Next Article in Journal
Development of Clinical-Grade Durvalumab-680LT and Nivolumab-800CW for Multispectral Fluorescent Imaging of the PD-1/PD-L1 Axis of the Immune Checkpoint Pathway
Previous Article in Journal
Interactions of Linalool and Linalyl Acetate with Selected Dog Cytochrome P450 (CYP) Proteins Identified by In Silico Drug Discovery Followed by Molecular Docking Analysis
 
 
Font Type:
Arial Georgia Verdana
Font Size:
Aa Aa Aa
Line Spacing:
Column Width:
Background:
Article

Vasorelaxant and Hypotensive Mechanisms of Nelumbo nucifera Seed Extract: Roles of Nitric Oxide, Calcium Channel Blockade and eNOS Interaction with Active Compounds

by
Usana Chatturong
1,
Nitra Nuengchamnong
2,
Anjaree Inchan
3,
Kittiwoot To-On
1,
Tippaporn Bualeong
1,
Wiriyaporn Sumsakul
4,
Anyapat Atipimonpat
5,
Kittiphum Meekarn
5,
Yasuteru Shigeta
6,
Kowit Hengphasatporn
6,
Sarawut Kumphune
7,8 and
Krongkarn Chootip
1,*
1
Department of Physiology, Faculty of Medical Science and Center of Excellence for Innovation in Chemistry, Naresuan University, Phitsanulok 65000, Thailand
2
Science Laboratory Centre, Faculty of Science, Naresuan University, Phitsanulok 65000, Thailand
3
Faculty of Medicine, Ministry of Public Health, Praboromarajchanok Institute, Nonthaburi 11000, Thailand
4
Expert Center of Innovative Herbal Products, Thailand Institute of Scientific and Technological Research, Pathum Thani 12120, Thailand
5
Department of Biochemistry, Faculty of Medical Science, Naresuan University, Phitsanulok 65000, Thailand
6
Center for Computational Sciences, University of Tsukuba, 1-1-1 Tennodai, Tsukuba 305-8577, Ibaraki, Japan
7
Biomedical Engineering Institute, Chiang Mai University, Chiang Mai 50200, Thailand
8
Biomedical Engineering and Innovation Research Center, Chiang Mai University, Mueang Chiang Mai District, Chiang Mai 50200, Thailand
*
Author to whom correspondence should be addressed.
Pharmaceuticals 2025, 18(10), 1500; https://doi.org/10.3390/ph18101500
Submission received: 27 August 2025 / Revised: 30 September 2025 / Accepted: 3 October 2025 / Published: 6 October 2025
(This article belongs to the Section Natural Products)

Abstract

Background/Objectives: Enhancing endothelial nitric oxide (NO) bioavailability through natural products may provide a promising strategy for the prevention and management of hypertension. This study investigated the phytochemical composition of ethanolic lotus (Nelumbo nucifera) seed extract (LSE), its vasorelaxant mechanisms, effects on endothelial NO production, and antihypertensive activity. Methods: LSE was characterized via LC-ESI-QTOF-MS using accurate mass data and fragmentation patterns. Vasorelaxant effects were evaluated in isolated rat aortas, and the underlying mechanisms were explored using pharmacological inhibitors. NO production was assessed in human endothelial EA.hy926 cells. Hypotensive activity was examined in normotensive rats following intravenous administration of LSE (10, 30, and 100 mg/kg). Molecular docking was performed to analyze interactions between LSE bioactive compounds and endothelial nitric oxide synthase (eNOS). Results: LC-ESI-QTOF-MS analysis identified 114 compounds, including primary and secondary metabolites. LSE induced vasorelaxation in endothelium-intact aortas, which was reduced by endothelium removal (p < 0.001) and by L-NAME (p < 0.001). LSE also inhibited receptor-operated, Ca2+ channel-mediated vasoconstriction (p < 0.05). In vivo, LSE decreased blood pressure in a dose-dependent manner. In EA.hy926 cells, LSE (750 and 1000 µg/mL) increased NO production, an effect attenuated by L-NAME. Molecular docking showed that LSE alkaloids, including nelumborine, nelumboferine, neferine, and isoliensinine had strong affinities for binding with eNOS at the tetrahydrobiopterin (BH4) binding site. Nelumborine exhibited the highest affinity, suggesting its potential as an eNOS modulator. Conclusions: LSE promotes vasorelaxation through the stimulation of endothelium-derived NO release and Ca2+ influx inhibition, contributing to blood pressure reduction. These findings support LSE as a potential natural antihypertensive supplement.

Graphical Abstract

1. Introduction

Hypertension, a key risk factor for cardiovascular events such as myocardial infarction and stroke, is associated with endothelial dysfunction, increased vascular contraction, and arterial remodeling [1,2]. The vascular endothelium regulates blood pressure by releasing mediators such as endothelium-derived relaxing factors (EDRFs) and contracting factors (EDCFs) [3]. Nitric oxide (NO), synthesized by endothelial nitric oxide synthase (eNOS), is the most critical EDRF, and its reduced bioavailability is central to hypertension-related endothelial dysfunction [4]. Plant-derived substances are increasingly studied for their ability to activate eNOS, enhancing NO release, vasorelaxation, and cardiovascular protection [5].
Lotus (Nelumbo nucifera), an aquatic perennial flowering plant from the Nymphaeaceae family, is also known by various names such as water lily, sacred lotus, and Kamala. This plant thrives in diverse regions across Asia. All parts of the lotus, including its rhizome, stems, leaves, flowers, and seeds, are valued for their therapeutic potential [6,7,8]. Lotus seeds are a crucial part of the plant, valued for their rich nutritional and bioactive components including phenolic compounds, flavonoids, and alkaloids, which contribute to a range of biological effects [6,7,9]. Thus, the rapid elucidation of the chemical structures of the active components is essential for advancing promising candidates to drug development or food supplement phases. Lotus seeds are extensively used in both culinary and medicinal applications across tropical regions such as Thailand, Vietnam, India, and China [6]. Previous studies have demonstrated that ethanolic lotus seed extract (LSE) exhibits antioxidant [10], anti-inflammatory [11], anti-cancer [12], anti-fertility [13], and anti-proliferative [14] effects. Recently, our in vivo study demonstrated that oral LSE lowered blood pressure and improved cardiovascular morphology in Nω-nitro-L-arginine methyl ester (L-NAME)-induced hypertensive rats, alongside the upregulation of aortic eNOS and increases in circulating nitrate/nitrite, with the concurrent attenuation of oxidative stress markers [15]. However, key questions remain unclear, including whether LSE directly modulates vascular reactivity and enhances endothelial NO production at the cellular level, and how its acute hemodynamic effects manifest in normotensive animals. In addition, a comprehensive chemical characterization of ethanolic LSE and an in silico interrogation of putative eNOS-interacting constituents are needed to connect chemistry with biology. Therefore, the present study aimed to (i) systematically characterize both known and novel chemical constituents of LSE using accurate mass data and fragmentation patterns through reverse-phase high-performance liquid chromatography coupled with mass spectrometry (LC-ESI-QTOF-MS); (ii) investigate the vasorelaxant effect and its underlying mechanisms, including the binding pattern and susceptibility of potential active components of LSE to eNOS using molecular docking; (iii) evaluate LSE cytotoxicity and its effect on endothelial NO production in human endothelial cells (EA.hy926); (iv) examine the acute hypotensive effect of LSE in normotensive rats.

2. Results

2.1. Phytochemical Screening of LSE by LC-ESI-QTOF/MS

The chemical profile of LSE is illustrated in Figure 1. Mass spectrometry provides both qualitative (mass accuracy) and quantitative (concentration or amount found) data by converting analytes into ions. In LC-MS analysis, ion abundances are presented in a total ion chromatogram (TIC), which shows peak intensities against retention time (RT). Each point on the TIC corresponds to a mass spectrum, plotting ion abundances against the mass-to-charge ratio (m/z). When interpreting mass spectrometry data, it is crucial to consider the ionization mode. Electrospray ionization (ESI) is a soft ionization technique where, in positive mode, adducts such as [M+NH4]+, [M+Na]+ or [M+K]+ can appear, while in negative mode, adducts like [M+HCOO] and [M+Cl] are commonly found. Fragmentation patterns reveal gaps between fragment ions, which indicate neutral losses (e.g., −18 Da for H2O, −44 Da for CO2) or specific moieties (e.g., −162 Da for hexose or caffeic acid). The elution order in reverse-phase chromatography is influenced by the LogP (partition coefficient). The nitrogen rule helps determine whether an analyte contains an odd or even number of nitrogen atoms [16]. Comparing the results with existing databases and literature enhances the interpretation and validation of the data.
The phytochemical compounds in lotus seeds were tentatively identified using high-resolution LC-ESI-QTOF-MS. Table 1 lists the accurate mass and fragmentation data for various primary and secondary metabolites. A total of 114 compounds were identified in lotus seeds, comprising amino sugars (1–8), organic acids (9–14), saccharides (15–22), amino acids and nitrogenous compounds (23–41), phenolics (42–50), flavonoids (51–64), alkaloids (65–86), and fatty acids (87–114). The study further explored both bioactive secondary metabolites and primary metabolites. Several distinct classes of flavonoids were identified, including C-glycosides and O-glycosides, along with alkaloids such as benzylisoquinoline, bisbenzylisoquinoline, aporphine, and proaporphine (Figure 2). These secondary metabolites have received significant attention due to their pharmacological effects.

2.2. LSE-Induced Endothelium-Dependent and Endothelium-Independent Vasorelaxant Effects

LSE induced a concentration-dependent vasorelaxation in endothelium-intact (E+, EC50 = 0.34 ± 0.10 mg/mL and Emax = 93.9 ± 4.4%) and endothelium-denuded rings (E−, EC50 > 1000 mg/mL and Emax = 35.9 ± 5.0%) (Figure 3A,B). The removal of the endothelium significantly blunted the relaxant effect of LSE (p < 0.001, Figure 3B), as confirmed by the 2.6-fold decrease in the Emax values. After washout, 80 mM high-potassium (K+) solution re-elicited contractions did not significantly differ from pre-LSE responses.

2.3. Mechanism of Vasorelaxant Action of LSE via NO Pathway and Receptor-Operated Ca2+ Channels (ROCCs) Inhibition

In endothelium-intact rings, the inhibition of NOS by L-NAME markedly reduced LSE-induced relaxation (EC50 > 1 mg/mL and Emax = 32.5 ± 4.1%, p < 0.001, +L-NAME vs. LSE (E+) alone, Figure 3C). In contrast, the blockade of cyclooxygenase (COX) by indomethacin or inhibition of endothelium-derived hyperpolarizing factors (EDHFs) using apamin plus charybdotoxin modestly reduced the maximal response (Emax = 69.5 ± 7.1%, p < 0.05 and 75.7 ± 6.8%, n.s., respectively) without a rightward shift in EC50 (0.34 ± 0.04 and 0.40 ± 0.07 mg/mL, respectively).
In endothelium-denuded rings, the blockers including 1H-[1,2,4]oxadiazolo [4,3-a]quinoxaline-1-one (ODQ), 4-aminopyridine (4–AP), iberiotoxin, glibenclamide and barium chloride (BaCl2), which inhibited soluble guanylyl cyclase (sGC), voltage-gated K+ channels (KV), large conductance calcium (Ca2+)-activated K+ channels (KCa), ATP-sensitive K+ channels (KATP) and inward-rectifying K+ channels (KIR), respectively, did not alter the vasorelaxation induced by LSE (EC50 > 1 mg/mL and Emax = 41.6 ± 7.1%, 43.7 ± 4.5%, 39.2 ± 4.3%, 46.2 ± 6.3% and 41.7 ± 2.2%, respectively, Figure 3D,E).
LSE decreased the contraction induced by extracellular Ca2+ influx in endothelium-denuded aortic rings exposed to phenylephrine (PE) (opening of ROCCs, Figure 4A), but not the high (80 mM) K+ solution (opening of voltage-operated Ca2+ channels (VOCCs), Figure 4B). It did not affect the contraction induced by the intracellular Ca2+ release from the sarcoplasmic reticulum (SR, Figure 4C).

