Synthesis and Anticancer Evaluation of Some Glycine Conjugated Hybrid Compounds Containing Coumarin, Thiophene and Quinazoline Moieties
Abstract
1. Introduction
2. Results and Discussion
2.1. Chemistry
2.2. Anticancer Activity Study
2.3. Structure-Activity Relationship (SAR) Study
2.4. Molecular Docking Study
Comparative Binding Affinity Analysis
3. Materials and Methods
3.1. Experimental Synthesis
Synthesis of Compounds 9a–f
3.2. Anticancer Activity
3.3. Molecular Docking Studies
4. Conclusions
Supplementary Materials
Author Contributions
Funding
Institutional Review Board Statement
Informed Consent Statement
Data Availability Statement
Acknowledgments
Conflicts of Interest
References
- Bray, F.; Laversanne, M.; Sung, H.; Ferlay, J.; Siegel, R.L.; Soerjomataram, I.; Jemal, A. Global cancer statistics 2022: GLOBOCAN estimates of incidence and mortality worldwide for 36 cancers in 185 countries. CA A Cancer J. Clin. 2024, 74, 229–263. [Google Scholar] [CrossRef]
- Chen, S.; Cao, Z.; Prettner, K.; Kuhn, M.; Yang, J.; Jiao, L.; Wang, Z.; Li, W.; Geldsetzer, P.; Bärnighausen, T.; et al. Estimates and Projections of the Global Economic Cost of 29 Cancers in 204 Countries and Territories from 2020 to 2050. JAMA Oncol. 2023, 9, 465–472. [Google Scholar] [CrossRef]
- Guida, F.; Kidman, R.; Ferlay, J.; Schüz, J.; Soerjomataram, I.; Kithaka, B.; Ginsburg, O.; Vega, R.B.M.; Galukande, M.; Parham, G.; et al. Global and regional estimates of orphans attributed to maternal cancer mortality in 2020. Nat. Med. 2022, 28, 2563–2572. [Google Scholar] [CrossRef]
- James, N.D.; Tannock, I.; N’Dow, J.; Feng, F.; Gillessen, S.; Ali, S.A.; Trujillo, B.; Al-Lazikani, B.; Attard, G.; Bray, F.; et al. The Lancet Commission on prostate cancer: Planning for the surge in cases. Lancet 2024, 403, 1683–1722. [Google Scholar] [CrossRef]
- Wang, L.; Lu, B.; He, M.; Wang, Y.; Wang, Z.; Du, L. Prostate Cancer Incidence and Mortality: Global Status and Temporal Trends in 89 Countries From 2000 to 2019. Front. Public Health 2022, 10, 811044. [Google Scholar] [CrossRef]
- Leong, S.P.; Witte, M.H. Cancer metastasis through the lymphatic versus blood vessels. Clin. Exp. Metastasis 2024, 41, 387–402. [Google Scholar] [CrossRef]
- Jiang, X.; Wang, J.; Deng, X.; Xiong, F.; Zhang, S.; Gong, Z.; Li, X.; Cao, K.; Deng, H.; He, Y.; et al. The role of microenvironment in tumor angiogenesis. J. Exp. Clin. Cancer Res. 2020, 39, 204. [Google Scholar] [CrossRef] [PubMed]
- Lugano, R.; Ramachandran, M.; Dimberg, A. Tumor angiogenesis: Causes, consequences, challenges and opportunities. Cell. Mol. Life Sci. 2020, 77, 1745–1770. [Google Scholar] [CrossRef] [PubMed]
- Saman, H.; Raza, S.S.; Uddin, S.; Rasul, K. Inducing Angiogenesis, a Key Step in Cancer Vascularization, and Treatment Approaches. Cancers 2020, 12, 1172. [Google Scholar] [CrossRef] [PubMed]
