Targeting the Heart of Mycobacterium: Advances in Anti-Tubercular Agents Disrupting Cell Wall Biosynthesis
Abstract
1. Introduction
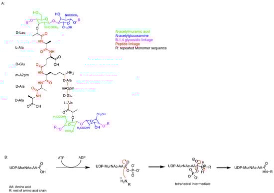
2. Cell Wall Components
3. PG Synthesis
4. MA Synthesis
5. AG Synthesis
5.1. Synthesis of the Linker Unit
5.2. Galactan and Arabinan Biosynthesis
6. Cycloserine (CS)
CS Toxicity Concerns
7. Isoniazid (INH)
8. Ethionamide
Ethionamide and INH Clinical Considerations
9. Delamanid
Key Clinical Considerations in Delamanid Use
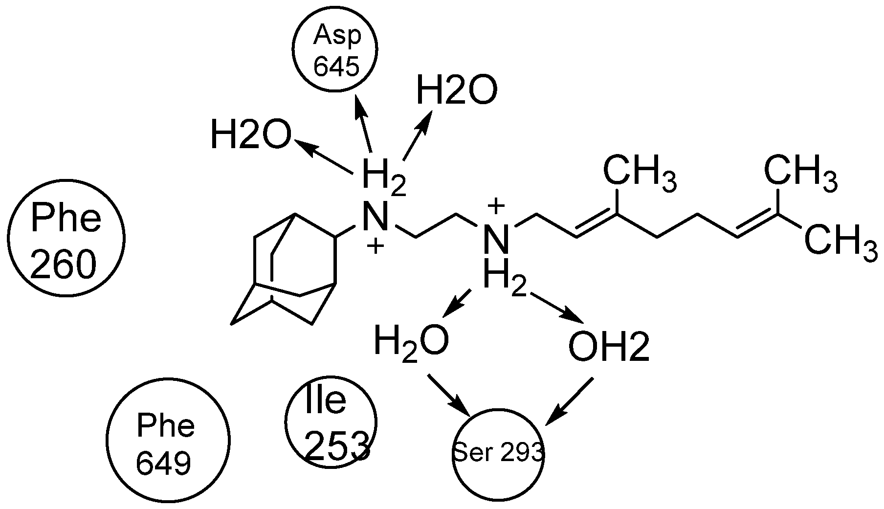
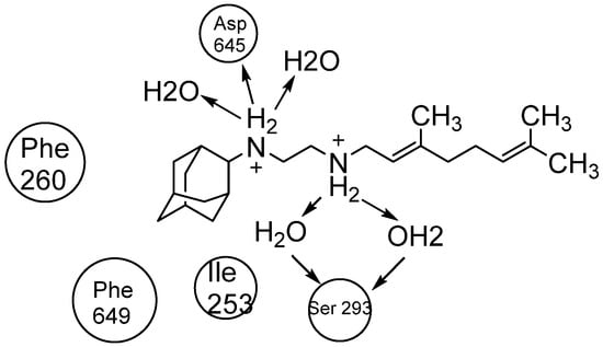
10. Ethambutol
Clinical Concerns in Ethambutol Administration
11. The Future of Cell Wall Targeting Agents in TB Treatment
11.1. DprE1 Inhibitors
11.2. Mycolic Glycolipid Transporter 3 as a Target
12. Conclusions
Author Contributions
Funding
Conflicts of Interest
References
- O’Neill, J. Tackling Drug-Resistant Infections Globally: Final Report and Recommendations; Wellcome Trust: London, UK, 2016. [Google Scholar]
- Dutescu, I.A.; Hillier, S.A. Encouraging the development of new antibiotics: Are financial incentives the right way forward? A systematic review and case study. Infect. Drug Resist. 2021, 14, 415–434. [Google Scholar] [CrossRef] [PubMed]
- Lobanovska, M.; Pilla, G. Focus: Drug development: Penicillin’s discovery and antibiotic resistance: Lessons for the future? Yale J. Biol. Med. 2017, 90, 135. [Google Scholar]
- Kundu, M. The role of two-component systems in the physiology of Mycobacterium tuberculosis. IUBMB Life 2018, 70, 710–717. [Google Scholar] [CrossRef] [PubMed]
- Fu, L.; Fu-Liu, C. Is Mycobacterium tuberculosis a closer relative to Gram-positive or Gram–negative bacterial pathogens? Tuberculosis 2002, 82, 85–90. [Google Scholar] [CrossRef] [PubMed]
- Barberis, I.; Bragazzi, N.L.; Galluzzo, L.; Martini, M. The history of tuberculosis: From the first historical records to the isolation of Koch’s bacillus. J. Prev. Med. Hyg. 2017, 58, E9. [Google Scholar] [PubMed]
- Chakaya, J.; Khan, M.; Ntoumi, F.; Aklillu, E.; Fatima, R.; Mwaba, P.; Kapata, N.; Mfinanga, S.; Hasnain, S.E.; Katoto, P.D. Global Tuberculosis Report 2020–Reflections on the Global TB burden, treatment and prevention efforts. Int. J. Infect. Dis. 2021, 113, S7–S12. [Google Scholar] [CrossRef] [PubMed]
- Zhuang, L.; Ye, Z.; Li, L.; Yang, L.; Gong, W. Next-generation TB vaccines: Progress, challenges, and prospects. Vaccines 2023, 11, 1304. [Google Scholar] [CrossRef] [PubMed]
- Tiberi, S.; Muñoz-Torrico, M.; Duarte, R.; Dalcolmo, M.; D’ambrosio, L.; Migliori, G.-B. New drugs and perspectives for new anti-tuberculosis regimens. Pulmonology 2018, 24, 86–98. [Google Scholar] [CrossRef]
- Almeida Da Silva, P.E.; Palomino, J.C. Molecular basis and mechanisms of drug resistance in Mycobacterium tuberculosis: Classical and new drugs. J. Antimicrob. Chemother. 2011, 66, 1417–1430. [Google Scholar] [CrossRef] [PubMed]
- World Health Organization. WHO Consolidated Guidelines on Tuberculosis: Module 4: Treatment: Drug-Resistant Tuberculosis Treatment: Online Annexes; World Health Organization: Geneva, Switzerland, 2020. [Google Scholar]
- Geiter, L. (Ed.) Ending Neglect: The Elimination of Tuberculosis in the United States; National Academies Press: Washington, DC, USA, 2000. [Google Scholar]
- Johnsson, K.; King, D.S.; Schultz, P.G. Studies on the mechanism of action of isoniazid and ethionamide in the chemotherapy of tuberculosis. J. Am. Chem. Soc. 1995, 117, 5009–5010. [Google Scholar] [CrossRef]
- Belanger, A.E.; Besra, G.S.; Ford, M.E.; Mikusová, K.; Belisle, J.T.; Brennan, P.J.; Inamine, J.M. The embAB genes of Mycobacterium avium encode an arabinosyl transferase involved in cell wall arabinan biosynthesis that is the target for the antimycobacterial drug ethambutol. Proc. Natl. Acad. Sci. USA 1996, 93, 11919–11924. [Google Scholar] [CrossRef]
- Seidel, M.; Alderwick, L.J.; Birch, H.L.; Sahm, H.; Eggeling, L.; Besra, G.S. Identification of a novel arabinofuranosyltransferase AftB involved in a terminal step of cell wall arabinan biosynthesis in Corynebacterianeae, such as Corynebacterium glutamicum and Mycobacterium tuberculosis. J. Biol. Chem. 2007, 282, 14729–14740. [Google Scholar] [CrossRef] [PubMed]
- Maitra, A.; Munshi, T.; Healy, J.; Martin, L.T.; Vollmer, W.; Keep, N.H.; Bhakta, S. Cell wall peptidoglycan in Mycobacterium tuberculosis: An Achilles’ heel for the TB-causing pathogen. FEMS Microbiol. Rev. 2019, 43, 548–575. [Google Scholar] [CrossRef]
- Crellin, P.K.; Brammananth, R.; Coppel, R.L. Decaprenylphosphoryl-β-D-ribose 2′-epimerase, the target of benzothiazinones and dinitrobenzamides, is an essential enzyme in Mycobacterium smegmatis. PLoS ONE 2011, 6, e16869. [Google Scholar] [CrossRef]
- Rivers, E.C.; Mancera, R.L. New anti-tuberculosis drugs in clinical trials with novel mechanisms of action. Drug Discov. Today 2008, 13, 1090–1098. [Google Scholar] [CrossRef]
- Sterling, T.R. Guidelines for the treatment of latent tuberculosis infection: Recommendations from the National Tuberculosis Controllers Association and CDC, 2020. MMWR. Recomm. Rep. 2020, 69, 1–11. [Google Scholar] [CrossRef] [PubMed]
- Turnbull, L.; Bell, C.; Child, F. Tuberculosis (NICE clinical guideline 33). Arch. Dis. Child.-Educ. Pract. 2017, 102, 136–142. [Google Scholar] [CrossRef]
- Yang, M.; Zhan, S.; Fu, L.; Wang, Y.; Zhang, P.; Deng, G. Prospects of contezolid (MRX-I) against multidrug-resistant tuberculosis and extensively drug-resistant tuberculosis. Drug Discov. Ther. 2022, 16, 99–101. [Google Scholar] [CrossRef]
- Daffé, M.; Marrakchi, H. Unraveling the structure of the mycobacterial envelope. Microbiol. Spectr. 2019, 7. [Google Scholar] [CrossRef]
