Approachable Synthetic Methodologies for Second-Generation β-Lactamase Inhibitors: A Review
Abstract
1. Introduction
2. Second-Generation β-Lactamase Inhibitors
3. 1,6-Diazabicyclo [3,2,1] Octanes
3.1. Avibactam Derivatives
3.2. IID572
3.3. 2-Sulfinyl-Diazabicyclooctane Derivatives
3.4. Triazole Derivatives
4. Boron-Based β-Lactamase Inhibitors
4.1. Vaborbactam Derivatives
4.2. 1,2,3-Triazole Derivatives
5. Metallo-β-Lactamase Inhibitors
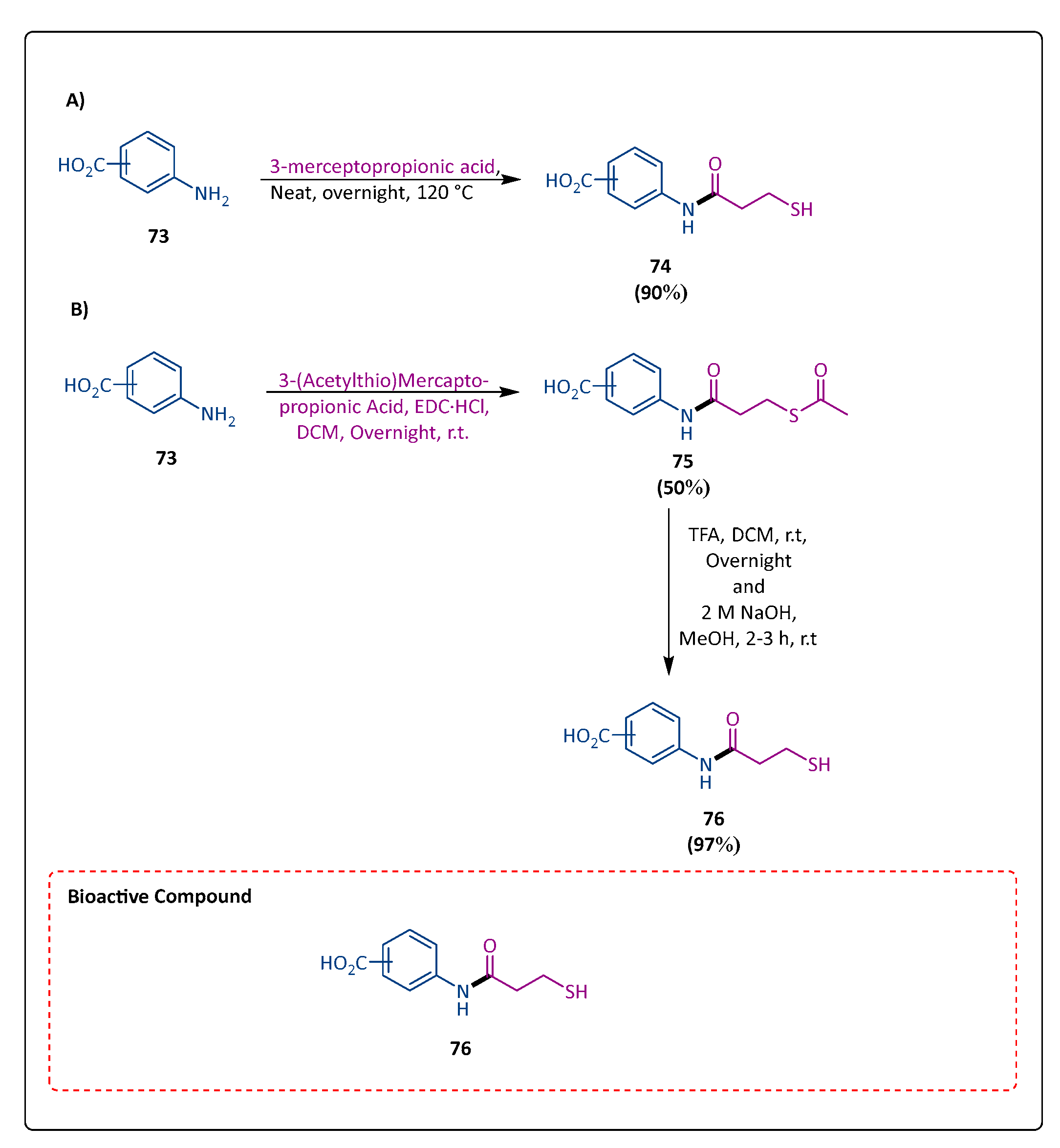
5.1. Mercapto Derivatives
5.2. Amino Carboxylic Acid Derivatives
5.3. Triazole Derivatives
5.4. ANT2681
5.5. Thiol Derivatives
5.6. Indole Carboxylate EBL-3183
5.7. Aryl Sulfonyl Hydrazone Derivatives
5.8. Triazolethioacetamide Derivatives
5.9. H2dedpa Derivatives
5.10. Rhodanine Derivatives
5.11. Isatin-β-Thiosemicarbazone Derivatives
5.12. Zndm19
5.13. Sulfahydantoin Derivatives
5.14. α-Aminophosphonate Derivatives
5.15. 8-Thioquinoline Conjugates
5.16. Dipicolinic Acid Isosteres
5.17. 1,2-Benzisothiazol-3(2H)-one Derivatives
5.18. N-Sulfamoylpyrrole-2-Carboxylates
5.19. 1H-Imidazole-2-Carboxylic Acid
5.20. Pyridine Derivatives
5.21. Metal Chelators
5.22. Phosphonamidate Monoesters
5.23. New Thiazole Thioacetamide Derivatives
6. Dual Nature of β-Lactamase Inhibitors
6.1. 4-Amino-1,2,4-Triazole-3-Thione Derivatives
6.2. Thioether-Substituted Bicyclic Boronate
6.3. VNRX-5133
6.4. 3-Aryl-Substituted Benzoxazole Derivatives
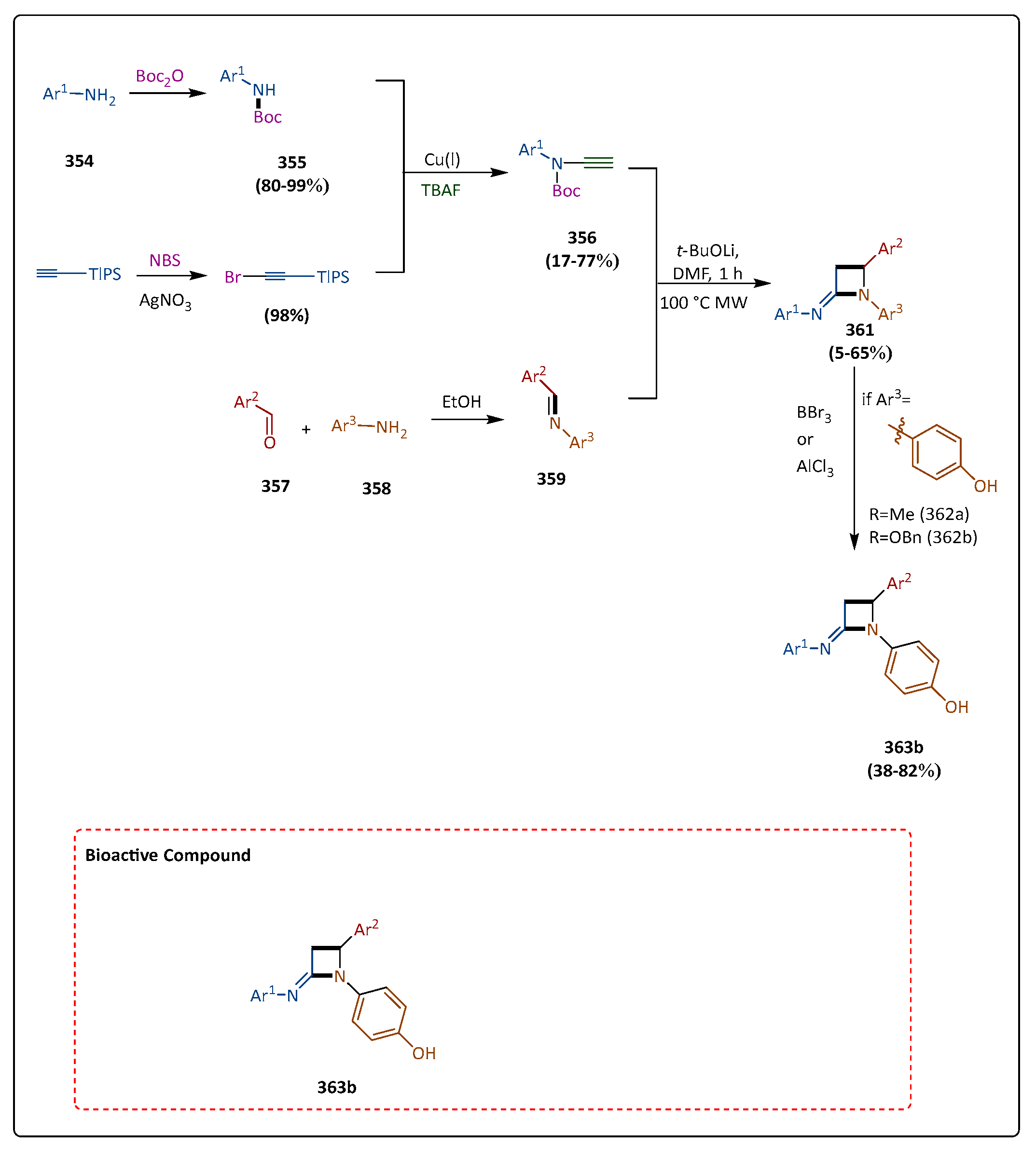
6.5. Azetidinimine Derivatives
6.6. QPX7728
7. Summary
8. Conclusions
9. Future Perspectives
Author Contributions
Funding
Acknowledgments
Conflicts of Interest
Abbreviations
References
- Ventola, C.L. The antibiotic resistance crisis: Part 1: Causes and threats. Pharm. Ther. 2015, 40, 277. [Google Scholar]
- Gavara, L.; Legru, A.; Verdirosa, F.; Sevaille, L.; Nauton, L.; Corsica, G.; Mercuri, P.S.; Sannio, F.; Feller, G.; Coulon, R. 4-Alkyl-1, 2, 4-triazole-3-thione analogues as metallo-β-lactamase inhibitors. Bioorganic Chem. 2021, 113, 105024. [Google Scholar] [CrossRef] [PubMed]
- Klein, E.Y.; Van Boeckel, T.P.; Martinez, E.M.; Pant, S.; Gandra, S.; Levin, S.A.; Goossens, H.; Laxminarayan, R. Global increase and geographic convergence in antibiotic consumption between 2000 and 2015. Proc. Natl. Acad. Sci. USA 2018, 115, E3463–E3470. [Google Scholar] [CrossRef]
- Bush, K.; Bradford, P.A. Interplay between β-lactamases and new β-lactamase inhibitors. Nat. Rev. Microbiol. 2019, 17, 295–306. [Google Scholar] [CrossRef] [PubMed]
- Sauvage, E.; Kerff, F.; Terrak, M.; Ayala, J.A.; Charlier, P. The penicillin-binding proteins: Structure and role in peptidoglycan biosynthesis. FEMS Microbiol. Rev. 2008, 32, 234–258. [Google Scholar] [CrossRef]
- Levy, N.; Bruneau, J.-M.; Le Rouzic, E.; Bonnard, D.; Le Strat, F.; Caravano, A.; Chevreuil, F.; Barbion, J.; Chasset, S.; Ledoussal, B. Structural basis for E. coli penicillin binding protein (PBP) 2 inhibition, a platform for drug design. J. Med. Chem. 2019, 62, 4742–4754. [Google Scholar] [CrossRef]
- Fisher, J.F.; Meroueh, S.O.; Mobashery, S. Bacterial resistance to β-lactam antibiotics: Compelling opportunism, compelling opportunity. Chem. Rev. 2005, 105, 395–424. [Google Scholar] [CrossRef]
- Wilke, M.S.; Lovering, A.L.; Strynadka, N.C. β-Lactam antibiotic resistance: A current structural perspective. Curr. Opin. Microbiol. 2005, 8, 525–533. [Google Scholar] [CrossRef]
- Tooke, C.L.; Hinchliffe, P.; Bragginton, E.C.; Colenso, C.K.; Hirvonen, V.H.; Takebayashi, Y.; Spencer, J. β-Lactamases and β-Lactamase Inhibitors in the 21st Century. J. Mol. Biol. 2019, 431, 3472–3500. [Google Scholar] [CrossRef]
- Bush, K. Past and present perspectives on β-lactamases. Antimicrob. Agents Chemother. 2018, 62. [Google Scholar] [CrossRef]
- Palzkill, T. Metallo-β-lactamase structure and function. Ann. New York Acad. Sci. 2013, 1277, 91–104. [Google Scholar] [CrossRef] [PubMed]
- Gajamer, V.R.; Bhattacharjee, A.; Paul, D.; Deshamukhya, C.; Singh, A.K.; Pradhan, N.; Tiwari, H.K. Escherichia coli encoding blaNDM-5 associated with community-acquired urinary tract infections with unusual MIC creep-like phenomenon against imipenem. J. Glob. Antimicrob. Resist. 2018, 14, 228–232. [Google Scholar] [CrossRef]
- Boyd, S.E.; Livermore, D.M.; Hooper, D.C.; Hope, W.W. Metallo-β-lactamases: Structure, function, epidemiology, treatment options, and the development pipeline. Antimicrob. Agents Chemother. 2020, 64, 1110–1128. [Google Scholar] [CrossRef] [PubMed]
- De Koning, G.; Tio, D.; Coster, J.; Coutinho, R.; Ansink-Schipper, M. The combination of clavulanic acid and amoxycillin (Augmentin) in the treatment of patients infected with penicillinase producing gonococci. J. Antimicrob. Chemother. 1981, 8, 81–82. [Google Scholar] [CrossRef]
- Ehmann, D.E.; Jahić, H.; Ross, P.L.; Gu, R.-F.; Hu, J.; Durand-Réville, T.F.; Lahiri, S.; Thresher, J.; Livchak, S.; Gao, N. Kinetics of avibactam inhibition against class A, C, and D β-lactamases. J. Biol. Chem. 2013, 288, 27960–27971. [Google Scholar] [CrossRef] [PubMed]
- Davies, D.T.; Leiris, S.; Zalacain, M.; Sprynski, N.; Castandet, J.; Bousquet, J.; Lozano, C.; Llanos, A.; Alibaud, L.; Vasa, S. Discovery of ANT3310, a novel broad-spectrum serine β-lactamase inhibitor of the diazabicyclooctane class, which strongly potentiates meropenem activity against carbapenem-resistant enterobacterales and Acinetobacter baumannii. J. Med. Chem. 2020, 63, 15802–15820. [Google Scholar] [CrossRef]
- Gonzalez-Bello, C.; Rodríguez, D.; Pernas, M.; Rodriguez, A.; Colchon, E. β-Lactamase inhibitors to restore the efficacy of antibiotics against superbugs. J. Med. Chem. 2019, 63, 1859–1881. [Google Scholar] [CrossRef]
- Vázquez-Ucha, J.C.; Arca-Suárez, J.; Bou, G.; Beceiro, A. New carbapenemase inhibitors: Clearing the way for the β-lactams. Int. J. Mol. Sci. 2020, 21, 9308. [Google Scholar] [CrossRef]
- Docquier, J.-D.; Mangani, S. An update on β-lactamase inhibitor discovery and development. Drug Resist. Updates 2018, 36, 13–29. [Google Scholar] [CrossRef]
- Palacios, A.R.; Rossi, M.-A.; Mahler, G.S.; Vila, A.J. Metallo-β-lactamase inhibitors inspired on snapshots from the catalytic mechanism. Biomolecules 2020, 10, 854. [Google Scholar] [CrossRef]
