Synthesis of Anti-Inflammatory Drugs’ Chalcone Derivatives and a Study of Their Conformational Properties Through a Combination of Nuclear Magnetic Resonance Spectroscopy and Molecular Modeling
Abstract
1. Introduction
2. Results
2.1. Structure Elucidation of Chalcones 1 and 2
2.2. Results of Conformational Analysis
2.3. Docking Calculations
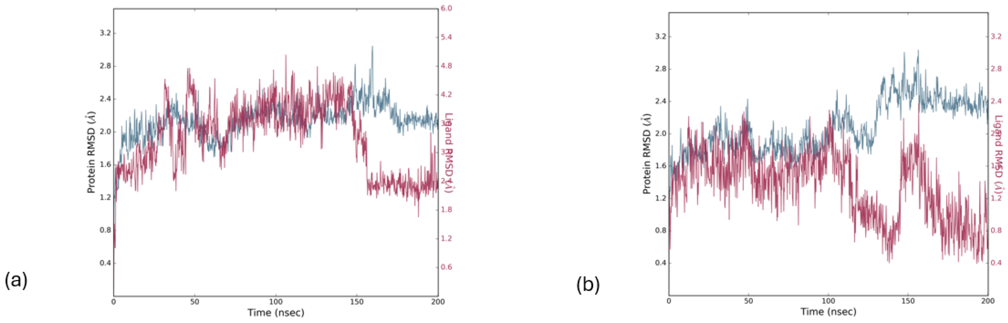
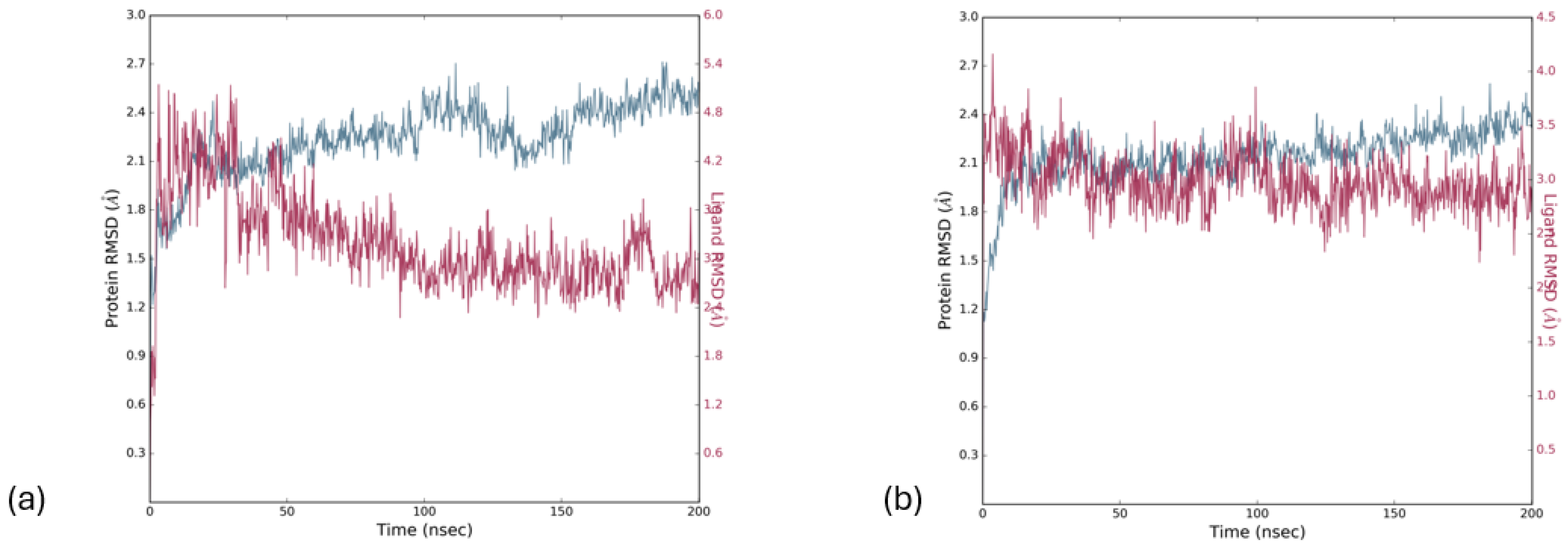
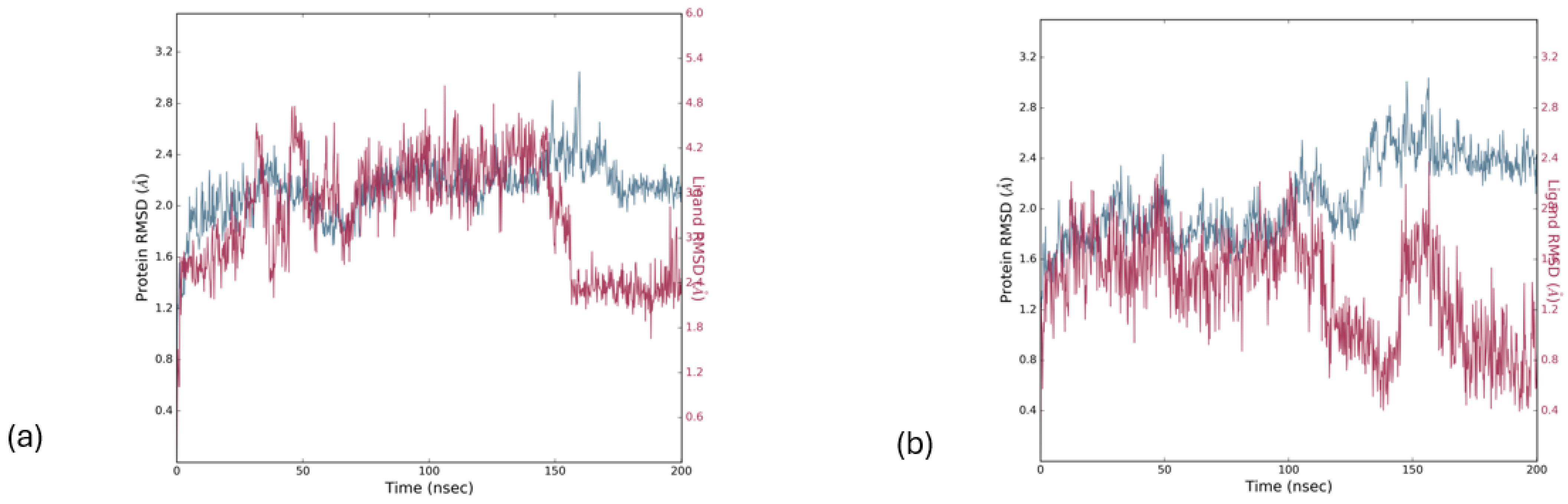
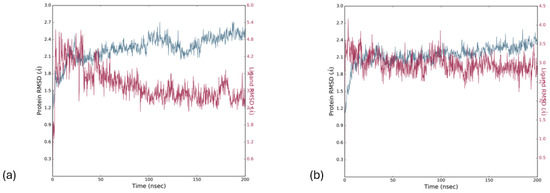
2.4. Results of Molecular Dynamics
2.5. Charting the Compound–LOX-1/5-LOX Interactions Through the Saturation Transfer Difference (STD) NMR Experiment
2.6. Absorption and Emission Spectra
2.7. MM/GBSA Calculations
2.8. In Vitro Evaluation of the Compounds Against Human 15-LOX-1 and Lipoxidase Enzymes
3. Materials and Methods
3.1. General Procedure for the Synthesis of Chalcones
3.2. Structure Assignment
3.3. Saturation Transfer Difference (STD) NMR
3.4. Conformational Analysis
3.5. Induced Fit Docking
3.6. Molecular Dynamics
3.7. Theoretical Absorption and Fluorescence Spectra
3.8. Molecular Mechanics/Generalized Born Surface Area (MM/GBSA) Calculations
3.9. Enzyme Inhibition Studies
4. Conclusions
Supplementary Materials
Author Contributions
Funding
Institutional Review Board Statement
Informed Consent Statement
Data Availability Statement
Acknowledgments
Conflicts of Interest
References
- Qin, H.-L.; Zhang, Z.-W.; Lekkala, R.; Alsulami, H.; Rakesh, K.P. Chalcone hybrids as privileged scaffolds in antimalarial drug discovery: A key review. Eur. J. Med. Chem. 2020, 193, 112215. [Google Scholar] [CrossRef] [PubMed]
- Papaemmanouil, C.; Chatziathanasiadou, M.V.; Chatzigiannis, C.; Chontzopoulou, E.; Mavromoustakos, T.; Grdadolnik, S.G.; Tzakos, A.G. Unveiling the interaction profile of rosmarinic acid and its bioactive substructures with serum albumin. J. Enzyme Inhib. Med. Chem. 2020, 35, 786–804. [Google Scholar] [CrossRef] [PubMed]
- Detsi, A.; Majdalani, M.; Kontogiorgis, C.A.; Hadjipavlou-Litina, D.; Kefalas, P. Natural and synthetic 2′-hydroxy-chalcones and aurones: Synthesis, characterization and evaluation of the antioxidant and soybean lipoxygenase inhibitory activity. Bioorganic Med. Chem. 2009, 17, 8073–8085. [Google Scholar] [CrossRef] [PubMed]
