Intravitreal Dexamethasone Implant in Anti-Vascular Endothelial Growth Factor Pretreated Diabetic Macular Edema—A Swiss Cohort Study
Abstract
1. Introduction
2. Results
2.1. Demographic Data
2.2. Patient Characteristics Following the First DEX
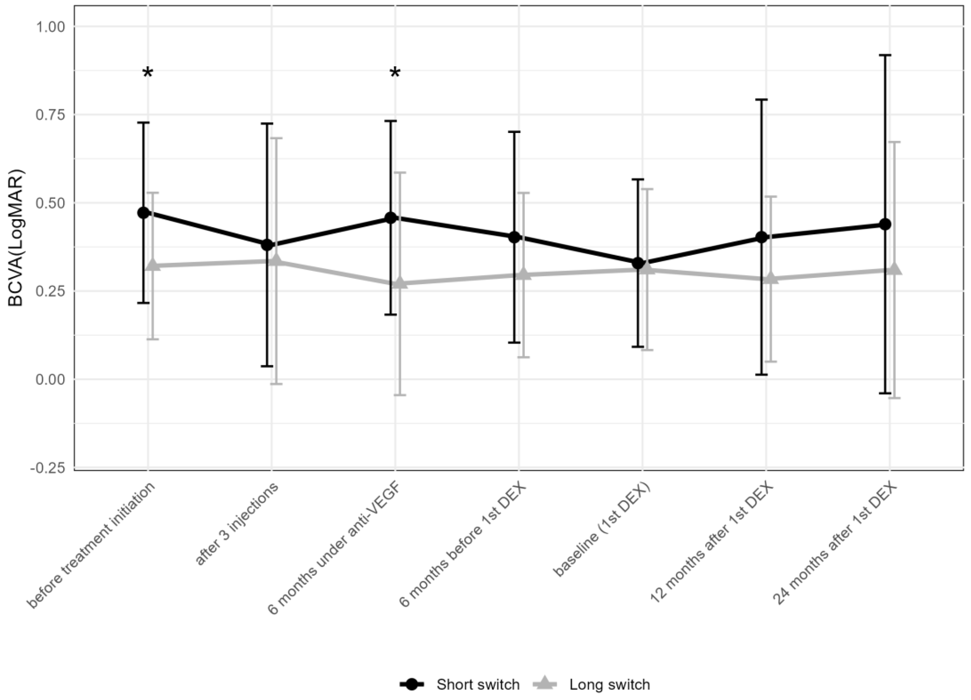
2.3. Change in Visual Acuity over Time
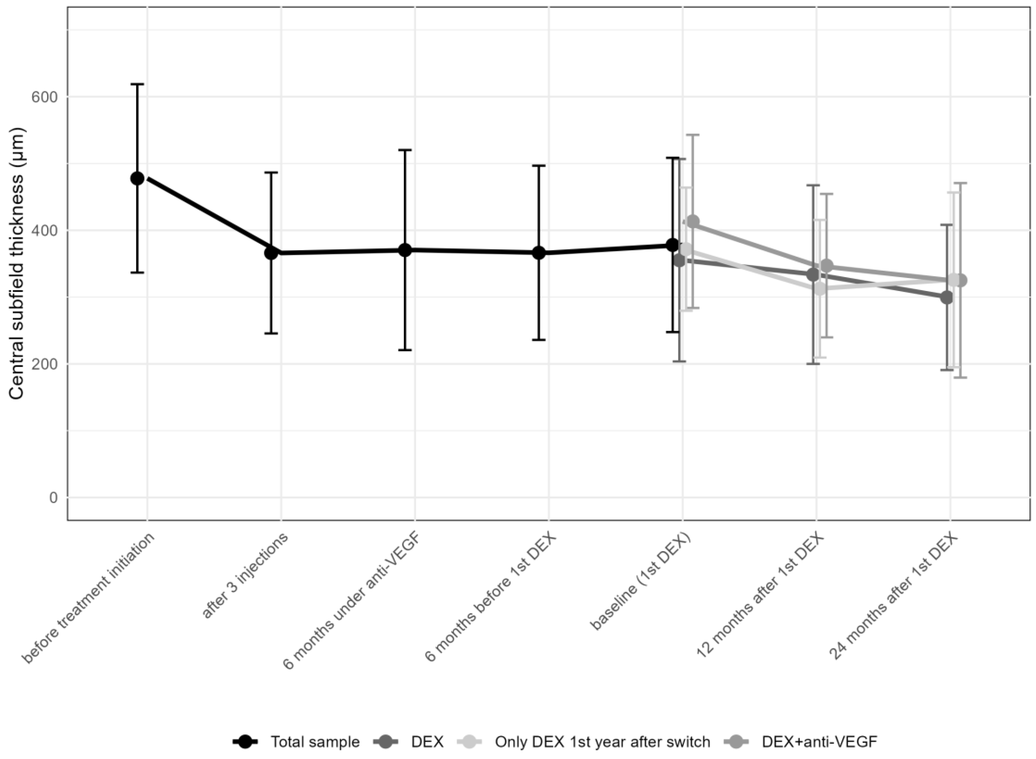
2.4. Central Subfield Thickness and Retinal Fluid
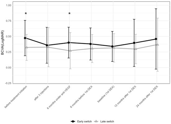
2.5. Timing of the First DEX: Early (6–26 Months) vs. Late (>26 Months)
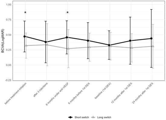
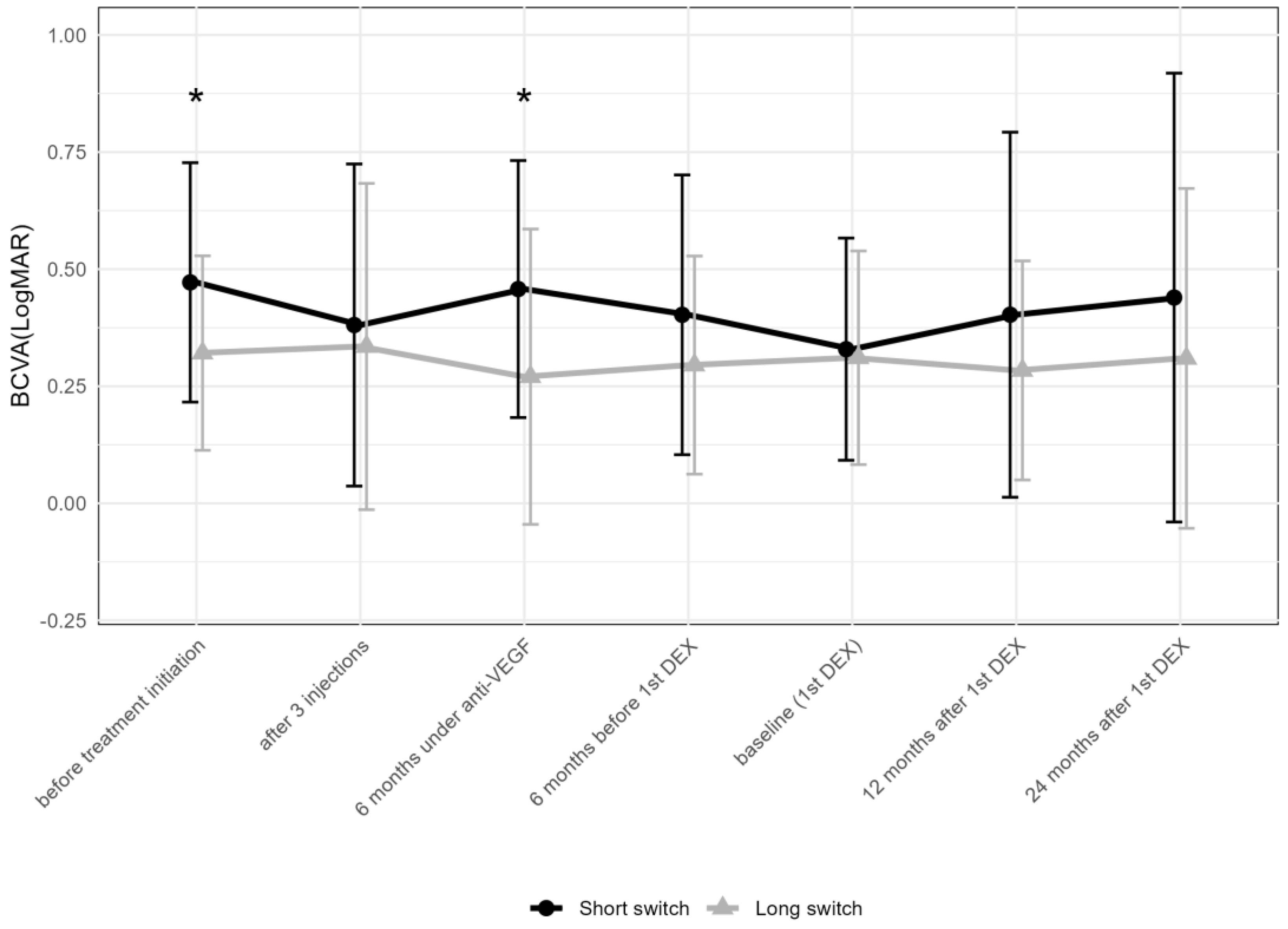
2.6. Timing of the First DEX: Short (6–12 Months) vs. Long (>36 Months)
2.7. Adverse Events
3. Discussion
3.1. Stabilization of Visual Acuity and Disease Control
3.2. Timing of the First DEX: Early Versus Late
3.3. Injection Frequency and Safety
3.4. Limitations
4. Methods
4.1. Subjects
4.2. Application of the Intravitreal Dexamethason Implant
4.3. Data Collection
4.4. Statistical Analysis
5. Conclusions
Author Contributions
Funding
Institutional Review Board Statement
Informed Consent Statement
Data Availability Statement
Acknowledgments
Conflicts of Interest
References
- Wells, J.A.; Glassman, A.R.; Ayala, A.R.; Jampol, L.M.; Aiello, L.P.; Antoszyk, A.N.; Arnold-Bush, B.; Baker, C.W.; Bressler, N.M.; Browning, D.J.; et al. Aflibercept, bevacizumab, or ranibizumab for diabetic macular edema. N. Engl. J. Med. 2015, 372, 1193–1203. [Google Scholar] [CrossRef] [PubMed]
- Das, A.; McGuire, P.G.; Rangasamy, S. Diabetic Macular Edema: Pathophysiology and Novel Therapeutic Targets. Ophthalmology 2015, 122, 1375–1394. [Google Scholar] [CrossRef]
- Daruich, A.; Matet, A.; Moulin, A.; Kowalczuk, L.; Nicolas, M.; Sellam, A.; Rothschild, P.R.; Omri, S.; Gélizé, E.; Jonet, L.; et al. Mechanisms of macular edema: Beyond the surface. Prog. Retin. Eye Res. 2018, 63, 20–68. [Google Scholar] [CrossRef] [PubMed]