2.4. Cytotoxicity and NO Production in EA.hy926 Human Endothelial Cells Treated with LSE

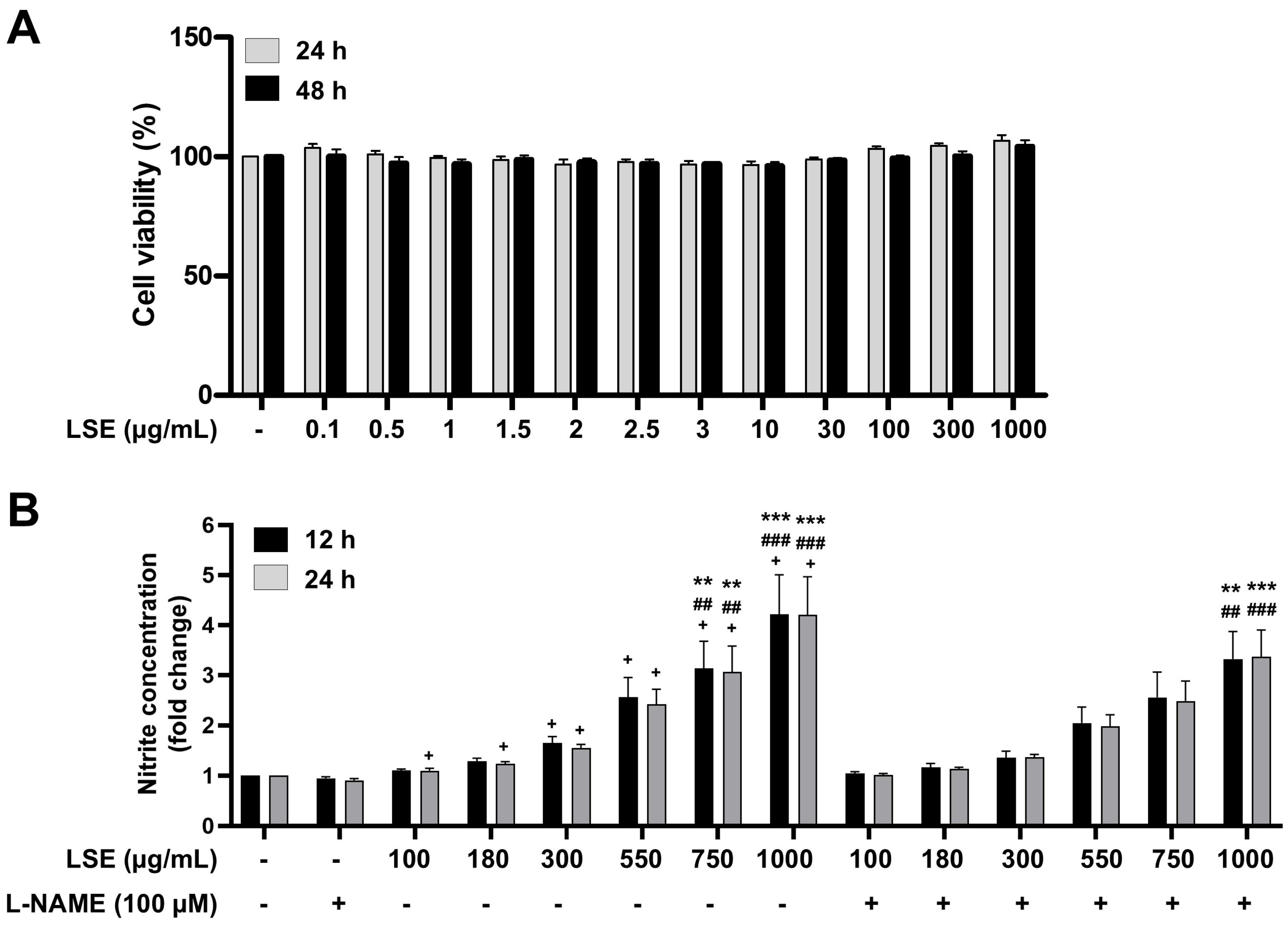
The incubation of EA.hy926 human endothelial cells in cell culture media supplemented with LSE (0.1–1000 µg/mL) for 24 and 48 h did not affect cell viability (Figure 5A). In addition, LSE (750 and 1000 µg/mL) significantly enhanced NO production in EA.hy926 human endothelial cells compared to both the untreated group and the cells treated with L-NAME alone. Notably, even in the presence of 100 µM L-NAME, treatment with 1000 µg/mL LSE still significantly enhanced NO production compared to the untreated group and the cells treated with L-NAME alone (Figure 5B).

2.5. LSE-Induced Acute Hypotensive Effect

Baseline cardiovascular values without treatment were systolic blood pressure (SBP) = 126.6 ± 4.2 mmHg, diastolic blood pressure (DBP) = 86.8 ± 2.1 mmHg, mean arterial pressure (MAP) = 100.1 ± 2.1 mmHg and heart rate (HR) = 453.6 ± 6.9 beats per minute. Intravenous injection of the vehicle (normal saline) had no effect (Figure 6), while LSE (10, 30, and 100 mg/kg) decreased SBP, DBP, and MAP (p < 0.05, p < 0.01 vs. vehicle, Figure 6B–D). The percentage increases in HR were observed after the intravenous injections of LSE (10, 30, and 100 mg⁄kg) and sodium nitroprusside (SNP, Figure 6E).

2.6. Molecular Docking

The molecular docking analysis evaluated the binding interactions between bioactive compounds from LSE and eNOS (PDB ID: 3NOS). The study focused on the tetrahydrobiopterin (BH4) binding site, a crucial region for eNOS function, as BH4 is an essential cofactor for eNOS. Among the screened bisbenzylisoquinoline compounds, 71 (nelumboferine), 75 (nelumborine A or B), 77 (isoliensinine), and 78 (neferine) exhibited strong binding affinities, with docking scores ranging from −11.858 to −12.999 kcal/mol, suggesting their potential as potent eNOS bioactive modulators (Figure 7A,B).
All four compounds formed key interactions within the BH4 binding pocket. Hydrogen bonding was observed with Q247, R365, and N338, stabilizing the ligands within the site. Additionally, van der Waals interactions with residues V336, N366, W447, and heme contributed to the binding stability. Notably, π–π stacking interactions with W74 were consistent across all four compounds, further enhancing their binding affinities.
Among these, compound 75 (nelumborine A or B with two N-methylcoclaurine units linked by C–C bond) exhibited the strongest binding affinity (−12.999 kcal/mol). This can be attributed to its unique sigma–π interaction with H461 and strong alkyl–π stacking with W74, which may contribute to its superior stability in the binding pocket. Compound 71 (nelumboferine with two N-methylcoclaurine units linked by a C–O bond) displayed an additional anion–π interaction with R250, further strengthening its electrostatic stabilization. Compound 77 (isoliensinine with dimer of N-methylcoclaurine and 4′-O-methyl-N-methylcoclaurine via a C–O linkage) formed a notable π–π stacking interaction with W74, while compound 78 (neferine with armepavine and 4′-O-methyl-N-methylcoclaurine, connected by a C–O bond) exhibited multiple hydrogen bonds with BH4, R365, and H371, as well as alkyl-π and π–π stacking interactions with W74 and V104. Thus, the molecular docking results suggest that compounds 71, 75, 77, and 78 from LSE could act as potential bioactive ligands for eNOS, particularly by targeting the BH4 binding site. Their strong binding affinities and diverse interaction profiles support their potential effectiveness (Figure 7C). Nevertheless, as each compound’s interaction with eNOS may result in either activation or inhibition, the overall effect is likely to promote NO release and vasorelaxation.

