Next Article in Journal
Direct Targeting of CXCR2 Receptor Inhibits Neuroblastoma Growth: An In Vitro Assessment
Previous Article in Journal
Machine Learning for Warfarin Therapy: A Systematic Review
 
 
Font Type:
Arial Georgia Verdana
Font Size:
Aa Aa Aa
Line Spacing:
Column Width:
Background:
Article

Multi-Kinase Inhibition by New Quinazoline–Isatin Hybrids: Design, Synthesis, Biological Evaluation and Mechanistic Studies

by
Mohammed M. Alanazi
* and
Reem I. Al-Wabli
*
Department of Pharmaceutical Chemistry, College of Pharmacy, King Saud University, Riyadh 11451, Saudi Arabia
*
Authors to whom correspondence should be addressed.
Pharmaceuticals 2025, 18(10), 1546; https://doi.org/10.3390/ph18101546
Submission received: 22 September 2025 / Revised: 9 October 2025 / Accepted: 11 October 2025 / Published: 14 October 2025
(This article belongs to the Section Medicinal Chemistry)

Abstract

Background/Objectives: Cancer is a worldwide health concern and is the second leading cause of death, responsible for nearly one in six deaths. Discovery of new anticancer agents is still a challenge for medicinal chemists and further research will improve patients’ chances of survival. Protein kinases are among the most popular and successful biological targets for developing anticancer drugs. In this context, protein kinases were selected as targets, and a series of isatin–quinazoline hybrids were synthesized. Methods: Their antiproliferative activity was evaluated against four cancer cell lines (HepG2, MCF-7, MDA-MB-231, and HeLa) and one normal fibroblast cell line (WI38) using MTT assays. Results: The tested compounds showed variable cytotoxic effects on the four cancer cell lines. Compound 6c exhibited the most potent anticancer activity against all cancer cells. In addition, this compound was tested for the effect on the expression of anti-apoptotic Bcl-2 protein and pro-apoptotic proteins Bax, caspase-3, and caspase-9, which revealed induction of apoptosis similar to staurosporine. Furthermore, an annexin V-FITC/PI dual staining assay confirmed that compound 6c induced cell death by apoptosis. Flow cytometric analysis revealed that compound 6c induced cell cycle arrest at the sub-G1 and S phases in the HepG2 cell line. Moreover, compound 6c was found to be a multi-kinase inhibitor with potent inhibitory activity on CDK2, EGFR, VEGFR-2, and HER2, with IC50 values of 0.183 ± 0.01, 0.083 ± 0.005, 0.076 ± 0.004, and 0.138 ± 0.07 μM, respectively. Finally, a molecular docking simulation was conducted to predict possible binding interactions with the active site of CDK2. Conclusions: These findings suggest that compound 6c is a promising multi-kinase inhibitor with potent anticancer activity, warranting further investigation as a potential therapeutic agent.

1. Introduction

According to World Health Organization (WHO) reports, cancer is a huge group of diseases characterized by abnormal cell growth that can affect all organs and tissues of the body. The latter process, called metastasis, is the leading cause of death from cancer. Cancer is also referred to as neoplasm or malignant tumor [1]. Mutations cause alteration in cellular DNA leading to genetic instability that change the ordinary cellular functions. In 2011, a paper published by Hanahan and Weinberg supported the continued use of the definition of the “hallmark of cancer” as the primary biological events that develop throughout tumor formation [2,3]. Hallmarks of cancer cells compared to normal cells include sustaining growth signaling, escaping growth suppressors, resisting apoptosis, allowing replicative immortality, stimulating angiogenesis, enabling invasion and metastasis, the capability to modify or reprogram cellular metabolism, avoiding immune destruction, genome instability and mutation, and tumor-promoting inflammation [2,4]. Numerous therapeutic targets have been studied, such as alkylating agents like chlorambucil and nitrogen mustard, which are used to treat Hodgkin’s disease; pyrimidines and tubulin-binding medications like the vinca alkaloids that disrupt tubulin function; antimetabolites that mimic naturally occurring purines; and organoplatinum complexes like cisplatin and carboplatin, which have been in use since the 1970s [5,6]. Chemotherapy has a number of drawbacks, such as numerous adverse effects brought on by the cytotoxic nature of the medications and their low selectivity. Drug resistance, however, is a major drawback that can arise during treatment and reduce efficacy [7,8,9]. Protein kinases are among the most widely used and effective biological targets for anticancer medications [10]. Kinases are catalytic proteins that have the ability to move a phosphoryl group (PO32−) from ATP to their substrates, which may be proteins, lipids, or carbohydrates [11]. It is well known that the phosphorylation reaction is very substrate-specific; in the case of protein kinases, the phosphorylatable residue (a tyrosine, serine, or threonine) should be surrounded by an amino acid sequence in the protein substrate [12]. This transfer then changes the folding of the substrate and triggers or inhibits its specific function [13]. Kinases are primarily inactive, although phosphorylation (either by another kinase or by themselves, subsequently referred to as autophosphorylation) or binding to a ligand molecule, scaffold protein, or another kinase domain of the same kind can alter their activity level [14]. Lastly, the conformation-altering effect of kinases is primarily transient because phosphatase enzymes counteract their action by continuously dephosphorylating the substrate molecules [15]. Kinase activity is shared by protein kinases through a conserved structural module known as a domain. This domain consists of two lobes: the amino-terminal lobe and the carboxy-terminal lobe. The Mg ATP-binding site in the center of the protein is formed by the flexible hinge region connecting these two lobes [14]. A kinase can be a substrate for another kinase forming a kinase cascade, a common type of signaling pathway. Signaling pathways mean signal transduction from plasma membrane receptors to transcription factors inside the nucleus. Ultimately, transcription factors regulate the transcription of genes, and the resulting proteins influence various cellular functions: transcription of genes and metabolism, growth, division, motility, or apoptosis of cells [16].
Protein kinases have become the most popular pharmacological targets in the past 20 years because increases in their activity are common in a number of diseases, including diabetes, cardiovascular, neurological, and inflammatory conditions, and cancer. Inhibiting these kinases has been shown to reduce some of the symptoms [17]. Given the significant role of kinases in signaling pathways and biological functions, it is not uncommon that several of these are involved in cancer [18]. In normal cells, the amount of cellular tyrosine kinase phosphorylation is strongly controlled [16]. Kinases can be involved in cancer in several ways, including misregulated expression and/or amplification, aberrant phosphorylation, mutation, chromosomal translocation, and epigenetic regulation [19]. Inhibiting kinase activity in normal cells can be tolerated, allowing selective targeting of tumor cells. Despite this fact, developing selective kinase inhibitors can be difficult because of the high level of conservation, particularly at the ATP binding site, among the different kinases [20]. Attempts to overcome resistance to some of the marketed anticancer drugs led to an vital need to come up with new methods to fight this disease, and the concept of combination chemotherapy was introduced [6,7]. Some disadvantages associated with combination chemotherapy include patient non-compliance due to increased dosing frequency and forgetting to take medication [21]. In molecular hybridization strategies, two or more drugs are chemically combined in one chemical structure to solve complications of combination chemotherapy caused by patient non-compliance [22]. Molecular hybridization is a strategy for rational designing of new ligands with combinations of two or more known pharmacophoric moieties, resulting in a new hybrid retaining preselected characteristics of the original moieties [23]. The choice of drugs or pharmacophores is typically guided by their known pharmacological activities, aiming to identify novel chemical entities with high potency. Hybrid molecules are anticipated to demonstrate distinct and/or dual mechanisms of action, altered selectivity profiles, and potentially fewer side effects [24]. In fact, the position and nature of substitutions are very crucial for determining the biological activity of different quinazoline derivative [25]. According to a review published by Auti and coauthors, quinazoline or isatin hybrids have been successfully synthesized and several compounds have shown good anticancer activity [26]. Furthermore, Fares and coworkers have reported the synthesis of several quinazoline–isatin hybrids connected through hydrazine. Some of the synthesized compounds revealed potent anticancer activity with apoptosis-inducing effects [27]. Finally, a survey of isatin hybrids and their biological properties was investigated which highlighted the anticancer effect of isatin [28]. Encouraged by FDA-approved quinazoline and isatin-containing anticancer drugs [23,29,30,31], a compound containing both moieties in one single molecule can result in the following advantages: enhanced affinity, efficacy, and a selectivity profile with reduced undesirable adverse effects compared to the parent compounds [32,33]. The hybridization approach has already been applied to develop novel anticancer agents that displayed potent nM activities [34]. Therefore, hybrid anticancer compounds containing quinazoline and isatin were designed, synthesized, and evaluated for anticancer activity.