- Boyer, D.S.; Yoon, Y.H.; Belfort, R.; Bandello, F., Jr.; Maturi, R.K.; Augustin, A.J.; Li, X.Y.; Cui, H.; Hashad, Y.; Whitcup, S.M. Three-year, randomized, sham-controlled trial of dexamethasone intravitreal implant in patients with diabetic macular edema. Ophthalmology 2014, 121, 1904–1914. [Google Scholar] [CrossRef]
- Pancholy, M.; Storey, P.P.; Wood, E.H.; Chaudhary, V.; Obeid, A.; Marlow, E.; Farley, N.D.; Wolfe, J.D.; Garg, S.J. Incidence and Visual Outcomes of Endophthalmitis After Intravitreal Injection of Dexamethasone Implant vs. Ranibizumab. J. Vitr. Dis. 2022, 6, 358–366. [Google Scholar] [CrossRef]
- Noma, H.; Mimura, T.; Yasuda, K.; Shimura, M. Role of inflammation in diabetic macular edema. Ophthalmologica 2014, 232, 127–135. [Google Scholar] [CrossRef] [PubMed]
- Ehlers, J.P.; Yeh, S.; Maguire, M.G.; Smith, J.R.; Mruthyunjaya, P.; Jain, N.; Kim, L.A.; Weng, C.Y.; Flaxel, C.J.; Schoenberger, S.D.; et al. Intravitreal Pharmacotherapies for Diabetic Macular Edema: A Report by the American Academy of Ophthalmology. Ophthalmology 2022, 129, 88–99. [Google Scholar] [CrossRef] [PubMed]
- Kodjikian, L.; Delcourt, C.; Creuzot-Garcher, C.; Massin, P.; Conrath, J.; Velard, M.; Lassalle, T.; Pinchinat, S.; Dupont-Benjamin, L. Prospective, Observational, Multicenter, Real-World Study of the Efficacy, Safety, and Pattern of Use of the Dexamethasone Intravitreal Implant in Diabetic Macular Edema in France: Short-Term Outcomes of LOUVRE 3. Ophthalmol. Ther. 2023, 12, 1671–1692. [Google Scholar] [CrossRef]
- Augustin, A.J.; Kuppermann, B.D.; Lanzetta, P.; Loewenstein, A.; Li, X.Y.; Cui, H.; Hashad, Y.; Whitcup, S.M. Dexamethasone intravitreal implant in previously treated patients with diabetic macular edema: Subgroup analysis of the MEAD study. BMC Ophthalmol. 2015, 15, 150. [Google Scholar] [CrossRef]
- Augustin, A.J.; Becker, M.D.; Hatz, K.; Kaymak, H.; Shirlaw, A. Assessment of Reinjection Numbers and Intervals for Diabetic Macular Edema Patients Who Received Dexamethasone Intravitreal Implants in Germany and Switzerland. Clin. Ophthalmol. 2021, 15, 3957–3967. [Google Scholar] [CrossRef]