3. Discussion

The major findings of this study demonstrate that ethanolic lotus seed extract (LSE) induces vasorelaxation via both endothelium-dependent and -independent mechanisms. These effects are mediated by the stimulation of endothelium-derived NO release and the inhibition of Ca2+ influx through ROCCs, cumulating in an acute hypotensive response in normotensive anesthetized rats. The pharmacological benefits of LSE are further supported by its ability to enhance NO production in EA.hy926 human endothelial cells, along with its lack of cytotoxicity. Molecular docking also revealed strong binding affinities between the LSE active compounds and eNOS, confirming the central role of eNOS/NO pathway in the vascular action of LSE.
Vascular tone plays a pivotal role in blood pressure regulation and is governed by a complex interplay between vasodilators and vasoconstrictors released by the vascular endothelium [17,18,19]. In this study, LSE induced concentration-dependent vasorelaxation in both endothelium-intact and endothelium-denuded aortic rings, with a more pronounced effect observed in the presence of the endothelium. After washout, the high K+ (80 mM) contraction recovered to pre-LSE levels, indicating that LSE-induced relaxations were reversible and not attributable to tissue deterioration. The endothelium-dependent relaxation was blocked by an eNOS inhibitor, whereas COX inhibition produced a modest reduction in Emax without altering EC50, and EDHF blockade did not significantly affect either parameter.
In endothelium-denuded rings, the sGC inhibitor, ODQ, did not modify the relaxation evoked by LSE, suggesting that LSE did not directly activate vascular smooth muscle sGC. Nevertheless, the role of sGC as the downstream molecular target of NO is crucial for LSE-induced vasorelaxation. Measuring cGMP levels in vascular smooth muscle could further confirm the role of the eNOS/NO/sGC pathway involved in the mechanisms of action of LSE. Furthermore, LSE could possibly influence endothelial calcium dynamics and ROS, which can indirectly affect eNOS activity, often through complex crosstalk [20]. These areas could be a focus for future study to fully clarify LSE’s mechanism of action. Taken together, our results indicate that the NO pathway is primarily responsible for the endothelial component of LSE-induced vasorelaxation. This finding was further supported by the increased NO production observed in EA.hy926 human endothelial cells treated with LSE, an effect that was attenuated by an eNOS inhibitor, thereby confirming the involvement of the eNOS/NO pathway in LSE-induced vasorelaxation. These results are concordant with a recent in vivo study showing that oral LSE lowered blood pressure in L-NAME-induced hypertensive rats while upregulating aortic eNOS and increasing plasma nitrate/nitrite, alongside reductions in oxidative stress markers, collectively consistent with improved NO bioavailability [15].
Our data also revealed that the vasorelaxant effect of LSE is partly mediated through endothelium-independent mechanisms, which may involve interference with the ion channels on vascular smooth muscle cells (VSMCs) membranes, such as K+ and Ca2+ channels [17,21]. VSMCs express at least four different types of K+ channels, including Kv, KATP, KCa, and KIR channels whose activation leads to membrane hyperpolarization, subsequently inhibiting Ca2+ influx through L-type Ca2+ channels and promoting VSMCs relaxation [17,22]. However, our findings indicate that LSE does not affect these K+ channels. Therefore, we examined whether LSE interferes with extracellular Ca2+ influxes through VOCCs and ROCCs as well as intracellular Ca2+ release from SR through IP3 receptors [21,22]. Our results demonstrated that LSE selectively attenuated Ca2+-induced vascular contraction following PE stimulation, indicating that its vasorelaxant effect involves the blockade of ROCC-mediated Ca2+ entry, while it had no effect on intracellular Ca2+ release from SR. Therefore, the primary molecular target underlying the endothelium-independent vasorelaxant action of LSE is the inhibition of ROCCs.
Various bioactive compounds in LSE may contribute to its vascular effects, particularly through endothelium-dependent vasorelaxation mediated by NO. In the present study, the chemical constituents of LSE were comprehensively characterized using liquid chromatography–electrospray ionization–quadrupole time-of-flight mass spectrometry (LC-ESI-QTOF-MS). This advanced analytical technique relies on high-resolution mass measurements, mass accuracy, and a detailed analysis of adduct formation, neutral losses, and fragmentation patterns. By integrating these components with database matching and fragmentation patterns, LC-ESI-QTOF-MS serves as a powerful tool for the systematic identification of both known and novel compounds in plant and natural product research. Employing LC-ESI-QTOF-MS, we identified 114 compounds in LSE, providing a comprehensive profile of its chemical constituents, including amino sugars, organic acids, saccharides, amino acids and nitrogenous compounds, phenolics, flavonoids, alkaloids, and fatty acids. Notably, the presence of diverse flavonoids, such as catechin, kaempferol, apigenin, and rutin, and alkaloids, including benzylisoquinoline (e.g., lotusine, isolotusine, norcoclaurine, N-methyl-coclaurine, 6-demethyl-4′-methyl-N-methylcoclaurine), bisbenzylisoquinoline (e.g., nelumboferine, isoliensinine, neferine, nelumborines A or B), and aporphine (e.g., nuciferine, O-nornuciferine, N-nornuciferine, caaverine, pronuciferine), aligns with previous findings that highlight the pharmacological significance of these secondary metabolites [6,23,24]. Twelve alkaloid compounds were subsequently selected for molecular docking screening based on their pharmacological relevance in elucidating the mechanisms underlying LSE-induced, eNOS/NO-dependent vasorelaxation. Among these, four compounds (nelumboferine, nelumborine A or B, isoliensinine, and neferine) demonstrated promising potential for direct interaction with eNOS. A molecular docking study suggested that these compounds exhibit strong affinities with eNOS by binding to the BH4 cofactor site, with binding affinities reaching −12.999 kcal/mol. These molecular interactions, including hydrogen bonding with Q247, R365, and N338, as well as π–π stacking with W74, are consistent with findings from similar studies [25,26,27]. This is in line with the observed vasorelaxant properties of LSE, which are attributed to enhanced endothelial NO production. We also found that E361 and D369 act as crucial residues similar to those observed in the previous study [28]. Therefore, these data support the hypothesis that the endothelium-dependent vasorelaxant effect of LSE is mediated, at least in part, by increased NO bioavailability through direct interactions between its active constituents and eNOS. While molecular dynamics (MD) simulations could add further insight, our docking results are supported by LSE-enhanced NO release, L-NAME–sensitive vasorelaxation, and hypotension in vivo. The stabilization of the BH4 site promotes eNOS coupling and NO generation, whereas its loss causes uncoupling [29,30]. Thus, LSE alkaloids likely stimulate rather than inhibit eNOS activity.
The ex vivo data obtained from isolated thoracic aorta suggest that LSE may exert a hypotensive effect in vivo. Consistent with this, our in vivo results demonstrated that the intravenous infusion of LSE in rats produced a dose-dependent decrease in SBP, DBP, and MAP. The LSE’s effect was greater on DBP than SBP, suggesting that its primary mechanism is a decrease in total peripheral resistance, which is largely regulated by resistance arteries. While our study used conduit arteries (thoracic aorta), the findings are relevant because both conduit and resistance arteries share similar vasodilation pathways. Though the dominant vasoactive factor may vary (e.g., NO in conduit arteries vs. EDHF in resistance arteries), the underlying signaling is similar [31]. Therefore, our results provide valuable insight into LSE’s vascular mechanism, while future studies could directly investigate its effect on resistance arteries. In contrast to a reduction in blood pressure, an increase in heart rate was observed following treatment with either LSE or sodium nitroprusside, a potent vasodilator. This response is likely due to reflex tachycardia, a compensatory physiological mechanism commonly triggered by vasodilatory agents to maintain blood pressure homeostasis, particularly when the vasodilator is administered acutely via intravenous injection, as in this study. However, in our previous work using L-NAME-induced hypertensive rats, we found that the oral administration of LSE reduced both blood pressure and heart rate compared with hypertensive controls [15]. These findings suggest that reflex tachycardia may not be a prominent side effect under pathological conditions, and, therefore, may not limit the potential clinical use of LSE.
The hypotensive effect observed in the present study may be attributed to the synergistic actions of multiple compounds present in LSE. Among the identified alkaloid constituents, only neferine has been previously reported to exhibit antihypertensive and vasorelaxant effects via the eNOS/NO/sGC pathway and Ca2+ antagonism [32,33]. Further investigation is warranted to explore other active compounds and their potential synergistic interactions. Collectively, these findings suggest that the systemic hypotensive effects of LSE are primarily mediated through vasodilation, supporting its potential as a natural antihypertensive supplement.

4. Materials and Methods

4.1. Plant Extract Preparation

Lotus seeds were collected from Nakhon Sawan, Thailand, and authenticated with a voucher specimen (BK No. 082574). Dry powder (15 kg) was soaked in 95% ethanol (75 L) and sonicated for 30 min. After 1 h, the mixture was filtered, and the extraction process repeated twice. The combined filtrates were evaporated at 47 °C to yield 3.82 ± 0.56% crude ethanolic extract, which was stored at −20 °C until used. High-performance liquid chromatography (HPLC) analyses were performed to monitor the chemical profile and verify the quality of the extract in accordance with previously published methods [34].

4.2. Phytochemical Analysis Using LC-ESI-QTOF-MS

The chemical constituents of LSE were analyzed following the methodology outlined by Chansriniyom et al. (2021) [35]. The separation process was conducted using an Agilent 1260 Infinity Series HPLC system (Agilent, Waldbronn, Germany) equipped with a Luna C18(2) column (4.6 mm × 150 mm, 5 μm). Chemical characterization was performed using a (+/−) ESI-QTOF mass spectrometer (Agilent 6540, Singapore). Phytochemical compounds were identified based on peak retention time, accurate mass data, and fragmentation patterns, which were compared to entries in the Human Metabolome Database (HMDB) and the METLIN Metabolomics Database and Library (Agilent Technologies, Santa Clara, CA, USA). For compounds lacking database references, identification was inferred from their fragmentation patterns.

4.3. Animals

Adult male Wistar rats (8–12 weeks old) were purchased from Nomura Siam International Co., Ltd. (Bangkok, Thailand) and housed under standard conditions (22 ± 1 °C, 12:12 h light/dark cycle) with free access to food and water at the Center for Animal Research, Naresuan University. All protocols were approved by the Naresuan University Animal Care and Use Committee (Approval number: NU-AE650709 and NU-AE630301).

4.4. Vasorelaxant Effects of LSE on Isolated Rat Thoracic Aorta

Tissue preparation and vascular protocols. The rats were anesthetized with sodium thiopental (60 mg/kg, intraperitoneal injection), and then the thoracic aorta was isolated and placed in cold Krebs solution. This Krebs solution consisted of the following concentrations in mM: NaCl 122, KCl 5, N-[2-Hydroxyethyl] piperazine-N′-[2-ethane-sulfonic acid] (HEPES) 10, KH2PO4 0.5, NaH2PO4 0.5, MgCl2 1, CaCl2 1.8, and glucose 11. The solution was adjusted to pH 7.4 with 1 M NaOH. Afterward, the aorta was cleaned, cut into approximately 2 mm lengths, and suspended in Krebs solution at 37 °C and aerated for isometric tension recording in organ chambers, as previously described [36]. The functional integrity of the aortic rings was verified by applying an 80 mM high K+ solution at the beginning and end of each experiment. The presence of functional endothelium was confirmed by a relaxation of ≥80% to 10 µM acetylcholine (ACh) in vessels precontracted with 10 µM PE. Endothelium-denuded rings exhibited no relaxation to ACh. Subsequently, the rings were constricted with 10 µM PE, and cumulative concentration-response curves to LSE were obtained by adding 1, 3, 10, 30, 100, 300, and 1000 µg/mL sequentially to both endothelium-intact and endothelium-denuded rings.
Mechanism of LSE-induced vasorelaxation. The contribution of endothelium-dependent pathways, the sGC pathway, vascular smooth muscle K+ channels, and intracellular/extracellular Ca2+ fluxes were assessed. To explore the role of eNOS, COX, and EDHF, endothelium-intact rings were pretreated with 100 µM L-NAME (an eNOS inhibitor), 10 µM indomethacin (a COX inhibitor), or 0.1 µM apamin plus 0.1 µM charybdotoxin (small- and large-conductance Ca2+-activated K+ channel blockers), respectively, for 30 min [36] before contraction with 10 µM PE and exposure to cumulative concentrations of LSE. The role of sGC in vasorelaxant activity was assessed by incubating endothelium-denuded aortic rings with 10 µM ODQ (a selective inhibitor of NO-sensitive sGC) for 30 min before contraction with 10 µM PE and exposure to cumulative concentrations of LSE. The role of vascular smooth muscle K+ channels in vasorelaxant activity was assessed by incubating endothelium-denuded aortic rings with 1 mM 4-AP (KV blocker), 10 µM glibenclamide (KATP blocker), 0.1 µM iberiotoxin (KCa blocker) or 1 mM BaCl2 (KIR blocker) for 30 min [36] before contraction with 10 µM PE and exposure to cumulative concentrations of LSE. To assess the involvement of extracellular Ca2+ influx in LSE-induced vasorelaxation, endothelium-denuded rings were incubated in Ca2+-free Krebs solution containing 2 mM ethylene glycol-bis(2-aminoethylether)-N,N,N’,N’-tetraacetic acid (EGTA) for 40 min. Then 10 µM PE was added to deplete intracellular Ca2+ store from SR. After 4 washes with Ca2+-free Krebs solution every 10 min, rings were incubated with vehicle (distilled water) or LSE at the EC50 (340 µg/mL) for 10 min in Ca2+-free Krebs solution with 10 µM PE to open the ROCCs or with Ca2+-free 80 mM K+ solution to open the VOCCs. Then, cumulative concentrations of CaCl2 (0.01–10 mM) were added to evoke a contractile response. The contractions evoked by CaCl2 were normalized as percentage to 10 µM PE-induced contraction in the normal Krebs solution in the same aortic ring and % maximum contractions to 10 mM CaCl2 were compared between conditions with or without LSE [36]. To investigate the effect of LSE on intracellular Ca2+ release from the SR via IP3 receptors, endothelium-denuded rings were precontracted with 80 mM K+ solution for 5 min to stimulate the initial Ca2+ loading into the SR Ca2+ stores. Then, baths were replaced with Ca2+-free Krebs solution for 15 min and 10 µM PE was added to release Ca2+ from SR, thereby eliciting a transient contraction. Then the same protocol was repeated after incubation for 10 min with vehicle (distilled water) or LSE at the EC50 (340 µg/mL) before adding 10 µM PE [36].