2. Results and Discussion

2.1. Chemistry

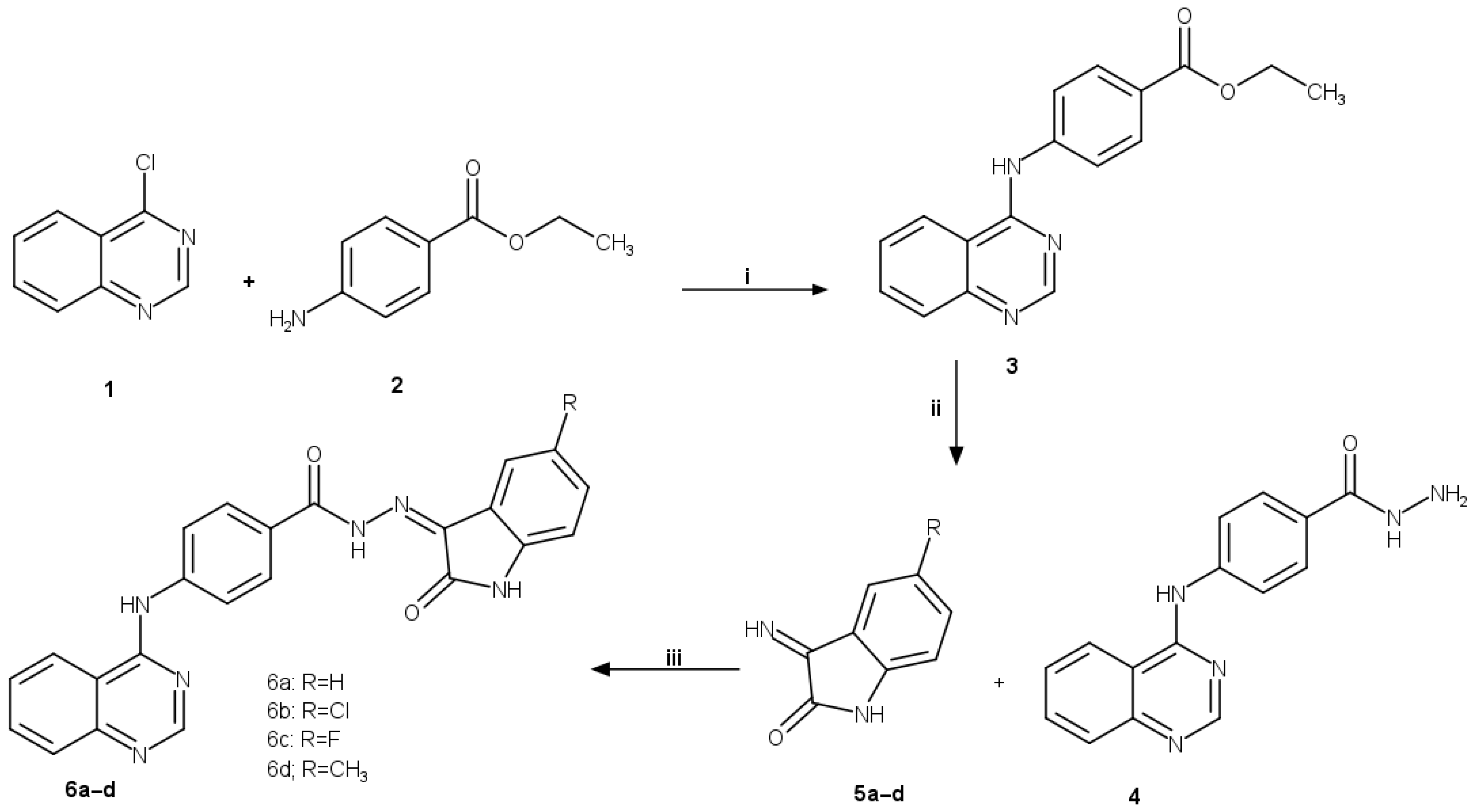
The general synthetic procedure for the synthesis of the hybrid compounds is demonstrated in Scheme 1. The initial step resulted in the formation of ethyl 4-[(quinazolin-4-yl)amino]benzoate (3) by refluxing 4-chloroquinazoline (1) in absolute ethanol and ethyl 4-aminobenzoate (2) for 6 h. Afterwards, subsequent reflux of intermediate 3 with hydrazine hydrate 80% yielded 4-[(quinazolin-4-yl)amino]benzohydrazide (4). Finally, intermediate 4 was treated with either istatin, 5-flouroisatin, 5-chloroisatin, or 5-methylisatin (5ad) to obtain N′-(2-oxoindolin-3-ylidene)-4-(quinazolin-4-ylamino)benzohydrazide or N′-(5-subsitituted-2-oxoindolin-3-ylidene)-4-(quinazolin-4-ylamino)benzohydrazide derivatives (6ad). The reaction was performed by refluxing absolute ethanol treated with 0.2 mL of glacial acetic acid for 8 h. The structures of the compounds were assessed via elemental analysis and spectral data, including mass spectrometry (MS), and proton and carbon nuclear magnetic resonance spectroscopy (1H NMR and 13C NMR). Physical properties including color and melting points were reported. The presence of multiple signals in the 1H NMR spectra between 7 and 9 ppm indicated the existence of aromatic protons in compounds 6ad. Moreover, the spectra of the synthesized compounds showed a D2O-exchangeable signal of a NH proton of the isatin moiety in the region 11.20–11.50 ppm. A distinctive signal of the Schiff base N=CH group appeared as a singlet in the range of 8.7 to 8.8 ppm, for all synthesized compounds. Finally, mass spectra revealed molecular ion [M−H] peaks of different intensity.