- Zandi, S.; Lereuil, T.; Freiberg, F.; Pfau, M.; Pfister, I.B.; Gerhardt, C.; Michels, S.; Kodjikian, L.; Garweg, J.G. Long-Term Intravitreal Dexamethasone Treatment in Eyes with Pretreated Chronic Diabetic Macular Edema. J. Ocul. Pharmacol. Ther. 2017, 33, 620–628. [Google Scholar] [CrossRef] [PubMed]
- Hatz, K.; Ebneter, A.; Tuerksever, C.; Pruente, C.; Zinkernagel, M. Repeated Dexamethasone Intravitreal Implant for the Treatment of Diabetic Macular Oedema Unresponsive to Anti-VEGF Therapy: Outcome and Predictive SD-OCT Features. Ophthalmologica 2018, 239, 205–214. [Google Scholar] [CrossRef]
- Munk, M.R.; Somfai, G.M.; de Smet, M.D.; Donati, G.; Menke, M.N.; Garweg, J.G.; Ceklic, L. The Role of Intravitreal Corticosteroids in the Treatment of DME: Predictive OCT Biomarkers. Int. J. Mol. Sci. 2022, 23, 7585. [Google Scholar] [CrossRef] [PubMed]
- Garweg, J.G.; Stefanickova, J.; Hoyng, C.; Schmelter, T.; Niesen, T.; Sowade, O.; Sivaprasad, S. Vision-Related Quality of Life in Patients with Diabetic Macular Edema Treated with Intravitreal Aflibercept: The AQUA Study. Ophthalmol. Retin. 2019, 3, 567–575. [Google Scholar] [CrossRef]
- Ruiz-Moreno, J.M.; Ruiz-Medrano, J. Early-switch versus late-switch in patients with diabetic macular edema: A cost-effectiveness study. Graefe’s Arch. Clin. Exp. Ophthalmol. 2023, 261, 941–949. [Google Scholar] [CrossRef] [PubMed]
- Totan, Y.; Güler, E.; Gürağaç, F.B. Dexamethasone Intravitreal Implant for Chronic Diabetic Macular Edema Resistant to Intravitreal Bevacizumab Treatment. Curr. Eye Res. 2016, 41, 107–113. [Google Scholar] [CrossRef]
- Shah, S.U.; Harless, A.; Bleau, L.; Maturi, R.K. PROSPECTIVE RANDOMIZED SUBJECT-MASKED STUDY OF INTRAVITREAL BEVACIZUMAB MONOTHERAPY VERSUS DEXAMETHASONE IMPLANT MONOTHERAPY IN THE TREATMENT OF PERSISTENT DIABETIC MACULAR EDEMA. Retina 2016, 36, 1986–1996. [Google Scholar] [CrossRef] [PubMed]
- Kim, M.; Cho, Y.J.; Lee, C.H.; Lee, S.C. Effect of intravitreal dexamethasone implant on retinal and choroidal thickness in refractory diabetic macular oedema after multiple anti-VEGF injections. Eye 2016, 30, 718–725. [Google Scholar] [CrossRef]