- Holzheimer, M.; Buter, J.; Minnaard, A.J. Chemical synthesis of cell wall constituents of Mycobacterium tuberculosis. Chem. Rev. 2021, 121, 9554–9643. [Google Scholar] [CrossRef]
- Barreteau, H.; Kovač, A.; Boniface, A.; Sova, M.; Gobec, S.; Blanot, D. Cytoplasmic steps of peptidoglycan biosynthesis. FEMS Microbiol. Rev. 2008, 32, 168–207. [Google Scholar] [CrossRef]
- Jagtap, P.K.A.; Soni, V.; Vithani, N.; Jhingan, G.D.; Bais, V.S.; Nandicoori, V.K.; Prakash, B. Substrate-bound crystal structures reveal features unique to Mycobacterium tuberculosis N-acetyl-glucosamine 1-phosphate uridyltransferase and a catalytic mechanism for acetyl transfer. J. Biol. Chem. 2012, 287, 39524–39537. [Google Scholar] [CrossRef] [PubMed]
- Zhang, Z.; Bulloch, E.M.; Bunker, R.D.; Baker, E.N.; Squire, C.J. Structure and function of GlmU from Mycobacterium tuberculosis. Acta Crystallogr. Sect. D Biol. Crystallogr. 2009, 65, 275–283. [Google Scholar] [CrossRef] [PubMed]
- Li, S.; Kang, J.; Yu, W.; Zhou, Y.; Zhang, W.; Xin, Y.; Ma, Y. Identification of M. tuberculosis Rv3441c and M. smegmatis MSMEG_1556 and essentiality of M. smegmatis MSMEG_1556. PLoS ONE 2012, 7, e42769. [Google Scholar] [CrossRef] [PubMed]
- De Smet, K.A.; Kempsell, K.E.; Gallagher, A.; Duncan, K.; Young, D.B. Alteration of a single amino acid residue reverses fosfomycin resistance of recombinant MurA from Mycobacterium tuberculosis. Microbiology 1999, 145, 3177–3184. [Google Scholar] [CrossRef] [PubMed]
- Xu, L.; Wu, D.; Liu, L.; Zheng, Q.; Song, Y.; Ye, L.; Sha, S.; Kang, J.; Xin, Y.; Ma, Y. Characterization of mycobacterial UDP-N-acetylglucosamine enolpyruvyle transferase (MurA). Res. Microbiol. 2014, 165, 91–101. [Google Scholar] [CrossRef]
- Basavannacharya, C.; Robertson, G.; Munshi, T.; Keep, N.H.; Bhakta, S. ATP-dependent MurE ligase in Mycobacterium tuberculosis: Biochemical and structural characterisation. Tuberculosis 2010, 90, 16–24. [Google Scholar] [CrossRef]
- Anderson, M.S.; Eveland, S.S.; Onishi, H.R.; Pompliano, D.L. Kinetic mechanism of the Escherichia coli UDPMurNAc-tripeptide D-alanyl-D-alanine-adding enzyme: Use of a glutathione S-transferase fusion. Biochemistry 1996, 35, 16264–16269. [Google Scholar] [CrossRef]
- Anderson, R. The separation of lipoid fractions from tubercle bacilli. J. Biol. Chem. 1927, 74, 525–535. [Google Scholar] [CrossRef]
- Minnikin, D.; Polgar, N. Studies on the mycolic acids from human tubercle bacilli. Tetrahedron Lett. 1966, 7, 2643–2647. [Google Scholar] [CrossRef]
- Abrahams, K.A.; Besra, G.S. Mycobacterial cell wall biosynthesis: A multifaceted antibiotic target. Parasitology 2018, 145, 116–133. [Google Scholar] [CrossRef] [PubMed]
- Duan, X.; Xiang, X.; Xie, J. Crucial components of mycobacterium type II fatty acid biosynthesis (Fas-II) and their inhibitors. FEMS Microbiol. Lett. 2014, 360, 87–99. [Google Scholar] [CrossRef] [PubMed]
- Sekanka, G.; Baird, M.; innikin, D.; Grooten, J. Mycolic acids for the control of tuberculosis. Expert Opin. Ther. Pat. 2007, 17, 315–331. [Google Scholar] [CrossRef]
- Takayama, K.; Wang, C.; Besra, G.S. Pathway to synthesis and processing of mycolic acids in Mycobacterium tuberculosis. Clin. Microbiol. Rev. 2005, 18, 81–101. [Google Scholar] [CrossRef] [PubMed]
- Bhatt, A.; Molle, V.; Besra, G.S.; Jacobs Jr, W.R.; Kremer, L. The Mycobacterium tuberculosis FAS-II condensing enzymes: Their role in mycolic acid biosynthesis, acid-fastness, pathogenesis and in future drug development. Mol. Microbiol. 2007, 64, 1442–1454. [Google Scholar] [CrossRef]
- Gande, R.; Dover, L.G.; Krumbach, K.; Besra, G.S.; Sahm, H.; Oikawa, T.; Eggeling, L. The two carboxylases of Corynebacterium glutamicum essential for fatty acid and mycolic acid synthesis. J. Bacteriol. 2007, 189, 5257–5264. [Google Scholar] [CrossRef]
- Bibens, L.; Becker, J.-P.; Dassonville-Klimpt, A.; Sonnet, P. A review of fatty acid biosynthesis enzyme inhibitors as promising antimicrobial drugs. Pharmaceuticals 2023, 16, 425. [Google Scholar] [CrossRef] [PubMed]
- Watanabe, M.; Aoyagi, Y.; Ridell, M.; Minnikin, D.E. Separation and characterization of individual mycolic acids in representative mycobacteria. Microbiology 2001, 147, 1825–1837. [Google Scholar] [CrossRef]
- Amar, C.; Vilkas, E. Isolation of arabinose phosphate from the walls of Mycobacterium tuberculosis H 37 Ra. Comptes Rendus Hebd. Seances L’academie Sci. Ser. D Sci. Nat. 1973, 277, 1949–1951. [Google Scholar]
- Mikusová, K.; Mikus, M.; Besra, G.S.; Hancock, I.; Brennan, P.J. Biosynthesis of the Linkage Region of the Mycobacterial Cell Wall (∗). J. Biol. Chem. 1996, 271, 7820–7828. [Google Scholar] [CrossRef] [PubMed]
- Jin, Y.; Xin, Y.; Zhang, W.; Ma, Y. Mycobacterium tuberculosis Rv1302 and Mycobacterium smegmatis MSMEG_4947 have WecA function and MSMEG_4947 is required for the growth of M. smegmatis. FEMS Microbiol. Lett. 2010, 310, 54–61. [Google Scholar] [CrossRef] [PubMed]
- Mills, J.A.; Motichka, K.; Jucker, M.; Wu, H.P.; Uhlik, B.C.; Stern, R.J.; Scherman, M.S.; Vissa, V.D.; Pan, F.; Kundu, M. Inactivation of the mycobacterial rhamnosyltransferase, which is needed for the formation of the arabinogalactan-peptidoglycan linker, leads to irreversible loss of viability. J. Biol. Chem. 2004, 279, 43540–43546. [Google Scholar] [CrossRef] [PubMed]
- Grzegorzewicz, A.E.; Ma, Y.; Jones, V.; Crick, D.; Liav, A.; McNeil, M.R. Development of a microtitre plate-based assay for lipid-linked glycosyltransferase products using the mycobacterial cell wall rhamnosyltransferase WbbL. Microbiology 2008, 154, 3724–3730. [Google Scholar] [CrossRef] [PubMed][Green Version]
- Li, W.; Xin, Y.; McNeil, M.R.; Ma, Y. rmlB and rmlC genes are essential for growth of mycobacteria. Biochem. Biophys. Res. Commun. 2006, 342, 170–178. [Google Scholar] [CrossRef] [PubMed]