2.2. Biological Study

2.2.1. Cytotoxicity Assay/Anti-Proliferative Activity

The synthesized isatin–quinazoline compounds (6ad) were assessed for their cytotoxicity against four cancer cell lines, namely, hepatocellular carcinoma HepG2, breast carcinoma MCF-7, breast adenocarcinoma MDA-MB-231, and cervical carcinoma HeLa, using an MTT colorimetric assay [35]. Doxorubicin and sunitinib were used as positive controls for comparison. The antiproliferative activities are expressed as the median growth inhibitory concentration (IC50) in micromolar range and are described in Table 1.
From the results in Table 1, it is obvious that most of the synthesized compounds exhibited variable growth inhibitory activity against the tested cancer cell lines. Compound 6d demonstrated weak inhibitory active against the four cell lines and surprisingly, it was more cytotoxic against the normal cell line (WI38). On the other hand, compound 6b displayed moderate growth inhibitory activity with IC50 values of 61.35 ± 3.5, 70.65 ± 3.4, 56.31 ± 3.2, and 66.82 ± 3.4 µM against HepG2, MCF-7, MDA-MB-231, and HeLa, respectively. Furthermore, compounds 6a and 6c exhibited potent cytotoxic effects, with 6c being more potent than the reference compounds sunitinib and doxorubicin against HepG2, MCF-7, MDA-MB-231 cell lines, with a comparable effect on HeLa cells. To investigate the selectivity of the latter three compounds, their cytotoxicity against WI38 was tested. Testing revealed a significant selectivity comparable to that of the tyrosine kinase inhibitor sunitinib and better than that of the cytotoxic agent doxorubicin, which did not discriminate between normal and cancer cells. These results showed that the antiproliferative activity of the synthesized compounds was favorable, in the order F > H > Cl > CH3. Fluorine is the smallest halogen and a strong electron-withdrawing group, therefore; it is likely that it enhances the antiproliferative activity by reducing the electron density of the isatin moiety, allowing better interaction with the target proteins. Moreover, its small size also minimizes steric hindrance, allowing better accommodation at the binding site. Hydrogen is also small in size but neutral in electronic effect; so, compound 6a was less potent than compound 6c. Conversely, chlorine is an electron-withdrawing group but it is bulker than fluorine and hydrogen, introducing steric hindrance that may interfere with proper binding. Finally, the electron-donating effect of methyl may disturb the binding interactions with target proteins and hence, compound 6d showed a weak anticancer effect.

2.2.2. Flow Cytometry Cell Cycle Analysis

As compound 6c showed the highest anti-proliferative activity against all tested cell lines, it was selected for further investigation of the mechanism of action. Its impacts on cell cycle progression and induction of apoptosis were investigated. The effect of compound 6c on the regulation of the cell cycle progression was studied using a Propidium Iodide Flow Cytometry Kit assay. Alterations in the cell cycle were recorded after the treatment of HepG2 cells with 2.6 μM of compounds 6c, chosen for its excellent antiproliferative activities within 24 h. As presented in Figure 1 and Table 2, compound 6c induced a markable increase in the accumulation of cancer cells in the cell population in the sub-G1 population (42.79%) in comparison with the control (1.73%). Also, a higher cell accumulation (53.61%) was observed at the S phase for compound 6c (control; 39.28%).

2.2.3. Annexin V-FITC Dual-Staining Apoptosis Assay

Apoptosis can be detected by measuring translocated phosphatidylserine (PS) from the interior to the surface of the cell membrane [36]. Therefore, an annexin V-FITC/PI (fluorescein–isothiocyanate/propidium iodide) dual staining flow cytometric assay was carried out for compound 6c to investigate the mechanism of cell death induced by the assessed compound. Analysis of early and late apoptosis showed the ability of compound 6c to produce remarkable amounts of apoptosis within the respective exposed cells compared to the non-treated cells. The dot plot flow cytometry data of the cells stained with annexin V-FITC and PI is summarized in Table 3 and displayed in Figure 2.

2.2.4. Gene Expression Analysis

One significant anticancer mechanism is apoptosis [37]. Drugs that induce apoptosis cause simultaneous or subsequent activation of death receptor systems, mitochondrial dysfunction, and caspase proteolytic processing [38]. Thus, the cell death pathway may occur in several locations. In this study, the alteration in Bax, Bcl-2, and caspase-3 and 9 gene expression following the stimulation of apoptosis by 6c in HepG2 cells using the RT-qPCR method and staurosporine as a positive control is reported in Table 4.
The results show that there was upregulation in the proapoptotic protein, Bax, caspase-9 and caspase-3. Downregulation in antiapoptotic Bcl-2 protein was observed. These results along with the previous confirm that compound 6c induced apoptosis of HepG2 cells.

2.2.5. In Vitro CDK2, EGFR, VEGFR-2, and HER2 Inhibitory Assay

The synthesized compound 6c and reference standards were evaluated for inhibitory effects against CDK2, EGFR, VEGFR-2, and HER2 protein kinases; the corresponding IC50 values are reported in Table 5. The results of this experiment showed that 6c exhibit substantial inhibitory effects against all test protein kinases, with values of 0.083 μM (EGFR), 0.076 μM (VEGFR-2), 0.138 μM (HER2), and 0.183 (CDK2), indicating that compound 6c exherts its anticancer effect and apoptotic cell death though multikinase inhibition effects.

2.3. In Silico Study

2.3.1. Molecular Docking

The significant inhibition of CDK2 by compound 6c prompted us to investigate the possible binding interactions of compound 6c with the active site of CDK2 by performing molecular docking simulation using AutoDock Vina in PyRx 0.8.
The crystal structure of CDK2 in a complex with sunitinib (PDB code: 3TI1) was obtained from PDB. First, the co-crystallized ligand sunitinib was redocked into the CDK2 active site to validate the docking technique. The docking protocol’s suitability for the next docking investigation was verified by the redocking validation step. The highly observed superimposition between the docked pose and the co-crystallized inhibitor pose of 1.6 Å, as well as the docking score of −9 kcal/mol and the small root mean standard deviation (RMSD) between them, serves as evidence for this (Figure 3A). Sunitinib interacts with CDK2 with the amino acid Val18, Ala31, Leu83, Leu134, and Asp145. Furthermore, sunitinib was stabilized by hydrophobic interactions with other amino acid residues, Ile10, Asp86, Lys88, and Lys89, as shown in Figure 3B.
Assuming that compound 6c exerts its anticancer activity by inhibiting CDK2, by docking compound 6c into the CDK2 active site, possible interactions and alignment between compound 6c and the original inhibitor sunitinib were examined (Figure 4). Compound 6c and sunitinib docked into the CDK2 active site with binding energies of −10.2 and −9 kcal/mol, respectively, indicating 6c to have a higher possible binding affinity than that of the original ligand. The docking simulation predicted that compound 6c is well accommodated inside the active site of CDK2 enzyme, with different interactions with Lys89, His 84, Glu8, Ile10, Leu134, and Leu83. It can also be seen that the proton-donating NH group forms a conventional H-bond with His84. The benzene part of quinazoline ring was observed to form a cation-π interaction with Lys89.

2.3.2. In Silico ADME Study

The findings attained from the in silico investigation unequivocally show that compounds 6ad with different group substitutions are druggable substances showing good ADME properties. The results obtained from the SwissADME search engine are listed in Table 6.
According to the pharmacokinetic properties, compounds 6ad showed high gastrointestinal absorption and no BBB permeability; however, drug likenesses indicate that these compounds may have minimal CNS side effects. Additionally, the results suggest that all compounds may be inhibitors of the CYP3A4 enzyme while only 6a is an inhibitor of the CYP2D6 enzyme. Finally, low Log Kp values suggest that all these compounds are likely to penetrate skin.

2.3.3. Toxicity Prediction

Using the OSIRIS property explorer (https://www.organic-chemistry.org/prog/peo/), theoretical toxicity profiles (mutagenic, tumorigenic, irritant, and reproductive effective) of compounds 6ad were analyzed and compared to doxorubicin as a reference drug. According to the results shown in Table 7, all tested compounds showed no toxicity risk.

