The Synergistic Effect of N2 and N7 Modifications on the Inhibitory Efficacy of mRNA Cap Analogues
Abstract
1. Introduction
2. Results and Discussion
2.1. Molecular Docking Studies
2.2. Chemical Synthesis
2.3. Inhibitory Properties
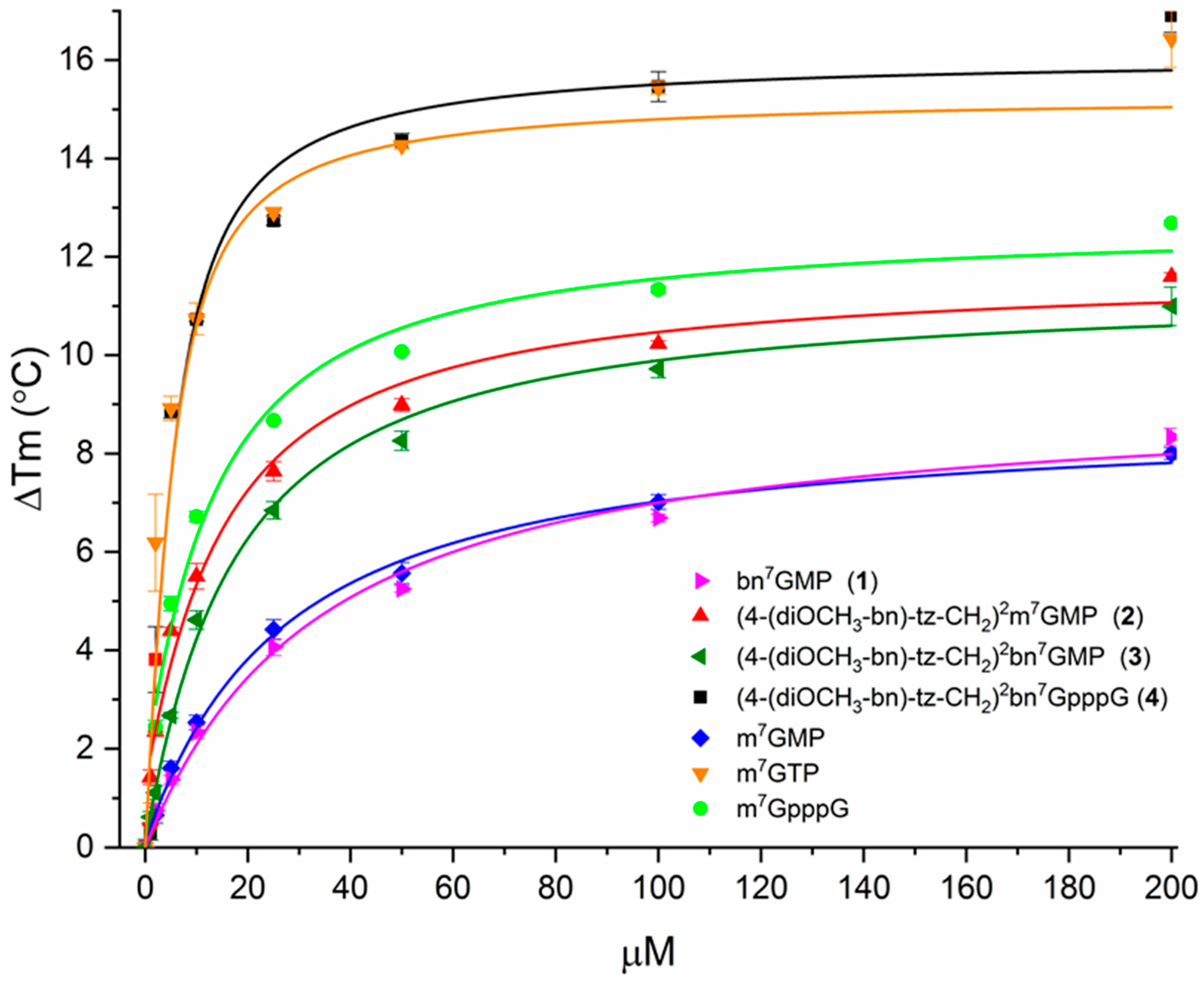
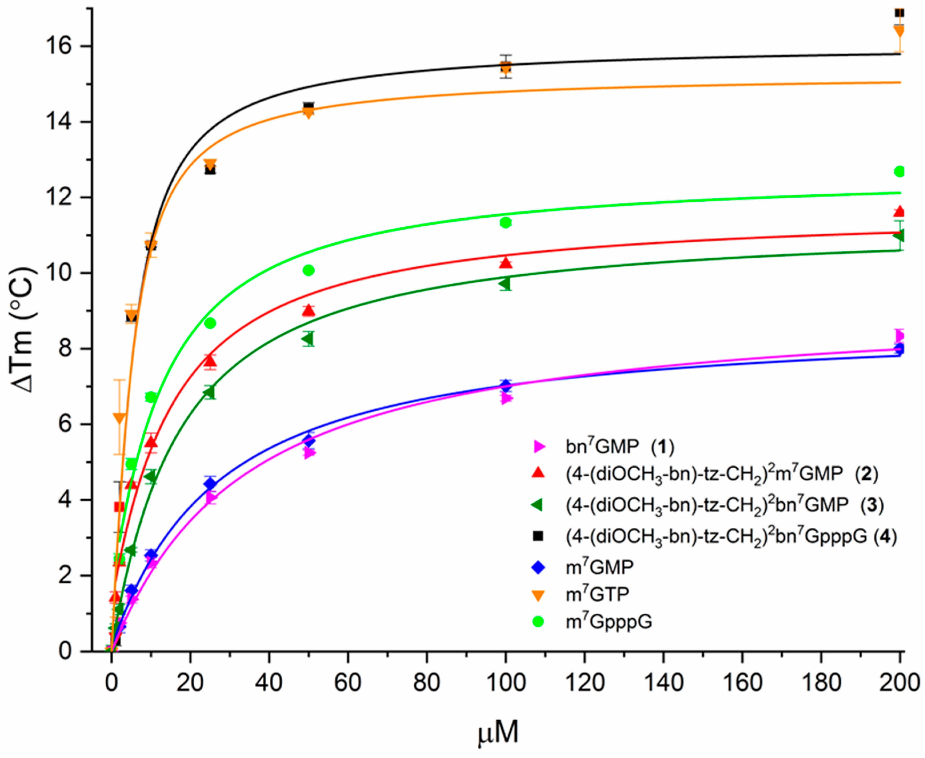
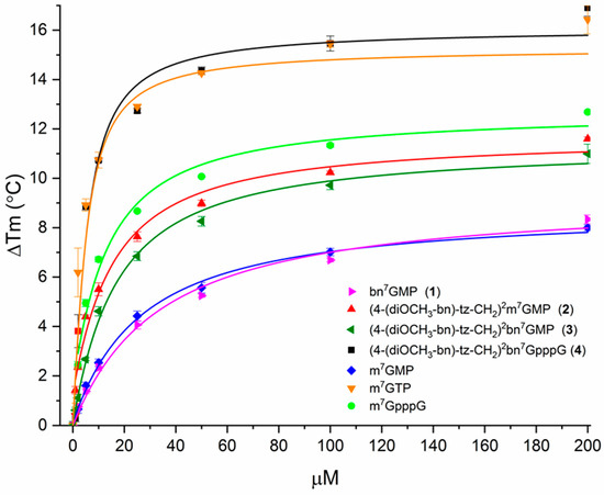
2.4. Thermal Stabilization of eIF4E Analyzed by Differential Scanning Fluorimetry
3. Materials and Methods
3.1. Molecular Modeling
3.2. Chemistry
3.3. Translation Inhibition in RRL
3.4. Thermal Stability Assay
4. Conclusions
Supplementary Materials
Author Contributions
Funding
Institutional Review Board Statement
Informed Consent Statement
Data Availability Statement
Acknowledgments
Conflicts of Interest
References
- Furuichi, Y.; Shatkin, A.J. Viral and cellular mRNA capping: Past and prospects. Adv Virus Res. 2000, 55, 135–184. [Google Scholar]
- Furuichi, Y. Discovery of m(7)G-cap in eukaryotic mRNAs. Proc. Jpn. Acad Ser. B Phys. Biol. Sci. 2015, 91, 394–409. [Google Scholar] [CrossRef]
- Topisirovic, I.; Svitkin, Y.V.; Sonenberg, N.; Shatkin, A.J. Cap and cap-binding proteins in the control of gene expression. Wiley Interdiscip. Rev. RNA 2011, 2, 277–298. [Google Scholar] [CrossRef]
- Merrick, W.C. eIF4F: A retrospective. J. Biol. Chem. 2015, 290, 24091–24099. [Google Scholar] [CrossRef]
- Karaki, S.; Andrieu, C.; Ziouziou, H.; Rocchi, P. The Eukaryotic Translation Initiation Factor 4E (eIF4E) as a Therapeutic Target for Cancer. Adv. Protein. Chem. Struct. Biol. 2015, 101, 1–26. [Google Scholar]
- Carroll, M.; Borden, K.L. The oncogene eIF4E: Using biochemical insights to target cancer. J. Interferon Cytokine Res. 2013, 33, 227–238. [Google Scholar] [CrossRef] [PubMed]
- Lazaris-Karatzas, A.; Montine, K.S.; Sonenberg, N. Malignant transformation by a eukaryotic initiation factor subunit that binds to mRNA 5’ cap. Nature 1990, 345, 544–547. [Google Scholar] [CrossRef] [PubMed]