- Krajnc, A.; Brem, J.R.; Hinchliffe, P.; Calvopiña, K.; Panduwawala, T.D.; Lang, P.A.; Kamps, J.J.; Tyrrell, J.M.; Widlake, E.; Saward, B.G. Bicyclic boronate VNRX-5133 inhibits metallo-and serine-β-lactamases. J. Med. Chem. 2019, 62, 8544–8556. [Google Scholar] [CrossRef]
- Liu, B.; Trout, R.E.L.; Chu, G.-H.; McGarry, D.; Jackson, R.W.; Hamrick, J.C.; Daigle, D.M.; Cusick, S.M.; Pozzi, C.; De Luca, F. Discovery of taniborbactam (VNRX-5133): A broad-spectrum serine-and metallo-β-lactamase inhibitor for carbapenem-resistant bacterial infections. J. Med. Chem. 2020, 63, 2789–2801. [Google Scholar] [CrossRef]
- Everett, M.; Sprynski, N.; Coelho, A.; Castandet, J.; Bayet, M.; Bougnon, J.; Lozano, C.; Davies, D.T.; Leiris, S.; Zalacain, M. Discovery of a novel metallo-β-lactamase inhibitor that potentiates meropenem activity against carbapenem-resistant Enterobacteriaceae. Antimicrob. Agents Chemother. 2018, 62, 1110–1128. [Google Scholar] [CrossRef] [PubMed]
- Leiris, S.; Coelho, A.; Castandet, J.; Bayet, M.; Lozano, C.; Bougnon, J.; Bousquet, J.; Everett, M.; Lemonnier, M.; Sprynski, N. SAR studies leading to the identification of a novel series of metallo-β-lactamase inhibitors for the treatment of carbapenem-resistant Enterobacteriaceae infections that display efficacy in an animal infection model. ACS Infect. Dis. 2018, 5, 131–140. [Google Scholar] [CrossRef] [PubMed]
- Reddy, N.; Shungube, M.; Arvidsson, P.I.; Baijnath, S.; Kruger, H.G.; Govender, T.; Naicker, T. A 2018–2019 patent review of metallo beta-lactamase inhibitors. Expert Opin. Ther. Pat. 2020, 30, 541–555. [Google Scholar] [CrossRef] [PubMed]
- McGeary, R.P.; Tan, D.T.; Schenk, G. Progress toward inhibitors of metallo-β-lactamases. Future Med. Chem. 2017, 9, 673–691. [Google Scholar] [CrossRef] [PubMed]
- Chen, A.Y.; Adamek, R.N.; Dick, B.L.; Credille, C.V.; Morrison, C.N.; Cohen, S.M. Targeting metalloenzymes for therapeutic intervention. Chem. Rev. 2018, 119, 1323–1455. [Google Scholar] [CrossRef]
- Papp-Wallace, K.M.; Mack, A.R.; Taracila, M.A.; Bonomo, R.A. Resistance to novel β-lactam–β-lactamase inhibitor combinations: The “price of progress”. Infect. Dis. Clin. 2020, 34, 773–819. [Google Scholar]
- Qin, W.; Panunzio, M.; Biondi, S. β-Lactam antibiotics renaissance. Antibiotics 2014, 3, 193–215. [Google Scholar] [CrossRef]
- Poole, K. Resistance to β-lactam antibiotics. Cell. Mol. Life Sci. CMLS 2004, 61, 2200–2223. [Google Scholar] [CrossRef]
- Holten, K.B.; Onusko, E.M. Appropriate prescribing of oral beta-lactam antibiotics. Am. Fam. Physician 2000, 62, 611–620. [Google Scholar] [PubMed]
- Blazquez, J.; Baquero, M.-R.; Canton, R.; Alos, I.; Baquero, F. Characterization of a new TEM-type beta-lactamase resistant to clavulanate, sulbactam, and tazobactam in a clinical isolate of Escherichia coli. Antimicrob. Agents Chemother. 1993, 37, 2059–2063. [Google Scholar] [CrossRef] [PubMed]
- Papp-Wallace, K.M.; Bonomo, R.A. New β-lactamase inhibitors in the clinic. Infect. Dis. Clin. 2016, 30, 441–464. [Google Scholar] [CrossRef] [PubMed]
- Shlaes, D.M. New β-lactam–β-lactamase inhibitor combinations in clinical development. Ann. N. Y. Acad. Sci. 2013, 1277, 105–114. [Google Scholar] [CrossRef]
- Bush, K.; Bradford, P.A. β-Lactams and β-lactamase inhibitors: An overview. Cold Spring Harb. Perspect. Med. 2016, 6, a025247. [Google Scholar] [CrossRef]
- Paterson, D.L.; Bonomo, R.A. Extended-spectrum β-lactamases: A clinical update. Clin. Microbiol. Rev. 2005, 18, 657–686. [Google Scholar] [CrossRef]
- Papp-Wallace, K.M.; Nguyen, N.Q.; Jacobs, M.R.; Bethel, C.R.; Barnes, M.D.; Kumar, V.; Bajaksouzian, S.; Rudin, S.D.; Rather, P.N.; Bhavsar, S. Strategic approaches to overcome resistance against Gram-negative pathogens using β-lactamase inhibitors and β-lactam enhancers: Activity of three novel diazabicyclooctanes WCK 5153, zidebactam (WCK 5107), and WCK 4234. J. Med. Chem. 2018, 61, 4067–4086. [Google Scholar] [CrossRef]
- Tamboli, Y.; Kilbile, J.T.; Merwade, A.Y. Large-Scale Amide Coupling in Aqueous Media: Process for the Production of Diazabicyclooctane β-Lactamase Inhibitors. Org. Process Res. Dev. 2023, 27, 120–128. [Google Scholar] [CrossRef]
- Ji, J.; Zhai, L.; Sun, J.; He, L.; Ji, J.; Ma, X.; Liu, Y.; Tang, D.; Mu, Y.; Gao, Y. Sulfonylamidine-substituted derivatives of avibactam: Synthesis and antibacterial activity. J. Heterocycl. Chem. 2021, 58, 2390–2394. [Google Scholar] [CrossRef]
- Shirley, M. Ceftazidime-avibactam: A review in the treatment of serious gram-negative bacterial infections. Drugs 2018, 78, 675–692. [Google Scholar] [CrossRef]
- Fujiu, M.; Yokoo, K.; Aoki, T.; Shibuya, S.; Sato, J.; Komano, K.; Kusano, H.; Sato, S.; Ogawa, M.; Yamawaki, K. Synthesis of 2-Thio-Substituted 1, 6-Diazabicyclo [3.2. 1] octane Derivatives, Potent β-Lactamase Inhibitors. J. Org. Chem. 2020, 85, 9650–9660. [Google Scholar] [CrossRef] [PubMed]
- Iqbal, Z.; Zhai, L.; Gao, Y.; Tang, D.; Ma, X.; Ji, J.; Sun, J.; Ji, J.; Liu, Y.; Jiang, R. β-Lactamase inhibition profile of new amidine-substituted diazabicyclooctanes. Beilstein J. Org. Chem. 2021, 17, 711–718. [Google Scholar] [CrossRef] [PubMed]
- Sun, J.; He, L.; Gao, Y.; Zhai, L.; Ji, J.; Liu, Y.; Ji, J.; Ma, X.; Mu, Y.; Tang, D. Synthesis of substituted-amidine derivatives of avibactam and synergistic antibacterial activity with meropenem. Mendeleev Commun. 2021, 31, 498–500. [Google Scholar] [CrossRef]
- Coleman, K. Diazabicyclooctanes (DBOs): A potent new class of non-β-lactam β-lactamase inhibitors. Curr. Opin. Microbiol. 2011, 14, 550–555. [Google Scholar] [CrossRef] [PubMed]
- Gao, Y.; Liu, Y.; Iqbal, Z.; Sun, J.; Ji, J.; Zhai, L.; Tang, D.; Ji, J.; He, L.; Mu, Y. Amidine Derivatives of Avibactam: Synthesis and In Vitro β-Lactamase Inhibition Activity. ChemistrySelect 2021, 6, 1174–1178. [Google Scholar] [CrossRef]
- Nichols, W.W.; Newell, P.; Critchley, I.A.; Riccobene, T.; Das, S. Avibactam pharmacokinetic/pharmacodynamic targets. Antimicrob. Agents Chemother. 2018, 62, 1110–1128. [Google Scholar] [CrossRef]
- van Duin, D.; Bonomo, R.A. Ceftazidime/avibactam and ceftolozane/tazobactam: Second-generation β-lactam/β-lactamase inhibitor combinations. Clin. Infect. Dis. 2016, 63, 234–241. [Google Scholar] [CrossRef]