- Kostopoulou, I.; Tzani, A.; Polyzos, N.I.; Karadendrou, M.A.; Kritsi, E.; Pontiki, E.; Liargkova, T.; Hadjipavlou-Litina, D.; Zoumpoulakis, P.; Detsi, A. Exploring the 2′-hydroxy-chalcone framework for the development of dual antioxidant and soybean lipoxygenase inhibitory agents. Molecules 2021, 26, 2777. [Google Scholar] [CrossRef]
- Fu, Y.; Liu, D.; Zeng, H.; Ren, X.; Song, B.; Hu, D.; Gan, X. New chalcone derivatives: Synthesis, antiviral activity and mechanism of action. RSC Adv. 2020, 10, 24483–24490. [Google Scholar] [CrossRef]
- Nowakowska, Z. A review of anti-infective and anti-inflammatory chalcones. Eur. J. Med. Chem. 2007, 42, 125–137. [Google Scholar] [CrossRef]
- Rosa, G.P.; Seca, A.M.L.; Barreto, M.D.; Silva, A.M.S.; Pinto, D.C.G.A. Chalcones and Flavanones Bearing Hydroxyl and/or Methoxyl Groups: Synthesis and Biological Assessments. Appl. Sci. 2019, 9, 2846. [Google Scholar] [CrossRef]
- Tran, T.-D.; Park, H.; Kim, H.P.; Ecker, G.F.; Thai, K.-M. Inhibitory activity of prostaglandin E2 production by the synthetic 2′-hydroxychalcone analogues: Synthesis and SAR study. Bioorg. Med. Chem. Lett. 2009, 19, 1650–1653. [Google Scholar] [CrossRef]
- Pande, A.N.; Biswas, S.; Reddy, N.D.; Jayashree, B.S.; Kumar, N.; Rao, C.M. In vitro and in vivo anticancer studies of 2′-hydroxy chalcone derivatives exhibit apoptosis in colon cancer cells by HDAC inhibition and cell cycle arrest. EXCLI J. 2017, 16, 448. [Google Scholar]
- Kuhn, H.; Banthiya, S.; Van Leyen, K. Mammalian lipoxygenases and their biological relevance. Biochim. Biophys. Acta (BBA) Mol. Cell Biol. Lipids 2015, 1851, 308–330. [Google Scholar] [CrossRef]
- Georgiou, N.; Chontzopoulou, E.; Cheilari, A.; Katsogiannou, A.; Karta, D.; Vavougyiou, K.; Hadjipavlou-Litina, D.; Javornik, U.; Plavec, J.; Tzeli, D. Thiocarbohydrazone and chalcone-derived 3,4-dihydropyrimidinethione as lipid peroxidation and soybean lipoxygenase inhibitors. ACS Omega 2023, 8, 11966–11977. [Google Scholar] [CrossRef] [PubMed]
- Tzani, A.; Kritsi, E.; Tsamantioti, L.; Kostopoulou, I.; Karadendrou, M.-A.; Zoumpoulakis, P.; Detsi, A. Synthesis, Conformational Analysis and ctDNA Binding Studies of Flavonoid Analogues Possessing the 3,5-di-tert-butyl-4-hydroxyphenyl Moiety. Antioxidants 2022, 11, 2273. [Google Scholar] [CrossRef] [PubMed]