- Lu, C.; Makala, L.; Wu, D.; Cai, Y. Targeting translation: eIF4E as an emerging anticancer drug target. Expert Rev. Mol. Med. 2016, 18, e2. [Google Scholar] [CrossRef] [PubMed]
- Matsuo, H.; Li, H.; McGuire, A.M.; Fletcher, C.M.; Gingras, A.-C.; Sonenberg, S.N.; Wagner, G. Structure of translation factor eIF4E bound to m7GDP and interaction with 4E-binding protein. Nat. Struct. Biol. 1997, 4, 717–724. [Google Scholar] [CrossRef]
- Tomoo, K.; Shen, X.; Okabe, K.; Nozoe, Y.; Fukuhara, S.; Morino, S.; Ishida, T.; Taniguchi, T.; Hasegawa, H.; Terashima, A.; et al. Crystal structures of 7-methylguanosine 5’-triphosphate (m(7)GTP)- and P(1)-7-methylguanosine-P(3)-adenosine-5’,5’-triphosphate (m(7)GpppA)-bound human full-length eukaryotic initiation factor 4E: Biological importance of the C-terminal flexible region. Biochem. J. 2002, 362, 539–544. [Google Scholar] [CrossRef]
- Shen, X.; Tomoo, K.; Uchiyama, S.; Kobayashi, Y.; Ishida, T. Structural and Thermodynamic behavior of eukaryotic initiation factor 4E in supramolecular formation with 4E-binding protein 1 and mRNA cap analogue, studied by spectroscopic methods. Chem. Pharm. Bull. 2001, 49, 1299–1303. [Google Scholar] [CrossRef]
- Tomoo, K.; Shen, X.; Okabe, K.; Nozoe, Y.; Fukuhara, S.; Morino, S.; Sasaki, M.; Taniguchi, T.; Miyagawa, H.; Kitamura, K.; et al. Structural features of human initiation factor 4E, studied by X-ray crystal analyses and molecular dynamics simulations. J. Mol. Biol. 2003, 328, 365–383. [Google Scholar] [CrossRef] [PubMed]
- Cai, A.; Jankowska-Anyszka, M.; Centers, A.; Chlebicka, L.; Stepinski, J.; Stolarski, R.; Darzynkiewicz, E.; Rhoads, R.E. Quantitative assessment of mRNA Cap analogues as inhibitors of in vitro translation. Biochemistry 1999, 38, 8538–8547. [Google Scholar] [CrossRef] [PubMed]
- Niedzwiecka, A.; Marcotrigiano, J.; Stepinski, J.; Jankowska-Anyszka, M.; Wyslouch-Cieszynska, A.; Dadlez, M.; Gingras, A.-C.; Mak, P.; Darzynkiewicz, E.; Sonenberg, N.; et al. Biophysical Studies of eIF4E Cap-binding Protein: Recognition of mRNA 5′ Cap Structure and Synthetic Fragments of eIF4G and 4E-BP1 Proteins. J. Mol. Biol. 2002, 319, 615–635. [Google Scholar] [CrossRef] [PubMed]