- Rodriguez, B.A.; Girotto, J.E.; Nicolau, D.P. Ceftazidime/avibactam and ceftolozane/tazobactam: Novel therapy for multidrug resistant gram negative infections in children. Curr. Pediatr. Rev. 2018, 14, 97–109. [Google Scholar] [CrossRef]
- Gray, D.A.; Wenzel, M. Multitarget approaches against multiresistant superbugs. ACS Infect. Dis. 2020, 6, 1346–1365. [Google Scholar] [CrossRef]
- Vena, A.; Castaldo, N.; Bassetti, M. The role of new β-lactamase inhibitors in gram-negative infections. Curr. Opin. Infect. Dis. 2019, 32, 638–646. [Google Scholar] [CrossRef]
- Zhai, L.; Sun, J.; Ji, J.; He, L.; Gao, Y.; Ji, J.; Liu, Y.; Mu, Y.; Ma, X.; Tang, D. Synthesis and β-lactamase inhibition activity of imidates of diazabicyclooctane. Russ. J. Bioorganic Chem. 2022, 48, 1059–1067. [Google Scholar] [CrossRef]
- Ehmann, D.E.; Jahić, H.; Ross, P.L.; Gu, R.-F.; Hu, J.; Kern, G.; Walkup, G.K.; Fisher, S.L. Avibactam is a covalent, reversible, non–β-lactam β-lactamase inhibitor. Proc. Natl. Acad. Sci. USA 2012, 109, 11663–11668. [Google Scholar] [CrossRef] [PubMed]
- Wang, D.Y.; Abboud, M.I.; Markoulides, M.S.; Brem, J.; Schofield, C.J. The road to avibactam: The first clinically useful non-β-lactam working somewhat like a β-lactam. Future Med. Chem. 2016, 8, 1063–1084. [Google Scholar] [CrossRef]
- Bush, K. A resurgence of β-lactamase inhibitor combinations effective against multidrug-resistant Gram-negative pathogens. Int. J. Antimicrob. Agents 2015, 46, 483–493. [Google Scholar] [CrossRef]
- Drawz, S.M.; Bonomo, R.A. Three decades of β-lactamase inhibitors. Clin. Microbiol. Rev. 2010, 23, 160–201. [Google Scholar] [CrossRef]
- Bouchet, F.; Atze, H.; Arthur, M.; Ethève-Quelquejeu, M.; Iannazzo, L. Traceless Staudinger Ligation To Introduce Chemical Diversity on β-Lactamase Inhibitors of Second Generation. Org. Lett. 2021, 23, 7755–7758. [Google Scholar] [CrossRef] [PubMed]
- Reck, F.; Bermingham, A.; Blais, J.; Casarez, A.; Colvin, R.; Dean, C.R.; Furegati, M.; Gamboa, L.; Growcott, E.; Li, C. IID572: A new potentially best-in-class β-lactamase inhibitor. ACS Infect. Dis. 2019, 5, 1045–1051. [Google Scholar] [CrossRef]
- Ball, M.; Boyd, A.; Ensor, G.J.; Evans, M.; Golden, M.; Linke, S.R.; Milne, D.; Murphy, R.; Telford, A.; Kalyan, Y. Development of a manufacturing route to avibactam, a β-lactamase inhibitor. Org. Process Res. Dev. 2016, 20, 1799–1805. [Google Scholar] [CrossRef]
- Chu, L.; Ohta, C.; Zuo, Z.; MacMillan, D.W. Carboxylic acids as a traceless activation group for conjugate additions: A three-step synthesis of (±)-pregabalin. J. Am. Chem. Soc. 2014, 136, 10886–10889. [Google Scholar] [CrossRef]
- Furegati, M.; Nocito, S.; Reck, F.; Casarez, A.; Simmons, R.; Schuetz, H.; Koch, G. Scale-Up Synthesis of IID572: A New β-Lactamase Inhibitor. Org. Process Res. Dev. 2020, 24, 1244–1253. [Google Scholar] [CrossRef]
- Yin, J.; Weisel, M.; Ji, Y.; Liu, Z.; Liu, J.; Wallace, D.J.; Xu, F.; Sherry, B.D.; Yasuda, N. Improved preparation of a key hydroxylamine intermediate for relebactam: Rate enhancement of benzyl ether hydrogenolysis with dabco. Org. Process Res. Dev. 2018, 22, 273–277. [Google Scholar] [CrossRef]
- Durand-Réville, T.; Comita-Prevoir, J.; Zhang, J.; Wu, X.; May-Dracka, T.; Romero, J.; Wu, F.; Chen, A.; Shapiro, A.; Carter, N.; et al. Discovery of an orally available diazabicyclooctane inhibitor (ETX0282) of class A, C and D serine βlactamases. J. Med. Chem. 2020, 63, 12511–12525. [Google Scholar] [CrossRef] [PubMed]
- Boussac, H.; Crassous, J.; Dutasta, J.-P.; Grosvalet, L.; Thozet, A. Resolution and absolute configuration of bromofluoroacetic acid. Tetrahedron Asymmetry 2002, 13, 975–981. [Google Scholar] [CrossRef]
- Fujiu, M.; Yokoo, K.; Sato, J.; Shibuya, S.; Komano, K.; Kusano, H.; Sato, S.; Aoki, T.; Kohira, N.; Kanazawa, S. Discovery of 2-sulfinyl-diazabicyclooctane derivatives, potential oral β-lactamase inhibitors for infections caused by serine β-lactamase-producing Enterobacterales. J. Med. Chem. 2021, 64, 9496–9512. [Google Scholar] [CrossRef]
- Bouchet, F.; Atze, H.; Fonvielle, M.; Edoo, Z.; Arthur, M.; Ethève-Quelquejeu, M.; Iannazzo, L. Diazabicyclooctane Functionalization for Inhibition of β-Lactamases from Enterobacteria. J. Med. Chem. 2020, 63, 5257–5273. [Google Scholar] [CrossRef]
- Smoum, R.; Rubinstein, A.; Dembitsky, V.M.; Srebnik, M. Boron containing compounds as protease inhibitors. Chem. Rev. 2012, 112, 4156–4220. [Google Scholar] [CrossRef]
- Zhou, J.; Stapleton, P.; Haider, S.; Healy, J. Boronic acid inhibitors of the class A β-lactamase KPC-2. Bioorganic Med. Chem. 2018, 26, 2921–2927. [Google Scholar] [CrossRef] [PubMed]
- Hecker, S.J.; Reddy, K.R.; Totrov, M.; Hirst, G.C.; Lomovskaya, O.; Griffith, D.C.; King, P.; Tsivkovski, R.; Sun, D.; Sabet, M. Discovery of a cyclic boronic acid β-lactamase inhibitor (RPX7009) with utility vs class A serine carbapenemases. Med. Chem. 2015, 58, 3682–3692. [Google Scholar] [CrossRef] [PubMed]
- Hamrick, J.C.; Docquier, J.-D.; Uehara, T.; Myers, C.L.; Six, D.A.; Chatwin, C.L.; John, K.J.; Vernacchio, S.F.; Cusick, S.M.; Trout, R.E. VNRX-5133 (taniborbactam), a broad-spectrum inhibitor of serine-and metallo-β-lactamases, restores activity of cefepime in Enterobacterales and Pseudomonas aeruginosa. Antimicrob. Agents Chemother. 2020, 64, 1110–1128. [Google Scholar] [CrossRef]
- Hecker, S.J.; Reddy, K.R.; Lomovskaya, O.; Griffith, D.C.; Rubio-Aparicio, D.; Nelson, K.; Tsivkovski, R.; Sun, D.; Sabet, M.; Tarazi, Z. Discovery of cyclic boronic acid QPX7728, an ultrabroad-spectrum inhibitor of serine and metallo-β-lactamases. J. Med. Chem. 2020, 63, 7491–7507. [Google Scholar] [CrossRef]
- Trout, R.E.; Zulli, A.; Mesaros, E.; Jackson, R.W.; Boyd, S.; Liu, B.; Hamrick, J.; Daigle, D.; Chatwin, C.L.; John, K. Discovery of VNRX-7145 (VNRX-5236 etzadroxil): An orally bioavailable β-lactamase inhibitor for Enterobacterales expressing Ambler class A, C, and D enzymes. J. Med. Chem. 2021, 64, 10155–10166. [Google Scholar] [CrossRef] [PubMed]
- Schillaci, D.; Spanò, V.; Parrino, B.; Carbone, A.; Montalbano, A.; Barraja, P.; Diana, P.; Cirrincione, G.; Cascioferro, S. Pharmaceutical approaches to target antibiotic resistance mechanisms. J. Med. Chem. 2017, 60, 8268–8297. [Google Scholar] [CrossRef]
- Molander, G.A.; Cavalcanti, L.N.; Canturk, B.; Pan, P.-S.; Kennedy, L.E. Efficient hydrolysis of organotrifluoroborates via silica gel and water. J. Org. Chem. 2009, 74, 7364–7369. [Google Scholar] [CrossRef]