- Lin, Y.-M.; Zhou, Y.; Flavin, M.T.; Zhou, L.-M.; Nie, W.; Chen, F.-C. Chalcones and flavonoids as anti-tuberculosis agents. Bioorg. Med. Chem. 2002, 10, 2795–2802. [Google Scholar] [CrossRef] [PubMed]
- Zeraik, M.L.; Pauli, I.; Dutra, L.A.; Cruz, R.S.; Valli, M.; Paracatu, L.C.; de Faria, C.M.Q.G.; Ximenes, V.F.; Regasini, L.O.; Andricopulo, A.D.; et al. Identification of a Prenyl Chalcone as a Competitive Lipoxygenase Inhibitor: Screening, Biochemical Evaluation and Molecular Modeling Studies. Molecules 2021, 26, 2205. [Google Scholar] [CrossRef]
- Mayer, M.; Meyer, B. Characterization of Ligand Binding by Saturation Transfer Difference NMR Spectroscopy. Angew. Chemie Int. Ed. 1999, 38, 1784–1788. [Google Scholar] [CrossRef]
- Georgiou, N.; Tzani, A.; Vavougyiou, K.; Papadopoulos, C.; Eleftheriadis, N.; Šket, P.; Tzeli, D.; Niemi-aro, T.; Detsi, A.; Mavromoustakos, T. A Study of the Potential Anti-Inflammatory Drugs Chalcone Derivatives through the Combination of NMR Spectroscopy and Molecular Modeling. Preprint.org 2024. Available online: https://www.preprints.org/manuscript/202411.0126/v1 (accessed on 11 December 2024).
- Abbo, H.S.; Hung Lai, C.; Titinchi, S.J.J. Substituent and solvent effects on UV-visible absorption spectra of chalcones derivatives: Experimental and computational studies. Spectrochim. Acta Part A Mol. Biomol. Spectrosc. 2023, 303, 123180. [Google Scholar] [CrossRef]
- Snaith, H.J. Perovskites: The Emergence of a New Era for Low-Cost, High-Efficiency Solar Cells. J. Phys. Chem. Lett. 2013, 4, 3623–3630. [Google Scholar] [CrossRef]
- Ethirajan, M.; Chen, Y.; Joshi, P.; Pandey, R.K. The role of porphyrin chemistry in tumor imaging and photodynamic therapy. Chem. Soc. Rev. 2011, 40, 340–362. [Google Scholar] [CrossRef]
- Weissleder, R. A clearer vision for in vivo imaging. Nat. Biotechnol. 2001, 19, 316–317. [Google Scholar] [CrossRef]
- Eleftheriadis, N.; Poelman, H.; Leus, N.G.J.; Honrath, B.; Neochoritis, C.G.; Dolga, A.; Dömling, A.; Dekker, F.J. Design of a novel thiophene inhibitor of 15-lipoxygenase-1 with both anti-inflammatory and neuroprotective properties. Eur. J. Med. Chem. 2016, 122, 786–801. [Google Scholar] [CrossRef]