- Jia, Y.; Chiu, T.-L.; Amin, E.A.; Polunovsky, V.; Bitterman, P.B.; Wagner, C.R. Design, synthesis and evaluation of analogs of initiation factor 4E (eIF4E) cap-binding antagonist Bn7-GMP. Eur. J. Med. Chem. 2010, 45, 1304–1313. [Google Scholar] [CrossRef] [PubMed]
- Chen, X.; Kopecky, D.J.; Mihalic, J.; Jeffries, S.; Min, X.; Heath, J.; Deignan, J.; Lai, S.; Fu, Z.; Guimaraes, C.; et al. Structure-guided design, synthesis, and evaluation of guanine-derived inhibitors of the eIF4E mRNA-cap interaction. J. Med. Chem. 2012, 55, 3837–3851. [Google Scholar] [CrossRef] [PubMed]
- Ghosh, P.; Park, C.; Peterson, M.S.; Bitterman, P.B.; Polunovsky, V.A.; Wagner, C.R. Synthesis and evaluation of potential inhibitors of eIF4E cap binding to 7-methyl GTP. Bioorganic Med. Chem. Lett. 2005, 15, 2177–2180. [Google Scholar] [CrossRef] [PubMed]
- Soukarieh, F.; Nowicki, M.W.; Bastide, A.; Pöyry, T.; Jones, C.; Dudek, K.; Patwardhan, G.; Meullenet, F.; Oldham, N.J.; Walkinshaw, M.D.; et al. Design of nucleotide-mimetic and non-nucleotide inhibitors of the translation initiation factor eIF4E: Synthesis, structural and functional characterisation. Eur. J. Med. Chem. 2016, 124, 200–217. [Google Scholar] [CrossRef] [PubMed]
- Li, S.; Jia, Y.; Jacobson, B.; McCauley, J.; Kratzke, R.; Bitterman, P.B.; Wagner, C.R. Treatment of breast and lung cancer cells with a N-7 benzyl guanosine monophosphate tryptamine phosphoramidate pronucleotide (4Ei-1) results in Chemosensitization to gemcitabine and induced eIF4E proteasomal degradation. Mol. Pharm. 2013, 10, 523–531. [Google Scholar] [CrossRef]
- Siekierska, I.; Lukaszewicz, M.; Worch, R.; Jankowska-Anyszka, M.; Piecyk, K. Application of Phosphoramidate ProTide Technology for the Synthesis of 5′-mRNA Cap Analogs Modified on the Exocyclic Amine Group. ChemMedChem 2023, 18, e202200490. [Google Scholar] [CrossRef]