4.5. Cytotoxicity and NO Production Effects of LSE on EA.hy926 Human Endothelial Cells

Cytotoxic effects of LSE on the viability of EA.hy926 human endothelial cells. The human endothelial cell line (EA.hy926; ATCC: CRL-2922) were cultured in a 96-well plate at a density of 10,000 cells/well in Dulbecco’s Modified Eagle Medium (DMEM) supplemented with 10% (v/v) fetal bovine serum (Gibco, Thermo Fisher Scientific, Waltham, MA, USA), 100 units/mL penicillin and 100 µg/mL streptomycin (Gibco) and incubated in a cell culture incubator at 37 °C, 5% CO2 for 24 h. Subsequently, the culture medium was removed and replaced with medium containing LSE at concentrations ranging from 0.1–1000 µg/mL. The cells were then further incubated for an additional 24 and 48 h under the same conditions. Effect of LSE on the viability of EA.hy926 cells was assessed using the PrestoBlueTM cell viability reagent (Invitrogen, Thermo Fisher Scientific, Waltham, MA, USA), with absorbance measured at 570 nm as the experimental wavelength and 600 nm as the normalization wavelength using a VarioskanTM LUX multimode microplate reader (Thermo Fisher Scientific, Waltham, MA, USA).
Effects of LSE on NO production. Human endothelial cells EA.hy926 were cultured in a 96-well plate at a density of 10,000 cells/well and incubated at 37 °C, 5% CO2 for 24 h. Afterwards, the cells were washed twice with 1X PBS and then incubated in serum-free media without phenol red for 1 h. Following this, the cells were incubated in serum-free media without phenol red supplemented with LSE at concentrations ranging from 0.1–1000 µg/mL at 37 °C, 5% CO2 for 12 and 24 h. Subsequently, the amount of NO was measured by indirect detection of nitrite (NO2) produced from the spontaneous oxidation of NO using Griess assay. This was achieved by mixing 100 µL of cell culture medium with an equal volume of Griess reagent (0.1% N-(1-naphthyl) ethylenediamine in phosphoric acid and 1% sulfanilamide), thoroughly mixing the components, and allowing the mixture to incubate in darkness at room temperature for 15 min. Absorbance was then measured at a wavelength of 540 nm using a VarioskanTM LUX multimode microplate reader (Thermo Scientific). The nitrite levels were expressed as a relative fold change to the value of control samples (only DMEM), which was set at 1.

4.6. Acute Hypotensive Effect of LSE

To investigate the acute hypotensive effect of LSE compared to SNP, rats were anesthetized with a 1% isoflurane-oxygen mixture, a concentration well below the higher levels (≥3%) reported to significantly influence blood pressure [37]. Then SBP, DBP, MAP, and HR were measured following cannulation of the left carotid artery and connection of the catheter to a pressure recording system, as previously described [15]. After a 15 min stabilization period, all parameters were recorded before (baseline) and during intravenous infusion via the right femoral vein of 1 mL/kg vehicle (normal saline), LSE (10, 30, or 100 mg/kg), or SNP (25 μg/kg). The doses of LSE were selected based on preliminary studies to ensure a dose–response relationship of LSE and capture its full pharmacological spectrum from a submaximal effect to a maximal response. Changes in blood pressure were expressed as percentages of baseline values recorded immediately before drug injection.

4.7. Molecular Docking

Molecular docking studies were performed to investigate the binding modes and affinities of selected compounds towards eNOS (PDB ID: 3NOS [38]). Twelve out of twenty-two alkaloids found in LSE were selected for molecular docking studies due to their wide ranges of therapeutic effects. They were categorized into four structural classes: (i) Benzylisoquinolines: this class includes lotusine derivatives such as compound 66 and lotusine (72), both characterized by a quaternary amine at the nitrogen center. Norcoclaurine (67) features a primary amine (NH) at the nitrogen center, while N-methylcoclaurine (73) and 6-demethyl-4′-methyl-N-methylcoclaurine (81) possess nitrogen centers conjugated with a methyl group. (ii) Bisbenzylisoquinolines: This class comprises compounds such as nelumboferine (71) and nelumborines A or B (75), both of which consist of two N-methylcoclaurine units connected via a C–O bond (71) or a C–C bond (75). Additional representatives include isoliensinine (77) and neferine (78). (iii) Aporphines: This class includes O-nornuciferine (83) and nuciferine (86). (iv) Proaporphines: This class includes pronuciferine (76). Prior to docking, both the protein and ligand structures were prepared using ADCP tools [39]. Hydrogen atoms were added to both the protein and ligands, considering protonation states at pH 7.4. Subsequently, the structures were converted to the PDBQT file format, which is compatible with AutoDock Vina [40].
Docking simulations were carried out using AutoDock Vina 1.2.3 [40], as previously described [41,42,43]. For each compound, ten independent docking runs were performed, generating 40 poses per run, with an exhaustiveness setting of 32 to ensure thorough sampling of the conformational space. The top-ranked pose, based on the Vina scoring function, was selected from each of the ten runs. The pose with the lowest binding energy among the ten iterations was then chosen to represent the compound’s binding affinity and used for generating the binding energy line graph. To further analyze the interaction details, the binding poses of selected, high-affinity compounds were visualized and analyzed using Discovery Studio Visualizer [44]. This allowed for the identification of key interacting residues and the characterization of the types of interactions, such as hydrogen bonds, hydrophobic interactions, and electrostatic interactions, contributing to the binding affinity of the compounds.

4.8. Statistical Analysis

All data are presented as mean ± SEM (n = animals or independent cultures). Vasorelaxation (%) by LSE was calculated relative to 10 µM PE-induced contraction. EC50 and Emax values were determined using GraphPad Prism (V5.0). Concentrationresponse relationships were compared by two-way analysis of variance (ANOVA) for repeated measures. Multiple comparisons were analyzed using one-way ANOVA followed by Tukey’s test. Comparison between two values was assessed by unpaired Student’s t-test. p < 0.05 was considered statistically significant.

5. Conclusions

This study provides a multi-faceted analysis of the hypotensive mechanisms of LSE. We first identified a complex profile of 114 compounds and demonstrated that LSE-induced vasorelaxation occurs via endothelium-dependent NO release and the inhibition of Ca2+ influx through ROCCs. Molecular docking further identified several compounds, with nelumborine showing the highest affinity for the eNOS BH4 domain. These actions contribute to the observed dose-dependent acute hypotensive effect of LSE. In conclusion, our findings provide a strong pharmacological basis for LSE as a potential natural antihypertensive supplement. Future research should focus on validating its long-term efficacy and safety in hypertensive animal models, such as spontaneously hypertensive rats or two-kidney one-clip hypertensive rats, and subsequently in clinical trials. Furthermore, isolating specific bioactive compounds, particularly nelumborine, is necessary for future drug development.

Author Contributions

Conceptualization, U.C. and K.C.; methodology, U.C., N.N., A.I., K.T.-O., T.B., A.A., K.M., Y.S., K.H. and K.C.; formal analysis, U.C., N.N., A.I., K.T.-O., A.A., K.H. and K.C.; investigation, U.C., N.N., A.I., T.B., K.M. and K.H.; resources, W.S., S.K. and K.C.; writing—original draft preparation, U.C., K.H. and K.C.; writing—review and editing, U.C., N.N., A.I., A.A., Y.S., K.H. and K.C.; visualization, U.C. and K.C.; supervision, K.C.; project administration, U.C. and K.C.; funding acquisition, K.C. All authors have read and agreed to the published version of the manuscript.

Funding

This study was financially supported by Naresuan University (Fundamental Fund: fiscal year 2023) through the National Science Research and Innovation Fund (NSRF) (Grant number R2566B040), the NSRF via the Program Management Unit for Human Resources & Institutional Development, Research and Innovation (PMU-B) (grant number B13F670054), the Center of Excellence for Innovation in Chemistry (PERCH-CIC), the Ministry of Higher Education, Science, Research and Innovation, and partially supported by the Global and frontier research university fund, Naresuan University, Thailand (R2566C053).

Institutional Review Board Statement

The animal study protocols and animal care procedures were approved by the Naresuan University Animal Care and Use Committee (approval numbers NU-AE630301, approved on 16 April 2020, and NU-AE650709, approved on 25 November 2022).

Informed Consent Statement

Not applicable.

Data Availability Statement

The raw data supporting the conclusions of this article will be made available by the authors upon request.

Acknowledgments

Generative AI (ChatGPT-4-turbo) was used solely for assistance in editing and refining English language to enhance readability of this manuscript. The contents, ideas and findings presented in the manuscript were entirely generated by the authors without AI assistance. After language editing, the final version was reviewed and validated by the authors to ensure its accuracy and integrity.

Conflicts of Interest

The authors declare that they have no conflict of interest.