- Georgiou, N.; Katsogiannou, A.; Skourtis, D.; Iatrou, H.; Tzeli, D.; Vassiliou, S.; Javornik, U.; Plavec, J.; Mavromoustakos, T. Conformational Properties of New Thiosemicarbazone and Thiocarbohydrazone Derivatives and Their Possible Targets. Molecules 2022, 27, 2537. [Google Scholar] [CrossRef] [PubMed]
- Georgiou, N.; Gouleni, N.; Chontzopoulou, E.; Skoufas, G.S.; Gkionis, A.; Tzeli, D.; Vassiliou, S.; Mavromoustakos, T. Structure assignment, conformational properties and discovery of potential targets of the Ugi cinnamic adduct NGI25. J. Biomol. Struct. Dyn. 2023, 41, 1253–1266. [Google Scholar] [CrossRef] [PubMed]
- Abraham, R.J.; Mobli, M. The prediction of 1H NMR chemical shifts in organic compounds. Spectrosc. Eur. 2004, 16, 16–22. [Google Scholar]
- Bifulco, G.; Dambruoso, P.; Gomez-Paloma, L.; Riccio, R. Determination of relative configuration in organic compounds by NMR spectroscopy and computational methods. Chem. Rev. 2007, 107, 3744–3779. [Google Scholar] [CrossRef]
- Elyashberg, M. Identification and structure elucidation by NMR spectroscopy. TrAC Trends Anal. Chem. 2015, 69, 88–97. [Google Scholar] [CrossRef]
- Chontzopoulou, E.; Papaemmanouil, C.D.; Chatziathanasiadou, M.V.; Kolokouris, D.; Kiriakidi, S.; Konstantinidi, A.; Gerogianni, I.; Tselios, T.; Kostakis, I.K.; Chrysina, E.D.; et al. Molecular investigation of artificial and natural sweeteners as potential anti-inflammatory agents. J. Biomol. Struct. Dyn. 2022, 40, 12608–12620. [Google Scholar] [CrossRef]
- Hall, J.L.; Sohail, A.; Cabrita, E.J.; Macdonald, C.; Stockner, T.; Sitte, H.H.; Angulo, J.; MacMillan, F. Saturation transfer difference NMR on the integral trimeric membrane transport protein GltPh determines cooperative substrate binding. Sci. Rep. 2020, 10, 16483. [Google Scholar] [CrossRef]
- Viegas, A.; Manso, J.; Nobrega, F.L.; Cabrita, E.J. Saturation-transfer difference (STD) NMR: A simple and fast method for ligand screening and characterization of protein binding. J. Chem. Educ. 2011, 88, 990–994. [Google Scholar] [CrossRef]
- van Mourik, T.; Bühl, M.; Gaigeot, M.-P. Density functional theory across chemistry, physics and biology. Philos. Trans. R. Soc. A Math. Phys. Eng. Sci. 2014, 372, 20120488. [Google Scholar] [CrossRef]