- Ma, Y.; Pan, F.; McNeil, M. Formation of dTDP-rhamnose is essential for growth of mycobacteria. J. Bacteriol. 2002, 184, 3392–3395. [Google Scholar] [CrossRef]
- Konyariková, Z.; Savková, K.; Kozmon, S.; Mikušová, K. Biosynthesis of galactan in Mycobacterium tuberculosis as a viable TB drug target? Antibiotics 2020, 9, 20. [Google Scholar] [CrossRef] [PubMed]
- Belánová, M.; Dianišková, P.; Brennan, P.J.; Completo, G.C.; Rose, N.L.; Lowary, T.L.; Mikušová, K.N. Galactosyl transferases in mycobacterial cell wall synthesis. J. Bacteriol. 2008, 190, 1141–1145. [Google Scholar] [CrossRef] [PubMed]
- Savková, K.; Huszár, S.; Baráth, P.; Pakanová, Z.; Kozmon, S.; Vancová, M.; Tesařová, M.; Blaško, J.; Kaliňák, M.; Singh, V. An ABC transporter Wzm–Wzt catalyzes translocation of lipid-linked galactan across the plasma membrane in mycobacteria. Proc. Natl. Acad. Sci. USA 2021, 118, e2023663118. [Google Scholar] [CrossRef]
- Alderwick, L.J.; Radmacher, E.; Seidel, M.; Gande, R.; Hitchen, P.G.; Morris, H.R.; Dell, A.; Sahm, H.; Eggeling, L.; Besra, G.S. Deletion of Cg-emb in corynebacterianeae leads to a novel truncated cell wall arabinogalactan, whereas inactivation of Cg-ubiA results in an arabinan-deficient mutant with a cell wall galactan core. J. Biol. Chem. 2005, 280, 32362–32371. [Google Scholar] [CrossRef]
- Alderwick, L.J.; Seidel, M.; Sahm, H.; Besra, G.S.; Eggeling, L. Identification of a novel arabinofuranosyltransferase (AftA) involved in cell wall arabinan biosynthesis in Mycobacterium tuberculosis. J. Biol. Chem. 2006, 281, 15653–15661. [Google Scholar] [CrossRef] [PubMed]
- Escuyer, V.E.; Lety, M.-A.; Torrelles, J.B.; Khoo, K.-H.; Tang, J.-B.; Rithner, C.D.; Frehel, C.; McNeil, M.R.; Brennan, P.J.; Chatterjee, D. The role of the embA and embB gene products in the biosynthesis of the terminal hexaarabinofuranosyl motif of Mycobacterium smegmatisarabinogalactan. J. Biol. Chem. 2001, 276, 48854–48862. [Google Scholar] [CrossRef]
- Zhang, L.; Zhao, Y.; Gao, Y.; Wu, L.; Gao, R.; Zhang, Q.; Wang, Y.; Wu, C.; Wu, F.; Gurcha, S.S. Structures of cell wall arabinosyltransferases with the anti-tuberculosis drug ethambutol. Science 2020, 368, 1211–1219. [Google Scholar] [CrossRef]
- Shull, G.; Sardinas, J. PA-94, an antibiotic identical with D-4-amino-3-isoxazolidinone (cycloserine, oxamycin). Antibiot. Chemother. (Northfield) 1955, 5, 398–399. [Google Scholar]
- Harned, R.L.; Hidy, P.; La Baw, E.K. Cycloserine. 1. A Preliminary Report. Antibiot. Chemother. 1955, 5, 204. [Google Scholar]
- Kurosawa, H. The isolation of an antibiotic produced by a strain of streptomyces K-300. Yokohama Med. Bull. 1952, 3, 386–399. [Google Scholar] [PubMed]
- de Chiara, C.; Homšak, M.; Prosser, G.A.; Douglas, H.L.; Garza-Garcia, A.; Kelly, G.; Purkiss, A.G.; Tate, E.W.; de Carvalho, L.P.S. D-Cycloserine destruction by alanine racemase and the limit of irreversible inhibition. Nat. Chem. Biol. 2020, 16, 686–694. [Google Scholar] [CrossRef] [PubMed]
- Olson, G.T.; Fu, M.; Lau, S.; Rinehart, K.L.; Silverman, R.B. An aromatization mechanism of inactivation of γ-aminobutyric acid aminotransferase for the antibiotic L-cycloserine. J. Am. Chem. Soc. 1998, 120, 2256–2267. [Google Scholar] [CrossRef]
- Peisach, D.; Chipman, D.M.; Van Ophem, P.W.; Manning, J.M.; Ringe, D. D-cycloserine inactivation of D-amino acid aminotransferase leads to a stable noncovalent protein complex with an aromatic cycloserine-PLP derivative. J. Am. Chem. Soc. 1998, 120, 2268–2274. [Google Scholar] [CrossRef]
- Azam, M.A.; Jayaram, U. Inhibitors of alanine racemase enzyme: A review. J. Enzym. Inhib. Med. Chem. 2016, 31, 517–526. [Google Scholar] [CrossRef]
- Prosser, G.A.; de Carvalho, L.P. Metabolomics reveal d-alanine: D-alanine ligase as the target of d-cycloserine in Mycobacterium tuberculosis. ACS Med. Chem. Lett. 2013, 4, 1233–1237. [Google Scholar] [CrossRef] [PubMed]
- Heresco-Levy, U.; Gelfin, G.; Bloch, B.; Levin, R.; Edelman, S.; Javitt, D.C.; Kremer, I. A randomized add-on trial of high-dose D-cycloserine for treatment-resistant depression. Int. J. Neuropsychopharmacol. 2013, 16, 501–506. [Google Scholar] [CrossRef]
- Neu, H.C.; Gootz, T.D. Antimicrobial chemotherapy. In Medical Microbiology, 4th ed.; University of Texas Medical Branch: Galveston, TX, USA, 1996. [Google Scholar]
- Prosser, G.A.; de Carvalho, L.P.S. Kinetic mechanism and inhibition of Mycobacterium tuberculosis D-alanine: D-alanine ligase by the antibiotic D-cycloserine. FEBS J. 2013, 280, 1150–1166. [Google Scholar] [CrossRef] [PubMed]
- Hutchings, M.I.; Truman, A.W.; Wilkinson, B. Antibiotics: Past, present and future. Curr. Opin. Microbiol. 2019, 51, 72–80. [Google Scholar] [CrossRef] [PubMed]
- Wang, J.; Pang, Y.; Jing, W.; Chen, W.; Guo, R.; Han, X.; Wu, L.; Yang, G.; Yang, K.; Chen, C. Efficacy and safety of cycloserine-containing regimens in the treatment of multidrug-resistant tuberculosis: A nationwide retrospective cohort study in China. Infect. Drug Resist. 2019, 12, 763–770. [Google Scholar] [CrossRef] [PubMed]
- Bankier, R.G. Psychosis associated with cycloserine. Can. Med. Assoc. J. 1965, 93, 35. [Google Scholar] [PubMed]
- Emmett, M.; Mick, S.; Cler, J.A.; Rao, T.; Iyengar, S.; Wood, P. Actions of D-cycloserine at the N-methyl-D-aspartate-associated glycine receptor site in vivo. Neuropharmacology 1991, 30, 1167–1171. [Google Scholar] [CrossRef]
- Dravid, S.M.; Burger, P.B.; Prakash, A.; Geballe, M.T.; Yadav, R.; Le, P.; Vellano, K.; Snyder, J.P.; Traynelis, S.F. Structural determinants of D-cycloserine efficacy at the NR1/NR2C NMDA receptors. J. Neurosci. 2010, 30, 2741–2754. [Google Scholar] [CrossRef] [PubMed]