- Abood, R.G.; Abdulhussein, H.A.; Abbas, S.; Majed, A.A.; Al-Khafagi, A.A.; Adil, A.; Alsalim, T.A. Anti-breast cancer potential of new indole derivatives: Synthesis, in-silico study, and cytotoxicity evaluation on MCF-7 cells. J. Mol. Struct. 2025, 1326, 141176. [Google Scholar] [CrossRef]
- Miller, K.D.; Ortiz, A.P.; Pinheiro, P.S.; Bandi, P.; Minihan, A.; Fuchs, H.E.; Tyson, D.M.; Tortolero-Luna, G.; Fedewa, S.A.; Jemal, A.M.; et al. Cancer statistics for the US HiSspanic/Latino population. CA A Cancer J. Clin. 2021, 71, 466–487. [Google Scholar] [CrossRef]
- Chunarkar-Patil, P.; Kaleem, M.; Mishra, R.; Ray, S.; Ahmad, A.; Verma, D.; Bhayye, S.; Dubey, R.; Singh, H.N.; Kumar, S. Anticancer Drug Discovery Based on Natural Products: From Computational Approaches to Clinical Studies. Biomedicines 2024, 12, 201. [Google Scholar] [CrossRef]
- Ongnok, B.; Chattipakorn, N.; Chattipakorn, S.C. Doxorubicin and cisplatin induced cognitive impairment: The possible mechanisms and interventions. Exp. Neurol. 2020, 324, 113118. [Google Scholar] [CrossRef] [PubMed]
- Soltan, O.M.; Shoman, M.E.; Abdel-Aziz, S.A.; Narumi, A.; Konno, H.; Abdel-Aziz, M. Molecular hybrids: A five-year survey on structures of multiple targeted hybrids of protein kinase inhibitors for cancer therapy. Eur. J. Med. Chem. 2021, 225, 113768. [Google Scholar] [CrossRef] [PubMed]
- Sharifi-Rad, J.; Cruz-Martins, N.; López-Jornet, P.; Lopez, E.P.-F.; Harun, N.; Yeskaliyeva, B.; Beyatli, A.; Sytar, O.; Shaheen, S.; Sharopov, F.; et al. Natural Coumarins: Exploring the Pharmacological Complexity and Underlying Molecular Mechanisms. Oxidative Med. Cell. Longev. 2021, 2021, 6492346. [Google Scholar] [CrossRef]
- Sharma, M.; Vyas, V.K.; Bhatt, S.; Ghate, M.D. Therapeutic potential of 4-substituted coumarins: A conspectus. Eur. J. Med. Chem. Rep. 2022, 6, 100086. [Google Scholar] [CrossRef]
- An, G.; Morris, M.E. Chapter 3—Efflux transporters in cancer resistance: Molecular and functional characterization of breast cancer resistance protein. In Drug Efflux Pumps in Cancer Resistance Pathways: From Molecular Recognition and Characterization to Possible Inhibition Strategies in Chemo-Therapy; Sosnik, A., Bendayan, R., Eds.; Academic Press: Cambridge, MA, USA, 2020; pp. 67–96. [Google Scholar]
- Koley, M.; Han, J.; Soloshonok, V.A.; Mojumder, S.; Javahershenas, R.; Makarem, A. Latest developments in coumarin-based anticancer agents: Mechanism of action and structure–activity relationship studies. RSC Med. Chem. 2024, 15, 10–54. [Google Scholar] [CrossRef] [PubMed]
- Önder, A. Anticancer activity of natural coumarins for biological targets. In Studies in Natural Products Chemistry; Elsevier: Amsterdam, The Netherlands, 2020; pp. 85–109. [Google Scholar]