- Grimme, S.; Antony, J.; Ehrlich, S.; Krieg, H. A consistent and accurate ab initio parametrization of density functional dispersion correction (DFT-D) for the 94 elements H-Pu. J. Chem. Phys. 2010, 132, 154104. [Google Scholar] [CrossRef]
- Weigend, F.; Ahlrichs, R. Balanced basis sets of split valence, triple zeta valence and quadruple zeta valence quality for H to Rn: Design and assessment of accuracy. Phys. Chem. Chem. Phys. 2005, 7, 3297. [Google Scholar] [CrossRef] [PubMed]
- Neese, F.; Wennmohs, F.; Becker, U.; Riplinger, C. The ORCA quantum chemistry program package. J. Chem. Phys. 2020, 152, 224108. [Google Scholar] [CrossRef] [PubMed]
- Dubé, D.; Blouin, M.; Brideau, C.; Chan, C.-C.; Desmarais, S.; Ethier, D.; Falgueyret, J.-P.; Friesen, R.W.; Girard, M.; Girard, Y.; et al. Quinolines as potent 5-lipoxygenase inhibitors: Synthesis and biological profile of L-746,530. Bioorg. Med. Chem. Lett. 1998, 8, 1255–1260. [Google Scholar] [CrossRef] [PubMed]
- Offenbacher, A.R.; Hu, S.; Poss, E.M.; Carr, C.A.M.; Scouras, A.D.; Prigozhin, D.M.; Iavarone, A.T.; Palla, A.; Alber, T.; Fraser, J.S.; et al. Hydrogen–Deuterium Exchange of Lipoxygenase Uncovers a Relationship between Distal, Solvent Exposed Protein Motions and the Thermal Activation Barrier for Catalytic Proton-Coupled Electron Tunneling. ACS Cent. Sci. 2017, 3, 570–579. [Google Scholar] [CrossRef]
- Choi, J.; Chon, J.K.; Kim, S.; Shin, W. Conformational flexibility in mammalian 15S-lipoxygenase: Reinterpretation of the crystallographic data. Proteins Struct. Funct. Bioinforma. 2008, 70, 1023–1032. [Google Scholar] [CrossRef]
- Gilbert, N.C.; Bartlett, S.G.; Waight, M.T.; Neau, D.B.; Boeglin, W.E.; Brash, A.R.; Newcomer, M.E. The Structure of Human 5-Lipoxygenase. Science 2011, 331, 217–219. [Google Scholar] [CrossRef]
- Schrodinger, L.L.C. MacroModel, Version 10.2; Schrodinger, L.L.C.: New York, NY, USA, 2013. [Google Scholar]
- Jorgensen, W.L.; Maxwell, D.S.; Tirado-Rives, J. Development and testing of the OPLS all-atom force field on conformational energetics and properties of organic liquids. J. Am. Chem. Soc. 1996, 118, 11225–11236. [Google Scholar] [CrossRef]