- Kabalka, G.W.; Coltuclu, V. Thermal and microwave hydrolysis of organotrifluoroborates mediated by alumina. Tetrahedron Lett. 2009, 50, 6271–6272. [Google Scholar] [CrossRef]
- Yuen, A.K.; Hutton, C.A. Deprotection of pinacolyl boronate esters via hydrolysis of intermediate potassium trifluoroborates. Tetrahedron Lett. 2005, 46, 7899–7903. [Google Scholar] [CrossRef]
- Caselli, E.; Romagnoli, C.; Vahabi, R.; Taracila, M.A.; Bonomo, R.A.; Prati, F. Click chemistry in lead optimization of boronic acids as β-lactamase inhibitors. J. Med. Chem. 2015, 58, 5445–5458. [Google Scholar] [CrossRef]
- Romagnoli, C.; Caselli, E.; Prati, F. Synthesis of [(1, 2, 3-Triazol-1-yl) methyl] boronic Acids Through Click Chemistry: Easy Access to a Potential Scaffold for Protease Inhibitors. Eur. J. Org. Chem. 2015, 2015, 1075–1083. [Google Scholar] [CrossRef]
- Caselli, E.; Fini, F.; Introvigne, M.L.; Stucchi, M.; Taracila, M.A.; Fish, E.R.; Smolen, K.A.; Rather, P.N.; Powers, R.A.; Wallar, B.J. 1, 2, 3-Triazolylmethaneboronate: A structure activity relationship study of a class of β-lactamase inhibitors against Acinetobacter baumannii cephalosporinase. ACS Infect. Dis. 2020, 6, 1965–1975. [Google Scholar] [CrossRef]
- Muhammad, Z.; Skagseth, S.; Boomgaren, M.; Akhter, S.; Fröhlich, C.; Ismael, A.; Christopeit, T.; Bayer, A.; Leiros, H.-K.S. Structural studies of triazole inhibitors with promising inhibitor effects against antibiotic resistance metallo-β-lactamases. Bioorganic Med. Chem. 2020, 28, 115598. [Google Scholar] [CrossRef]
- Spyrakis, F.; Celenza, G.; Marcoccia, F.; Santucci, M.; Cross, S.; Bellio, P.; Cendron, L.; Perilli, M.; Tondi, D. Structure-based virtual screening for the discovery of novel inhibitors of New Delhi metallo-β-lactamase-1. ACS Med. Chem. Lett. 2018, 9, 45–50. [Google Scholar] [CrossRef]
- Liu, S.; Jing, L.; Yu, Z.-J.; Wu, C.; Zheng, Y.; Zhang, E.; Chen, Q.; Yu, Y.; Guo, L.; Wu, Y. ((S)-3-Mercapto-2-methylpropanamido) acetic acid derivatives as metallo-β-lactamase inhibitors: Synthesis, kinetic and crystallographic studies. Eur. J. Med. Chem. 2018, 145, 649–660. [Google Scholar] [CrossRef]
- Kaya, C.; Konstantinović, J.; Kany, A.M.; Andreas, A.; Kramer, J.S.; Brunst, S.; Weizel, L.; Rotter, M.J.; Frank, D.; Yahiaoui, S. N-Aryl mercaptopropionamides as broad-spectrum inhibitors of metallo-β-lactamases. J. Med. Chem. 2022, 65, 3913–3922. [Google Scholar] [CrossRef]
- Nordmann, P.; Poirel, L.; Toleman, M.A.; Walsh, T.R. Does broad-spectrum β-lactam resistance due to NDM-1 herald the end of the antibiotic era for treatment of infections caused by Gram-negative bacteria? J. Antimicrob. Chemother. 2011, 66, 689–692. [Google Scholar] [CrossRef] [PubMed]
- Dong, C.; Zhang, L.; Xue, X.; Li, H.; Yu, Z.; Tang, W.; Xu, L. Pd-catalyzed ligand-free Suzuki reaction of β-substituted allylic halides with arylboronic acids in water. RSC Adv. 2014, 4, 11152–11158. [Google Scholar] [CrossRef]
- Meng, Z.; Tang, M.-L.; Yu, L.; Liang, Y.; Han, J.; Zhang, C.; Hu, F.; Yu, J.-M.; Sun, X. Novel mercapto propionamide derivatives with potent new delhi metallo-β-lactamase-1 inhibitory activity and low toxicity. ACS Infect. Dis. 2019, 5, 903–916. [Google Scholar] [CrossRef]
- Wang, L.; Wu, W.; Chen, Q.; He, M. Rhodium-catalyzed olefination of aryl tetrazoles via direct C–H bond activation. Org. Biomol. Chem. 2014, 12, 7923–7926. [Google Scholar] [CrossRef]
- Chang, C.-S.; Lin, Y.-T.; Shih, S.-R.; Lee, C.-C.; Lee, Y.-C.; Tai, C.-L.; Tseng, S.-N.; Chern, J.-H. Design, synthesis, and antipicornavirus activity of 1-[5-(4-arylphenoxy) alkyl]-3-pyridin-4-ylimidazolidin-2-one derivatives. J. Med. Chem. 2005, 48, 3522–3535. [Google Scholar] [CrossRef]
- Chen, J.; Huang, T.; Gong, X.; Yu, Z.J.; Shi, Y.; Yan, Y.H.; Zheng, Y.; Liu, X.; Li, G.B.; Wu, Y. Ruthenium-Catalyzed meta-Selective C− H Nitration of Biologically Important Aryltetrazoles. Adv. Synth. Catal. 2020, 362, 2984–2989. [Google Scholar] [CrossRef]
- Yan, Y.-H.; Chen, J.; Zhan, Z.; Yu, Z.-J.; Li, G.; Guo, L.; Li, G.-B.; Wu, Y.; Zheng, Y. Discovery of mercaptopropanamide-substituted aryl tetrazoles as new broad-spectrum metallo-β-lactamase inhibitors. RSC Adv. 2020, 10, 31377–31384. [Google Scholar] [CrossRef]
- Tehrani, K.H.; Fu, H.; Brüchle, N.C.; Mashayekhi, V.; Luján, A.P.; van Haren, M.J.; Poelarends, G.J.; Martin, N.I. Aminocarboxylic acids related to aspergillomarasmine A (AMA) and ethylenediamine-N, N′-disuccinic acid (EDDS) are strong zinc-binders and inhibitors of the metallo-beta-lactamase NDM-1. Chem. Commun. 2020, 56, 3047–3049. [Google Scholar] [CrossRef]
- Deprez-Poulain, R.F.; Charton, J.; Leroux, V.; Deprez, B.P. Convenient synthesis of 4H-1, 2, 4-triazole-3-thiols using di-2-pyridylthionocarbonate. Tetrahedron Lett. 2007, 48, 8157–8162. [Google Scholar] [CrossRef]
- Legru, A.; Verdirosa, F.; Hernandez, J.-F.; Tassone, G.; Sannio, F.; Benvenuti, M.; Conde, P.-A.; Bossis, G.; Thomas, C.A.; Crowder, M.W. 1, 2, 4-Triazole-3-thione compounds with a 4-ethyl alkyl/aryl sulfide substituent are broad-spectrum metallo-β-lactamase inhibitors with re-sensitization activity. Eur. J. Med. Chem. 2021, 226, 113873. [Google Scholar] [CrossRef] [PubMed]
- Vella, P.; Hussein, W.M.; Leung, E.W.; Clayton, D.; Ollis, D.L.; Mitić, N.; Schenk, G.; McGeary, R.P. The identification of new metallo-β-lactamase inhibitor leads from fragment-based screening. Bioorganic Med. Chem. Lett. 2011, 21, 3282–3285. [Google Scholar] [CrossRef]
- Christopeit, T.; Carlsen, T.J.O.; Helland, R.; Leiros, H.-K.S. Discovery of novel inhibitor scaffolds against the metallo-β-lactamase VIM-2 by surface plasmon resonance (SPR) based fragment screening. J. Med. Chem. 2015, 58, 8671–8682. [Google Scholar] [CrossRef]
- Gavara, L.; Sevaille, L.; De Luca, F.; Mercuri, P.; Bebrone, C.; Feller, G.; Legru, A.; Cerboni, G.; Tanfoni, S.; Baud, D. 4-Amino-1, 2, 4-triazole-3-thione-derived Schiff bases as metallo-β-lactamase inhibitors. Eur. J. Med. Chem. 2020, 208, 112720. [Google Scholar] [CrossRef]
- Spyrakis, F.; Santucci, M.; Maso, L.; Cross, S.; Gianquinto, E.; Sannio, F.; Verdirosa, F.; De Luca, F.; Docquier, J.-D.; Cendron, L. Virtual screening identifies broad-spectrum β-lactamase inhibitors with activity on clinically relevant serine-and metallo-carbapenemases. Sci. Rep. 2020, 10, 12763. [Google Scholar] [CrossRef] [PubMed]