- Koc, H.; Alpay, A.; Ugurbas, S.H. Comparison of the efficacy of intravitreal Anti-VEGF versus intravitreal dexamethasone implant in treatment resistant diabetic Macular Edema. BMC Ophthalmol. 2023, 23, 97. [Google Scholar] [CrossRef]
- Maturi, R.K.; Glassman, A.R.; Liu, D.; Beck, R.W.; Bhavsar, A.R.; Bressler, N.M.; Jampol, L.M.; Melia, M.; Punjabi, O.S.; Salehi-Had, H.; et al. Effect of Adding Dexamethasone to Continued Ranibizumab Treatment in Patients with Persistent Diabetic Macular Edema: A DRCR Network Phase 2 Randomized Clinical Trial. JAMA Ophthalmol. 2018, 136, 29–38. [Google Scholar] [CrossRef]
- Chi, S.C.; Kang, Y.N.; Huang, Y.M. Efficacy and safety profile of intravitreal dexamethasone implant versus antivascular endothelial growth factor treatment in diabetic macular edema: A systematic review and meta-analysis. Sci. Rep. 2023, 13, 7428. [Google Scholar] [CrossRef] [PubMed]
- Ruiz-Medrano, J.; Rodríguez-Leor, R.; Almazán, E.; Lugo, F.; Casado-Lopez, E.; Arias, L.; Ruiz-Moreno, J.M. Results of dexamethasone intravitreal implant (Ozurdex) in diabetic macular edema patients: Early versus late switch. Eur. J. Ophthalmol. 2021, 31, 1135–1145. [Google Scholar] [CrossRef] [PubMed]
- Chatziralli, I.; Theodossiadis, P.; Parikakis, E.; Dimitriou, E.; Xirou, T.; Theodossiadis, G.; Kabanarou, S. Dexamethasone Intravitreal Implant in Diabetic Macular Edema: Real-Life Data from a Prospective Study and Predictive Factors for Visual Outcome. Diabetes Ther. 2017, 8, 1393–1404. [Google Scholar] [CrossRef] [PubMed]
- Nguyen, Q.D.; Brown, D.M.; Marcus, D.M.; Boyer, D.S.; Patel, S.; Feiner, L.; Gibson, A.; Sy, J.; Rundle, A.C.; Hopkins, J.J.; et al. Ranibizumab for diabetic macular edema: Results from 2 phase III randomized trials: RISE and RIDE. Ophthalmology 2012, 119, 789–801. [Google Scholar] [CrossRef]