- Imtiaz, S.; Muzaffar, S.; Ali, S.M. Demonstrating accuracy of the already proposed protocol for structure elucidation of cyclodextrin inclusion complexes by validation using quantitative ROESY analysis. J. Incl. Phenom. Macrocycl. Chem. 2021, 100, 71–87. [Google Scholar] [CrossRef]
- Essmann, U.; Perera, L.; Berkowitz, M.L.; Darden, T.; Lee, H.; Pedersen, L.G. A smooth particle mesh Ewald method. J. Chem. Phys. 1995, 103, 8577. [Google Scholar] [CrossRef]
- Martyna, G.J.; Tobias, D.J.; Klein, M.L. Constant pressure molecular dynamics algorithms. J. Chem. Phys. 1994, 101, 4177–4189. [Google Scholar] [CrossRef]
- Humphreys, D.D.; Friesner, R.A.; Berne, B.J. A multiple-time-step Molecular Dynamics algorithm for macromolecules. J. Phys. Chem. 1994, 98, 6885–6892. [Google Scholar] [CrossRef]
- Lyman, E.; Zuckerman, D.M. Ensemble-based convergence analysis of biomolecular trajectories. Biophys. J. 2006, 91, 164–172. [Google Scholar] [CrossRef] [PubMed]
- Bütikofer, A.; Løken, K.V.; Salvanes, K.G. Infant health care and long-term outcomes. Rev. Econ. Stat. 2019, 101, 341–354. [Google Scholar] [CrossRef]
- Lee, C.; Yang, W.; Parr, R.G. Development of the Colle-Salvetti correlation-energy formula into a functional of the electron density. Phys. Rev. B 1988, 37, 785–789. [Google Scholar] [CrossRef]
- Becke, A.D. A new mixing of Hartree–Fock and local density-functional theories. J. Chem. Phys. 1993, 98, 1372–1377. [Google Scholar] [CrossRef]
- Tzeli, D.; Theodorakopoulos, G.; Petsalakis, I.D.; Ajami, D.; Rebek, J. Conformations and Fluorescence of Encapsulated Stilbene. J. Am. Chem. Soc. 2012, 134, 4346–4354. [Google Scholar] [CrossRef]
- Frisch, M.J.D.J.F.; Trucks, G.W.; Schlegel, H.B.; Scuseria, G.E.; Robb, M.A.; Cheeseman, J.R.; Scalmani, G.; Barone, V.; Petersson, G.A.; Nakatsuji, H.; et al. Gaussian 16, Revision B.01. In Gaussian 09; Gaussian, Inc.: Wallingford, CT, USA, 2016. [Google Scholar]
- Pattar, S.V.; Adhoni, S.A.; Kamanavalli, C.M.; Kumbar, S.S. In silico molecular docking studies and MM/GBSA analysis of coumarin-carbonodithioate hybrid derivatives divulge the anticancer potential against breast cancer. Beni-Suef Univ. J. Basic Appl. Sci. 2020, 9, 36. [Google Scholar] [CrossRef]
- Spacho, N.; Casertano, M.; Imperatore, C.; Papadopoulos, C.; Menna, M.; Eleftheriadis, N. Investigating the Catalytic Site of Human 15-Lipoxygenase-1 via Marine Natural Products. Chem. A Eur. J. 2024, 30, e202402279. [Google Scholar] [CrossRef]