3. Materials and Methods

3.1. Instrumentation

Melting points (°C) in one-open-ended glass capillaries were recorded using an electrothermal 9200 melting point apparatus (Cole-Parmer GmbH, Wertheim, Germany) and Stuart SMP 10 digital melting point apparatus (Cole-Parmer Ltd., Altrincham, UK). Nuclear magnetic resonance (NMR) spectra were recorded (700 MHz for proton 1H and 176 MHz for carbon 13C) in deuterated dimethyl sulfoxide (DMSO-d6) as a solvent, using Bruker spectrometers (Bruker, Zurich, Switzerland) at the College of Pharmacy, King Saud University, Saudi Arabia. Tetramethylsilane (TMS) was used as an internal standard. All chemical shifts are denoted per the δ scale (ppm); coupling constants (J) for 1H are given in Hz and expressed as (s) for singlet, (brs) for broad singlet, (d) for doublet, (t) for triplet, (dd) for doublet of doublets, (td) for a triplet of doublets, and (m) for multiplet. Mass spectra were analyzed by Agilent Single Quad Mass Spectrometer (Agilent Technologies, Palo Alto, CA, USA). Elemental analyses were performed on Perkin Elmer 2400 CHN elemental analyzer (Perkin Elmer, Springfield, IL, USA). Thin-layer chromatography (TLC) was performed for monitoring the reaction and checking the purity of the final product using silica gel pre-coated aluminum sheets (60 F254, Merck, Darmstadt, Germany) and visualization with an ultraviolet (UV) lamp at 365 and 254 nm.

3.2. Chemicals

All materials and solvents were reagents of laboratory grade and were used without any further purification. 4-Chloroquinazoline, ethyl 4-aminobenzoate, isatin, 5-methylisatin, 5-fluoroisatin, and 5-chloroisatin were purchased from AK Scientific (Union City, CA, USA). Hydrazine hydrate 80% was purchased from Alpha Chemika (Mumbai, India). Absolute ethanol and methanol used were of laboratory grade and were purchased from Fisher Scientific (Waltham, MA, USA).

3.3. Chemical Synthesis

3.3.1. Chemistry

Synthesis of Ethyl 4-[(Quinazolin-4-yl)amino]benzoate (3)
Ethyl 4-[(quinazolin-4-yl)amino]benzoate (3) was prepared by the reaction of 4-chloro quinazoline (1) (2.14 g, 13 mmol) with ethyl 4-aminobenzoate (2) (4.29 g, 26 mmol, 2 equiv) in refluxing absolute ethanol (30 mL) for 6 h as described by Kapustyansky et al. [39]. The reaction mixture was then cooled, filtered, and washed with cold ethanol to obtain 3 (2.47 g, 8.45 mmol; 68%).
Pharmaceuticals 18 01546 i001
Light yellow solid, yield 68%; m.p.: 221 °C [39].
Synthesis of 4-[(Quinazolin-4-yl)amino] Benzohydrazide (4)
Reacting ethyl 4-[(quinazolin-4-yl)amino]benzoate (3) (2 g, 6.85 mmol) with excess hydrazine hydrate 80% in refluxing absolute ethanol for 8 h resulted in the formation of 4-[(quinazolin-4-yl)amino]benzohydrazide (4) (0.97g, 3.5 mmol; 51%) as white powder. The reaction was performed as described by Kovalenko, S. et al. [40].
Pharmaceuticals 18 01546 i002
Light yellow fine powder, yield 51%; m.p.: 269 °C [40].
General Procedure for Synthesis of N′-(5-Subsitituted-2-oxoindolin-3-ylidene)-4-(quinazolin-4-ylamino) Benzohydrazide Derivatives (6ad)
Compounds 6ad were prepared by refluxing of 4 (0.15 g, 0.5 mmol) with the corresponding isatin (1.2 equiv) in absolute ethanol treated with 0.2 mL of glacial acetic acid for 8 h. The reaction was then stopped and left to cool before it was filtered and washed with cold ethanol to obtain compounds 6ad (22–86%).
  • (Z)-N′-(2-Oxoindolin-3-ylidene)-4-(quinazolin-4-ylamino) benzohydrazide (6a).
Pharmaceuticals 18 01546 i003
Light yellow solid, yield 30%; m.p.: 337 °C. 1H NMR (700 MHz, DMSO-d6) δ: 6.99 (d, 1H, J = 7.7 Hz), 7.14 (t, 1H, J = 7.7 Hz), 7.41 (t, 1H, J = 7.7 Hz), 7.64 (d, 1H, J = 7.7 Hz), 7.72 (t, 1H, J = 7.7 Hz), 7.87 (d, 1H, J = 8.4 Hz), 7.93 (t, 1H, J = 7.7 Hz), 7.97 (d, 2 H, J = 8.4 Hz), 8.22 (d, 2H, J = 9.1 Hz), 8.64 (d, 1H, J = 8.4 Hz), 8.74 (s, 1H), 10.13 (s, 1H, NH), 11.40 (s, 1H, NH), 13.99 (s, 1H, NH) ppm. 13C NMR (176 MHz, DMSO-d6) δ: 111.6, 115.8, 120.4, 121.4, 122.0, 123.2, 123.6, 126.6, 128.4, 132.2, 133.9, 142.8, 144.2, 150.3, 154.7, 158.0, 163.6 ppm. MS (ESI): m/z (%): 406.9 [M-1]. Anal. Calcd for C23H16N6O2: C, 67.64; H, 3.95; N, 20.58. Found: C, 67.41; H, 4.02; N, 20.64.
  • (Z)-N′-(5-Chloro-2-oxoindolin-3-ylidene)-4-(quinazolin-4-ylamino)benzohydrazide (6b).
Pharmaceuticals 18 01546 i004
Yellow powder, yield 68%; m.p.: 361 °C. 1H NMR (700 MHz, DMSO-d6): δ 7.00 (d, 1H, J = 8.4 Hz), 7.45 (dd, 1H, J = 2.1, 8.4 Hz), 7.61 (d, 1H, J = 2.1 Hz), 7.71 (t, 1H, J = 7.7 Hz), 7.86 (d, 1H, J = 7.7 Hz), 7.93 (t, 1H, J = 8.4 Hz), 7.96 (d, 2H, J = 8.4 Hz), 8.22 (d, 2H, J = 8.4 Hz), 8.63 (d, 1H, J = 8.4 Hz), 8.74 (s, 1H), 10.13 (s, 1H, NH), 11.51 (s, 1H, NH), 13.92 (s, 1H, NH) ppm. 13C NMR (176 MHz, DMSO-d6): δ 113.2, 115.8, 120.9, 121.9, 122.1, 123.5, 126.4, 127.1, 127.4, 128.4, 131.5, 133.8, 141.5, 144.3, 150.3, 154.6, 157.9, 163.5 ppm. MS (ESI): m/z (%): 440.9 [M-1]. Anal. Calcd for C23H15ClN6O2: C, 62.38; H, 3.41; N, 18.98. Found: C, 62.49; H, 3.52; N, 18.77.
  • (Z)-N′-(5-Fluoro-2-oxoindolin-3-ylidene)-4-(quinazolin-4-ylamino)benzohydrazide (6c).
Pharmaceuticals 18 01546 i005
Yellow powder, yield 22%; m.p.: 333 °C. 1H NMR (700 MHz, DMSO-d6) δ: 6.98 (dd, 1H, J = 4.2, 8.4 Hz), 7.27–7.24 (tt, 1H, J = 2.1, 9.1 Hz), 7.46 (dd, 1H, J = 2.1, 8.4 Hz), 7.71 (t, 1H, J = 8.4 Hz), 7.86 (d, 1H, J = 8.4 Hz), 7.93 (m, 1H), 7.96 (d, 2H, J = 8.4 Hz), 8.22 (d, 2H, J = 9.1 Hz), 8.64 (d, 1H, J = 8.4 Hz), 8.74 (s, 1H), 10.13 (s, 1H, NH), 11.42 (s, 1H, NH), 13.99 (s, 1H, NH) ppm. 13C NMR (176 MHz, DMSO-d6): δ 108.5 (d, JC-F = 26.4 Hz), 112.8 (d, JC-F = 8.8 Hz), 115.8, 118.5 (d, JC-F = 24.6 Hz), 121.7 (d, JC-F = 8.8 Hz), 121.9, 123.6, 126.4, 127.1, 128.4, 133.8, 139.1, 144.3, 150.3, 154.7, 157.9, 158.9 (d, JC-F = 244.6 Hz), 163.7 ppm. MS (ESI): m/z (%): 425 [M-1]. Anal. Calcd for C23H15FN6O2: C, 64.79; H, 3.55; N, 19.71. Found: C, 65.02; H, 3.48; N, 19.82.
  • (Z)-N′-(5-Methyl-2-oxoindolin-3-ylidene)-4-(quinazolin-4-ylamino)benzohydrazide (6d).
Pharmaceuticals 18 01546 i006
Yellow powder, yield 87%; m.p.: 348 °C. 1H NMR (700 MHz, DMSO-d6) δ: 2.33 (s, 3H, CH3), 6.88 (d, 1H, J = 7.7 Hz), 7.22 (d, 1H, J = 7.7 Hz), 7.46 (s, 1H), 7.72 (m, 1H), 7.86 (d, 1H, J = 8.4 Hz), 7.93 (m, 1H), 7.96 (d, 2H, J = 8.4 Hz), 8.22 (d, 2H, J = 8.4 Hz), 8.65 (d, 1H, J = 7.7 Hz), 8.74 (s, 1H), 10.21 (s, 1H, NH), 11.29 (s, 1H, NH), 13.99 (s, 1H, NH) ppm. 13C NMR (176 MHz, DMSO-d6): δ 21.0 (CH3), 111.5, 115.8, 120.4, 121.7, 121.9, 123.6, 126.7, 127.1, 128.4, 132.3, 132.6, 133.9, 140.6, 144.2, 150.3, 154.7, 158.0, 163.8 ppm. MS (ESI): m/z (%): 420.9 [M-1]. Anal. Calcd for C24H18N6O2: C, 68.24; H, 4.29; N, 19.89. Found: C, 68.15; H, 4.38; N, 19.96.