- Sheinin, A.; Shavit, S.; Benveniste, M. Subunit specificity and mechanism of action of NMDA partial agonist D-cycloserine. Neuropharmacology 2001, 41, 151–158. [Google Scholar] [CrossRef] [PubMed]
- de Chiara, C.; Prosser, G.A.; Ogrodowicz, R.; de Carvalho, L.P. Structure of the D-cycloserine-resistant variant D322N of alanine racemase from Mycobacterium tuberculosis. ACS Bio Med Chem Au 2023, 3, 233–239. [Google Scholar] [CrossRef] [PubMed]
- Desjardins, C.A.; Cohen, K.A.; Munsamy, V.; Abeel, T.; Maharaj, K.; Walker, B.J.; Shea, T.P.; Almeida, D.V.; Manson, A.L.; Salazar, A. Genomic and functional analyses of Mycobacterium tuberculosis strains implicate ald in D-cycloserine resistance. Nat. Genet. 2016, 48, 544–551. [Google Scholar] [CrossRef]
- Tofthagen, C. Threats to validity in retrospective studies. J. Adv. Pract. Oncol. 2012, 3, 181. [Google Scholar]
- Arun, K.; Madhavan, A.; Abraham, B.; Balaji, M.; Sivakumar, K.; Nisha, P.; Kumar, R.A. Acetylation of isoniazid is a novel mechanism of isoniazid resistance in Mycobacterium tuberculosis. Antimicrob. Agents Chemother. 2020, 65, 5806–5816. [Google Scholar] [CrossRef] [PubMed]
- Meller, H.; Malley, J. Hydrazine derivatives of pyridinecarboxylic acids. Monatsschr. Psychiatr. Neurol. 1912, 33, 400. [Google Scholar]
- Shoeb, H.; Bowman Jr, B.; Ottolenghi, A.; Merola, A. Peroxidase-mediated oxidation of isoniazid. Antimicrob. Agents Chemother. 1985, 27, 399–403. [Google Scholar] [CrossRef]
- Unissa, A.N.; Subbian, S.; Hanna, L.E.; Selvakumar, N. Overview on mechanisms of isoniazid action and resistance in Mycobacterium tuberculosis. Infect. Genet. Evol. 2016, 45, 474–492. [Google Scholar] [CrossRef] [PubMed]
- Timmins, G.S.; Deretic, V. Mechanisms of action of isoniazid. Mol. Microbiol. 2006, 62, 1220–1227. [Google Scholar] [CrossRef]
- Marrakchi, H.; Lanéelle, G.; Quémard, A.k. InhA, a target of the antituberculous drug isoniazid, is involved in a mycobacterial fatty acid elongation system, FAS-II. Microbiology 2000, 146, 289–296. [Google Scholar] [CrossRef]
- Wengenack, N.L.; Rusnak, F. Evidence for isoniazid-dependent free radical generation catalyzed by Mycobacterium tuberculosi s KatG and the isoniazid-resistant mutant KatG (S315T). Biochemistry 2001, 40, 8990–8996. [Google Scholar] [CrossRef] [PubMed]
- Hegde, P.; Boshoff, H.I.; Rusman, Y.; Aragaw, W.W.; Salomon, C.E.; Dick, T.; Aldrich, C.C. Reinvestigation of the structure-activity relationships of isoniazid. Tuberculosis 2021, 129, 102100. [Google Scholar] [CrossRef]
- Minisci, F.; Vismara, E.; Fontana, F. Recent developments of free-radical substitutions of heteroaromatic bases. Heterocycles 1989, 28, 489–519. [Google Scholar] [CrossRef]
- Testa, B.; Crivori, P.; Reist, M.; Carrupt, P.-A. The influence of lipophilicity on the pharmacokinetic behavior of drugs: Concepts and examples. Perspect. Drug Discov. Des. 2000, 19, 179–211. [Google Scholar] [CrossRef]
- Whitney, J.B.; Wainberg, M.A. Isoniazid, the frontline of resistance in Mycobacterium tuberculosis. McGill J. Med. 2002, 6. [Google Scholar] [CrossRef]
- Rouse, D.A.; Li, Z.; Bai, G.-H.; Morris, S.L. Characterization of the katG and inhA genes of isoniazid-resistant clinical isolates of Mycobacterium tuberculosis. Antimicrob. Agents Chemother. 1995, 39, 2472–2477. [Google Scholar] [CrossRef]
- Jena, L.; Waghmare, P.; Kashikar, S.; Kumar, S.; Harinath, B.C. Computational approach to understanding the mechanism of action of isoniazid, an anti-TB drug. Int. J. Mycobacteriol. 2014, 3, 276–282. [Google Scholar] [CrossRef]
- Mathiesen, L.; Malterud, K.E.; Sund, R.B. Hydrogen bond formation as basis for radical scavenging activity: A structure–activity study of C-methylated dihydrochalcones from Myrica gale and structurally related acetophenones. Free Radic. Biol. Med. 1997, 22, 307–311. [Google Scholar] [CrossRef]
- Nguyen, M.; Quémard, A.; Broussy, S.; Bernadou, J.; Meunier, B. Mn (III) pyrophosphate as an efficient tool for studying the mode of action of isoniazid on the InhA protein of Mycobacterium tuberculosis. Antimicrob. Agents Chemother. 2002, 46, 2137–2144. [Google Scholar] [CrossRef]
- Wang, F.; Langley, R.; Gulten, G.; Dover, L.G.; Besra, G.S.; Jacobs, W.R., Jr.; Sacchettini, J.C. Mechanism of thioamide drug action against tuberculosis and leprosy. J. Exp. Med. 2007, 204, 73–78. [Google Scholar] [CrossRef]
- Sawant, S.B.; Rao, D.V.S.; Nageswarrao, C.; Reddy, P.P.; Agarwal, R.; Sharma, R. Identification, characterization and synthesis of potential related substances of ethionamide. Ras. J. Chem. 2015, 8, 527–531. [Google Scholar]
- Vannelli, T.A.; Dykman, A.; de Montellano, P.R.O. The antituberculosis drug ethionamide is activated by a flavoprotein monooxygenase∗. J. Biol. Chem. 2002, 277, 12824–12829. [Google Scholar] [CrossRef] [PubMed]
- Imran, M. Ethionamide and Prothionamide Based Coumarinyl-Thiazole Derivatives: Synthesis, Antitubercular Activity, Toxicity Investigations and Molecular Docking Studies. Pharm. Chem. J. 2022, 56, 1215–1225. [Google Scholar] [CrossRef] [PubMed]
- Jadhav, B.S.; Yamgar, R.S.; Kenny, R.S.; Mali, S.N.; Chaudhari, H.K.; Mandewale, M.C. Synthesis, in silico and biological studies of thiazolyl-2h-chromen-2-one derivatives as potent antitubercular agents. Curr. Comput.-Aided Drug Des. 2020, 16, 511–522. [Google Scholar] [CrossRef] [PubMed]
- Arshad, A.; Osman, H.; Bagley, M.C.; Lam, C.K.; Mohamad, S.; Zahariluddin, A.S.M. Synthesis and antimicrobial properties of some new thiazolyl coumarin derivatives. Eur. J. Med. Chem. 2011, 46, 3788–3794. [Google Scholar] [CrossRef]
- DeBarber, A.E.; Mdluli, K.; Bosman, M.; Bekker, L.-G.; Barry, C.E., 3rd. Ethionamide activation and sensitivity in multidrug-resistant Mycobacterium tuberculosis. Proc. Natl. Acad. Sci. USA 2000, 97, 9677–9682. [Google Scholar] [CrossRef] [PubMed]