- Jantan, I.; Bukhari, S.N.A.; Adekoya, O.A.; Sylte, I. Studies of synthetic chalcone derivatives as potential inhibitors of secretory phospholipase A2, cyclooxygenases, lipoxygenase and pro-inflammatory cytokines. Drug Des. Devel. Ther. 2014, 8, 1405–1418. [Google Scholar] [CrossRef]















| Hydrogen 1 | Chemical Shift (ppm) | Hydrogen 1 | Chemical Shift (ppm) | Hydrogen 1 | Chemical Shift (ppm) |
|---|---|---|---|---|---|
| CH3 | 2.36 | HA | 8.01 | 5’ | 6.96 |
| 2.6 | 7.82 | HB | 8.25 | 4’ | 7.57 |
| 3.5 | 7.29 | 3’ | 7.05 | 6’ | 8.27 |
| OH | 12.56 | ||||
| Hydrogen 2 | Chemical Shift (ppm) | Hydrogen 2 | Chemical Shift (ppm) | Hydrogen 2 | Chemical Shift (ppm) |
| 2.6 | 7.96 | HB | 7.83 | 4’ | 7.58 |
| 3.5 | 7.55 | 3’ | 7.01 | 6’ | 8.25 |
| HA | 8.05 | 5’ | 7.01 | ||
| OH | 12.43 |
| Observed Signal in 2D-NOESY Spectrum | Distance in Å |
|---|---|
| 1 | |
| H2-HB | 2.192 |
| 2 | |
| H2-HB | 2.363 |
| H6’-HA | 1.882 |
| Compound | IFD Score (5-LOX) | IFD Score (LOX-1) | IFD Score (15-LOX) |
|---|---|---|---|
| 1 | −10.778 | −9.657 | −7.581 |
| 2 | −11.630 | −10.256 | −7.634 |
| Compound | Enzyme | Hydrogen Bonds | π-π Stacking |
|---|---|---|---|
| 1 | 5-LOX | ASN425 | HIS367, HIS372 |
| LOX-1 | HIS504, TRP500 | ||
| 15-LOX | HIS361, HIS366 | ||
| 2 | 5-LOX | HIS372, PHE421 | |
| LOX-1 | TRP500 | ||
| 15-LOX | HIS361 |
| State | λ | ΔΕ | f | |
|---|---|---|---|---|
| 1 | S1 | 383.5 | 3.755 | 0.3485 |
| 1_LOX-1 | S1 | 403.1 | 3.076 | 0.0059 |
| 1_LOX-1 | S3 | 306.3 | 4.048 | 0.4806 |
| 1_5-LOX | S1 | 385.6 | 3.215 | 0.0005 |
| 1-OCH3a | Expt a | 366 nm | ||
| S1 a,b | 375 | |||
| 2 | S1 | 485.3 | 2.555 | 0.2922 |
| 2_LOX-1 | S1 | 380.8 | 3.256 | 0.0043 |
| 2_LOX-1 | S3 | 305.2 | 4.062 | 0.2364 |
| 2_5-LOX | S1 | 386.1 | 3.211 | 0.0081 |
| λ | ΔΕ | f | |
|---|---|---|---|
| 1 | 532.5 | 2.328 | 0.0000 |
| a | 431.9 | 2.871 | 0.0030 |
| 337.2 | 3.677 | 0.5410 | |
| 2 | 521.0 | 2.379 | 0.1712 |
| a | 459.4 | 2.699 | 0.0299 |
| Compound_Enzyme | ∆G_Bind Value (kcal/mol) |
|---|---|
| 1_15-LOX | −35.90 |
| 2_15-LOX | −27.32 |
| 1_5-LOX | −43.90 |
| 2_5-LOX | −31.07 |
| 1-LOX-1 | −34.49 |
| 2-LOX-1 | −23.80 |