3.4. Biological Screening

3.4.1. Cell Culture

The four cancer cell lines—hepatocellular carcinoma (HepG2), breast adenocarcinoma (MCF-7), breast adenocarcinoma (MDA-MB-231), and cervical carcinoma (HeLa)—and the normal fibroblast cell line (WI38) used in this study were obtained from the American Type Culture Collection (ATCC, Manassas, VA, USA) via a holding company for biological products and vaccines (VACSERA, Cairo, Egypt). Antibiotic solutions and sterile solutions were purchased from Sigma-Aldrich (St. Louis, MO, USA).

3.4.2. Cytotoxicity Assay

Cytotoxicity of the synthesized compounds 6ad was assessed by performing a colorimetric MTT (3-(4,5-dimethylthiazol-2-yl)-2,5-diphenyltetrazolium bromide) assay [41,42,43]. The MTT assay is widely used to measure cell proliferation, cell viability, and cytotoxicity. It is based on reducing MTT dye into formazan crystals by living cells, determining mitochondrial activity [44]. Experimental procedures are described in detail in the Supplementary Information.

3.4.3. Flow Cytometry Cell Cycle Analysis

Cell cycle arrest and distribution were evaluated using a Propidium Iodide Flow Cytometry Kit (ab139418, Abcam, Cambridge, MA, USA) followed by flow cytometry analysis [45,46]. Experimental procedures are described in detail in the Supplementary Information.

3.4.4. Annexin V-FITC Dual-Staining Apoptosis Assay

The apoptosis assay was performed with an annexin V-FITC/PI double staining apoptosis detection kit (K101, BioVision Inc., Mountain View, CA, USA) using a flow cytometer [47,48]. Experimental procedures are described in detail in theSupplementary Information.

3.4.5. Gene Expression Analysis

RNA was isolated from cells using RNeasy® (Qiagen, Chatsworth, CA, USA) [49]. Experimental procedures are described in detail in the Supplementary Information.

3.4.6. In Vitro CDK2, EGFR, VEGFR-2, and HER2 Inhibitory Assays

The in vitro inhibitory activities of the compound 6c against CDK2, EGFR, VEGFR-2, and HER2 were carried out using a CDK2, EGFR, VEGFR-2, and HER2 Kinase Assay Kit (BPS Biosciences, San Diego, CA, USA) [50]. Experimental procedures are described in detail in the Supplementary Information.

3.5. In Silico Study

3.5.1. Molecular Docking

The protein crystal structure data was acquired from the Protein Data bank (PDB). The 3D crystal structure used for docking was 3TI1 (CDK2 in complex with Sunitinib). The docking study was conducted using Autodock Vina in PyRx (version 0.8) virtual screening tool (http://pyrx.sourceforge.net), AutoDock Tools (version 1.5.7), and BIOVIA Discovery Studio Visualizer 2021 (version 24.1.0.23298) [51]. Procedures are described in detail in the Supplementary Information.

3.5.2. In Silico ADME Study

The ADME study was carried out using the SwissADME predictor (http://www.swissadme.ch/, accessed on 21 May 2021), which is a free web tool to estimate pharmacokinetics, and drug likeness. The SMILES notations used were generated from the synthesized compounds.

3.5.3. Toxicity Prediction

Osiris Property Explorer (http://www.organic-chemistry.org/prog/peo/, accessed on 25 May 2021) was used to determine toxicity risk. The results of virtual screening were evaluated and color-coded for properties such as potential mutagenicity, reproductive system, irritant effect, and tumorigenicity. This program’s predictions are based on functional group similarities of the investigated compounds with those in its database that have been extensively studied in vitro and in vivo.

4. Conclusions

In summary, four isatin–quinazoline compounds 6ad were synthesized through three steps. The target compounds were obtained with different yields. Most of the synthesized compounds were found to suppress proliferation and induce cytotoxicity toward HepG2, MCF-7, MDA-MB-231, and HeLa cell lines, in varying degrees compared with standard drugs doxorubicin and sunitinib. In particular, compounds 6a and 6c showed significant cytotoxic activity, with 6c being the most active. Compound 6c was shown to induce cell cycle arrest in the sub-G1 and S phases of the HepG2 cell line. Moreover, in vitro inhibitory activity of compound 6c on CDK2, EGFR, VEGFR-2, and HER2 protein kinase enzymes was evaluated. Compound 6c demonstrated significant inhibitory activity toward those protein kinase enzymes compared to the reference drugs. Additionally, the annexin V-FITC/PI assay showed that compounds 6c had an early apoptotic induction effect in cell cycle assays. Furthermore, this compound caused a notable downregulation of the Bcl-2 protein level, a notable elevation of the Bax protein level, and a considerable rise in the activities of caspase-3 and caspase-9. Lastly, a molecular docking investigation of 6c’s interactions with the CDK2 active pocket via several interactions supporting the results obtained. Overall, these findings suggest that compound 6c is a promising multi-kinase inhibitor and candidate anticancer drug.

Supplementary Materials

The following supporting information can be downloaded at: https://www.mdpi.com/article/10.3390/ph18101546/s1, 1H NMR, 13C NMR and Mass spectra.

Author Contributions

M.M.A.: Conceptualization, design, synthesis, investigation, writing, and reviewing. R.I.A.-W.: Synthesis, data analysis, investigation, writing, and reviewing. All authors have read and agreed to the published version of the manuscript.

Funding

This work is supported by the Ongoing Research Funding program, (ORF-2025-207), King Saud University, Riyadh, Saudi Arabia.