- Olsen, L.; Jost, S.; Adolph, H.-W.; Pettersson, I.; Hemmingsen, L.; Jørgensen, F.S. New leads of metallo-β-lactamase inhibitors from structure-based pharmacophore design. Bioorganic Med. Chem. 2006, 14, 2627–2635. [Google Scholar] [CrossRef]
- Verdirosa, F.; Gavara, L.; Sevaille, L.; Tassone, G.; Corsica, G.; Legru, A.; Feller, G.; Chelini, G.; Mercuri, P.S.; Tanfoni, S. 1, 2, 4-Triazole-3-Thione Analogues with a 2-Ethylbenzoic Acid at Position 4 as VIM-type Metallo-β-Lactamase Inhibitors. ChemMedChem 2022, 17, e202100699. [Google Scholar] [CrossRef]
- Krajnc, A.; Lang, P.A.; Panduwawala, T.D.; Brem, J.; Schofield, C.J. Will morphing boron-based inhibitors beat the β-lactamases? Curr. Opin. Chem. Biol. 2019, 50, 101–110. [Google Scholar] [CrossRef]
- Sevaille, L.; Gavara, L.; Bebrone, C.; De Luca, F.; Nauton, L.; Achard, M.; Mercuri, P.; Tanfoni, S.; Borgianni, L.; Guyon, C. 1, 2, 4-Triazole-3-thione Compounds as Inhibitors of Dizinc Metallo-β-lactamases. ChemMedChem 2017, 12, 972–985. [Google Scholar] [CrossRef]
- Bahr, G.; Gonzalez, L.J.; Vila, A.J. Metallo-β-lactamases in the age of multidrug resistance: From structure and mechanism to evolution, dissemination, and inhibitor design. Chem. Rev. 2021, 121, 7957–8094. [Google Scholar] [CrossRef] [PubMed]
- Legru, A.; Verdirosa, F.; Vo-Hoang, Y.; Tassone, G.; Vascon, F.; Thomas, C.A.; Sannio, F.; Corsica, G.; Benvenuti, M.; Feller, G. Optimization of 1, 2, 4-triazole-3-thiones toward broad-spectrum metallo-β-lactamase inhibitors showing potent synergistic activity on VIM-and NDM-1-producing clinical isolates. J. Med. Chem. 2022, 65, 16392–16419. [Google Scholar] [CrossRef] [PubMed]
- Gavara, L.; Verdirosa, F.; Legru, A.; Mercuri, P.S.; Nauton, L.; Sevaille, L.; Feller, G.; Berthomieu, D.; Sannio, F.; Marcoccia, F. 4-(N-Alkyl-and-acyl-amino)-1, 2, 4-triazole-3-thione analogs as metallo-β-lactamase inhibitors: Impact of 4-linker on potency and spectrum of inhibition. Biomolecules 2020, 10, 1094. [Google Scholar] [CrossRef]
- Loren, J.C.; Sharpless, K.B. The banert cascade: A synthetic sequence to polyfunctional NH-1, 2, 3-triazoles. Synthesis 2005, 2005, 1514–1520. [Google Scholar] [CrossRef]
- Banert, K.; Hagedorn, M.; Hemeltjen, C.; Ihle, A.; Weigand, K.; Priebe, H. Synthesis of N-unsubstituted 1, 2, 3-triazoles via a cascade including propargyl azides, allenyl azides, and triazafulvenes. Arkivoc 2016, 5, 338–361. [Google Scholar] [CrossRef]
- Banert, K.; Hagedorn, M. First isolation of allenyl azides. Angew. Chem. Int. Ed. Engl. 1989, 28, 1675–1676. [Google Scholar] [CrossRef]
- Banert, K. Functionalized allenes: Generation by sigmatropic rearrangement and application in heterocyclic chemistry. Curr. Org. Chem. 2019, 23, 3040–3063. [Google Scholar] [CrossRef]
- Alexander, J.R.; Packard, M.H.; Hildebrandt, A.M.; Ott, A.A.; Topczewski, J.J. Divergent Mechanisms of the Banert Cascade with Propargyl Azides. J. Org. Chem. 2020, 85, 3174–3181. [Google Scholar] [CrossRef]
- Davies, D.T.; Leiris, S.; Sprynski, N.; Castandet, J.; Lozano, C.; Bousquet, J.; Zalacain, M.; Vasa, S.; Dasari, P.K.; Pattipati, R. ANT2681: SAR studies leading to the identification of a metallo-β-lactamase inhibitor with potential for clinical use in combination with meropenem for the treatment of infections caused by NDM-producing enterobacteriaceae. ACS Infect. Dis. 2020, 6, 2419–2430. [Google Scholar] [CrossRef]
- Klingler, F.-M.; Wichelhaus, T.A.; Frank, D.; Cuesta-Bernal, J.; El-Delik, J.; Müller, H.F.; Sjuts, H.; Göttig, S.; Koenigs, A.; Pos, K.M. Approved drugs containing thiols as inhibitors of metallo-β-lactamases: Strategy to combat multidrug-resistant bacteria. J. Med. Chem. 2015, 58, 3626–3630. [Google Scholar] [CrossRef]
- Rotter, M.J.; Zentgraf, S.; Weizel, L.; Frank, D.; Burgers, L.D.; Brunst, S.; Fürst, R.; Proschak, A.; Wichelhaus, T.A.; Proschak, E. Integrating Siderophore Substructures in Thiol-Based Metallo-β-Lactamase Inhibitors. Molecules 2023, 28, 1984. [Google Scholar] [CrossRef]
- Yahiaoui, S.; Voos, K.; Haupenthal, J.; Wichelhaus, T.A.; Frank, D.; Weizel, L.; Rotter, M.; Brunst, S.; Kramer, J.S.; Proschak, E. N-Aryl mercaptoacetamides as potential multi-target inhibitors of metallo-β-lactamases (MBLs) and the virulence factor LasB from Pseudomonas aeruginosa. RSC Med. Chem. 2021, 12, 1698–1708. [Google Scholar] [CrossRef]
- Ju, L.-C.; Cheng, Z.; Fast, W.; Bonomo, R.A.; Crowder, M.W. The continuing challenge of metallo-β-lactamase inhibition: Mechanism matters. Trends Pharmacol. Sci. 2018, 39, 635–647. [Google Scholar] [CrossRef]
- Rotondo, C.M.; Wright, G.D. Inhibitors of metallo-β-lactamases. Curr. Opin. Microbiol. 2017, 39, 96–105. [Google Scholar] [CrossRef] [PubMed]
- Strijtveen, B.; Kellogg, R.M. Synthesis of (racemization prone) optically active thiols by SN2 substitution using cesium thiocarboxylates. J. Org. Chem. 1986, 51, 3664–3671. [Google Scholar] [CrossRef]
- Tehrani, K.H.; Wade, N.; Mashayekhi, V.; Brüchle, N.C.; Jespers, W.; Voskuil, K.; Pesce, D.; Van Haren, M.J.; Van Westen, G.J.; Martin, N.I. Novel cephalosporin conjugates display potent and selective inhibition of imipenemase-type metallo-β-lactamases. J. Med. Chem. 2021, 64, 9141–9151. [Google Scholar] [CrossRef]
- De Oliveira, D.M.; Forde, B.M.; Kidd, T.J.; Harris, P.N.; Schembri, M.A.; Beatson, S.A.; Paterson, D.L.; Walker, M.J. Antimicrobial resistance in ESKAPE pathogens. Clin. Microbiol. Rev. 2020, 33, 10–1128. [Google Scholar] [CrossRef]
- Barkhatova, D.; Zhukovsky, D.; Dar’in, D.; Krasavin, M. Employing α-diazocarbonyl compound chemistry in the assembly of medicinally important aryl (alkyl) thiolactam scaffold. Eur. J. Org. Chem. 2019, 2019, 5798–5800. [Google Scholar] [CrossRef]
- Krasavin, M.; Zhukovsky, D.; Solovyev, I.; Barkhatova, D.; Dar’in, D.; Frank, D.; Martinelli, G.; Weizel, L.; Proschak, A.; Rotter, M. RhII-Catalyzed De-symmetrization of Ethane-1, 2-dithiol and Propane-1, 3-dithiol Yields Metallo-β-lactamase Inhibitors. ChemMedChem 2021, 16, 3410–3417. [Google Scholar] [CrossRef]
- De Angelis, G.; Del Giacomo, P.; Posteraro, B.; Sanguinetti, M.; Tumbarello, M. Molecular mechanisms, epidemiology, and clinical importance of β-lactam resistance in Enterobacteriaceae. Int. J. Mol. Sci. 2020, 21, 5090. [Google Scholar] [CrossRef] [PubMed]