References

  1. Mancia, G.; Kreutz, R.; Brunström, M.; Burnier, M.; Grassi, G.; Januszewicz, A.; Muiesan, M.L.; Tsioufis, K.; Agabiti-Rosei, E.; Algharably, E.A.E.; et al. 2023 ESH Guidelines for the management of arterial hypertension The Task Force for the management of arterial hypertension of the European Society of Hypertension: Endorsed by the International Society of Hypertension (ISH) and the European Renal Association (ERA). J. Hypertens. 2023, 41, 1874–2071. [Google Scholar] [CrossRef]
  2. Touyz, R.M.; Alves-Lopes, R.; Rios, F.J.; Camargo, L.L.; Anagnostopoulou, A.; Arner, A.; Montezano, A.C. Vascular smooth muscle contraction in hypertension. Cardiovasc. Res. 2018, 114, 529–539. [Google Scholar] [CrossRef]
  3. Furchgott, R.F.; Vanhoutte, P.M. Endothelium-derived relaxing and contracting factors. FASEB J. 1989, 3, 2007–2018. [Google Scholar] [CrossRef] [PubMed]
  4. da Silva, G.M.; da Silva, M.C.; Nascimento, D.V.G.; Lima Silva, E.M.; Gouvêa, F.F.F.; de França Lopes, L.G.; Araújo, A.V.; Ferraz Pereira, K.N.; de Queiroz, T.M. Nitric Oxide as a Central Molecule in Hypertension: Focus on the Vasorelaxant Activity of New Nitric Oxide Donors. Biology 2021, 10, 1041. [Google Scholar] [CrossRef] [PubMed]
  5. Butnariu, M.; Fratantonio, D.; Herrera-Bravo, J.; Sukreet, S.; Martorell, M.; Ekaterina Robertovna, G.; Les, F.; López, V.; Kumar, M.; Pentea, M.; et al. Plant-food-derived Bioactives in Managing Hypertension: From Current Findings to Upcoming Effective Pharmacotherapies. Curr. Top. Med. Chem. 2023, 23, 589–617. [Google Scholar] [CrossRef] [PubMed]
  6. Arooj, M.; Imran, S.; Inam-ur-Raheem, M.; Rajoka, M.S.R.; Sameen, A.; Siddique, R.; Sahar, A.; Tariq, S.; Riaz, A.; Hussain, A.; et al. Lotus seeds (Nelumbinis semen) as an emerging therapeutic seed: A comprehensive review. Food Sci. Nutr. 2021, 9, 3971–3987. [Google Scholar] [CrossRef]
  7. Mukherjee, P.K.; Mukherjee, D.; Maji, A.K.; Rai, S.; Heinrich, M. The sacred lotus (Nelumbo nucifera)—Phytochemical and therapeutic profile. J. Pharm. Pharmacol. 2009, 61, 407–422. [Google Scholar] [CrossRef]
  8. Punia Bangar, S.; Dunno, K.; Kumar, M.; Mostafa, H.; Maqsood, S. A comprehensive review on lotus seeds (Nelumbo nucifera Gaertn.): Nutritional composition, health-related bioactive properties, and industrial applications. J. Funct. Foods 2022, 89, 104937. [Google Scholar] [CrossRef]
  9. Sharma, B.R.; Gautam, L.N.; Adhikari, D.; Karki, R. A Comprehensive Review on Chemical Profiling of Nelumbo nucifera: Potential for Drug Development. Phytother. Res. 2017, 31, 3–26. [Google Scholar] [CrossRef]
  10. Zhao, X.; Shen, J.; Chang, K.J.; Kim, S.H. Comparative Analysis of Antioxidant Activity and Functional Components of the Ethanol Extract of Lotus (Nelumbo nucifera) from Various Growing Regions. J. Agric. Food Chem. 2014, 62, 6227–6235. [Google Scholar] [CrossRef]
  11. Moon, S.W.; Ahn, C.-B.; Oh, Y.; Je, J.-Y. Lotus (Nelumbo nucifera) seed protein isolate exerts anti-inflammatory and antioxidant effects in LPS-stimulated RAW264.7 macrophages via inhibiting NF-κB and MAPK pathways, and upregulating catalase activity. Int. J. Biol. Macromol. 2019, 134, 791–797. [Google Scholar] [CrossRef] [PubMed]
  12. Zhao, X.; Feng, X.; Wang, C.; Peng, D.; Zhu, K.; Song, J.L. Anticancer activity of Nelumbo nucifera stamen extract in human colon cancer HCT-116 cells in vitro. Oncol. Lett. 2017, 13, 1470–1478. [Google Scholar] [CrossRef]
  13. Mutreja, A.; Agarwal, M.; Kushwaha, S.; Chauhan, A. Effect of Nelumbo nucifera seeds on the reproductive organs of female rats. Int. J. Reprod. Biomed. 2008, 6, 7–11. [Google Scholar]
  14. Liu, C.-P.; Tsai, W.-J.; Lin, Y.-L.; Liao, J.-F.; Chen, C.-F.; Kuo, Y.-C. The extracts from Nelumbo nucifera suppress cell cycle progression, cytokine genes expression, and cell proliferation in human peripheral blood mononuclear cells. Life Sci. 2004, 75, 699–716. [Google Scholar] [CrossRef]
  15. Inchan, A.; Bualeong, T.; Kaewkong, W.; Nuengchamnong, N.; Apaikawee, P.; Sa-Nguanpong, P.; Sumsakul, W.; Charoenphon, N.; Chatturong, U.; Deetud, W.; et al. Antihypertensive Effects of Lotus Seed (Nelumbo nucifera Gaertn.) Extract via eNOS Upregulation and Oxidative Stress Reduction in L-NAME-Induced Hypertensive Rats. Pharmaceuticals 2025, 18, 1156. [Google Scholar] [CrossRef]
  16. Balogh, M.P. Interpretation of mass spectra, Part 1: Developing skills. LCGC Eur. 2007, 20. Available online: https://www.chromatographyonline.com/view/interpretation-mass-spectra-part-1-developing-skills (accessed on 24 August 2024).
  17. Jackson, W.F. Ion channels and vascular tone. Hypertension 2000, 35, 173–178. [Google Scholar] [CrossRef]
  18. Kang, K.T. Endothelium-derived Relaxing Factors of Small Resistance Arteries in Hypertension. Toxicol. Res. 2014, 30, 141–148. [Google Scholar] [CrossRef]
  19. Nava, E.; Llorens, S. The Local Regulation of Vascular Function: From an Inside-Outside to an Outside-Inside Model. Front. Physiol. 2019, 10, 729. [Google Scholar] [CrossRef] [PubMed]
  20. Negri, S.; Faris, P.; Moccia, F. Reactive Oxygen Species and Endothelial Ca2+ Signaling: Brothers in Arms or Partners in Crime? Int. J. Mol. Sci. 2021, 22, 9821. [Google Scholar] [CrossRef] [PubMed]
  21. Ghosh, D.; Syed, A.U.; Prada, M.P.; Nystoriak, M.A.; Santana, L.F.; Nieves-Cintrón, M.; Navedo, M.F. Calcium Channels in Vascular Smooth Muscle. Adv. Pharmacol. 2017, 78, 49–87. [Google Scholar] [CrossRef]
  22. Knox, M.; Vinet, R.; Fuentes, L.; Morales, B.; Martínez, J.L. A Review of Endothelium-Dependent and -Independent Vasodilation Induced by Phytochemicals in Isolated Rat Aorta. Animals 2019, 9, 623. [Google Scholar] [CrossRef]
  23. Qian, J.Q. Cardiovascular pharmacological effects of bisbenzylisoquinoline alkaloid derivatives. Acta Pharmacol. Sin. 2002, 23, 1086–1092. [Google Scholar]
  24. Bharathi Priya, L.; Huang, C.-Y.; Hu, R.-M.; Balasubramanian, B.; Baskaran, R. An updated review on pharmacological properties of neferine—A bisbenzylisoquinoline alkaloid from Nelumbo nucifera. J. Food Biochem. 2021, 45, e13986. [Google Scholar] [CrossRef]
  25. Bignon, E.; Rizza, S.; Filomeni, G.; Papaleo, E. Use of Computational Biochemistry for Elucidating Molecular Mechanisms of Nitric Oxide Synthase. Comput. Struct. Biotechnol. J. 2019, 17, 415–429. [Google Scholar] [CrossRef]
  26. Umar, H.I.; Saliu, T.P.; Josiah, S.S.; Ajayi, A.; Danjuma, J.B. In silico studies of bioactive compounds from selected African plants with inhibitory activity against nitric oxide synthase and arginase implicated in asthma. Egypt. J. Med. Hum. Genet. 2021, 22, 60. [Google Scholar] [CrossRef]
  27. Shen, Z.-H.; Ye, T.; Chen, B.; Wan, C.; Lu, X.; Chen, T.-H.; Lin, S.; Ye, J.-X.; Xie, L.; Fu, Y.-S. 5,7-Dihydroxyflavone acts on eNOS to achieve hypotensive effects in spontaneously hypertensive rats. Sci. Rep. 2025, 15, 594. [Google Scholar] [CrossRef] [PubMed]
  28. Rubiolo, J.A.; Lence, E.; González-Bello, C.; Roel, M.; Gil-Longo, J.; Campos-Toimil, M.; Ternon, E.; Thomas, O.P.; González-Cantalapiedra, A.; López-Alonso, H.; et al. Crambescin C1 Acts as A Possible Substrate of iNOS and eNOS Increasing Nitric Oxide Production and Inducing In Vivo Hypotensive Effect. Front. Pharmacol. 2021, 12, 694639. [Google Scholar] [CrossRef]
  29. Bendall, J.K.; Douglas, G.; McNeill, E.; Channon, K.M.; Crabtree, M.J. Tetrahydrobiopterin in cardiovascular health and disease. Antioxid. Redox Signal 2014, 20, 3040–3077. [Google Scholar] [CrossRef] [PubMed]
  30. Crabtree, M.J.; Hale, A.B.; Channon, K.M. Dihydrofolate reductase protects endothelial nitric oxide synthase from uncoupling in tetrahydrobiopterin deficiency. Free Radic. Biol. Med. 2011, 50, 1639–1646. [Google Scholar] [CrossRef] [PubMed]
  31. Wenceslau, C.F.; McCarthy, C.G.; Earley, S.; England, S.K.; Filosa, J.A.; Goulopoulou, S.; Gutterman, D.D.; Isakson, B.E.; Kanagy, N.L.; Martinez-Lemus, L.A.; et al. Guidelines for the measurement of vascular function and structure in isolated arteries and veins. Am. J. Physiol. Heart Circ. Physiol. 2021, 321, H77–H111. [Google Scholar] [CrossRef] [PubMed]
  32. Wang, X.; Cheang, W.S.; Yang, H.; Xiao, L.; Lai, B.; Zhang, M.; Ni, J.; Luo, Z.; Zhang, Z.; Huang, Y.; et al. Nuciferine relaxes rat mesenteric arteries through endothelium-dependent and -independent mechanisms. Br. J. Pharmacol. 2015, 172, 5609–5618. [Google Scholar] [CrossRef] [PubMed]
  33. Wicha, P.; Onsa-Ard, A.; Chaichompoo, W.; Suksamrarn, A.; Tocharus, C. Vasorelaxant and Antihypertensive Effects of Neferine in Rats: An In Vitro and In Vivo Study. Planta Med. 2020, 86, 496–504. [Google Scholar] [CrossRef] [PubMed]
  34. Inchan, A.; Chootip, K.; Kongthong, K.; Bualeong, T.; Sumsakul, W.; Apaikawee, P.; Sa-Nguanpong, P.; Senarat, S.; Wongphoom, J.; Charoenphon, N. Lotus seed (Nelumbo nucifera Gaertn.) extract at low dose ameliorates reproductive dysfunction in l-NAME-induced hypertension and oxidative stress in male rats. J. Tradit. Complement. Med. 2025, 15, 404–413. [Google Scholar] [CrossRef] [PubMed]
  35. Chansriniyom, C.; Nooin, R.; Nuengchamnong, N.; Wongwanakul, R.; Petpiroon, N.; Srinuanchai, W.; Chantarasuwan, B.; Pitchakarn, P.; Temviriyanukul, P.; Nuchuchua, O. Tandem mass spectrometry of aqueous extract from Ficus dubia sap and its cell-based assessments for use as a skin antioxidant. Sci. Rep. 2021, 11, 16899. [Google Scholar] [CrossRef]
  36. Chatturong, U.; Martin, H.; Totoson, P.; Ingkaninan, K.; Temkitthawon, P.; Sermsenaphorn, S.; Somarin, T.; Konsue, A.; Gleeson, M.P.; Demougeot, C.; et al. Quinazoline-based human phosphodiesterase 5 inhibitors exhibited a selective vasorelaxant effect on rat isolated pulmonary arteries involving NO-sGC-cGMP pathway and calcium inhibitory effects. Vasc. Pharmacol. 2022, 147, 107111. [Google Scholar] [CrossRef]
  37. Yang, C.-F.; Yu-Chih Chen, M.; Chen, T.-I.; Cheng, C.-F. Dose-dependent effects of isoflurane on cardiovascular function in rats. Tzu Chi Med. J. 2014, 26, 119–122. [Google Scholar] [CrossRef]
  38. Fischer, T.; Najjar, A.; Totzke, F.; Schächtele, C.; Sippl, W.; Ritter, C.; Hilgeroth, A. Discovery of novel dual inhibitors of receptor tyrosine kinases EGFR and PDGFR-β related to anticancer drug resistance. J. Enzym. Inhib. Med. Chem. 2018, 33, 1–8. [Google Scholar] [CrossRef]
  39. Zhang, Y.; Sanner, M.F. AutoDock CrankPep: Combining folding and docking to predict protein-peptide complexes. Bioinformatics 2019, 35, 5121–5127. [Google Scholar] [CrossRef]
  40. Eberhardt, J.; Santos-Martins, D.; Tillack, A.F.; Forli, S. AutoDock Vina 1.2.0: New Docking Methods, Expanded Force Field, and Python Bindings. J. Chem. Inf. Model. 2021, 61, 3891–3898. [Google Scholar] [CrossRef]
  41. Suroengrit, A.; Cao, V.; Wilasluck, P.; Deetanya, P.; Wangkanont, K.; Hengphasatporn, K.; Harada, R.; Chamni, S.; Leelahavanichkul, A.; Shigeta, Y.; et al. Alpha and gamma mangostins inhibit wild-type B SARS-CoV-2 more effectively than the SARS-CoV-2 variants and the major target is unlikely the 3C-like protease. Heliyon 2024, 10, e31987. [Google Scholar] [CrossRef] [PubMed]
  42. Elhinnawi, M.A.; Okita, Y.; Shigematsu, K.; Abdelaziz, M.; Shiratani, R.; Kawanishi, K.; Hengphasatporn, K.; Dang Cao, T.L.; Shigeta, Y.; Kato, M. GPNMB is a novel binding partner of FGFR1 that affects tumorigenic potential through AKT phosphorylation in TNBC. Cancer Sci. 2025, 116, 432–443. [Google Scholar] [CrossRef] [PubMed]