- Quémard, A.; Lanéelle, G.; Lacave, C. Mycolic acid synthesis: A target for ethionamide in mycobacteria? Antimicrob. Agents Chemother. 1992, 36, 1316–1321. [Google Scholar] [CrossRef]
- Vale, N.; Gomes, P.; A Santos, H. Metabolism of the antituberculosis drug ethionamide. Curr. Drug Metab. 2013, 14, 151–158. [Google Scholar] [CrossRef] [PubMed]
- Wen, X.; Wang, J.-S.; Neuvonen, P.J.; Backman, J.T. Isoniazid is a mechanism-based inhibitor of cytochrome P 450 1A2, 2A6, 2C19 and 3A4 isoforms in human liver microsomes. Eur. J. Clin. Pharmacol. 2002, 57, 799–804. [Google Scholar] [CrossRef] [PubMed]
- Drucker, D.; Eggo, M.; Salit, I.; Burrow, G. Ethionamide-lnduced goitrous hypothyroidism. Ann. Intern. Med. 1984, 100, 837–839. [Google Scholar] [CrossRef]
- Hallbauer, U.M.; Schaaf, H.S. Ethionamide-induced hypothyroidism in children. S. Afr. J. Epidemiol. Infect. 2011, 26, 161–163. [Google Scholar] [CrossRef][Green Version]
- Wason, S.; Lacouture, P.G.; Lovejoy, F.H. Single high-dose pyridoxine treatment for isoniazid overdose. Jama 1981, 246, 1102–1104. [Google Scholar] [CrossRef] [PubMed]
- Ross, R.R. Use of pyridoxine hydrochloride to prevent isoniazid toxicity. J. Am. Med. Assoc. 1958, 168, 273–275. [Google Scholar] [CrossRef]
- Brigden, G.; Nyang’wa, B.-T.; du Cros, P.; Varaine, F.; Hughes, J.; Rich, M.; Horsburgh, C.R., Jr.; Mitnick, C.D.; Nuermberger, E.; McIlleron, H. Principles for designing future regimens for multidrug-resistant tuberculosis. Bull. World Health Organ. 2013, 92, 68–74. [Google Scholar] [CrossRef] [PubMed]
- Liu, Y.; Matsumoto, M.; Ishida, H.; Ohguro, K.; Yoshitake, M.; Gupta, R.; Geiter, L.; Hafkin, J. Delamanid: From discovery to its use for pulmonary multidrug-resistant tuberculosis (MDR-TB). Tuberculosis 2018, 111, 20–30. [Google Scholar] [CrossRef]
- Tongkanarak, K.; Paliwal, H.; Nakpheng, T.; Bintang, M.A.K.M.; Srichana, T. Delamanid proliposomal powder aerosols targeting alveolar macrophages for treatment of pulmonary extensively drug-resistant tuberculosis treatment: Bioactivity, biocompatibility, and structure elucidation. J. Drug Deliv. Sci. Technol. 2024, 100, 106041. [Google Scholar] [CrossRef]
- Palmer, B.D.; Sutherland, H.S.; Blaser, A.; Kmentova, I.; Franzblau, S.G.; Wan, B.; Wang, Y.; Ma, Z.; Denny, W.A.; Thompson, A.M. Synthesis and structure–activity relationships for extended side chain analogues of the antitubercular drug (6 S)-2-nitro-6-{[4-(trifluoromethoxy) benzyl] oxy}-6, 7-dihydro-5 H-imidazo [2, 1-b][1, 3] oxazine (PA-824). J. Med. Chem. 2015, 58, 3036–3059. [Google Scholar] [CrossRef]
- Matsumoto, M.; Hashizume, H.; Tomishige, T.; Kawasaki, M.; Tsubouchi, H.; Sasaki, H.; Shimokawa, Y.; Komatsu, M. OPC-67683, a nitro-dihydro-imidazooxazole derivative with promising action against tuberculosis in vitro and in mice. PLoS Med. 2006, 3, e466. [Google Scholar] [CrossRef] [PubMed]
- Wermuth, C.G. Designing prodrugs and bioprecursors. In The Practice of Medicinal Chemistry; Elsevier: Amsterdam, The Netherlands, 2008; pp. 721–746. [Google Scholar]
- Gurumurthy, M.; Mukherjee, T.; Dowd, C.S.; Singh, R.; Niyomrattanakit, P.; Tay, J.A.; Nayyar, A.; Lee, Y.S.; Cherian, J.; Boshoff, H.I. Substrate specificity of the deazaflavin-dependent nitroreductase from Mycobacterium tuberculosis responsible for the bioreductive activation of bicyclic nitroimidazoles. FEBS J. 2012, 279, 113–125. [Google Scholar] [CrossRef] [PubMed]
- Stover, C.K.; Warrener, P.; VanDevanter, D.R.; Sherman, D.R.; Arain, T.M.; Langhorne, M.H.; Anderson, S.W.; Towell, J.A.; Yuan, Y.; McMurray, D.N. A small-molecule nitroimidazopyran drug candidate for the treatment of tuberculosis. Nature 2000, 405, 962–966. [Google Scholar] [CrossRef] [PubMed]
- Abrahams, K.A.; Batt, S.M.; Gurcha, S.S.; Veerapen, N.; Bashiri, G.; Besra, G.S. DprE2 is a molecular target of the anti-tubercular nitroimidazole compounds pretomanid and delamanid. Nat. Commun. 2023, 14, 3828. [Google Scholar] [CrossRef] [PubMed]
- Wolucka, B.A. Biosynthesis of D-arabinose in mycobacteria–a novel bacterial pathway with implications for antimycobacterial therapy. FEBS J. 2008, 275, 2691–2711. [Google Scholar] [CrossRef] [PubMed]
- Mikušová, K.N.; Huang, H.; Yagi, T.; Holsters, M.; Vereecke, D.; D’Haeze, W.; Scherman, M.S.; Brennan, P.J.; McNeil, M.R.; Crick, D.C. Decaprenylphosphoryl arabinofuranose, the donor of the D-arabinofuranosyl residues of mycobacterial arabinan, is formed via a two-step epimerization of decaprenylphosphoryl ribose. J. Bacteriol. 2005, 187, 8020–8025. [Google Scholar] [CrossRef]
- Fujiwara, M.; Kawasaki, M.; Hariguchi, N.; Liu, Y.; Matsumoto, M. Mechanisms of resistance to delamanid, a drug for Mycobacterium tuberculosis. Tuberculosis 2018, 108, 186–194. [Google Scholar] [CrossRef]
- Shimokawa, Y.; Sasahara, K.; Yoda, N.; Mizuno, K.; Umehara, K. Delamanid does not inhibit or induce cytochrome p450 enzymes in vitro. Biol. Pharm. Bull. 2014, 37, 1727–1735. [Google Scholar] [CrossRef] [PubMed]
- Lewis, J.M.; Sloan, D.J. The role of delamanid in the treatment of drug-resistant tuberculosis. Ther. Clin. Risk Manag. 2015, 11, 779–791. [Google Scholar]
- Hewison, C.; Khan, U.; Bastard, M.; Lachenal, N.; Coutisson, S.; Osso, E.; Ahmed, S.; Khan, P.; Franke, M.F.; Rich, M.L. Safety of treatment regimens containing bedaquiline and delamanid in the endTB cohort. Clin. Infect. Dis. 2022, 75, 1006–1013. [Google Scholar] [CrossRef]
- Nathanson, E.; Gupta, R.; Huamani, P.; Leimane, V.; Pasechnikov, A.; Tupasi, T.; Vink, K.; Jaramillo, E.; Espinal, M. Adverse events in the treatment of multidrug-resistant tuberculosis: Results from the DOTS-Plus initiative. Int. J. Tuberc. Lung Dis. 2004, 8, 1382–1384. [Google Scholar]