- Baran, A.; Kuzmins, J.; Kuznecovs, J.; Farley, A.J.; Panduwawala, T.; Parkova, A.; Donets, P.A.; Brem, J.r.; Suna, E.; Schofield, C.J. Optimized Synthesis of Indole Carboxylate Metallo-β-Lactamase Inhibitor EBL-3183. Org. Process Res. Dev. 2023, 27, 692–706. [Google Scholar] [CrossRef]
- Feng, H.; Liu, X.; Wang, S.; Fleming, J.; Wang, D.-C.; Liu, W. The mechanism of NDM-1-catalyzed carbapenem hydrolysis is distinct from that of penicillin or cephalosporin hydrolysis. Nat. Commun. 2017, 8, 2242. [Google Scholar] [CrossRef] [PubMed]
- Siemann, S.; Evanoff, D.P.; Marrone, L.; Clarke, A.J.; Viswanatha, T.; Dmitrienko, G.I. N-arylsulfonyl hydrazones as inhibitors of IMP-1 metallo-β-lactamase. Antimicrob. Agents Chemother. 2002, 46, 2450–2457. [Google Scholar] [CrossRef] [PubMed]
- Shaaban, M.M.; Ragab, H.M.; Akaji, K.; McGeary, R.P.; Bekhit, A.-E.A.; Hussein, W.M.; Kurz, J.L.; Elwakil, B.H.; Bekhit, S.A.; Ibrahim, T.M. Design, synthesis, biological evaluation and in silico studies of certain aryl sulfonyl hydrazones conjugated with 1, 3-diaryl pyrazoles as potent metallo-β-lactamase inhibitors. Bioorganic Chem. 2020, 105, 104386. [Google Scholar] [CrossRef] [PubMed]
- Zhang, Y.; Yan, Y.; Liang, L.; Feng, J.; Wang, X.; Li, L.; Yang, K. Halogen-substituted triazolethioacetamides as a potent skeleton for the development of metallo-β-lactamase inhibitors. Molecules 2019, 24, 1174. [Google Scholar] [CrossRef]
- Cui, D.-Y.; Yang, Y.; Bai, M.-M.; Han, J.-X.; Wang, C.-C.; Kong, H.-T.; Shen, B.-Y.; Yan, D.-C.; Xiao, C.-L.; Liu, Y.-S. Systematic research of H2dedpa derivatives as potent inhibitors of New Delhi metallo-β-lactamase-1. Bioorganic Chem. 2020, 101, 103965. [Google Scholar] [CrossRef]
- Bernardo, P.H.; Sivaraman, T.; Wan, K.-F.; Xu, J.; Krishnamoorthy, J.; Song, C.M.; Tian, L.; Chin, J.S.; Lim, D.S.; Mok, H.Y. Synthesis of a rhodanine-based compound library targeting Bcl-XL and Mcl-1. Pure Appl. Chem. 2011, 83, 723–731. [Google Scholar] [CrossRef][Green Version]
- Harada, K.; Kubo, H.; Abe, J.; Haneta, M.; Conception, A.; Inoue, S.; Okada, S.; Nishioka, K. Discovery of potent and orally bioavailable 17β-hydroxysteroid dehydrogenase type 3 inhibitors. Bioorganic Med. Chem. 2012, 20, 3242–3254. [Google Scholar] [CrossRef]
- Sing, W.T.; Lee, C.L.; Yeo, S.L.; Lim, S.P.; Sim, M.M. Arylalkylidene rhodanine with bulky and hydrophobic functional group as selective HCV NS3 protease inhibitor. Bioorganic Med. Chem. Lett. 2001, 11, 91–94. [Google Scholar] [CrossRef]
- Xiang, Y.; Chen, C.; Wang, W.-M.; Xu, L.-W.; Yang, K.-W.; Oelschlaeger, P.; He, Y. Rhodanine as a potent scaffold for the development of broad-spectrum metallo-β-lactamase inhibitors. ACS Med. Chem. Lett. 2018, 9, 359–364. [Google Scholar] [CrossRef]
- Fresneau, P.; Cussac, M.; Morand, J.-M.; Szymonski, B.; Tranqui, D.; Leclerc, G. Synthesis, activity, and molecular modeling of new 2, 4-dioxo-5-(naphthylmethylene)-3-thiazolidineacetic acids and 2-thioxo analogues as potent aldose reductase inhibitors. J. Med. Chem. 1998, 41, 4706–4715. [Google Scholar] [CrossRef]
- Brem, J.; Van Berkel, S.S.; Aik, W.; Rydzik, A.M.; Avison, M.B.; Pettinati, I.; Umland, K.-D.; Kawamura, A.; Spencer, J.; Claridge, T.D. Rhodanine hydrolysis leads to potent thioenolate mediated metallo-β-lactamase inhibition. Nat. Chem. 2014, 6, 1084–1090. [Google Scholar] [CrossRef] [PubMed]
- Zhang, D.; Markoulides, M.S.; Stepanovs, D.; Rydzik, A.M.; El-Hussein, A.; Bon, C.; Kamps, J.J.; Umland, K.-D.; Collins, P.M.; Cahill, S.T. Structure activity relationship studies on rhodanines and derived enethiol inhibitors of metallo-β-lactamases. Bioorganic Med. Chem. 2018, 26, 2928–2936. [Google Scholar] [CrossRef] [PubMed]
- Song, G.-Q.; Wang, W.-M.; Li, Z.-S.; Wang, Y.; Wang, J.-G. First identification of isatin-β-thiosemicarbazones as novel inhibitors of New Delhi metallo-β-lactamase-1: Chemical synthesis, biological evaluation and molecular simulation. Chin. Chem. Lett. 2018, 29, 899–902. [Google Scholar] [CrossRef]
- Lv, H.; Zhu, Z.; Qian, C.; Li, T.; Han, Z.; Zhang, W.; Si, X.; Wang, J.; Deng, X.; Li, L. Discovery of isatin-β-methyldithiocarbazate derivatives as New Delhi metallo-β-lactamase-1 (NDM-1) inhibitors against NDM-1 producing clinical isolates. Biomed. Pharmacother. 2023, 166, 115439. [Google Scholar] [CrossRef]
- Paquet-Côté, P.-A.; Alejaldre, L.; Verreault, C.L.; Gobeil, S.M.; Lamoureux, R.; Bédard, L.; Normandeau, C.-O.; Lemay-St-Denis, C.; Pelletier, J.N.; Voyer, N. Development of sulfahydantoin derivatives as β-lactamase inhibitors. Bioorganic Med. Chem. Lett. 2021, 35, 127781. [Google Scholar] [CrossRef]
- Li, X.-C.; Gong, S.-S.; Zeng, D.-Y.; You, Y.-H.; Sun, Q. Highly efficient synthesis of α-aminophosphonates catalyzed by hafnium (IV) chloride. Tetrahedron Lett. 2016, 57, 1782–1785. [Google Scholar] [CrossRef]
- Bernotas, R.C.; Cube, R.V. The Use of Pearlman’s Catalyst for Selective N-Debenzylation in the Presence of Benzyl Ethers. Synth. Commun. 1990, 20, 1209–1212. [Google Scholar] [CrossRef]
- Palica, K.; Deufel, F.; Skagseth, S.; Di Santo Metzler, G.P.; Thoma, J.; Rasmussen, A.A.; Valkonen, A.; Sunnerhagen, P.; Leiros, H.-K.S.; Andersson, H. α-Aminophosphonate inhibitors of metallo-β-lactamases NDM-1 and VIM-2. RSC Med. Chem. 2023, 14, 2277–2300. [Google Scholar] [CrossRef]
- van Haren, M.J.; Tehrani, K.H.; Kotsogianni, I.; Wade, N.; Brüchle, N.C.; Mashayekhi, V.; Martin, N.I. Cephalosporin prodrug inhibitors overcome metallo-β-lactamase driven antibiotic resistance. Chem. Eur. J. 2021, 27, 3806–3811. [Google Scholar] [CrossRef]
- Chen, A.Y.; Thomas, P.W.; Cheng, Z.; Xu, N.Y.; Tierney, D.L.; Crowder, M.W.; Fast, W.; Cohen, S.M. Investigation of Dipicolinic Acid Isosteres for the Inhibition of Metallo-β-Lactamases. ChemMedChem 2019, 14, 1271–1282. [Google Scholar] [CrossRef] [PubMed]
- Park, J.D.; Kim, D.H. Cysteine Derivatives as Inhibitors for Carboxypeptidase A: Synthesis and structure− activity relationships. J. Med. Chem. 2002, 45, 911–918. [Google Scholar] [CrossRef] [PubMed]
- Bikbulatov, R.V.; Yan, F.; Roth, B.L.; Zjawiony, J.K. Convenient synthesis and in vitro pharmacological activity of 2-thioanalogs of salvinorins A and B. Bioorganic Med. Chem. Lett. 2007, 17, 2229–2232. [Google Scholar] [CrossRef][Green Version]
