.68 | 1.34 | 1.19 | 0.80 | |||
| 8f | MID b | 3.52 | 2.67 | 3.67 | 2.58 | 3.82 | 3.63 | 2.31 | 2.74 | 2.49 | 27.43 | 3.04 |
| Selectivity c | 0.86 | 1.13 | 0.82 | 1.17 | 0.79 | 0.83 | 1.31 | 1.10 | 1.22 | |||
| 10b | MID b | 3.70 | 3.42 | 2.18 | 3.25 | 6.16 | 3.57 | 2.87 | 2.47 | 2.77 | 30.39 | 3.37 |
| Selectivity c | 0.91 | 0.98 | 1.54 | 1.03 | 0.54 | 0.94 | 1.17 | 1.36 | 1.21 | |||
| 10c | MID b | 3.19 | 3.54 | 2.85 | 5.12 | 6.60 | 4.59 | 5.81 | 2.97 | 3.43 | 38.10 | 4.23 |
| Selectivity c | 1.32 | 1.19 | 1.48 | 0.82 | 0.64 | 0.92 | 0.72 | 1.42 | 1.23 | |||
| 10e | MID b | 2.68 | 2.72 | 1.85 | 2.64 | 3.60 | 2.73 | 2.66 | 2.43 | 2.56 | 23.87 | 2.65 |
| Selectivity c | 0.98 | 0.97 | 1.43 | 1.00 | 0.73 | 0.97 | 0.99 | 1.09 | 1.03 | |||
| 10f | MID b | 2.36 | 2.51 | 2.01 | 2.39 | 3.32 | 2.83 | 2.38 | 2.15 | 2.53 | 22.48 | 2.49 |
| Selectivity c | 1.05 | 0.99 | 1.23 | 1.04 | 0.75 | 0.87 | 1.04 | 1.15 | 0.98 | |||
![]() | ![]() | ||||||
| Code | Ar | GI50 (µM) a ± SD | Code | Ar | GI50 (µM) a ± SD | ||
| MV4-11 | K562 | MV4-11 | K562 | ||||
| 8b | 3-OH-Ph | 3.55 ± 0.37 | 6.52 ± 2.24 | 10b | 3-OH-Ph | 8.88 ± 0.04 | 3.32 ± 0.11 |
| 8c | 4-OH-Ph | 0.72 ± 0.27 | 0.73 ± 0.01 | 10c | 4-OH-Ph | 8.03 ± 1.41 | 2.50 ± 0.30 |
| 8e | 3-OH-4-OCH3-Ph | >10 | >10 | 10e | 3-OH-4-OCH3-Ph | 9.03 ± 0.20 | 5.13 ± 0.12 |
| 8f | 4-OH-3-OCH3-Ph | 3.70 ± 0.04 | 3.17 ± 0.03 | 10f | 4-OH-3-OCH3-Ph | 8.73 ± 0.40 | 4.00 ± 0.21 |
| Cisplatin | 0.75 ± 0.21 | 4.57 ± 1.40 | Quizartinib | 0.003 ± 2.24 | >10 | ||
Disclaimer/Publisher’s Note: The statements, opinions and data contained in all publications are solely those of the individual author(s) and contributor(s) and not of MDPI and/or the editor(s). MDPI and/or the editor(s) disclaim responsibility for any injury to people or property resulting from any ideas, methods, instructions or products referred to in the content. |
© 2025 by the authors. Licensee MDPI, Basel, Switzerland. This article is an open access article distributed under the terms and conditions of the Creative Commons Attribution (CC BY) license (https://creativecommons.org/licenses/by/4.0/).
Share and Cite
Eldehna, W.M.; Tawfik, H.O.; Veselá, D.; Vojáčková, V.; Negmeldin, A.T.; Elsayed, Z.M.; Majrashi, T.A.; Krňávková, P.; Elbadawi, M.M.; Shaldam, M.A.; et al. Development of New Pyrazolo [3,4-b]Pyridine Derivatives as Potent Anti-Leukemic Agents and Topoisomerase IIα Inhibitors with Broad-Spectrum Cytotoxicity. Pharmaceuticals 2025, 18, 1770. https://doi.org/10.3390/ph18111770
Eldehna WM, Tawfik HO, Veselá D, Vojáčková V, Negmeldin AT, Elsayed ZM, Majrashi TA, Krňávková P, Elbadawi MM, Shaldam MA, et al. Development of New Pyrazolo [3,4-b]Pyridine Derivatives as Potent Anti-Leukemic Agents and Topoisomerase IIα Inhibitors with Broad-Spectrum Cytotoxicity. Pharmaceuticals. 2025; 18(11):1770. https://doi.org/10.3390/ph18111770
Chicago/Turabian StyleEldehna, Wagdy M., Haytham O. Tawfik, Denisa Veselá, Veronika Vojáčková, Ahmed T. Negmeldin, Zainab M. Elsayed, Taghreed A. Majrashi, Petra Krňávková, Mostafa M. Elbadawi, Moataz A. Shaldam, and et al. 2025. "Development of New Pyrazolo [3,4-b]Pyridine Derivatives as Potent Anti-Leukemic Agents and Topoisomerase IIα Inhibitors with Broad-Spectrum Cytotoxicity" Pharmaceuticals 18, no. 11: 1770. https://doi.org/10.3390/ph18111770
APA StyleEldehna, W. M., Tawfik, H. O., Veselá, D., Vojáčková, V., Negmeldin, A. T., Elsayed, Z. M., Majrashi, T. A., Krňávková, P., Elbadawi, M. M., Shaldam, M. A., Al-Ansary, G. H., Kryštof, V., & Abdel-Aziz, H. A. (2025). Development of New Pyrazolo [3,4-b]Pyridine Derivatives as Potent Anti-Leukemic Agents and Topoisomerase IIα Inhibitors with Broad-Spectrum Cytotoxicity. Pharmaceuticals, 18(11), 1770. https://doi.org/10.3390/ph18111770