- Gangopadhyay, A. Plant-derived natural coumarins with anticancer potentials: Future and challenges. J. Herb. Med. 2023, 42, 100797. [Google Scholar] [CrossRef]
- Mofasseri, M.; Eini, E.; Mofasseri, S.; Hanifehpour, B.; Zanbili, F.; Marjani, A.P. Anticancer potential of coumarins from the Ferulago genus. Results Chem. 2025, 13, 102033. [Google Scholar] [CrossRef]
- Kumari, P.; Kaur, M. Coumarin-based hybrid compounds: A new approach to cancer therapy. J. Mol. Struct. 2025, 1337, 142149. [Google Scholar] [CrossRef]
- Nasr, T.; Bondock, S.; Youns, M. Anticancer activity of new coumarin substituted hydrazide–hydrazone derivatives. Eur. J. Med. Chem. 2014, 76, 539–548. [Google Scholar] [CrossRef]
- Hricovíniová, J.; Hricovíniová, Z.; Kozics, K. Antioxidant, Cytotoxic, Genotoxic, and DNA-Protective Potential of 2,3-Substituted Quinazolinones: Structure—Activity Relationship Study. Int. J. Mol. Sci. 2021, 22, 610. [Google Scholar] [CrossRef]
- Ghorab, M.M.; Abdel-Kader, M.S.; Alqahtani, A.S.; Soliman, A.M. Synthesis of some quinazolinones inspired from the natural alkaloid L-norephedrine as EGFR inhibitors and radiosensitizers. J. Enzym. Inhib. Med. Chem. 2021, 36, 218–238. [Google Scholar] [CrossRef]
- Yang, S.; Li, Z.; Jin, L.; Song, B.; Liu, G.; Chen, J.; Chen, Z.; Hu, D.; Xue, W.; Xu, R. Synthesis and bioactivity of 4-alkyl(aryl)thioquinazoline derivatives. Bioorganic Med. Chem. Lett. 2007, 17, 2193–2196. [Google Scholar] [CrossRef]
- Zayed, M.F. Medicinal Chemistry of Quinazolines as Anticancer Agents Targeting Tyrosine Kinases. Sci. Pharm. 2023, 91, 18. [Google Scholar] [CrossRef]
- Ling, Z.-N.; Jiang, Y.-F.; Ru, J.-N.; Lu, J.-H.; Ding, B.; Wu, J. Amino acid metabolism in health and disease. Signal Transduct. Target. Ther. 2023, 8, 345. [Google Scholar] [CrossRef]
- Jing, R.; Walczak, M.A. Peptide and Protein Desulfurization with Diboron Reagents. Org. Lett. 2024, 26, 2590–2595. [Google Scholar] [CrossRef] [PubMed]
- Liu, Y.-M.; Li, Y.; Liu, R.-F.; Xiao, J.; Zhou, B.-N.; Zhang, Q.-Z.; Song, J.-X. Synthesis, characterization and preliminary biological evaluation of chrysin amino acid derivatives that induce apoptosis and EGFR downregulation. J. Asian Nat. Prod. Res. 2021, 23, 39–54. [Google Scholar] [CrossRef] [PubMed]
- Butler, M.; van der Meer, L.T.; van Leeuwen, F.N. Amino Acid Depletion Therapies: Starving Cancer Cells to Death. Trends Endocrinol. Metab. 2021, 32, 367–381. [Google Scholar] [CrossRef]
- Naz, S.; Shah, F.A.; Nadeem, H.; Sarwar, S.; Tan, Z.; Imran, M.; Ali, T.; Li, J.B.; Li, S. Amino Acid Conjugates of Aminothiazole and Aminopyridine as Potential Anticancer Agents: Synthesis, Molecular Docking and in vitro Evaluation. Drug Des. Dev. Ther. 2021, 15, 1459–1476. [Google Scholar] [CrossRef] [PubMed]