- Zervas, L.; Photaki, I.; Ghelis, N. On Cysteine and Cystein Peptides. II. S-Acylcysteines in Peptide Synthesis. J. Am. Chem. Soc. 1963, 85, 1337–1341. [Google Scholar] [CrossRef]
- Skagseth, S.; Akhter, S.; Paulsen, M.H.; Muhammad, Z.; Lauksund, S.; Samuelsen, Ø.; Leiros, H.-K.S.; Bayer, A. Metallo-β-lactamase inhibitors by bioisosteric replacement: Preparation, activity and binding. Eur. J. Med. Chem. 2017, 135, 159–173. [Google Scholar] [CrossRef]
- Jin, W.B.; Xu, C.; Cheung, Q.; Gao, W.; Zeng, P.; Liu, J.; Chan, E.W.; Leung, Y.-C.; Chan, T.H.; Wong, K.-Y. Bioisosteric investigation of ebselen: Synthesis and in vitro characterization of 1, 2-benzisothiazol-3 (2H)-one derivatives as potent New Delhi metallo-β-lactamase inhibitors. Bioorganic Chem. 2020, 100, 103873. [Google Scholar] [CrossRef]
- Farley, A.J.; Ermolovich, Y.; Calvopiña, K.; Rabe, P.; Panduwawala, T.; Brem, J.R.; Bjorkling, F.; Schofield, C.J. Structural Basis of Metallo-β-lactamase Inhibition by N-Sulfamoylpyrrole-2-carboxylates. ACS Infect. Dis. 2021, 7, 1809–1817. [Google Scholar] [CrossRef] [PubMed]
- Li, R.; Su, H.; Chen, W.; Yan, Y.-H.; Zhou, C.; Mou, L.; Yang, H.; Qian, S.; Wang, Z.; Yang, L. Design, Synthesis, and Biological Evaluation of New 1H-Imidazole-2-Carboxylic Acid Derivatives as Metallo-β-Lactamase Inhibitors. Bioorganic Med. Chem. 2022, 72, 116993. [Google Scholar] [CrossRef]
- Salvio, R.; Cacciapaglia, R.; Mandolini, L. General base–guanidinium cooperation in bifunctional artificial phosphodiesterases. J. Org. Chem. 2011, 76, 5438–5443. [Google Scholar] [CrossRef]
- Roumen, L.; Peeters, J.W.; Emmen, J.M.; Beugels, I.P.; Custers, E.M.; De Gooyer, M.; Plate, R.; Pieterse, K.; Hilbers, P.A.; Smits, J.F. Synthesis, biological evaluation, and molecular modeling of 1-benzyl-1 H-imidazoles as selective inhibitors of aldosterone synthase (CYP11B2). J. Med. Chem. 2010, 53, 1712–1725. [Google Scholar] [CrossRef]
- Vallée, C.; Chauvin, Y.; Basset, J.M.; Santini, C.C.; Galland, J.C. Design of Ionic Phosphites for Catalytic Hydrocyanation Reaction of 3-Pentenenitrile in Ionic Liquids. Adv. Synth. Catal. 2005, 347, 1835–1847. [Google Scholar] [CrossRef]
- Arjomandi, O.K.; Kavoosi, M.; Adibi, H. Synthesis and investigation of inhibitory activities of imidazole derivatives against the metallo-β-lactamase IMP-1. Bioorganic Chem. 2019, 92, 103277. [Google Scholar] [CrossRef]
- Peters, B.K.; Reddy, N.; Shungube, M.; Girdhari, L.; Baijnath, S.; Mdanda, S.; Chetty, L.; Ntombela, T.; Arumugam, T.; Bester, L.A. In Vitro and In Vivo Development of a β-Lactam-Metallo-β-Lactamase Inhibitor: Targeting Carbapenem-Resistant Enterobacterales. ACS Infect. Dis. 2023, 9, 486–496. [Google Scholar] [CrossRef] [PubMed]
- Mandal, M.; Xiao, L.; Pan, W.; Scapin, G.; Li, G.; Tang, H.; Yang, S.-W.; Pan, J.; Root, Y.; de Jesus, R.K. Rapid Evolution of a Fragment-like Molecule to Pan-Metallo-Beta-Lactamase Inhibitors: Initial Leads toward Clinical Candidates. J. Med. Chem. 2022, 65, 16234–16251. [Google Scholar] [CrossRef] [PubMed]
- Wade, N.; Tehrani, K.H.; Brüchle, N.C.; van Haren, M.J.; Mashayekhi, V.; Martin, N.I. Mechanistic investigations of metallo-β-lactamase inhibitors: Strong zinc binding Is not required for potent enzyme inhibition. ChemMedChem 2021, 16, 1651–1659. [Google Scholar] [CrossRef]
- Jackson, A.C.; Pinter, T.B.; Talley, D.C.; Baker-Agha, A.; Patel, D.; Smith, P.J.; Franz, K.J. Benzimidazole and benzoxazole zinc chelators as inhibitors of metallo-β-lactamase NDM-1. ChemMedChem 2021, 16, 654–661. [Google Scholar] [CrossRef]
- Jackson, A.C.; Zaengle-Barone, J.M.; Puccio, E.A.; Franz, K.J. A cephalosporin prochelator inhibits New Delhi metallo-β-lactamase 1 without removing zinc. ACS Infect. Dis. 2020, 6, 1264–1272. [Google Scholar] [CrossRef]
- Schnaars, C.; Kildahl-Andersen, G.; Prandina, A.; Popal, R.; Radix, S.; Le Borgne, M.; Gjøen, T.; Andresen, A.M.S.; Heikal, A.; Økstad, O.A. Synthesis and preclinical evaluation of TPA-based zinc chelators as metallo-β-lactamase inhibitors. ACS Infect. Dis. 2018, 4, 1407–1422. [Google Scholar] [CrossRef]
- Palica, K.; Vorácová, M.; Skagseth, S.; Andersson Rasmussen, A.; Allander, L.; Hubert, M.; Sandegren, L.; Schrøder Leiros, H.-K.; Andersson, H.; Erdélyi, M. Metallo-β-lactamase inhibitor phosphonamidate monoesters. ACS Omega 2022, 7, 4550–4562. [Google Scholar] [CrossRef]
- Büttner, D.; Kramer, J.S.; Klingler, F.-M.; Wittmann, S.K.; Hartmann, M.R.; Kurz, C.G.; Kohnhäuser, D.; Weizel, L.; Brüggerhoff, A.; Frank, D. Challenges in the development of a thiol-based broad-spectrum inhibitor for metallo-β-lactamases. ACS Infect. Dis. 2017, 4, 360–372. [Google Scholar] [CrossRef]
- Damblon, C.; Jensen, M.; Ababou, A.; Barsukov, I.; Papamicael, C.; Schofield, C.J.; Olsen, L.; Bauer, R.; Roberts, G.C. The inhibitor thiomandelic acid binds to both metal ions in metallo-β-lactamase and induces positive cooperativity in metal binding. J. Biol. Chem. 2003, 278, 29240–29251. [Google Scholar] [CrossRef] [PubMed]
- Zhang, Y.-L.; Yan, Y.; Wang, X.-J.; Yang, K.-W. Synthesis and Bioactivity of Thiazolethioacetamides as Potential Metallo-β-Lactamase Inhibitors. Antibiotics 2020, 9, 99. [Google Scholar] [CrossRef] [PubMed]
- Cahill, S.T.; Cain, R.; Wang, D.Y.; Lohans, C.T.; Wareham, D.W.; Oswin, H.P.; Mohammed, J.; Spencer, J.; Fishwick, C.W.; McDonough, M.A. Cyclic boronates inhibit all classes of β-lactamases. Antimicrob. Agents Chemother. 2017, 61. [Google Scholar] [CrossRef]
- Nelson, K.; Rubio-Aparicio, D.; Sun, D.; Dudley, M.; Lomovskaya, O. In vitro activity of the ultrabroad-spectrum-beta-lactamase inhibitor QPX7728 against carbapenem-resistant Enterobacterales with varying intrinsic and acquired resistance mechanisms. Antimicrob. Agents Chemother. 2020, 64, 1110–1128. [Google Scholar] [CrossRef] [PubMed]
- World Health Organization. Antimicrobial Resistance: Global Report on Surveillance; World Health Organization: Geneva, Switzerland, 2014. [Google Scholar]
- Linciano, P.; Gianquinto, E.; Montanari, M.; Maso, L.; Bellio, P.; Cebrián-Sastre, E.; Celenza, G.; Blázquez, J.; Cendron, L.; Spyrakis, F. 4-Amino-1, 2, 4-triazole-3-thione as a Promising Scaffold for the Inhibition of Serine and Metallo-β-Lactamases. Pharmaceuticals 2020, 13, 52. [Google Scholar] [CrossRef] [PubMed]