Institutional Review Board Statement

Not applicable.

Data Availability Statement

Data is contained within the article or Supplementary Material.

Acknowledgments

The authors extend their appreciation to the Ongoing Research Funding program, (ORF-2025-207), King Saud University, Riyadh, Saudi Arabia, for supporting this work.

Conflicts of Interest

The authors declare no conflict of interest.

References

  1. Brown, J.S.; Amend, S.R.; Austin, R.H.; Gatenby, R.A.; Hammarlund, E.U.; Pienta, K.J. Updating the Definition of Cancer. Mol. Cancer Res. 2023, 21, 1142–1147. [Google Scholar] [CrossRef]
  2. Hanahan, D.; Weinberg, R.A. The Hallmarks of Cancer. Cell 2000, 100, 57–70. [Google Scholar] [CrossRef]
  3. Hanahan, D. Hallmarks of Cancer: New Dimensions. Cancer Discov. 2022, 12, 31–46. [Google Scholar] [CrossRef]
  4. Hanahan, D.; Weinberg, R.A. Hallmarks of Cancer: The next Generation. Cell 2011, 144, 646–674. [Google Scholar] [CrossRef] [PubMed]
  5. Chabner, B.A.; Roberts, T.G. Chemotherapy and the War on Cancer. Nat. Rev. Cancer 2005, 5, 65–72. [Google Scholar] [CrossRef] [PubMed]
  6. DeVita, V.T.; Chu, E. A History of Cancer Chemotherapy. Cancer Res. 2008, 68, 8643–8653. [Google Scholar] [CrossRef]
  7. Holohan, C.; Van Schaeybroeck, S.; Longley, D.B.; Johnston, P.G. Cancer Drug Resistance: An Evolving Paradigm. Nat. Rev. Cancer 2013, 13, 714–726. [Google Scholar] [CrossRef]
  8. Housman, G.; Byler, S.; Heerboth, S.; Lapinska, K.; Longacre, M.; Snyder, N.; Sarkar, S. Drug Resistance in Cancer: An Overview. Cancers 2014, 6, 1769–1792. [Google Scholar] [CrossRef] [PubMed]
  9. Vasan, N.; Baselga, J.; Hyman, D.M. A View on Drug Resistance in Cancer. Nature 2019, 575, 299–309. [Google Scholar] [CrossRef]
  10. Bhullar, K.S.; Lagarón, N.O.; McGowan, E.M.; Parmar, I.; Jha, A.; Hubbard, B.P.; Rupasinghe, H.P.V. Kinase-Targeted Cancer Therapies: Progress, Challenges and Future Directions. Mol. Cancer 2018, 17, 48. [Google Scholar] [CrossRef]
  11. Manning, G.; Whyte, D.B.; Martinez, R.; Hunter, T.; Sudarsanam, S. The Protein Kinase Complement of the Human Genome. Science 2002, 298, 1912–1934. [Google Scholar] [CrossRef]
  12. Olsen, J.V.; Blagoev, B.; Gnad, F.; Macek, B.; Kumar, C.; Mortensen, P.; Mann, M. Global, in Vivo, and Site-Specific Phosphorylation Dynamics in Signaling Networks. Cell 2006, 127, 635–648. [Google Scholar] [CrossRef]
  13. Krebs, E.G. The Phosphorylation of Proteins: A Major Mechanism for Biological Regulation. Biochem. Soc. Trans. 1985, 13, 813–820. [Google Scholar] [CrossRef]
  14. Taylor, S.S.; Keshwani, M.M.; Steichen, J.M.; Kornev, A.P. Evolution of the Eukaryotic Protein Kinases as Dynamic Molecular Switches. Philos. Trans. R. Soc. Lond. B. Biol. Sci. 2012, 367, 2517–2528. [Google Scholar] [CrossRef] [PubMed]
  15. Alonso, A.; Sasin, J.; Bottini, N.; Friedberg, I.; Friedberg, I.; Osterman, A.; Godzik, A.; Hunter, T.; Dixon, J.; Mustelin, T. Protein Tyrosine Phosphatases in the Human Genome. Cell 2004, 117, 699–711. [Google Scholar] [CrossRef] [PubMed]
  16. Paul, M.K.; Mukhopadhyay, A.K. Tyrosine Kinase-Role and Significance in Cancer. Int. J. Med. Sci. 2004, 1, 101–115. [Google Scholar] [CrossRef] [PubMed]
  17. Cohen, P. Protein Kinases—the Major Drug Targets of the Twenty-First Century? Nat. Rev. Drug Discov. 2002, 1, 309–315. [Google Scholar] [CrossRef]
  18. Blume-Jensen, P.; Hunter, T. Oncogenic Kinase Signalling. Nature 2001, 411, 355–365. [Google Scholar] [CrossRef]
  19. Cicenas, J.; Zalyte, E.; Bairoch, A.; Gaudet, P. Kinases and Cancer. Cancers 2018, 10, 63. [Google Scholar] [CrossRef]
  20. Zhang, J.; Yang, P.L.; Gray, N.S. Targeting Cancer with Small Molecule Kinase Inhibitors. Nat. Rev. Cancer 2009, 9, 28–39. [Google Scholar] [CrossRef]
  21. Eisen, S.A.; Miller, D.K.; Woodward, R.S.; Spitznagel, E.; Przybeck, T.R. The Effect of Prescribed Daily Dose Frequency on Patient Medication Compliance. Arch. Intern. Med. 1990, 150, 1881–1884. [Google Scholar] [CrossRef] [PubMed]
  22. Kerru, N.; Singh, P.; Koorbanally, N.; Raj, R.; Kumar, V. Recent Advances (2015–2016) in Anticancer Hybrids. Eur. J. Med. Chem. 2017, 142, 179–212. [Google Scholar] [CrossRef]
  23. Viegas-Junior, C.; Danuello, A.; da Silva Bolzani, V.; Barreiro, E.J.; Fraga, C.A.M. Molecular Hybridization: A Useful Tool in the Design of New Drug Prototypes. Curr. Med. Chem. 2007, 14, 1829–1852. [Google Scholar] [CrossRef]
  24. Gediya, L.K.; Njar, V.C. Promise and Challenges in Drug Discovery and Development of Hybrid Anticancer Drugs. Expert. Opin. Drug Discov. 2009, 4, 1099–1111. [Google Scholar] [CrossRef]
  25. Marinho, E.; Proença, M.F. The Reaction of 2-(Acylamino)Benzonitriles with Primary Aromatic Amines: A Convenient Synthesis of 2-Substituted 4-(Arylamino)Quinazolines. Synthesis 2015, 47, 1623–1632. [Google Scholar] [CrossRef]
  26. Auti, P.S.; George, G.; Paul, A.T. Recent Advances in the Pharmacological Diversification of Quinazoline/Quinazolinone Hybrids. RSC Adv. 2020, 10, 41353–41392. [Google Scholar] [CrossRef]
  27. Fares, M.; Eldehna, W.M.; Abou-Seri, S.M.; Abdel-Aziz, H.A.; Aly, M.H.; Tolba, M.F. Design, Synthesis and In Vitro Antiproliferative Activity of Novel Isatin-Quinazoline Hybrids. Arch. Pharm. 2015, 348, 144–154. [Google Scholar] [CrossRef]
  28. Shu, V.A.; Eni, D.B.; Ntie-Kang, F. A Survey of Isatin Hybrids and Their Biological Properties. Mol. Divers. 2025, 29, 1737–1760. [Google Scholar] [CrossRef]
  29. Laderian, B.; Fojo, T. CDK4/6 Inhibition as a Therapeutic Strategy in Breast Cancer: Palbociclib, Ribociclib, and Abemaciclib. Semin. Oncol. 2017, 44, 395–403. [Google Scholar] [CrossRef] [PubMed]
  30. McCormack, P.L. Nintedanib: First Global Approval. Drugs 2015, 75, 129–139. [Google Scholar] [CrossRef] [PubMed]
  31. Goodman, V.L.; Rock, E.P.; Dagher, R.; Ramchandani, R.P.; Abraham, S.; Gobburu, J.V.S.; Booth, B.P.; Verbois, S.L.; Morse, D.E.; Liang, C.Y.; et al. Approval Summary: Sunitinib for the Treatment of Imatinib Refractory or Intolerant Gastrointestinal Stromal Tumors and Advanced Renal Cell Carcinoma. Clin. Cancer Res. 2007, 13, 1367–1373. [Google Scholar] [CrossRef]
  32. Shagufta, S.; Ahmad, I. An Insight into the Therapeutic Potential of Quinazoline Derivatives as Anticancer Agents. Medchemcomm 2017, 8, 871. [Google Scholar] [CrossRef]
  33. Fortin, S.; Bérubé, G. Advances in the Development of Hybrid Anticancer Drugs. Expert. Opin. Drug Discov. 2013, 8, 1029–1047. [Google Scholar] [CrossRef] [PubMed]
  34. Solyanik, G.I. Quinazoline Compounds for Antitumor Treatment. Exp. Oncol. 2019, 41, 3–6. [Google Scholar] [CrossRef] [PubMed]
  35. Mosmann, T. Rapid Colorimetric Assay for Cellular Growth and Survival: Application to Proliferation and Cytotoxicity Assays. J. Immunol. Methods 1983, 65, 55–63. [Google Scholar] [CrossRef]
  36. Krahling, S.; Callahan, M.K.; Williamson, P.; Schlegel, R.A. Exposure of Phosphatidylserine Is a General Feature in the Phagocytosis of Apoptotic Lymphocytes by Macrophages. Cell Death Differ. 1999, 6, 183–189. [Google Scholar] [CrossRef] [PubMed]
  37. Pistritto, G.; Trisciuoglio, D.; Ceci, C.; Garufi, A.; D’Orazi, G. Apoptosis as Anticancer Mechanism: Function and Dysfunction of Its Modulators and Targeted Therapeutic Strategies. Aging 2016, 8, 603–619. [Google Scholar] [CrossRef]
  38. Elmore, S. Apoptosis: A Review of Programmed Cell Death. Toxicol. Pathol. 2007, 35, 495–516. [Google Scholar] [CrossRef]
  39. Kapustyansky, I.Y.; Kovalenko, S.M.; Yevsieieva, L.V.; Zaremba, O.V. Targeted Synthesis of a Series of 4-o-Aryl- and 4-N-Alkyl/Arylquinazolines for Stu-Dying the JNK-Kinase Activity. J. Org. Pharm. Chem. 2014, 12, 70–75. [Google Scholar] [CrossRef]