- Garcia-Prats, A.J.; Frias, M.; van der Laan, L.; De Leon, A.; Gler, M.T.; Schaaf, H.S.; Hesseling, A.C.; Malikaarjun, S.; Hafkin, J. Delamanid added to an optimized background regimen in children with multidrug-resistant tuberculosis: Results of a phase I/II clinical trial. Antimicrob. Agents Chemother. 2022, 66, e02144-21. [Google Scholar] [CrossRef] [PubMed]
- Matsumoto, M.; Hashizume, H.; Tsubouchi, H.; Sasaki, H.; Itotani, M.; Kuroda, H.; Tomishige, T.; Kawasaki, M.; Komatsu, M. Screening for novel antituberculosis agents that are effective against multidrug resistant tuberculosis. Curr. Top. Med. Chem. 2007, 7, 499–507. [Google Scholar] [CrossRef] [PubMed]
- Shibata, M.; Shimokawa, Y.; Sasahara, K.; Yoda, N.; Sasabe, H.; Suzuki, M.; Umehara, K. Absorption, distribution and excretion of the anti-tuberculosis drug delamanid in rats: Extensive tissue distribution suggests potential therapeutic value for extrapulmonary tuberculosis. Biopharm. Drug Dispos. 2017, 38, 301–312. [Google Scholar] [CrossRef] [PubMed]
- Wilkinson, R.; Shepherd, R.; Thomas, J.; Baughn, C. Stereospecificity in a new type of synthetic antituberculous agent1, 2. J. Am. Chem. Soc. 1961, 83, 2212–2213. [Google Scholar] [CrossRef]
- Thomas, J.; Baughn, C.; Wilkinson, R.; Shepherd, R. A new synthetic compound with antituberculous activity in mice: Ethambutol (dextro-2, 2′-(ethylenediimino)-di-1-butanol). Am. Rev. Respir. Dis. 1961, 83, 891–893. [Google Scholar] [PubMed]
- Karlson, A.G. Therapeutic effect of ethambutol (dextro-2, 2′-[ethylenediimino]-di-l-butanol) on experimental tuberculosis in guinea pigs. Am. Rev. Respir. Dis. 1961, 84, 902–904. [Google Scholar]
- Pyle, M.M.; Pfuetze, K.H.; Pearlman, M.D.; De La Huerga, J.; Hubble, R.H. A four-year clinical investigation of ethambutol in initial and re-treatment cases of tuberculosis: Efficacy, toxicity, and bacterial resistance. Am. Rev. Respir. Dis. 1966, 93, 428–441. [Google Scholar]
- Telenti, A.; Philipp, W.J.; Sreevatsan, S.; Bernasconi, C.; Stockbauer, K.E.; Wieles, B.; Musser, J.M.; Jacobs, W.R., Jr. The emb operon, a gene cluster of Mycobacterium tuberculosis involved in resistance to ethambutol. Nat. Med. 1997, 3, 567–570. [Google Scholar] [CrossRef]
- Briken, V. Molecular mechanisms of host-pathogen interactions and their potential for the discovery of new drug targets. Curr. Drug Targets 2008, 9, 150–157. [Google Scholar] [CrossRef][Green Version]
- Kang, P.B.; Azad, A.K.; Torrelles, J.B.; Kaufman, T.M.; Beharka, A.; Tibesar, E.; DesJardin, L.E.; Schlesinger, L.S. The human macrophage mannose receptor directs Mycobacterium tuberculosis lipoarabinomannan-mediated phagosome biogenesis. J. Exp. Med. 2005, 202, 987–999. [Google Scholar] [CrossRef] [PubMed]
- Cole, S.; Brosch, R.; Parkhill, J.; Garnier, T.; Churcher, C.; Harris, D.; Gordon, S.; Eiglmeier, K.; Gas, S.; Barry Iii, C. Deciphering the biology of Mycobacterium tuberculosis from the complete genome sequence. Nature 1998, 396, 190. [Google Scholar] [CrossRef]
- Goude, R.; Amin, A.; Chatterjee, D.; Parish, T. The arabinosyltransferase EmbC is inhibited by ethambutol in Mycobacterium tuberculosis. Antimicrob. Agents Chemother. 2009, 53, 4138–4146. [Google Scholar] [CrossRef] [PubMed]
- Plinke, C.; Cox, H.S.; Zarkua, N.; Karimovich, H.A.; Braker, K.; Diel, R.; Rüsch-Gerdes, S.; Feuerriegel, S.; Niemann, S. embCAB sequence variation among ethambutol-resistant Mycobacterium tuberculosis isolates without embB 306 mutation. J. Antimicrob. Chemother. 2010, 65, 1359–1367. [Google Scholar] [CrossRef] [PubMed]
- Xu, Y.; Jia, H.; Huang, H.; Sun, Z.; Zhang, Z. Mutations found in embCAB, embR, and ubiA genes of ethambutol-sensitive and-resistant Mycobacterium tuberculosis clinical isolates from China. BioMed Res. Int. 2015, 2015, 951706. [Google Scholar] [CrossRef]
- Pyle, M.M. Ethambutol in the retreatment and primary treatment of tuberculosis: A four-year clinical investigation. Ann. N. Y. Acad. Sci. 1966, 135, 835–845. [Google Scholar] [CrossRef] [PubMed]
- Leibold, J.E. The ocular toxicity of ethambutol and its relation to dose. Ann. N. Y.Acad. Sci. 1966, 135, 904–909. [Google Scholar] [CrossRef]
- Agrawal, Y.; Bhatt, H.; Raval, H.; Oza, P.; Gogoi, P. Chirality-A new era of therapeutics. Mini Rev. Med. Chem. 2007, 7, 451–460. [Google Scholar] [CrossRef] [PubMed]
- World Health Organization. WHO Model Prescribing Information: Drugs Used in Mycobacterial Diseases; World Health Organization: Geneva, Switzerland, 1991. [Google Scholar]
- Heng, J.E.; Vorwerk, C.K.; Lessell, E.; Zurakowski, D.; Levin, L.A.; Dreyer, E.B. Ethambutol is toxic to retinal ganglion cells via an excitotoxic pathway. Investig. Ophthalmol. Vis. Sci. 1999, 40, 190–196. [Google Scholar]
- Abdel-Hamid, A.A.; Firgany, A.E.-D.L.; Ali, E.M. Effect of memantine: A NMDA receptor blocker, on ethambutol-induced retinal injury. Ann. Anat.-Anat. Anz. 2016, 204, 86–92. [Google Scholar] [CrossRef] [PubMed]
- Ezer, N.; Benedetti, A.; Darvish-Zargar, M.; Menzies, D. Incidence of ethambutol-related visual impairment during treatment of active tuberculosis. Int. J. Tuberc. Lung Dis. 2013, 17, 447–455. [Google Scholar] [CrossRef]
- Wang, M.Y.; Sadun, A.A. Drug-related mitochondrial optic neuropathies. J. Neuro-Ophthalmol. 2013, 33, 172–178. [Google Scholar] [CrossRef] [PubMed]
- Wallis, R.S.; Dawson, R.; Friedrich, S.O.; Venter, A.; Paige, D.; Zhu, T.; Silvia, A.; Gobey, J.; Ellery, C.; Zhang, Y. Mycobactericidal activity of sutezolid (PNU-100480) in sputum (EBA) and blood (WBA) of patients with pulmonary tuberculosis. PLoS ONE 2014, 9, e94462. [Google Scholar] [CrossRef] [PubMed]