- Brown, D.M.; Schmidt-Erfurth, U.; Do, D.V.; Holz, F.G.; Boyer, D.S.; Midena, E.; Heier, J.S.; Terasaki, H.; Kaiser, P.K.; Marcus, D.M.; et al. Intravitreal Aflibercept for Diabetic Macular Edema: 100-Week Results From the VISTA and VIVID Studies. Ophthalmology 2015, 122, 2044–2052. [Google Scholar] [CrossRef]
- Hussain, R.M.; Ciulla, T.A. Treatment strategies for refractory diabetic macular edema: Switching anti-VEGF treatments, adopting corticosteroid-based treatments, and combination therapy. Expert Opin. Biol. Ther. 2016, 16, 365–374. [Google Scholar] [CrossRef]
- Zur, D.; Iglicki, M.; Sala-Puigdollers, A.; Chhablani, J.; Lupidi, M.; Fraser-Bell, S.; Mendes, T.S.; Chaikitmongkol, V.; Cebeci, Z.; Dollberg, D.; et al. Disorganization of retinal inner layers as a biomarker in patients with diabetic macular oedema treated with dexamethasone implant. Acta Ophthalmol. 2020, 98, e217–e223. [Google Scholar] [CrossRef]
- Wilkins, C.S.; Sobol, E.K.; Lema, G.M.; Lee, J.G.; Rosen, R.B.; Deobhakta, A. Intravitreal dexamethasone insert in diabetic macular edema super-refractory to anti-vascular endothelial growth factor therapy. Eur. J. Ophthalmol. 2022, 32, NP37–NP41. [Google Scholar] [CrossRef]
- Angermann, R.; Hofer, M.; Huber, A.L.; Rauchegger, T.; Nowosielski, Y.; Casazza, M.; Falanga, V.; Zehetner, C. The impact of compliance among patients with diabetic macular oedema treated with intravitreal aflibercept: A 48-month follow-up study. Acta Ophthalmol. 2022, 100, e546–e552. [Google Scholar] [CrossRef]
- Weiss, M.; Sim, D.A.; Herold, T.; Schumann, R.G.; Liegl, R.; Kern, C.; Kreutzer, T.; Schiefelbein, J.; Rottmann, M.; Priglinger, S.; et al. COMPLIANCE AND ADHERENCE OF PATIENTS WITH DIABETIC MACULAR EDEMA TO INTRAVITREAL ANTI-VASCULAR ENDOTHELIAL GROWTH FACTOR THERAPY IN DAILY PRACTICE. Retina 2018, 38, 2293–2300. [Google Scholar] [CrossRef]







| N | Mean ± SD (Min–Max) | IQR 25% | 75% | p-Value | |
|---|---|---|---|---|---|
| Year prior to first DEX | 95 | 6.4 ± 3.1 (0.8–12.4) | 4.1 | 9.1 | |
| After first DEX | 95 (1st year) | 1.6 ± 2.4 (0–10.0) | 0.0 | 3.0 | p < 0.001 |
| 89 (2nd year) | 2.1 ± 2.8 (0–12.0) | 0.0 | 4.0 | p < 0.001 |