- Barbosa, F.; Araújo, J.; Gonçalves, V.M.F.; Palmeira, A.; Cunha, A.; Silva, P.M.A.; Fernandes, C.; Pinto, M.; Bousbaa, H.; Queirós, O.; et al. Evaluation of Antitumor Activity of Xanthones Conjugated with Amino Acids. Int. J. Mol. Sci. 2024, 25, 2121. [Google Scholar] [CrossRef]
- Çalişkan, N.; Menteşe, E.; Yilmaz, F.; Ilhan, M.S. Synthesis and Anticancer Activities of Amide-Bridged Coumarin–Quinazolinone Hybrid Compounds. Russ. J. Org. Chem. 2024, 60, 918–926. [Google Scholar] [CrossRef]
- Menteşe, E.; Yılmaz, F.; Menteşe, M.; Beriş, F.Ş.; Emirik, M. Developing Effective Antimicrobial Agents: Synthesis and Molecular Docking Study of Ciprofloxacin-Benzimidazole Hybrids. ChemistrySelect 2024, 9, e202303173. [Google Scholar] [CrossRef]
- Yilmaz, F. Microwave-Assisted Synthesis and Investigation of Urease Inhibitory Activities of Some 1,2,4-Triazol-3-ones Containing Salicyl and Isatin Moieties. Russ. J. Gen. Chem. 2024, 94, 2018–2022. [Google Scholar] [CrossRef]
- Güven, O.; Menteşe, E.; Sökmen, B.B.; Emirik, M.; Akyüz, G. Benzimidazolone conjugated biscoumarins: Synthesis, molecular docking studies, urease, lipase, and acetylcholinesterase inhibitory activities. J. Mol. Struct. 2025, 1338, 142362. [Google Scholar] [CrossRef]
- Menteşe, E.; Güzel, Y.Ü.; Akyüz, G.; Karaali, N.Ü. Synthesis of novel quinazolinone-triheterocyclic hybrides as dual inhibition of urease and ache. J. Iran. Chem. Soc. 2024, 21, 2425–2431. [Google Scholar] [CrossRef]
- Yilmaz, F. Green Synthesis and Biological Evaluation of Some 1,2,4-Triazol-3-ones. Russ. J. Org. Chem. 2024, 60, 513–521. [Google Scholar] [CrossRef]
- Akyüz, G.; Menteşe, E. Urease Inhibition Activity Studies of Novel Azabenzimidazole-Derived Compounds. Russ. J. Gen. Chem. 2024, 94, 2432–2437. [Google Scholar] [CrossRef]
- Akyüz, G. Synthesis and Urease Inhibition Activities of Some New Schiff Bases Benzimidazoles Containing Thiophene Ring. Russ. J. Bioorganic Chem. 2024, 50, 974–981. [Google Scholar] [CrossRef]
- Menteşe, E.; Yılmaz, F.; Menteşe, M.; Beriş, F.Ş. Design, Synthesis, and Structure–Activity Relationship of Some New Ciprofloxacin Hybrids as Antibacterial Agents. J. Heterocycl. Chem. 2025. early view. [Google Scholar] [CrossRef]
- Çalışkan, N.; Akyüz, G.; Menteşe, E. A facile ultrasonic synthesis approach to 3- H -quinazolinethione derivatives and their urease inhibition studies. Phosphorus Sulfur Silicon Relat. Elem. 2024, 199, 293–298. [Google Scholar] [CrossRef]
- Akyüz, G.; Menteşe, E.; Ilhan, S.; Emirik, M.; Atmaca, H. Biscoumarin Derivatives Bridged Quinazolinedion: Synthesis, Molecular Docking Study, and Cytotoxic Activities. Pharm. Chem. J. 2025, 58, 1838–1845. [Google Scholar] [CrossRef]
- Castillo, A.; Justice, M.J. The kinesin related motor protein, Eg5, is essential for maintenance of pre-implantation embryogenesis. Biochem. Biophys. Res. Commun. 2007, 357, 694–699. [Google Scholar] [CrossRef] [PubMed]