- Golojuch, S.; Kopcial, M.; Strzelecka, D.; Kasprzyk, R.; Baran, N.; Sikorski, P.J.; Kowalska, J.; Jemielity, J. Exploring tryptamine conjugates as pronucleotides of phosphate-modified 7-methylguanine nucleotides targeting cap-dependent translation. Bioorganic Med. Chem. 2020, 28, 115523. [Google Scholar] [CrossRef]
- Brown, C.J.; McNae, I.; Fischer, P.M.; Walkinshaw, M.D. Crystallographic and mass spectrometric characterisation of eIF4E with N7-alkylated cap derivatives. J. Mol. Biol. 2007, 372, 7–15. [Google Scholar] [CrossRef] [PubMed]
- Piecyk, K.; Davis, R.E.; Jankowska-Anyszka, M. Synthesis of N2-modified 7-methylguanosine 5′-monophosphates as nematode translation inhibitors. Bioorganic Med. Chem. 2012, 20, 4781–4789. [Google Scholar] [CrossRef]
- Piecyk, K.; Lukaszewicz, M.; Darzynkiewicz, E.; Jankowska-Anyszka, M. Triazole-containing monophosphate mRNA cap analogs as effective translation inhibitors. RNA 2014, 20, 1539–1547. [Google Scholar] [CrossRef]
- Pettersen, E.F.; Goddard, T.D.; Huang, C.C.; Couch, G.S.; Greenblatt, D.M.; Meng, E.C.; Ferrin, T.E. UCSF Chimera?A visualization system for exploratory research and analysis. J. Comput. Chem. 2004, 25, 1605–1612. [Google Scholar] [CrossRef]
- Trott, O.; Olson, A.J. AutoDock Vina: Improving the speed and accuracy of docking with a new scoring function, efficient optimization, and multithreading. J. Comput. Chem. 2010, 31, 455–461. [Google Scholar] [CrossRef] [PubMed]
- Wojcik, R.; Baranowski, M.R.; Markiewicz, L.; Kubacka, D.; Bednarczyk, M.; Baran, N.; Wojtczak, A.; Sikorski, P.J.; Zuberek, J.; Kowalska, J.; et al. Novel N7-Arylmethyl Substituted Dinucleotide mRNA 5′ cap Analogs: Synthesis and Evaluation as Modulators of Translation. Pharmaceutics 2021, 13, 1941. [Google Scholar] [CrossRef] [PubMed]
- Grzela, R.; Piecyk, K.; Stankiewicz-Drogon, A.; Pietrow, P.; Lukaszewicz, M.; Kurpiejewski, K.; Darzynkiewicz, E.; Jankowska-Anyszka, M. N2 modified dinucleotide cap analogs as a potent tool for mRNA engineering. RNA 2023, 29, 200–216. [Google Scholar] [CrossRef]