- Parkova, A.; Lucic, A.; Krajnc, A.; Brem, J.; Calvopina, K.; Langley, G.W.; McDonough, M.A.; Trapencieris, P.; Schofield, C.J. Broad spectrum β-lactamase inhibition by a thioether substituted bicyclic boronate. ACS Infect. Dis. 2019, 6, 1398–1404. [Google Scholar] [CrossRef]
- Brem, J.; Cain, R.; Cahill, S.; McDonough, M.A.; Clifton, I.J.; Jiménez-Castellanos, J.-C.; Avison, M.B.; Spencer, J.; Fishwick, C.W.; Schofield, C.J. Structural basis of metallo-β-lactamase, serine-β-lactamase and penicillin-binding protein inhibition by cyclic boronates. Nat. Commun. 2016, 7, 12406. [Google Scholar] [CrossRef]
- Majiduddin, F.K.; Materon, I.C.; Palzkill, T.G. Molecular analysis of beta-lactamase structure and function. Int. J. Med. Microbiol. 2002, 292, 127–137. [Google Scholar] [CrossRef]
- Matteson, D.S. Boronic esters in asymmetric synthesis. J. Org. Chem. 2013, 78, 10009–10023. [Google Scholar] [CrossRef]
- Matteson, D.S.; Majumdar, D. Homologation of boronic esters to. alpha.-chloro boronic esters. Organometallics 1983, 2, 1529–1535. [Google Scholar] [CrossRef]
- Coste, J.; Le-Nguyen, D.; Castro, B. PyBOP®: A new peptide coupling reagent devoid of toxic by-product. Tetrahedron Lett. 1990, 31, 205–208. [Google Scholar] [CrossRef]
- Zhang, H.; Shen, S.; Yang, X.; Sun, X. Synthesis of 3-indolyl-substituted benzoboroxole via friedel-crafts reaction in water. Chin. J. Org. Chem. 2014, 34, 2456. [Google Scholar] [CrossRef][Green Version]
- Yan, Y.-H.; Li, Z.-F.; Ning, X.-L.; Deng, J.; Yu, J.-L.; Luo, Y.; Wang, Z.; Li, G.; Li, G.-B.; Xiao, Y.-C. Discovery of 3-aryl substituted benzoxaboroles as broad-spectrum inhibitors of serine-and metallo-β-lactamases. Bioorganic Med. Chem. Lett. 2021, 41, 127956. [Google Scholar] [CrossRef] [PubMed]
- Romero, E.; Oueslati, S.; Benchekroun, M.; D’hollander, A.C.; Ventre, S.; Vijayakumar, K.; Minard, C.; Exilie, C.; Tlili, L.; Retailleau, P. Azetidinimines as a novel series of non-covalent broad-spectrum inhibitors of β-lactamases with submicromolar activities against carbapenemases KPC-2 (class A), NDM-1 (class B) and OXA-48 (class D). Eur. J. Med. Chem. 2021, 219, 113418. [Google Scholar] [CrossRef]
- Palwe, S.; Khobragade, K.; Kharat, A.S. Preserving the Dwindling β-lactams-Based Empiric Therapy Options for Gram-Negative Infections in Challenging Resistance Scenario: Lessons Learned and Way Forward. Microb. Drug Resist. 2020, 26, 637–651. [Google Scholar] [CrossRef]
- Furukawa, J.; Kawabata, N.; Nishimura, J. Synthesis of cyclopropanes by the reaction of olefins with dialkylzinc and methylene iodide. Tetrahedron 1968, 24, 53–58. [Google Scholar] [CrossRef]
- Lin, H.; Tian, L.; Krauss, I.J. Enantioselective syn and anti Homocrotylation of Aldehydes: Application to the Formal Synthesis of Spongidepsin. J. Am. Chem. Soc. 2015, 137, 13176–13182. [Google Scholar] [CrossRef]
- Boyer, S.H.; Gonzalez-de-Castro, A.; Dielemans, J.H.; Lefort, L.; Zhu, Z.; Gnahn, M.; Schörghuber, J.; Steinhofer, S.; de Vries, A.H.; Hecker, S.J. Scalable synthesis of β-lactamase inhibitor QPX7728 by sequential nickel-catalyzed boron insertion into a benzofuran substrate and enantioselective cyclopropanation of the resulting vinylboronate. Org. Process Res. Dev. 2021, 26, 925–935. [Google Scholar] [CrossRef]































































| Sr. No. | Second-Generation β-Lactamase Inhibitors | Structure | Minimum Inhibitory Concentration (MIC) or IC50 (μg/mL or μM) | Yields |
|---|---|---|---|---|
| 1 | 1,6-Diazabicyclo [3,2,1] Octanes | ![]() | 0.29 ± 2.34 | [45] |
| 2 | 1,6-Diazabicyclo [3,2,1] Octanes | ![]() | 64 | [57] |
| 3 | 1,6-Diazabicyclo [3,2,1] Octanes | ![]() | 0.06 | [64] |
| 4 | Boron-based inhibitors | ![]() | 1 | [71] |
| 5 | Boron-based inhibitors | ![]() | 0.09 ± 0.01 | [78] |
| 6 | Metallo-β-lactamase inhibitors | ![]() | 1.0 ± 0.4 | [82] |
| 7 | Metallo-β-lactamase inhibitors | ![]() | 0.25 | [109] |
| 8 | Metallo-β-lactamase inhibitors | ![]() | 4.3 ± 0.44 | [111] |
| 9 | Metallo-β-lactamase inhibitors | ![]() | 2 ± 0.25 | [126] |
| 10 | Metallo-β-lactamase inhibitors | ![]() | 2.72 | [134] |
| 11 | Metallo-β-lactamase inhibitors | ![]() | 2.678 | [135] |
| 12 | Metallo-β-lactamase inhibitors | ![]() | 7.7 ± 0.6 | [141] |
| 13 | Metallo-β-lactamase inhibitors | ![]() | 0.38 | [156] |
| 14 | Dual nature of β-lactamase inhibitors | ![]() | 0.53 ± 0.008 | [22] |
| 15 | Dual nature of β-lactamase inhibitors | ![]() | 2 ± 8 | [70] |
Disclaimer/Publisher’s Note: The statements, opinions and data contained in all publications are solely those of the individual author(s) and contributor(s) and not of MDPI and/or the editor(s). MDPI and/or the editor(s) disclaim responsibility for any injury to people or property resulting from any ideas, methods, instructions or products referred to in the content. |
© 2024 by the authors. Licensee MDPI, Basel, Switzerland. This article is an open access article distributed under the terms and conditions of the Creative Commons Attribution (CC BY) license (https://creativecommons.org/licenses/by/4.0/).
Share and Cite
Fatima, N.; Khalid, S.; Rasool, N.; Imran, M.; Parveen, B.; Kanwal, A.; Irimie, M.; Ciurea, C.I. Approachable Synthetic Methodologies for Second-Generation β-Lactamase Inhibitors: A Review. Pharmaceuticals 2024, 17, 1108. https://doi.org/10.3390/ph17091108
Fatima N, Khalid S, Rasool N, Imran M, Parveen B, Kanwal A, Irimie M, Ciurea CI. Approachable Synthetic Methodologies for Second-Generation β-Lactamase Inhibitors: A Review. Pharmaceuticals. 2024; 17(9):1108. https://doi.org/10.3390/ph17091108
Chicago/Turabian StyleFatima, Noor, Shehla Khalid, Nasir Rasool, Muhammad Imran, Bushra Parveen, Aqsa Kanwal, Marius Irimie, and Codrut Ioan Ciurea. 2024. "Approachable Synthetic Methodologies for Second-Generation β-Lactamase Inhibitors: A Review" Pharmaceuticals 17, no. 9: 1108. https://doi.org/10.3390/ph17091108
APA StyleFatima, N., Khalid, S., Rasool, N., Imran, M., Parveen, B., Kanwal, A., Irimie, M., & Ciurea, C. I. (2024). Approachable Synthetic Methodologies for Second-Generation β-Lactamase Inhibitors: A Review. Pharmaceuticals, 17(9), 1108. https://doi.org/10.3390/ph17091108
