Disclaimer/Publisher’s Note: The statements, opinions and data contained in all publications are solely those of the individual author(s) and contributor(s) and not of MDPI and/or the editor(s). MDPI and/or the editor(s) disclaim responsibility for any injury to people or property resulting from any ideas, methods, instructions or products referred to in the content. |
© 2025 by the authors. Licensee MDPI, Basel, Switzerland. This article is an open access article distributed under the terms and conditions of the Creative Commons Attribution (CC BY) license (https://creativecommons.org/licenses/by/4.0/).
Share and Cite
Georgiou, N.; Tzani, A.; Vavougyiou, K.; Papadopoulos, C.; Eleftheriadis, N.; Šket, P.; Tzeli, D.; Niemi-Aro, T.; Detsi, A.; Mavromoustakos, T. Synthesis of Anti-Inflammatory Drugs’ Chalcone Derivatives and a Study of Their Conformational Properties Through a Combination of Nuclear Magnetic Resonance Spectroscopy and Molecular Modeling. Pharmaceuticals 2025, 18, 88. https://doi.org/10.3390/ph18010088
Georgiou N, Tzani A, Vavougyiou K, Papadopoulos C, Eleftheriadis N, Šket P, Tzeli D, Niemi-Aro T, Detsi A, Mavromoustakos T. Synthesis of Anti-Inflammatory Drugs’ Chalcone Derivatives and a Study of Their Conformational Properties Through a Combination of Nuclear Magnetic Resonance Spectroscopy and Molecular Modeling. Pharmaceuticals. 2025; 18(1):88. https://doi.org/10.3390/ph18010088
Chicago/Turabian StyleGeorgiou, Nikitas, Andromachi Tzani, Kyriaki Vavougyiou, Christos Papadopoulos, Nikolaos Eleftheriadis, Primož Šket, Demeter Tzeli, Tuomas Niemi-Aro, Anastasia Detsi, and Thomas Mavromoustakos. 2025. "Synthesis of Anti-Inflammatory Drugs’ Chalcone Derivatives and a Study of Their Conformational Properties Through a Combination of Nuclear Magnetic Resonance Spectroscopy and Molecular Modeling" Pharmaceuticals 18, no. 1: 88. https://doi.org/10.3390/ph18010088
APA StyleGeorgiou, N., Tzani, A., Vavougyiou, K., Papadopoulos, C., Eleftheriadis, N., Šket, P., Tzeli, D., Niemi-Aro, T., Detsi, A., & Mavromoustakos, T. (2025). Synthesis of Anti-Inflammatory Drugs’ Chalcone Derivatives and a Study of Their Conformational Properties Through a Combination of Nuclear Magnetic Resonance Spectroscopy and Molecular Modeling. Pharmaceuticals, 18(1), 88. https://doi.org/10.3390/ph18010088