- Kumar, D.; Negi, B.; Rawat, D.S. The anti-tuberculosis agents under development and the challenges ahead. Future Med. Chem. 2015, 7, 1981–2003. [Google Scholar] [CrossRef] [PubMed]
- Hariguchi, N.; Chen, X.; Hayashi, Y.; Kawano, Y.; Fujiwara, M.; Matsuba, M.; Shimizu, H.; Ohba, Y.; Nakamura, I.; Kitamoto, R. OPC-167832, a novel carbostyril derivative with potent antituberculosis activity as a DprE1 inhibitor. Antimicrob. Agents Chemother. 2020, 64. [Google Scholar] [CrossRef]
- Piton, J.; Foo, C.S.-Y.; Cole, S.T. Structural studies of Mycobacterium tuberculosis DprE1 interacting with its inhibitors. Drug Discov. Today 2017, 22, 526–533. [Google Scholar] [CrossRef] [PubMed]
- Xue, B.; Okusanya, O.; Zhu, T. Pharmacokinetic-pharmacodynamic (PK-PD) analysis evaluating the effects of rifampin (RIF), PNU-100480 (sutezolid, U-480), and its metabolite PNU-101603 (U-603), alone and in combination, against Mycobacterium tuberculosis (Mtb) in the nonreplicating persister (NRP) state using data from a hollow-fiber infection model (HFIM). In Proceedings of the 52nd Interscience Conference of Antimicrobial Agents and Chemotherapy (ICAAC), San Francisco, CA, USA, 9–12 September 2012; pp. 9–12. [Google Scholar]
- Williams, K.; Stover, C.; Zhu, T.; Tasneen, R.; Tyagi, S.; Grosset, J.; Nuermberger, E. Promising antituberculosis activity of the oxazolidinone PNU-100480 relative to that of linezolid in a murine model. Antimicrob. Agents Chemother. 2009, 53, 1314–1319. [Google Scholar] [CrossRef] [PubMed]
- Williams, K.N.; Brickner, S.J.; Stover, C.K.; Zhu, T.; Ogden, A.; Tasneen, R.; Tyagi, S.; Grosset, J.H.; Nuermberger, E.L. Addition of PNU-100480 to first-line drugs shortens the time needed to cure murine tuberculosis. Am. J. Respir. Crit. Care Med. 2009, 180, 371–376. [Google Scholar] [CrossRef]
- Zhu, T.; Friedrich, S.O.; Diacon, A.; Wallis, R.S. Population pharmacokinetic/pharmacodynamic analysis of the bactericidal activities of sutezolid (PNU-100480) and its major metabolite against intracellular Mycobacterium tuberculosis in ex vivo whole-blood cultures of patients with pulmonary tuberculosis. Antimicrob. Agents Chemother. 2014, 58, 3306–3311. [Google Scholar] [CrossRef] [PubMed]
- Makarov, V.; Mikušová, K. Development of macozinone for TB treatment: An update. Appl. Sci. 2020, 10, 2269. [Google Scholar] [CrossRef]
- Shirude, P.S.; Shandil, R.K.; Manjunatha, M.; Sadler, C.; Panda, M.; Panduga, V.; Reddy, J.; Saralaya, R.; Nanduri, R.; Ambady, A. Lead optimization of 1, 4-azaindoles as antimycobacterial agents. J. Med. Chem. 2014, 57, 5728–5737. [Google Scholar] [CrossRef]
- Shandil, R.; Panda, M.; Sadler, C.; Ambady, A.; Panduga, V.; Kumar, N.; Mahadevaswamy, J.; Sreenivasaiah, M.; Narayan, A.; Guptha, S. Scaffold morphing to identify novel DprE1 inhibitors with antimycobacterial activity. ACS Med. Chem. Lett. 2019, 10, 1480. [Google Scholar]
- Seidel, R.W.; Richter, A.; Goddard, R.; Imming, P. Synthesis, structures, reactivity and medicinal chemistry of antitubercular benzothiazinones. Chem. Commun. 2023, 59, 4697–4715. [Google Scholar] [CrossRef]
- Verma, H.; Choudhary, S.; Singh, P.K.; Kashyap, A.; Silakari, O. Decoding the signature of molecular mechanism involved in mutation associated resistance to 1, 3-benzothiazin-4-ones (Btzs) based DprE1 inhibitors using BTZ043 as a reference drug. Mol. Simul. 2019, 45, 1515–1523. [Google Scholar] [CrossRef]
- Marakov, V.; Riabova, O.; Yuschenko, A.; Urlyapova, N.; Daudova, A.; Ziplef, P.; Mollmann, U. Synthesis and antileprosy activity of some dialkyldithiocarbamate. J. Antimicrob. Chemother. 2006, 57, 1134–1138. [Google Scholar]
- Grzegorzewicz, A.E.; Pham, H.; Gundi, V.A.; Scherman, M.S.; North, E.J.; Hess, T.; Jones, V.; Gruppo, V.; Born, S.E.; Korduláková, J. Inhibition of mycolic acid transport across the Mycobacterium tuberculosis plasma membrane. Nat. Chem. Biol. 2012, 8, 334–341. [Google Scholar] [CrossRef]
- Degiacomi, G.; Benjak, A.; Madacki, J.; Boldrin, F.; Provvedi, R.; Palù, G.; Kordulakova, J.; Cole, S.T.; Manganelli, R. Essentiality of mmpL3 and impact of its silencing on Mycobacterium tuberculosis gene expression. Sci. Rep. 2017, 7, 43495. [Google Scholar] [CrossRef] [PubMed]
- Converse, S.E.; Mougous, J.D.; Leavell, M.D.; Leary, J.A.; Bertozzi, C.R.; Cox, J.S. MmpL8 is required for sulfolipid-1 biosynthesis and Mycobacterium tuberculosis virulence. Proc. Natl. Acad. Sci. USA 2003, 100, 6121–6126. [Google Scholar] [CrossRef]
- Pacheco, S.A.; Hsu, F.-F.; Powers, K.M.; Purdy, G.E. MmpL11 protein transports mycolic acid-containing lipids to the mycobacterial cell wall and contributes to biofilm formation in Mycobacterium smegmatis. J. Biol. Chem. 2013, 288, 24213–24222. [Google Scholar] [CrossRef]
- Varela, C.; Rittmann, D.; Singh, A.; Krumbach, K.; Bhatt, K.; Eggeling, L.; Besra, G.S.; Bhatt, A. MmpL genes are associated with mycolic acid metabolism in mycobacteria and corynebacteria. Chem. Biol. 2012, 19, 498–506. [Google Scholar] [CrossRef] [PubMed]
- Poce, G.; Consalvi, S.; Biava, M. MmpL3 inhibitors: Diverse chemical scaffolds inhibit the same target. Mini Rev. Med. Chem. 2016, 16, 1274–1283. [Google Scholar] [CrossRef]
- La Rosa, V.; Poce, G.; Canseco, J.O.; Buroni, S.; Pasca, M.R.; Biava, M.; Raju, R.M.; Porretta, G.C.; Alfonso, S.; Battilocchio, C. MmpL3 is the cellular target of the antitubercular pyrrole derivative BM212. Antimicrob. Agents Chemother. 2012, 56, 324–331. [Google Scholar] [CrossRef] [PubMed]
- Remuiñán, M.J.; Pérez-Herrán, E.; Rullás, J.; Alemparte, C.; Martínez-Hoyos, M.; Dow, D.J.; Afari, J.; Mehta, N.; Esquivias, J.; Jiménez, E. Tetrahydropyrazolo [1, 5-a] pyrimidine-3-carboxamide and N-benzyl-6′, 7′-dihydrospiro [piperidine-4, 4′-thieno [3, 2-c] pyran] analogues with bactericidal efficacy against Mycobacterium tuberculosis targeting MmpL3. PLoS ONE 2013, 8, e60933. [Google Scholar] [CrossRef]