  40. Kovalenko, S.I.; Mazur, I.A.; Sinyak, R.S.; Brazhko, O.A.; Andrushchenko, A.V.; Nikitin, V.O.; Karpenko, O.V. Synthesis, Physicochemical Properties and Antimicrobial Activity of (4-Quinazolinylamino)benzoic Acid Hydrazides and Ylidenehydrazides. Farmatsevtichnii Zhurnal 2001, 2001 Pt 3, 55–59. [Google Scholar]
  41. Alanazi, A.S.; Mirgany, T.O.; Alsaif, N.A.; Alsfouk, A.A.; Alanazi, M.M. Design, Synthesis, Antitumor Evaluation, and Molecular Docking of Novel Pyrrolo[2,3-d]pyrimidine as Multi-Kinase Inhibitors. Saudi Pharm. J. 2023, 31, 989–997. [Google Scholar] [CrossRef] [PubMed]
  42. Alanazi, M.M.; Alanazi, A.S. Novel 7-Deazapurine Incorporating Isatin Hybrid Compounds as Protein Kinase Inhibitors: Design, Synthesis, In Silico Studies, and Antiproliferative Evaluation. Molecules 2023, 28, 5869. [Google Scholar] [CrossRef] [PubMed]
  43. Alanazi, A.S.; Mirgany, T.O.; Alsfouk, A.A.; Alsaif, N.A.; Alanazi, M.M. Antiproliferative Activity, Multikinase Inhibition, Apoptosis- Inducing Effects and Molecular Docking of Novel Isatin–Purine Hybrids. Med. 2023, 59, 610. [Google Scholar] [CrossRef]
  44. Bahuguna, A.; Khan, I.; Bajpai, V.K.; Kang, S.C. MTT Assay to Evaluate the Cytotoxic Potential of a Drug. Bangladesh J. Pharmacol. 2017, 12, 115–118. [Google Scholar] [CrossRef]
  45. Alotaibi, A.A.A.; Asiri, H.H.; Rahman, A.F.M.M.; Alanazi, M.M. Novel Pyrrolo[2,3-d]pyrimidine Derivatives as Multi-Kinase Inhibitors with VEGFR-2 Selectivity. J. Saudi Chem. Soc. 2023, 27, 101712. [Google Scholar] [CrossRef]
  46. Alotaibi, A.A.; Alanazi, M.M.; Rahman, A.F.M.M. Discovery of New Pyrrolo[2,3-d]pyrimidine Derivatives as Potential Multi-Targeted Kinase Inhibitors and Apoptosis Inducers. Pharmaceuticals 2023, 16, 1324. [Google Scholar] [CrossRef]
  47. Mirgany, T.O.; Rahman, A.F.M.M.; Alanazi, M.M. Design, Synthesis, and Mechanistic Evaluation of Novel Benzimidazole-Hydrazone Compounds as Dual Inhibitors of EGFR and HER2: Promising Candidates for Anticancer Therapy. J. Mol. Struct. 2024, 1309, 138177. [Google Scholar] [CrossRef]
  48. Mirgany, T.O.; Asiri, H.H.; Rahman, A.F.M.M.; Alanazi, M.M. Discovery of 1H-Benzo[d]Imidazole-(Halogenated)Benzylidenebenzohydrazide Hybrids as Potential Multi-Kinase Inhibitors. Pharmaceuticals 2024, 17, 839. [Google Scholar] [CrossRef]
  49. Altharawi, A.; Alanazi, M.M.; Alossaimi, M.A.; Alanazi, A.S.; Alqahtani, S.M.; Geesi, M.H.; Riadi, Y. Novel 2-Sulfanylquinazolin-4(3H)-One Derivatives as Multi-Kinase Inhibitors and Apoptosis Inducers: A Synthesis, Biological Evaluation, and Molecular Docking Study. Molecules 2023, 28, 5548. [Google Scholar] [CrossRef]
  50. Alanazi, M.M.; Aldawas, S.; Alsaif, N.A. Design, Synthesis, and Biological Evaluation of 2-Mercaptobenzoxazole Derivatives as Potential Multi-Kinase Inhibitors. Pharmaceuticals 2023, 16, 97. [Google Scholar] [CrossRef]
  51. Albalawi, F.S.; Bhat, M.A.; Bakheit, A.H.; Rahman, A.F.M.M.; Alsaif, N.A.; Jones, A.M.; Romero-Canelon, I. Purine–Hydrazone Scaffolds as Potential Dual EGFR/HER2 Inhibitors. Pharmaceuticals 2025, 18, 1051. [Google Scholar] [CrossRef] [PubMed]
Scheme 1. Synthesis of the target hybrid compounds, 6ad. Reagents and conditions: (i) absolute ethanol/reflux 6 h; (ii) absolute ethanol and N2H4-H2O/reflux 8 h; (iii) absolute ethanol and AcOH/reflux 8 h.
Scheme 1. Synthesis of the target hybrid compounds, 6ad. Reagents and conditions: (i) absolute ethanol/reflux 6 h; (ii) absolute ethanol and N2H4-H2O/reflux 8 h; (iii) absolute ethanol and AcOH/reflux 8 h.
Pharmaceuticals 18 01546 sch001
Figure 1. Representative histograms of DNA content distribution of cell cycle phases of HepG2 cell line. (A) Untreated cells. (B) Cells treated with compound 6c for 24 h.
Figure 1. Representative histograms of DNA content distribution of cell cycle phases of HepG2 cell line. (A) Untreated cells. (B) Cells treated with compound 6c for 24 h.
Pharmaceuticals 18 01546 g001
Figure 2. Dot plot of annexin V/PI-stained cells. (A) Untreated cells. (B) Cells treated with compound 6c for 24 h.
Figure 2. Dot plot of annexin V/PI-stained cells. (A) Untreated cells. (B) Cells treated with compound 6c for 24 h.
Pharmaceuticals 18 01546 g002
Figure 3. (A) Two-dimensional (2D) interactions of sunitinib redocked into the active site of CDK2 enzyme (PDB ID: 3TI1). (B) Three-dimensional (3D) interactions of the superimposition of the docking pose (blue) and the co-crystallized pose (green) of sunitinib.
Figure 3. (A) Two-dimensional (2D) interactions of sunitinib redocked into the active site of CDK2 enzyme (PDB ID: 3TI1). (B) Three-dimensional (3D) interactions of the superimposition of the docking pose (blue) and the co-crystallized pose (green) of sunitinib.
Pharmaceuticals 18 01546 g003
Figure 4. 2D interaction of compound 6c with the active site of CDK2.
Figure 4. 2D interaction of compound 6c with the active site of CDK2.
Pharmaceuticals 18 01546 g004
Table 1. Growth inhibitory activity (IC50 μM) of the tested compounds against HepG2, MCF-7, MDA-MB-231, and HeLa cancer cells.
Table 1. Growth inhibitory activity (IC50 μM) of the tested compounds against HepG2, MCF-7, MDA-MB-231, and HeLa cancer cells.
CompoundIC50 (µM)
WI38HepG2MCF-7MDA-MB-231HeLa
Sunitinib43 ± 2.96.82 ± 0.55.19 ± 0.48.41 ± 0.77.48 ± 0.6
Doxorubicin6.72 ± 0.54.50 ± 0.24.17 ± 0.23.18 ± 0.15.57 ± 0.4
6a34.07 ± 2.67.98 ± 0.64.89 ± 0.36.24 ± 0.513.07 ± 0.9
6b>10061.35 ± 3.570.65 ± 3.456.31 ± 3.266.82 ± 3.4
6c57.28 ± 3.32.61 ± 0.13.78 ± 0.25.18 ± 0.47.60 ± 0.5
6d65.83 ± 3.887.41 ± 4.5>10082.67 ± 4.3>100
Table 2. Cell cycle analysis after 24 h incubation with compound 6c.
Table 2. Cell cycle analysis after 24 h incubation with compound 6c.
SampleCell Cycle Distribution (%)
%G0–G1%S%G2/M% Sub-G1
HepG246.8539.2813.871.73
6c/HepG236.4753.619.9242.79
Table 3. Apoptosis induction analysis.
Table 3. Apoptosis induction analysis.
SampleApoptosis Induction AnalysisNecrosis
TotalEarlyLate
HepG2 Control1.730.420.221.09
6c/HepG242.7928.6411.212.94
Table 4. Effect of compound 6c on levels of Bax, Bcl-2, caspase-9, and caspase-3.
Table 4. Effect of compound 6c on levels of Bax, Bcl-2, caspase-9, and caspase-3.
SampleProtein Expression (Normalized to β-Actin)
BaxBcl-2Caspase-3Caspase-9
HepG21111
Staurosporine/HepG26.7940.3518.434.614
6c/HepG24.5850.18510.132.795
Table 5. Inhibitory activities of 6c against CDK2, EGFR, VEGFR-2, and HER2 protein kinase.
Table 5. Inhibitory activities of 6c against CDK2, EGFR, VEGFR-2, and HER2 protein kinase.
Protein KinaseCompoundIC50 (μM)
CDK26c0.183 ± 0.01
Roscovitine0.595 ± 0.031
EGFR6c0.083± 0.005
Lapatinib0.043 ± 0.003
VEGFR-26c0.076 ± 0.004
Sorafenib0.045 ± 0.002
HER26c0.138 ± 0.07
Lapatinib0.06 ± 0.003
Table 6. Predictions of possible pharmacokinetics and drug-likeness properties for compounds 6ad using SwissADME.
Table 6. Predictions of possible pharmacokinetics and drug-likeness properties for compounds 6ad using SwissADME.
CompoundPharmacokineticsDrug Likeness (#Violations)
GI AbsorptionBBB PermeantPgp SubstrateCYP2D6 InhibitorCYP3A4 Inhibitorlog Kp (Skin
Permeation) cm/s
LipinskiGhoseVeberEganMueggeBioavailability Score
6aHighNoNoYesYes−5.8000000.55
6bHighNoNoNoYes−5.57000000.55
6cHighNoNoNoYes−5.84000000.55
6dHighNoNoNoYes−5.63000000.55
Table 7. Predicted toxicity effects using OSIRIS property explorer.
Table 7. Predicted toxicity effects using OSIRIS property explorer.
CompoundToxicity Risk
MutagenicTumorigenicIrritant EffectReproductive Effective
6aNoneNoneNoneNone
6bNoneNoneNoneNone
6cNoneNoneNoneNone
6dNoneNoneNoneNone
DoxorubicinNoneNoneNoneHigh
Disclaimer/Publisher’s Note: The statements, opinions and data contained in all publications are solely those of the individual author(s) and contributor(s) and not of MDPI and/or the editor(s). MDPI and/or the editor(s) disclaim responsibility for any injury to people or property resulting from any ideas, methods, instructions or products referred to in the content.