- Grudzien, E.; Stepinski, J.; Jankowska-Anyszka, M.; Stolarski, R.; Darzynkiewicz, E.; Rhoads, R.E. Novel cap analogs for in vitro synthesis of mRNAs with high translational efficiency. RNA 2004, 10, 1479–1487. [Google Scholar] [CrossRef]
- Piecyk, K.; Lukaszewicz, M.; Kamel, K.; Janowska, M.; Pietrow, P.; Kmiecik, S.; Jankowska-Anyszka, M. Isoxazole-containing 5′ mRNA cap analogues as inhibitors of the translation initiation process. Bioorganic Chem. 2020, 96, 103583. [Google Scholar] [CrossRef]
- Niesen, F.H.; Berglund, H.; Vedadi, M. The use of differential scanning fluorimetry to detect ligand interactions that promote protein stability. Nat. Protoc. 2007, 2, 2212–2222. [Google Scholar] [CrossRef]
- Vivoli, M.; Novak, H.R.; Littlechild, J.A.; Harmer, N.J. Determination of protein-ligand interactions using differential scanning fluorimetry. J. Vis. Exp. 2014, 91, 51809. [Google Scholar]
- Zuberek, J.; Kubacka, D.; Jablonowska, A.; Jemielity, J.; Stepinski, J.; Sonenberg, N.; Darzynkiewicz, E. Weak binding affinity of human 4EHP for mRNA cap analogs. RNA 2007, 13, 691–697. [Google Scholar] [CrossRef]






| IC50DMSO ± SE [μM] | Inhibition Relative to m7GMP IC50DMSO (m7GMP)/ IC50DMSO (Cap Analogue) | Inhibition Relative to m7GpppG IC50DMSO (m7GpppG)/ IC50DMSO (Cap Analogue) | IC50WATER ± SE [μM] | |
|---|---|---|---|---|
| m7GMP | 19.22 ± 3.31 | 1.00 | 0.23 | >50 |
| m7GTP | 1.09 ± 0.14 | 17.60 | 4.08 | 2.30 ± 0.20 |
| m7GpppG | 4.45 ± 0.61 | 4.30 | 1.00 | 8.60 ± 0.70 |
| bz7GMP (1) | 10.86 ± 1.41 | 1.77 | 0.41 | - |
| (4-(diOCH3-bn)-tz-CH2)2m7GMP (2) | 1.80 ± 0.21 | 10.67 | 2.47 | 2.00 ± 0.10 |
| (4-(diOCH3-bn)-tz-CH2)2bn7GMP (3) | 2.70 ± 0.30 | 7.11 | 1.64 | - |
| (4-(diOCH3-bn)-tz-CH2)2bn7GpppG (4) | 0.24 ± 0.02 | 80.08 | 18.54 | - |
| appK ± SE [μM] a | Adj. R2 | Relative Change in Affinity to m7GMP | |
|---|---|---|---|
| m7GMP | 24.45 ± 2.89 | 0.995 | 1 |
| m7GTP | 3.15 ± 0.84 | 0.985 | 7.8 |
| m7GpppG | 11.35 ± 1.09 | 0.975 | 2.2 |