| At First DEX | 12 Months after First DEX | 24 Months after First DEX | |
|---|---|---|---|
| N | 95 | 87 | 70 |
| Pearson’s Correlation | 0.08 1 | 0.14 1 | 0.11 1 |
| p-Value | 0.47 | 0.21 | 0.36 |
| N | Mean ± SD (Min–Max) | Median | IQR | p-Value * | ||
|---|---|---|---|---|---|---|
| 25% | 75% | |||||
| Prior to first anti-VEGF | 90 | 477.7 ± 141.0 (174.0–799.0) | 473.5 | 356.0 | 591.8 | |
| After 3 anti-VEGF | 78 | 366.0 ± 120.4 (144.0–775.0) | 337.5 | 272.5 | 440.3 | |
| At 1st DEX | 95 | 378.1 ± 130.4 (146.0–910.3) | 354.0 | 290.0 | 446.0 | |
| 6 months after 1st DEX | 88 | 317.8 ± 109.1 (154.0–697.0) | 291.5 | 244.3 | 350.0 | <0.001 |
| 12 months after 1st DEX | 88 | 327.3 ± 121.5 (163.0–712.0) | 299.0 | 248.0 | 381.8 | <0.001 |
| 24 months after 1st DEX | 71 | 320.4 ± 125.5 (112.0–771.0) | 282.0 | 244.0 | 363.0 | 0.006 |
| Total Sample | Multiple DEX Implants + Anti-VEGF (n = 42) | Single DEX Implant + Anti-VEGF (n = 24) | DEX Monotherapy (n = 21) | p Values * | |
|---|---|---|---|---|---|
| Prior to 1st anti-VEGF | 477.7 ± 141.0 Median 473.5 (356.0–591.8) | 482.7 ± 141.6 Median 474.0 (393.0–576.0) | 431.0 ± 144.0 Median 404.0 (305.0–522.0) | 536.0 ± 127.5 Median 537.5 (437.0–642.6) | 0.07 |
| After 3 anti-VEGF | 366.0 ± 120.4 Median 337.5 (272.5–440.3) | 384.2 ± 140.3 Median 373.0 (273.0–447.8) | 329.7 ± 86.0 Median 292.0 (262.8–408.8) | 374.0 ± 93.9 Median 359.0 (298.5–440.3) | 0.41 |
| At 1st DEX | 378.1 ± 130.4 Median 354.0 (290.0–446.0) | 379.3 ± 151.5 Median 357.0 (276.8–459.3) | 360.1 ± 92.2 Median 345.5 (292.8–427.5) | 401.0 ± 129.6 Median 362.0 (322.5–485.0) | 0.77 |
| 12 months after 1st DEX | 327.3 ± 121.5 Median 299.0 (248.0–381.8) | 327.4 ± 133.7 Median 310.0 (215.0–396.0) | 326.3 ± 103.0 Median 295.5 (262.8–353.8) | 320.5 ± 107.4 Median 304.0 (249.5–338.3) | 0.99 |
| 24 months after 1st DEX | 320.4 ± 125.5 Median 282.0 (244.0–363.0) | 292.6 ± 108.7 Median 277.0 (225.0–335.0) | 337.6 ± 130.8 Median 285.5 (260.5–371.5) | 360.0 ± 145.6 Median 324.0 (244.5–453.8) | 0.15 |