- Foss, M.H.; Pou, S.; Davidson, P.M.; Dunaj, J.L.; Winter, R.W.; Pou, S.; Licon, M.H.; Doh, J.K.; Li, Y.; Kelly, J.X. Diphenylether-modified 1, 2-diamines with improved drug properties for development against Mycobacterium tuberculosis. ACS Infect. Dis. 2016, 2, 500–508. [Google Scholar] [CrossRef] [PubMed]
- Li, W.; Upadhyay, A.; Fontes, F.L.; North, E.J.; Wang, Y.; Crans, D.C.; Grzegorzewicz, A.E.; Jones, V.; Franzblau, S.G.; Lee, R.E. Novel insights into the mechanism of inhibition of MmpL3, a target of multiple pharmacophores in Mycobacterium tuberculosis. Antimicrob. Agents Chemother. 2014, 58, 6413–6423. [Google Scholar] [CrossRef] [PubMed]
- Williams, J.T.; Haiderer, E.R.; Coulson, G.B.; Conner, K.N.; Ellsworth, E.; Chen, C.; Alvarez-Cabrera, N.; Li, W.; Jackson, M.; Dick, T. Identification of new MmpL3 inhibitors by untargeted and targeted mutant screens defines MmpL3 domains with differential resistance. Antimicrob. Agents Chemother. 2019, 63. [Google Scholar] [CrossRef]
- Stanley, S.A.; Grant, S.S.; Kawate, T.; Iwase, N.; Shimizu, M.; Wivagg, C.; Silvis, M.; Kazyanskaya, E.; Aquadro, J.; Golas, A. Identification of novel inhibitors of M. tuberculosis growth using whole cell based high-throughput screening. ACS Chem. Biol. 2012, 7, 1377–1384. [Google Scholar] [CrossRef] [PubMed]
- Umare, M.D.; Khedekar, P.B.; Chikhale, R.V. Mycobacterial membrane protein large 3 (MmpL3) inhibitors: A promising approach to combat tuberculosis. ChemMedChem 2021, 16, 3136–3148. [Google Scholar] [CrossRef]
- Borisov, S.; Bogorodskaya, E.; Volchenkov, G.; Kulchavenya, E.; Maryandyshev, A.; Skornyakov, S.; Talibov, O.; Tikhonov, A.; Vasilyeva, I. Efficiency and safety of chemotherapy regimen with SQ109 in those suffering from multiple drug resistant tuberculosis. Tuberc. Lung Dis. 2018, 96, 6–18. [Google Scholar] [CrossRef]
- Jia, L.; Coward, L.; Gorman, G.S.; Noker, P.E.; Tomaszewski, J.E. Pharmacoproteomic effects of isoniazid, ethambutol, and N-geranyl-N′-(2-adamantyl) ethane-1, 2-diamine (SQ109) on Mycobacterium tuberculosis H37Rv. J. Pharmacol. Exp. Ther. 2005, 315, 905–911. [Google Scholar] [CrossRef] [PubMed]
- Carbone, J.; Paradis, N.J.; Bennet, L.; Alesiani, M.C.; Hausman, K.R.; Wu, C. Inhibition Mechanism of Anti-TB Drug SQ109: Allosteric Inhibition of TMM Translocation of Mycobacterium tuberculosis MmpL3 Transporter. J. Chem. Inf. Model. 2023, 63, 5356–5374. [Google Scholar] [CrossRef] [PubMed]

















| Drug Name (Trade Name(s)) | Therapeutic Target (Coded Gene) | Administration Route | Approval Year | Ref. |
|---|---|---|---|---|
| Isoniazid (INH, Nydrazid, IsonaRif) | Enoyl-acyl carrier protein (ACP) reductase (InhA). (Rv1484) | Oral, intramuscular, intravenous | 1953 | [9,10,11,12] |
| Thioamides: Ethionamide and Prothionamide (Trecator, Trecator- SC) | InhA inhibitors. (Rv1484) | Oral, intermuscular/IV | 1968 | [12,13] |
| Ethambutol (Myambutol, Servambutol and Etibi) | Arabinosyl transferase enzyme B and C. (Rv3795, Ev3793) | Oral | 1968 | [9,10,11,12,14,15] |
| Cycloserine (Seromycin) | D-alanine racemase (Alr) and D-alanine-D-alanine ligase (Ddl). (Rv3423c, Rv2981c) | Oral | 1968 | [8,9,10,11,16] |
| Nitroimidazole: Delamanid (Deltyba) | DprE2 enzyme. (Rv3791) | Oral | 2014 * | [8,10,12,17] |
| Clinical Considerations | Active Tuberculosis | Latent Tuberculosis | Ref. |
|---|---|---|---|
| Diagnostic tools |
|
| [19,20] |
| Standard treatment | Four-month regimen:
| Short course regimens:
| [19,20] |
| Compound # | Alkyl Substitute | MIC Mtb (ng/mL) | LogP |
|---|---|---|---|
| 10926013 | Methyl | 250 | 1.31 |
| 10926021 | Ethyl | 62 | 1.64 |
| 10926027 | Propyl | 3.7 | 2.11 |
| 10926172 | Butyl | 1.9 | 2.51 |
| 11026100 | Isobutyl | 1.9 | 2.51 |
| 11026142 | 1-ethylpropyl | 0.37 | 2.99 |
| 11026128 | 1-sec-Butyl | 0.37 | 2.52 |
| 11026129 | 2-Cyclohexylethyl | 0.19 | 3.52 |
| 11026131 | 1-Methylbutyl | 0.19 | 3.11 |
| 11026134 | Heptyl | 0.19 | 3.30 |
| 11026137 | 4-Phenoxybutyl | 1.5 | 3.35 |
| 11026139 | 4-Phenylbutyl | 0.37 | 4.05 |
| 10926168 | Cyclohexyl | 0.75 | 3.09 |
| 10926169 (PBTZ169) | Cyclohexylmethyl | 0.19 | 3.20 |
Disclaimer/Publisher’s Note: The statements, opinions and data contained in all publications are solely those of the individual author(s) and contributor(s) and not of MDPI and/or the editor(s). MDPI and/or the editor(s) disclaim responsibility for any injury to people or property resulting from any ideas, methods, instructions or products referred to in the content. |
© 2025 by the authors. Licensee MDPI, Basel, Switzerland. This article is an open access article distributed under the terms and conditions of the Creative Commons Attribution (CC BY) license (https://creativecommons.org/licenses/by/4.0/).
Share and Cite
Diab, A.; Dickerson, H.; Al Musaimi, O. Targeting the Heart of Mycobacterium: Advances in Anti-Tubercular Agents Disrupting Cell Wall Biosynthesis. Pharmaceuticals 2025, 18, 70. https://doi.org/10.3390/ph18010070
Diab A, Dickerson H, Al Musaimi O. Targeting the Heart of Mycobacterium: Advances in Anti-Tubercular Agents Disrupting Cell Wall Biosynthesis. Pharmaceuticals. 2025; 18(1):70. https://doi.org/10.3390/ph18010070
Chicago/Turabian StyleDiab, Ahmad, Henry Dickerson, and Othman Al Musaimi. 2025. "Targeting the Heart of Mycobacterium: Advances in Anti-Tubercular Agents Disrupting Cell Wall Biosynthesis" Pharmaceuticals 18, no. 1: 70. https://doi.org/10.3390/ph18010070
APA StyleDiab, A., Dickerson, H., & Al Musaimi, O. (2025). Targeting the Heart of Mycobacterium: Advances in Anti-Tubercular Agents Disrupting Cell Wall Biosynthesis. Pharmaceuticals, 18(1), 70. https://doi.org/10.3390/ph18010070