- Aye, Y.; Li, M.; Long, M.J.; Weiss, R.S. Ribonucleotide reductase and cancer: Biological mechanisms and targeted therapies. Oncogene 2015, 34, 2011–2021. [Google Scholar] [CrossRef]
- Nitiss, J.L. DNA topoisomerase II and its growing repertoire of biological functions. Nat. Rev. Cancer 2009, 9, 327–337. [Google Scholar] [CrossRef]
- O’DWyer, P.J.; Leyland-Jones, B.; Alonso, M.T.; Marsoni, S.; Wittes, R.E. Etoposide (VP-16–213). N. Engl. J. Med. 1985, 312, 692–700. [Google Scholar] [CrossRef]
- Halgren, T.A.; Murphy, R.B.; Friesner, R.A.; Beard, H.S.; Frye, L.L.; Pollard, W.T.; Banks, J.L. Glide: A new approach for rapid, accurate docking and scoring. 2. Enrichment factors in database screening. J. Med. Chem. 2004, 47, 1750–1759. [Google Scholar] [CrossRef]
- Morandi, P. Biological agents and gemcitabine in the treatment of breast cancer. Ann. Oncol. 2006, 17, v177–v180. [Google Scholar] [CrossRef]
- Xu, T.; Zhu, K.; Beautrait, A.; Vendome, J.; Borrelli, K.W.; Abel, R.; Friesner, R.A.; Miller, E.B. Induced-fit docking enables accurate free energy perturbation calculations in homology models. J. Chem. Theory Comput. 2022, 18, 5710–5724. [Google Scholar] [CrossRef]
- Purcell, J.W.; Davis, J.; Reddy, M.; Martin, S.; Samayoa, K.; Vo, H.; Thomsen, K.; Bean, P.; Kuo, W.L.; Ziyad, S.; et al. Activity of the Kinesin Spindle Protein Inhibitor Ispinesib (SB-715992) in Models of Breast Cancer. Clin. Cancer Res. 2010, 16, 566–576. [Google Scholar] [CrossRef]
- Ahmad, F.; Alam, I.; Huff, S.E.; Pink, J.; Flanagan, S.A.; Shewach, D.; Misko, T.A.; Oleinick, N.L.; Harte, W.E.; Viswanathan, R.; et al. Potent competitive inhibition of human ribonucleotide reductase by a nonnucleoside small molecule. Proc. Natl. Acad. Sci. USA 2017, 114, 8241–8246. [Google Scholar] [CrossRef]
- Talapatra, S.K.; Tham, C.L.; Guglielmi, P.; Cirilli, R.; Chandrasekaran, B.; Karpoormath, R.; Carradori, S.; Kozielski, F. Crystal structure of the Eg5—K858 complex and implications for structure-based design of thiadiazole-containing inhibitors. Eur. J. Med. Chem. 2018, 156, 641–651. [Google Scholar] [CrossRef] [PubMed]
- Wu, C.-C.; Li, T.-K.; Farh, L.; Lin, L.-Y.; Lin, T.-S.; Yu, Y.-J.; Yen, T.-J.; Chiang, C.-W.; Chan, N.-L. Structural Basis of Type II Topoisomerase Inhibition by the Anticancer Drug Etoposide. Science 2011, 333, 459–462. [Google Scholar] [CrossRef] [PubMed]
- Johnston, R.C.; Yao, K.; Kaplan, Z.; Chelliah, M.; Leswing, K.; Seekins, S.; Watts, S.; Calkins, D.; Chief Elk, J.; Jerome, S.V.; et al. Epik: pKa and protonation state prediction through machine learning. J. Chem. Theory Comput. 2023, 19, 2380–2388. [Google Scholar] [CrossRef] [PubMed]
- Schrödinger Release 2025-2: LigPrep; Schrödinger, LLC: New York, NY, USA, 2025.












| IC50 (Cytotoxicity 50: µg/L); SI (Selectivity Index) | |||||
|---|---|---|---|---|---|