  43. Panklai, T.; Temkitthawon, P.; Suphrom, N.; Girard, C.; Totoson, P.; Hengphasatporn, K.; Shigeta, Y.; Chootip, K.; Ingkaninan, K. Nymphaea pubescens Willd. extract and its flavonoid constituents vasodilate rat isolated pulmonary artery via NO-sGC-cGMP pathway. Phytomedicine Pus 2025, 5, 100733. [Google Scholar] [CrossRef]
  44. BIOVIA Discovery Studio Visualizer; Dassault Systèmes: San Diego, CA, USA, 2021.
Figure 1. LC-ESI-QTOF-MS elution profiles base peak chromatogram of LSE at concentration 20 mg/mL. (A) positive mode, (B) negative mode.
Figure 1. LC-ESI-QTOF-MS elution profiles base peak chromatogram of LSE at concentration 20 mg/mL. (A) positive mode, (B) negative mode.
Pharmaceuticals 18 01500 g001
Figure 2. Structure proposed of alkaloids found in lotus seed extract.
Figure 2. Structure proposed of alkaloids found in lotus seed extract.
Pharmaceuticals 18 01500 g002
Figure 3. Effects of LSE on the rat thoracic aorta, endothelial signaling pathway, the sGC pathway, and K+ channels. (A) Representative traces of the vasorelaxant effect of LSE in endothelium-intact (E+) and -denuded (E−) rings precontracted with 10 µM PE. The black arrowheads along the tracing indicate the time points at which LSE was cumulatively added at increasing concentrations (1–1000 µg/mL). (B) Concentration–response curves (CRCs) of LSE in endothelium-intact (E+) and -denuded (E−) rings. (C) CRCs of LSE after incubation with or without 100 µM L–NAME, 10 µM indomethacin, or 0.1 µM apamin + 0.1 µM charybdotoxin in endothelium-intact (E+) or with (D) 10 µM ODQ or (E) various K+ channel inhibitors: 1 mM 4–AP (KV blocker), 0.1 µM iberiotoxin (KCa blocker), 10 µM glibenclamide (KATP blocker), and 1 mM BaCl2 (KIR blocker) in endothelium-denuded (E−) rings. Values are means ± SEM, of n individual arteries (n = 5–8). * p < 0.05, ** p < 0.01, *** p < 0.001 vs. LSE (E+).
Figure 3. Effects of LSE on the rat thoracic aorta, endothelial signaling pathway, the sGC pathway, and K+ channels. (A) Representative traces of the vasorelaxant effect of LSE in endothelium-intact (E+) and -denuded (E−) rings precontracted with 10 µM PE. The black arrowheads along the tracing indicate the time points at which LSE was cumulatively added at increasing concentrations (1–1000 µg/mL). (B) Concentration–response curves (CRCs) of LSE in endothelium-intact (E+) and -denuded (E−) rings. (C) CRCs of LSE after incubation with or without 100 µM L–NAME, 10 µM indomethacin, or 0.1 µM apamin + 0.1 µM charybdotoxin in endothelium-intact (E+) or with (D) 10 µM ODQ or (E) various K+ channel inhibitors: 1 mM 4–AP (KV blocker), 0.1 µM iberiotoxin (KCa blocker), 10 µM glibenclamide (KATP blocker), and 1 mM BaCl2 (KIR blocker) in endothelium-denuded (E−) rings. Values are means ± SEM, of n individual arteries (n = 5–8). * p < 0.05, ** p < 0.01, *** p < 0.001 vs. LSE (E+).
Pharmaceuticals 18 01500 g003
Figure 4. Effects of LSE on Ca2+ channels. (A,B) Effect of LSE on endothelium-denuded aortic ring contraction induced by extracellular Ca2+ influx via (A) receptor operated Ca2+ channels (ROCCs), which were activated by 10 µM PE or via (B) voltage-operated Ca2+ channels (VOCCs), which were activated by 80 mM K+ solution. The sarcoplasmic reticulum (SR) Ca2+ depletion was performed before activation of ROCCs and VOCCs followed by addition of CaCl2 solution to evoke contraction in Ca2+-free Krebs solution. The bar graphs represent the percentage of the 10 mM CaCl2-induced contraction in Ca2+-free Krebs solution in the presence of either vehicle or LSE normalized with 10 µM PE -induced contraction in normal Krebs solution without vehicle or LSE. (C) Effect of LSE on endothelium-denuded aortic ring contraction induced by Ca2+ release from SR activated by 10 µM PE. The SR Ca2+ loading was performed before activation of Ca2+ release from SR in Ca2+-free Krebs solution. The bar graphs represent the percentage of the contraction induced by 10 µM PE in Ca2+-free Krebs solution in the presence of either vehicle or LSE normalized with 10 µM PE-induced contraction without vehicle or LSE. Values are means ± SEM n individual arteries (n = 5–8). * p < 0.05 vs. vehicle.
Figure 4. Effects of LSE on Ca2+ channels. (A,B) Effect of LSE on endothelium-denuded aortic ring contraction induced by extracellular Ca2+ influx via (A) receptor operated Ca2+ channels (ROCCs), which were activated by 10 µM PE or via (B) voltage-operated Ca2+ channels (VOCCs), which were activated by 80 mM K+ solution. The sarcoplasmic reticulum (SR) Ca2+ depletion was performed before activation of ROCCs and VOCCs followed by addition of CaCl2 solution to evoke contraction in Ca2+-free Krebs solution. The bar graphs represent the percentage of the 10 mM CaCl2-induced contraction in Ca2+-free Krebs solution in the presence of either vehicle or LSE normalized with 10 µM PE -induced contraction in normal Krebs solution without vehicle or LSE. (C) Effect of LSE on endothelium-denuded aortic ring contraction induced by Ca2+ release from SR activated by 10 µM PE. The SR Ca2+ loading was performed before activation of Ca2+ release from SR in Ca2+-free Krebs solution. The bar graphs represent the percentage of the contraction induced by 10 µM PE in Ca2+-free Krebs solution in the presence of either vehicle or LSE normalized with 10 µM PE-induced contraction without vehicle or LSE. Values are means ± SEM n individual arteries (n = 5–8). * p < 0.05 vs. vehicle.
Pharmaceuticals 18 01500 g004
Figure 5. Effect of LSE on the viability and NO production of EA.hy926 human endothelial cells. (A) The percentage of cell viability of EA.hy926 human endothelial cells incubated with various concentrations of LSE for 24 and 48 h. (B) Nitrite levels in cell culture media of EA.hy926 human endothelial cells treated with various concentrations of LSE for 12 and 24 h in the absence or presence of 100 µM L-NAME. Values are means ± SEM of at least 3–4 independent experiments, each experiment performed in triplicate. ** p < 0.01, *** p < 0.001 vs. untreated cells; ## p < 0.01, ### p < 0.001 vs. the cells treated with only L-NAME; + p < 0.05 vs. the presence of L-NAME and treatment with LSE at the same concentration and duration.
Figure 5. Effect of LSE on the viability and NO production of EA.hy926 human endothelial cells. (A) The percentage of cell viability of EA.hy926 human endothelial cells incubated with various concentrations of LSE for 24 and 48 h. (B) Nitrite levels in cell culture media of EA.hy926 human endothelial cells treated with various concentrations of LSE for 12 and 24 h in the absence or presence of 100 µM L-NAME. Values are means ± SEM of at least 3–4 independent experiments, each experiment performed in triplicate. ** p < 0.01, *** p < 0.001 vs. untreated cells; ## p < 0.01, ### p < 0.001 vs. the cells treated with only L-NAME; + p < 0.05 vs. the presence of L-NAME and treatment with LSE at the same concentration and duration.
Pharmaceuticals 18 01500 g005
Figure 6. Acute effect of LSE intravenous injection on blood pressure and heart rate in normotensive anesthetized rats. (A) Original traces showing arterial pressure responses to intravenous injections of vehicle (normal saline), LSE (10, 30, 100 mg/kg BW), and SNP (25 µg/kg BW), with arrows indicating administration times. Bars represent the percentage reductions in (B) systolic, (C) diastolic, (D) mean arterial pressure, and (E) the percentage change in heart rate from baseline. Values are mean ± SEM, (n = 8); * p < 0.05, ** p < 0.01 vs. vehicle, # p < 0.05, ## p < 0.01 vs. LSE 10 mg/kg, + p < 0.01 vs. LSE 100 mg/kg.
Figure 6. Acute effect of LSE intravenous injection on blood pressure and heart rate in normotensive anesthetized rats. (A) Original traces showing arterial pressure responses to intravenous injections of vehicle (normal saline), LSE (10, 30, 100 mg/kg BW), and SNP (25 µg/kg BW), with arrows indicating administration times. Bars represent the percentage reductions in (B) systolic, (C) diastolic, (D) mean arterial pressure, and (E) the percentage change in heart rate from baseline. Values are mean ± SEM, (n = 8); * p < 0.05, ** p < 0.01 vs. vehicle, # p < 0.05, ## p < 0.01 vs. LSE 10 mg/kg, + p < 0.01 vs. LSE 100 mg/kg.
Pharmaceuticals 18 01500 g006
Figure 7. Molecular docking analysis of compounds with eNOS. (A) The binding energy profile of compounds 66–86 docked with eNOS illustrates the variability in binding affinity (kcal/mol). (B) Structure of eNOS (PDB ID: 3NOS) depicting Chain A and Chain B, and the location of the tetrahydrobiopterin (BH4) binding site where compounds interact. (C) Detailed 2D and 3D interaction analysis of representative docked compounds 71, 75, 77, and 78 with eNOS residues.
Figure 7. Molecular docking analysis of compounds with eNOS. (A) The binding energy profile of compounds 66–86 docked with eNOS illustrates the variability in binding affinity (kcal/mol). (B) Structure of eNOS (PDB ID: 3NOS) depicting Chain A and Chain B, and the location of the tetrahydrobiopterin (BH4) binding site where compounds interact. (C) Detailed 2D and 3D interaction analysis of representative docked compounds 71, 75, 77, and 78 with eNOS residues.
Pharmaceuticals 18 01500 g007
Table 1. MS data (+/−ESI) and tentative identification of compounds found in LSE.
Table 1. MS data (+/−ESI) and tentative identification of compounds found in LSE.
NoRT(min)m/zAdductMS/MSTentative IdentificationFormulaError (ppm)
Amino sugars
12.811264.1086[M−H]174.0740,102.0543N-fructosyl-GABAC10H19NO7−2.74
266.1239[M+H]+248.1135,182.0816,116.0709,
104.0706,98.0602
N-fructosyl-GABAC10H19NO7−1.77
22.988250.0935[M−H]130.0490,88.0393N-fructosyl alanineC9H17NO7−1.1
252.1085[M+H]+234.0979,216.0868,188.0919,
170.0818,90.0552
N-fructosyl alanineC9H17NO7−2.86
33.554280.1392[M+H]+216.1238,118.0866,72.0810N-fructosyl valineC11H21NO7−0.43
44.971290.0898[M−H]200.0538,128.0332N-Fructosyl pyroglutamateC11H17NO8−2.96
55.054344.1343[M+H]+326.1246,308.1133,280.1185,
182.0805
N-fructosyl tyrosineC15H21NO8−0.89
65.249294.1551[M+H]+276.1451,230.1394,132.1020,
86.0966
N-fructosyl isoleucineC12H23NO7−1.26
77.112328.1396[M+H]+310.1294,292.1179,264.1242,
166.0883,120.0813
N-fructosyl phenylalanineC15H21NO7−1.59
88.362365.136[M−H]203.0800,101.0236N-Fructosyl-tryptophanC17H22N2O7−1.58
8.408367.1504[M+H]+349.1395,229.0980,188.0717,
146.0606,118.0650,85.0283
N-Fructosyl-tryptophanC17H22N2O7−1.15
Sugar
93.047665.2082[M−H]503.1555,383.1115,179.0520,
89.0225
TetraglucosideC24H42O219.59
103.102181.0723[M−H]89.0228,59.0137D-manitolC6H14O6−2.97
113.144549.1579[M+HCOO]503.1623,341.1019,323.0906,
179.0535,89.0231
Triglucose (Maltotriose)C18H32O16−1.08
123.22537.167[M−H]503.1521,341.1032,195.0472,
129.0185,75.0080
Gluconic acid glycosideC18H34O18−2.35
133.295683.2262[2M−H]341.1028,179.0633,89.0230SucroseC12H22O11−1.54
143.493179.0568[M−H]89.0230,59.0135FructoseC6H12O6−3.84
Organic acids
153.572133.0146[M−H]115.0021,71.0138Malic acidC4H6O50.35
165.01191.0202[M−H]111.0075,87.0079,57.0346Citric acidC6H8O7−2.48
175.868117.0236[M−H]73.0292Succinic acidC4H6O4−0.58
186.042115.004[M−H]71.0135Maleic acidC4H4O4−2.76
196.09133.0509[M−H]71.01344,5-Dihydroxypentanoic acidC5H10O4−2.01
206.21161.0461[M−H]99.0441,57.03453-Hydroxy-2-methylglutaric acidC6H10O5−1.57
219.467117.0557[M−H]73.0281,71.0495-Hydroxypentanoic acidC5H10O30.15