| bz7GMP (1) | 31.10 ± 4.48 | 0.990 | 0.8 |
| (4-(diOCH3-bn)-tz-CH2)2m7GMP (2) | 13.28 ± 3.45 | 0.982 | 1.8 |
| (4-(diOCH3-bn)-tz-CH2)2bn7GMP (3) | 14.71 ± 1.14 | 0.994 | 1.7 |
| (4-(diOCH3-bn)-tz-CH2)2bn7GpppG (4) | 3.58 ± 1.09 | 0.971 | 6.8 |
Disclaimer/Publisher’s Note: The statements, opinions and data contained in all publications are solely those of the individual author(s) and contributor(s) and not of MDPI and/or the editor(s). MDPI and/or the editor(s) disclaim responsibility for any injury to people or property resulting from any ideas, methods, instructions or products referred to in the content. |
© 2024 by the authors. Licensee MDPI, Basel, Switzerland. This article is an open access article distributed under the terms and conditions of the Creative Commons Attribution (CC BY) license (https://creativecommons.org/licenses/by/4.0/).
Share and Cite
Kurpiejewski, K.; Piecyk, K.; Lukaszewicz, M.; Kamel, K.; Chmurski, K.; Kmiecik, S.; Jankowska-Anyszka, M. The Synergistic Effect of N2 and N7 Modifications on the Inhibitory Efficacy of mRNA Cap Analogues. Pharmaceuticals 2024, 17, 632. https://doi.org/10.3390/ph17050632
Kurpiejewski K, Piecyk K, Lukaszewicz M, Kamel K, Chmurski K, Kmiecik S, Jankowska-Anyszka M. The Synergistic Effect of N2 and N7 Modifications on the Inhibitory Efficacy of mRNA Cap Analogues. Pharmaceuticals. 2024; 17(5):632. https://doi.org/10.3390/ph17050632
Chicago/Turabian StyleKurpiejewski, Karol, Karolina Piecyk, Maciej Lukaszewicz, Karol Kamel, Kazimierz Chmurski, Sebastian Kmiecik, and Marzena Jankowska-Anyszka. 2024. "The Synergistic Effect of N2 and N7 Modifications on the Inhibitory Efficacy of mRNA Cap Analogues" Pharmaceuticals 17, no. 5: 632. https://doi.org/10.3390/ph17050632
APA StyleKurpiejewski, K., Piecyk, K., Lukaszewicz, M., Kamel, K., Chmurski, K., Kmiecik, S., & Jankowska-Anyszka, M. (2024). The Synergistic Effect of N2 and N7 Modifications on the Inhibitory Efficacy of mRNA Cap Analogues. Pharmaceuticals, 17(5), 632. https://doi.org/10.3390/ph17050632