Share and Cite

MDPI and ACS Style

Alanazi, M.M.; Al-Wabli, R.I. Multi-Kinase Inhibition by New Quinazoline–Isatin Hybrids: Design, Synthesis, Biological Evaluation and Mechanistic Studies. Pharmaceuticals 2025, 18, 1546. https://doi.org/10.3390/ph18101546

AMA Style

Alanazi MM, Al-Wabli RI. Multi-Kinase Inhibition by New Quinazoline–Isatin Hybrids: Design, Synthesis, Biological Evaluation and Mechanistic Studies. Pharmaceuticals. 2025; 18(10):1546. https://doi.org/10.3390/ph18101546

Chicago/Turabian Style

Alanazi, Mohammed M., and Reem I. Al-Wabli. 2025. "Multi-Kinase Inhibition by New Quinazoline–Isatin Hybrids: Design, Synthesis, Biological Evaluation and Mechanistic Studies" Pharmaceuticals 18, no. 10: 1546. https://doi.org/10.3390/ph18101546

APA Style

Alanazi, M. M., & Al-Wabli, R. I. (2025). Multi-Kinase Inhibition by New Quinazoline–Isatin Hybrids: Design, Synthesis, Biological Evaluation and Mechanistic Studies. Pharmaceuticals, 18(10), 1546. https://doi.org/10.3390/ph18101546

Note that from the first issue of 2016, this journal uses article numbers instead of page numbers. See further details here.

Article Metrics

Back to TopTop