2210.269175.0616[M−H]157.0489,115.03262-Isopropylmalic acidC7H12O5−2.3
Amino acids & N-compounds
232.528156.0772[M+H]+110.0713HistidineC6H9N3O2−2.86
242.531175.1197[M+H]+158.0927,130.0975,116.0710ArginineC6H14N4O2−4.27
252.762207.2075[2M−H]+104.10732-Amino-3-methyl-1-butanolC5H13NO−3.84
262.812174.0772[M−H]−145.0613,102.0546,59.0129N-Carboxyethyl-gramma-aminobutyric acidC7H13NO4−0.11
273.228138.0549[M+H]+94.0662,92.0496p-Aminobenzoic acidC7H7NO20.4
283.258116.0709[M+H]+70.0654ProlineC5H9NO2
293.514118.086[M+H]+72.0810ValineC5H11NO22.16
303.62182.0816[M+H]+165.0639,147.0441,136.0759,
107.0490,91.0543
TyrosineC9H11NO3−2.36
313.815132.1019[M+H]+86.0967Beta leucineC6H13NO20.04
325.077130.05[M+H]+84.0448Pyroglutamic acidC5H7NO3−1.0
5.119128.0351[M−H]71.0129,52.0188Pyroglutamic acidC5H7NO30.13
335.138268.1046[M+H]+136.0623,57.0337AdenosineC9H17NO8−7.11
345.173132.1021[M+H]+86.0968,56.0496LeucineC6H13NO20.04
355.513132.1016[M+H]+86.0968IsoleucineC6H13NO22.31
5.501130.0875[M−H]71.0138,59.0396IsoeucineC6H13NO23.82
366.089160.0763[M+H]+132.0810,115.0544,86.0964,
72.0444,61.0283
IndoleacetaldehydeC10H9NO−3.81
377.131166.0863[M+H]+120.0810,77.0389PhenylalanineC9H11NO2−0.27
7.142164.0722[M−H]147.0430,103.0547,77.0388PhenylalanineC9H11NO22.14
387.687220.1184[M+H]+202.1077,184.0968,90.0551Pantothenic acidC9H17NO5−2.05
398.583203.083[M−H]116.0496,74.0244TryptophanC11H12N2O22.03
8.593205.0976[M+H]+188.0712,146.0606,118.0653,
74.0231
TryptophanC11H12N2O2−2.17
4011.092210.0776[M−H]179.0343,124.0390,94.02883-Methoxy-DL-tyrosineC10H13NO4−1.99
4112.53289.0834[M−H]173.0688,132.0275,88.0394L-N-(1H-Indol-3-yl
acetylaspartic acid)
C14H14N2O5−1.4
Phenolic compounds
424.978180.1024[M+NH4]+163.0757,145.0652,117.0700,
91.0543
4-Methylcinnamic acidC10H10O2−2.75
436.662194.1183[M+NH4]+177.0788,91.0534Cinnamyl acetateC11H12O2−3.84
448.766371.0929[M+HCOO]163.0382,119.04966-O-p-Coumaroyl-D-glucoseC15H18O8−1.97
459.088153.0194[M−H]109.0285,81.0331Protocatechuic acidC7H6O4−0.44
469.595421.0909[M+Cl]385.1084,265.0660,223.0586,
179.0635
1-O-SinapoylglucoseC17H22O10−0.48
4710.986137.0245[M−H]93.0334,65.03873-Hydroxybenzoic acidC7H6O3−0.6
4811.265179.035[M−H]135.0432,107.0491Caffeic acidC9H8O4−0.1
4911.511165.0194[M−H]121.0279,77.03921,4-benzendicarboxylic acidC8H6O4−0.41
5013.164163.0382[M−H]119.0486p-coumaric acidC9H8O311.46
Flavonoids
519.601577.1349[M−H]451.0956,425.0812,407.0716,
289.0675,245.0412,125.0230
Procyanidin B2C30H26O120.43
529.924593.1522[M−H]503.1130,473.1004,383.0708,
353.0591,289.0672,139.0036
Apigenin-6,8-di-C-glycopyranoside (Vicenin-2)C27H30O15−1.7
5310.03289.0722[M−H]245.0781,203.0684,125.0229,
109.0283
CatechinC15H14O6−1.52
5410.615563.1411[M−H]503.1100,473.1010,443.0908,
383.0712,353.0618,325.0660,
297.0707
Apigenin 6-C-glucosyl-8-C-arabinoside (Schaftoside)C26H28O14−0.84
10.621565.1565[M+H]+529.1347,481.1134,427.1032,
379.0830,325.0712
Apigenin 6-C-glucoside 8-C-arabinoside (Schaftoside)C26H28O14−2.33
5510.768449.1087[M−H]357.0542,329.0636,287.0511,
259.0581,125.0229
Eriodictyol 7-O-glucosideC21H22O110.52
5610.847563.142[M−H]503.1000,443.0886,353.0612,
125.0224
Apigenin 6-C-arabinoside 8-C-glucoside (Isoschaftoside)C26H28O14−0.84
10.851565.1563[M+H]+427.1033,379.0814,325.0699Apigenin 6-C-arabinoside 8-C-glucoside (Isoschaftoside)C26H28O14−2.33
5710.963447.0939[M−H]357.0556,327.0451,285.0361Luteolin 6-C-glucoside (Isorientin)C21H20O11−1.38
449.108[M+H]+413.0869,329.0653,243.0290Luteolin 6-C-glucoside (Isorientin) C21H20O11−0.36
5811.517577.1559[M−H]487.1164,457.1079,383.0706,
353.0605,325.0670,289.0655,
179.0522,89.0231
Apigenin 6-C-glucosyl-8-C-rhamnosideC27H30O140.66
5911.712609.1469[M−H]300.0222,301.0296,151.0014RutinC27H30O16−1.3
11.71611.1619[M+H]+465.1035,303.0505129.0546,
85.0283
RutinC27H30O16−2.03
6011.943593.1511[M−H]285.0361,151.0018Kaempferol 3-O-rutinosideC27H30O150.16
11.958595.1661[M+H]+541.2672,449.1087,287.0551,
249.1143,192.1003
Kaempferol 3-O-rutinosideC27H30O15−0.59
6112.029431.098[M−H]311.0510,283.0564,223.0922Apigenin 8-C-glucosideC21H20O100.86
12.03433.1136[M+H]+313.0711,283.0605Apigenin 8-C-glucoside
(Vitexin)
C21H20O10−1.56
6212.369463.0877[M−H]301.0287,151.0006Quercetin 3′-O-glucosideC21H20O121.08
12.431465.1031[M+H]+303.0502,145.0496,85.0284Quercetin 3′-O-glucosideC21H20O12−0.75
6312.642625.1765[M+H]+479.1185,317.0658,129.0541Isorhamnetin-3-O-b-D-
rutinoside (Narcissoside)
C28H32O16−0.3
12.576623.1618[M−H]315.0456,271.0187,151.0355Isorhamnetin-3-O-b-D-
rutinoside (Narcissoside)
C28H32O16−0.07
6413.463447.0863 [M−H]285.0369,151.0001,137.0245,
59.0131
Kaempferol 3-O-glucosideC21H20O1115.62
Alkaloids
656.614432.1666[M−H]270.1102,162.0540,96.9579Norcoclaurine-4′-O-glucosideC12H27NO8−0.49
6.614434.1816[M+H]+272.1282,255.1025,194.1170,
161.0603,107.0494
Norcoclaurine-4′-O-glucosideC12H27NO8−1.51
667.753300.1603M+255.1006,107.0493,58.0653Lotusine derivativeC18H21NO3−2.93
677.976272.1289[M+H]+255.1023,209.0968,161.0699,
107.0495
NorcoclaurineC16H17NO3−2.87
7.961270.1151[M−H]249.1187,162.0546,135.0425,
114.0439,59.0139
NorcoclaurineC16H17NO3−5.68
688.082284.1296[M−H]219.0605,176.0699,107.0494N-methylhigenamineC17H19NO3−1.35
8.111286.144[M+H]+255.1017,107.0493,58.0653N-methylhigenamineC17H19NO3−0.8
698.235314.1745M+269.1181,237.0914,175.0756,
107.0493,58.0654
MagnocurarineC19H24NO3+1.81
708.409314.1756M+269.1180,237.0917,209.0945,
175.0757,145.0652,107.0494,
58.0653
IsolotusineC19H24NO3+−1.69
8.56312.1624[M−H]297.1327,239.0680,119.0490IsolotusineC19H24NO3−6.03
718.525299.1526[M+2H]+269.1181,237.0917,192.1025,
107.0495,58.0653
NelumboferineC36H40N2O6−3.29
597.2969[M+H]+ NelumboferineC36H40N2O6−3.83
728.573312.1609[M−H]297.1327,239.0680,163.0383,
119.0490,93.0341,59.0127
LotusineC19H23NO3−1.23
8.625314.1755M+269.1177,237.0911,209.0966,
175.0759,107.0493,58.0654
LotusineC19H23NO3−1.37
739.135300.1598[M+H]+269.1178,237.0915,175.0758,
137.0599,107.0495,58.0653
N-methyl-coclaurineC18H21NO3−1.27
749.346300.1597[M+H]+269.1181,237.0918,209.0968,
175.0759,137.0594,107.0494,
77.0387,58.0652
N-methyl-isococlaurineC18H21NO3−0.93
759.431299.1526[M+2H]+269.1185,192.1023,137.0596,
107.0491,58.0647
Nelumborine A or BC36H40N2O6−3.29
597.2982[M+H]+597.2982,405.1902,300.1586,
269.1168,192.1023,107.0500
Nelumborine A or BC36H40N2O6−3.83
769.533312.1601[M+H]+283.1346,269.1185,206.1173,
149.0226,107.0492,58.0652
PronuciferineC19H21NO32.18
779.6306.1602[M+2H]+192.1025,158.0734,121.0653,
91.0546
IsoliensinineC37H42N2O6−2.32
611.3131[M+H]+537.2224,475.2244,312.1597,
192.1027,121.0631,58.0652
IsoliensinineC37H42N2O6−2.51
7810.275313.1679[M+2H]+ NeferineC38H44N2O6−1.7
625.3295[M+H]+594.2868,582.2857,489.2401,
206.1178
NeferineC38H44N2O6−3.66
7910.371314.1752[M+H]+283.1338,252.1163,107.0496,
77.0389,58.0652
ArmepavineC19H23NO3−0.41
8010.815286.1444[M+H]+269.1179,175.0754,143.0495,
107.0495
CoclaurineC17H19NO3−2.2
8110.839300.1601[M+H]+269.1171,237.0912,192.1021,
163.0737,143.0490,107.0494,
77.0386,58.0652
6-demethyl-4′-methyl-N-methylcoclaurineC18H21NO3−1.53
8211.117268.1339[M+H]+251.1074,219.0808,191.0864,
149.0236
CaaverineC17H17NO2−2.59
8311.394282.1489[M+H]+251.1490,219.0808,191.0859,
149.0234
O-NornuciferineC18H19NO2−0.16
8411.913298.1447[M+H]+251.1076,219.0806,191.0863,
121.0664,74.0957
NornuciferidineC18H19NO3−3.12
8512.925282.1497[M+H]+265.1228,250.0992,234.1041,
219.0815,149.0234,74.0965
N-NornuciferineC18H19NO2−2.99
8613.135296.165[M+H]+265.1229,250.0990,234.1040,
219.0802
NuciferineC19H21NO2−1.67
Lipid compounds
8717.585327.2184[M−H]211.1315,171.10089,12,13-Trihydroxy-
10(E),15(Z)-octadeca dienoic acid
C18H32O5−2.15
8818.493329.2336[M−H]211.1317,171.1004,99.08079,10,13-Trihydroxy-11-octadecenoic acidC18H34O5−0.77
8919.193298.2746[M+H]+280.2632,250.2519Palmitoleoyl EthanolamineC18H35NO2−1.82
9019.512318.3011[M+H]+282.2787,219.1741,60.0443PhytosphingosineC18H39NO3−2.61
9122.476366.3375M+307.2627,129.0546,81.0699LinoleoylcholineC23H44NO2−0.81
9223.33342.3372M+283.2632,95.0843N,N,N-trimethyl-sphingosineC21H44NO20.01
9323.448711.3362[M+Cl]595.2801,397.1294,277.21343′-O-Linolenoylglyceryl 6-O-galactopyranosyl-galactopyranoside C33H56O140.29
9425.432478.2938M+337.2737,263.2370,184.0728,
81.0699
1-Linoleoyl-2-hydroxy-sn-glycero-3-phosphoethanolamineC23H44NO7P−2.06
25.945476.2768[M−H]279.2280,196.0340,140.0087,
78.9580
LysoPE(0:0/18:2(9Z,12Z))C23H44NO7P3.07
9526.421554.3006[M+Cl]504.3001,433.2276,279.2274,
78.9569
1-Linoleoyl-glycero-3-phosphocholineC26H50NO7P2.33
26.489520.3407M+337.2734,258.1098,184.0734,
86.0964
1-Linoleoyl-glycero-3-phosphocholineC26H51NO7P−0.74
9626.594689.3499[M+Cl]653.3615,397.1276,279.2263,
255.2270,179.0541
1-palmitoyl-2-azeloyl-sn-glycero-3-phospho-(1′-sn-glycerol) C31H59O12P−8.83
9727.112554.3009[M+Cl]504.2997,279.2281,168.0394,
78.9575
1-(2E,4E-octadecadienoyl)-sn-glycero-3-phosphocholineC26H50NO7P2.33
27.156520.3405M+443.2518,337.2736,258.1096,
184.0735,104.1068
1-(2E,4E-octadecadienoyl)-sn-glycero-3-phosphocholineC26H51NO7P−0.36
9827.565452.2767[M−H]255.2281,196.0345,140.0090,
78.9579
2-Palmitoyl-sn-glycero-3-phosphoethanolamineC21H44NO7P3.46
27.613454.2934M+436.2824,393.2403,313.2741,
155.0098,62.0600
2-Palmitoyl-sn-glycero-3-phosphoethanolamineC21H44NO7P−1.29
9928.532496.3408[M+H]+184.0735,104.10681-tetradecyl-2-acetyl-sn-
glycero-3-phosphocholine
C24H50NO7P−2.08
10028.571478.2928[M−H]281.2428,152.9916,78.95821-Oleoyl-2-hydroxy-sn-glycero-3-PEC23H46NO7P2.33
28.629480.3091[M+H]+419.2544,339.2893,184.07361-Oleoyl-2-hydroxy-sn-glycero-3-PEC23H46NO7P−1.32
10128.64551.2976[M+Cl]515.3118,279.2281,152.99203′-O-Linoleoyglyceryl-6-O-galactopyranosideC27H48O92.96
10228.701615.3032[M+Cl]579.3273,341.1049,255.2275,
179.0542
1-palmitoyl-2-azeloyl-sn-glycero-3-phosphateC28H53O10P6.23
10329.58496.3405[M+H]+419.2551,184.0736,104.10692-Palmitoyl-sn-glycero-3-phosphocholineC24H50NO7P−1.48
29.725530.3014[M+Cl]480.3013,409.2263,339.3201,
255.2289,168.0405,78.9566
2-Palmitoyl-sn-glycero-3-phosphocholineC24H50NO7P0.93
10431.798366.3001[M+NH4]+261.2201,86.05992-hydroxy-6-pentadecyl
benzoic acid
C22H36O30.47
10531.823358.2518[M+Cl] Linoleoyl ethanolamideC20H37NO20.09
31.856324.2896[M+H]+245.2240,62.0598Linoleoyl ethanolamideC20H37NO20.33
10632.266403.2329[M+H]+365.1930,259.1541,185.0808,
129.0180,61.0282
5S-HETE di-endoperoxideC20H34O8−0.63
10733.635389.2463[M+Cl]279.2268,152.99582,3-dihydroxypropyl (9Z,12Z)-octadeca-9,12-dienoateC21H38O40.29
10833.635699.5029[M−H] 437.2563,279.2274,181.0258Octadecanoyl-(9Z,12Z-octadecadienoyl)-sn-glycero-3-phosphateC39H73O8P−8.39
10933.649280.2631[M+H]+263.237,245.2265,198.1855,
149.0229,95.0833,81.0699,
69.0698
LinoleamideC18H33NO1.4
11035.189256.2641[M+H]+116.1070,102.0913,88.0757PalmitamideC16H33NO−2.38
11135.242699.4941[M−H]437.2562,279.2280,255.2289,
134.8921
1-(9Z,12Z-octadecadienoyl)-2-octadecanoyl-glycero-3-phosphateC39H73O8P4.19
11235.734282.2805[M+H]+256.2634,97.1010,83.0856
69.0699,55.0541
OleamideC18H35NO−4.81
11336.239282.2812[M+H]+83.0855,69.0698,55.0542ElaidamideC18H35NO−7.29
11439.9284.2955[M+H]+130.1220,102.0914,88.0754SteramideC18H37NO−2.49
Disclaimer/Publisher’s Note: The statements, opinions and data contained in all publications are solely those of the individual author(s) and contributor(s) and not of MDPI and/or the editor(s). MDPI and/or the editor(s) disclaim responsibility for any injury to people or property resulting from any ideas, methods, instructions or products referred to in the content.