| Comp. no. | Prostate Cancer (PC-3) | SI | Breast Cancer (MCF-7) | SI | Human Embryonic Kidney (HEK-293) |
| 9a | 61.3 ± 2.6 | 3.22 | 80.7 ± 1.1 | 2.45 | 197.6 ± 1.5 |
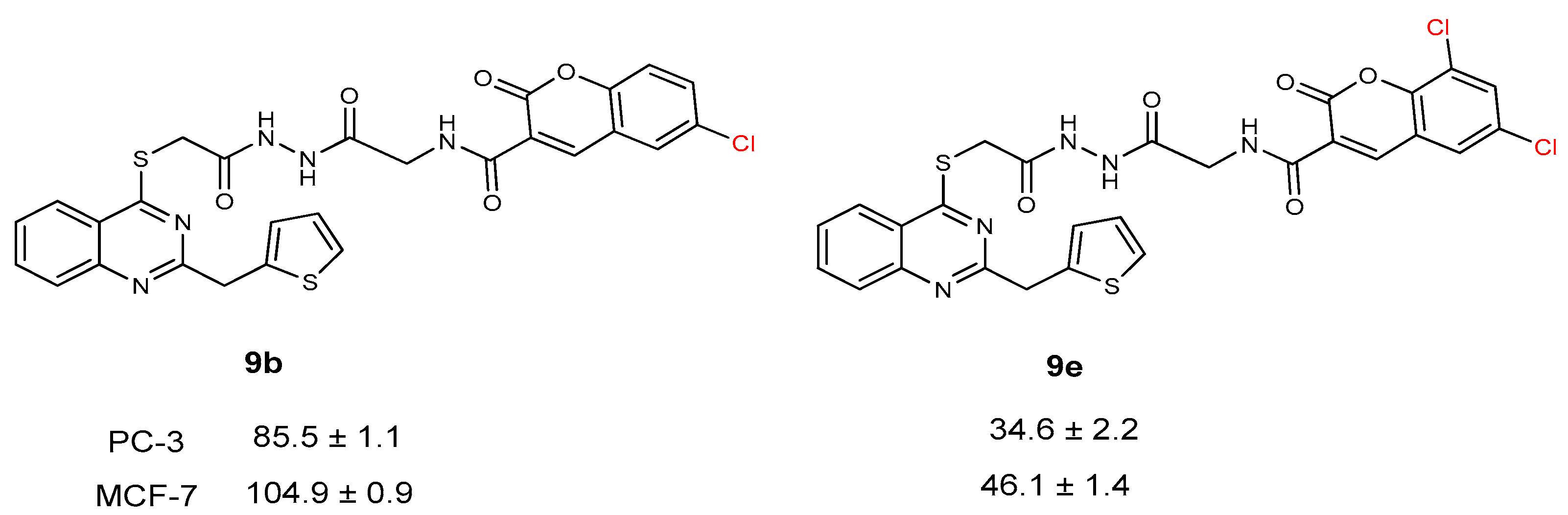
| 9b | 85.5 ± 1.1 | 1.57 | 104.9 ± 0.9 | 1.29 | 134.6 ± 1.6 |
| 9c | 47.7 ± 0.3 | 2.51 | 71.2 ± 0.2 | 1.68 | 119.9 ± 2.1 |
| 9d | 43.0 ± 0.9 | 2.14 | 74.3 ± 1.4 | 1.24 | 91.9 ± 1.4 |
| 9e | 34.6 ± 2.2 | 1.98 | 46.1 ± 1.4 | 1.49 | 68.8 ± 0.8 |
| 9f | 14.7 ± 1.4 | 0.59 | 16.5 ± 1.2 | 0.53 | 8.7 ± 2.4 |
| Cisplatin | 24.1 ± 0.4 | 0.85 | 22.1 ± 1.0 | 0.93 | 20.6 ± 2.4 |
| 6G6Y | 5TUS | 3QX3 | |
|---|---|---|---|
| 9a | −11.029 | −7.99 | −9.956 |
| 9b | −11.084 | −7.133 | −8.622 |
| 9c | −11.256 | −6.627 | −10.874 |
| 9d | −11.272 | −8.368 | −9.902 |
| 9e | −10.883 | −7.603 | −8.021 |
| 9f | −11.881 | −9.088 | −12.694 |
| Ref. Drug * | −12.618 | −8.524 | −9.423 |
| Protein Target | Pearson r (PC-3) | p-Value | Pearson r (MCF-7) | p-Value |
|---|---|---|---|---|
| Eg5 | 0.60 | 0.20 | 0.63 | 0.18 |
| RNR | 0.62 | 0.19 | 0.63 | 0.18 |
| Topo II | 0.58 | 0.23 | 0.57 | 0.24 |
Disclaimer/Publisher’s Note: The statements, opinions and data contained in all publications are solely those of the individual author(s) and contributor(s) and not of MDPI and/or the editor(s). MDPI and/or the editor(s) disclaim responsibility for any injury to people or property resulting from any ideas, methods, instructions or products referred to in the content. |
© 2025 by the authors. Licensee MDPI, Basel, Switzerland. This article is an open access article distributed under the terms and conditions of the Creative Commons Attribution (CC BY) license (https://creativecommons.org/licenses/by/4.0/).
Share and Cite
Çalışkan, N.; Menteşe, E.; Yılmaz, F.; İlhan, S.; Emirik, M. Synthesis and Anticancer Evaluation of Some Glycine Conjugated Hybrid Compounds Containing Coumarin, Thiophene and Quinazoline Moieties. Pharmaceuticals 2025, 18, 1627. https://doi.org/10.3390/ph18111627
Çalışkan N, Menteşe E, Yılmaz F, İlhan S, Emirik M. Synthesis and Anticancer Evaluation of Some Glycine Conjugated Hybrid Compounds Containing Coumarin, Thiophene and Quinazoline Moieties. Pharmaceuticals. 2025; 18(11):1627. https://doi.org/10.3390/ph18111627
Chicago/Turabian StyleÇalışkan, Nedime, Emre Menteşe, Fatih Yılmaz, Süleyman İlhan, and Mustafa Emirik. 2025. "Synthesis and Anticancer Evaluation of Some Glycine Conjugated Hybrid Compounds Containing Coumarin, Thiophene and Quinazoline Moieties" Pharmaceuticals 18, no. 11: 1627. https://doi.org/10.3390/ph18111627
APA StyleÇalışkan, N., Menteşe, E., Yılmaz, F., İlhan, S., & Emirik, M. (2025). Synthesis and Anticancer Evaluation of Some Glycine Conjugated Hybrid Compounds Containing Coumarin, Thiophene and Quinazoline Moieties. Pharmaceuticals, 18(11), 1627. https://doi.org/10.3390/ph18111627