Disclaimer/Publisher’s Note: The statements, opinions and data contained in all publications are solely those of the individual author(s) and contributor(s) and not of MDPI and/or the editor(s). MDPI and/or the editor(s) disclaim responsibility for any injury to people or property resulting from any ideas, methods, instructions or products referred to in the content. |
© 2024 by the authors. Licensee MDPI, Basel, Switzerland. This article is an open access article distributed under the terms and conditions of the Creative Commons Attribution (CC BY) license (https://creativecommons.org/licenses/by/4.0/).
Share and Cite
Turgut, F.; Somfai, G.M.; Tappeiner, C.; Hatz, K.; Mantel, I.; Ambresin, A.; Donati, G.; Guignard, V.; Nagyová, D.; Pfister, I.B.; et al. Intravitreal Dexamethasone Implant in Anti-Vascular Endothelial Growth Factor Pretreated Diabetic Macular Edema—A Swiss Cohort Study. Pharmaceuticals 2024, 17, 1235. https://doi.org/10.3390/ph17091235
Turgut F, Somfai GM, Tappeiner C, Hatz K, Mantel I, Ambresin A, Donati G, Guignard V, Nagyová D, Pfister IB, et al. Intravitreal Dexamethasone Implant in Anti-Vascular Endothelial Growth Factor Pretreated Diabetic Macular Edema—A Swiss Cohort Study. Pharmaceuticals. 2024; 17(9):1235. https://doi.org/10.3390/ph17091235
Chicago/Turabian StyleTurgut, Ferhat, Gábor M. Somfai, Christoph Tappeiner, Katja Hatz, Irmela Mantel, Aude Ambresin, Guy Donati, Viviane Guignard, Dana Nagyová, Isabel B. Pfister, and et al. 2024. "Intravitreal Dexamethasone Implant in Anti-Vascular Endothelial Growth Factor Pretreated Diabetic Macular Edema—A Swiss Cohort Study" Pharmaceuticals 17, no. 9: 1235. https://doi.org/10.3390/ph17091235
APA StyleTurgut, F., Somfai, G. M., Tappeiner, C., Hatz, K., Mantel, I., Ambresin, A., Donati, G., Guignard, V., Nagyová, D., Pfister, I. B., Schild, C., & Garweg, J. G. (2024). Intravitreal Dexamethasone Implant in Anti-Vascular Endothelial Growth Factor Pretreated Diabetic Macular Edema—A Swiss Cohort Study. Pharmaceuticals, 17(9), 1235. https://doi.org/10.3390/ph17091235