Share and Cite

MDPI and ACS Style

Chatturong, U.; Nuengchamnong, N.; Inchan, A.; To-On, K.; Bualeong, T.; Sumsakul, W.; Atipimonpat, A.; Meekarn, K.; Shigeta, Y.; Hengphasatporn, K.; et al. Vasorelaxant and Hypotensive Mechanisms of Nelumbo nucifera Seed Extract: Roles of Nitric Oxide, Calcium Channel Blockade and eNOS Interaction with Active Compounds. Pharmaceuticals 2025, 18, 1500. https://doi.org/10.3390/ph18101500

AMA Style

Chatturong U, Nuengchamnong N, Inchan A, To-On K, Bualeong T, Sumsakul W, Atipimonpat A, Meekarn K, Shigeta Y, Hengphasatporn K, et al. Vasorelaxant and Hypotensive Mechanisms of Nelumbo nucifera Seed Extract: Roles of Nitric Oxide, Calcium Channel Blockade and eNOS Interaction with Active Compounds. Pharmaceuticals. 2025; 18(10):1500. https://doi.org/10.3390/ph18101500

Chicago/Turabian Style

Chatturong, Usana, Nitra Nuengchamnong, Anjaree Inchan, Kittiwoot To-On, Tippaporn Bualeong, Wiriyaporn Sumsakul, Anyapat Atipimonpat, Kittiphum Meekarn, Yasuteru Shigeta, Kowit Hengphasatporn, and et al. 2025. "Vasorelaxant and Hypotensive Mechanisms of Nelumbo nucifera Seed Extract: Roles of Nitric Oxide, Calcium Channel Blockade and eNOS Interaction with Active Compounds" Pharmaceuticals 18, no. 10: 1500. https://doi.org/10.3390/ph18101500

APA Style

Chatturong, U., Nuengchamnong, N., Inchan, A., To-On, K., Bualeong, T., Sumsakul, W., Atipimonpat, A., Meekarn, K., Shigeta, Y., Hengphasatporn, K., Kumphune, S., & Chootip, K. (2025). Vasorelaxant and Hypotensive Mechanisms of Nelumbo nucifera Seed Extract: Roles of Nitric Oxide, Calcium Channel Blockade and eNOS Interaction with Active Compounds. Pharmaceuticals, 18(10), 1500. https://doi.org/10.3390/ph18101500

Note that from the first issue of 2016, this journal uses article numbers instead of page numbers. See further details here.

Article Metrics

Back to TopTop