Abstract
Background/Objectives: This study evaluated the antinociceptive effect of the Ximenia americana L. bark extract (HEXA) and its primary component, caffeic acid (CA), through in vivo assays. Methods: The antinociceptive properties were assessed using abdominal writhing, hot plate, and Von Frey tests. Additionally, the study investigated the modulation of various pain signaling pathways using a pharmacological approach. Results: The results demonstrated that all doses of the HEXA significantly increased latency in the hot plate test, decreased the number of abdominal contortions, reduced hyperalgesia in the Von Frey test, and reduced both phases of the formalin test. Caffeic acid reduced licking time in the first phase of the formalin test at all doses, with the highest dose showing significant effects in the second phase. The HEXA potentially modulated α2-adrenergic (52.99%), nitric oxide (57.77%), glutamatergic (33.66%), vanilloid (39.84%), cyclic guanosine monophosphate (56.11%), and K+ATP channel-dependent pathways (38.70%). Conversely, CA influenced the opioid, glutamatergic (53.60%), and vanilloid (34.42%) pathways while inhibiting nitric oxide (52.99%) and cyclic guanosine monophosphate (38.98%). Conclusions: HEXA and CA exhibit significant antinociceptive effects due to their potential interference in multiple pain signaling pathways. While the molecular targets remain to be fully investigated, HEXA and CA demonstrate significant potential for the development of new analgesic drugs.
1. Introduction
Pain is a sensory and emotional experience that signals actual or potential harm to the body, thus providing an essential protective function against threats to the organism’s health [1]. Pain can be classified based on duration as acute, subchronic, or chronic [2] and based on the origin of the signaling stimulus as neuropathic or inflammatory [1].
Acute pain is immediate and prevents damage and protects injured tissue [2]. On the other hand, chronic pain lasts more than ten days. This issue is a major global health concern that impacts people in physical, economic, emotional, and social ways [3,4]. In both cases, the pain usually requires management, which is mainly performed with the use of analgesic drugs.
Nonsteroidal anti-inflammatory drugs (NSAIDs) are the most used drugs in the treatment of acute, moderate, or chronic pain [5]. Their mechanism of action involves the peripheral and central inhibition of the cyclooxygenase enzymes (COX-1 and COX-2), which inhibits the production of lipid mediators such as prostaglandins, thromboxanes, and leukotrienes [6]. However, the long-term use of NSAIDs is associated with severe adverse effects, including nausea, dyspepsia, abdominal pain, skin reactions, and nephropathy, among others [7]. In addition, NSAIDs present significant therapeutic limitations, so in many cases, the use of opioid analgesics is necessary. However, these drugs pose even more significant risks for patients. Therefore, research targeting new therapeutic alternatives with fewer adverse effects can significantly improve the pharmacological management of pain disorders [8].
In this context, medicinal plants are an ancient source of therapeutic resources in treating various diseases [9]. The pharmacological properties associated with the traditional use of medicinal species are due to the presence of bioactive compounds, indicating that medicinal plants are sources of new molecules with therapeutic potential [10] and, as such, may help develop new drugs to treat pain [11]. Historically, bark is a common ingredient that has been utilized for centuries in traditional medicine for the treatment of various diseases. This part of the plant contains different active compounds, such as tannins, salicylates, flavonoids, and alkaloids, contributing to its analgesic effects [12,13].
Ximenia americana L. is popularly known in Brazil as wild plum, “ambuí”, thorn plum, and Brazilian sandalwood [14,15]. Previous research has demonstrated that X. americana has antioxidant [16], gastroprotective [17], antiparasitic [18], wound healing [19], antiedematogenic [20], and antinociceptive [21] biological properties. Phytochemical studies have identified caffeic acid (CA) as a major constituent in X. americana [18,22,23]. Also known as 3,4-hydroxycinnamic acid, this compound is usually found in numerous fruits and vegetables, such as prunes, artichokes, eggplant, and grapes [24]. Research in pharmacology has uncovered a range of biological activities associated with CA, such as neuroprotective [25], antimicrobial [26], anticancer [27], anti-inflammatory [28], antinociception [29], and antiviral [30] activities.
Considering the ethnopharmacological evidence of X. americana as a promising medicinal plant, this study aimed to investigate the antinociceptive effect of X. americana L. bark extract (HEXA) and its main constituent, caffeic acid (CA), in animal models, to understand how these compounds can act in modulating pain induced by different stimuli.
2. Results
In our previous paper, we demonstrated the predominance of polyphenols in the hydroethanolic bark extract of X. Americana through HPLC analysis, where nine compounds were identified. Upon the new chemical approach by UPLC-MS/MS, caffeic acid and quercetin were confirmed as the major constituents (Figure S1 in Supplementary Material).
The ESI-MS analysis revealed the MS/MS pattern for CA dominating the loss of a water molecule (18 Da), characterizing the fragment of m/z 161.05 ([M-H2O]−) and sequentially the decarboxylation of CO2 (44 Da), which can be explained by the Diels–Alder rearrangement reaction allowing the visualization of the fragment of m/z 135.05 ([M-CO2]−), as identified by [31] (Figure S1A,B) in the Supplementary Material. The Molecular Networking tool with gold classification was successfully applied to correlate the fragmentation spectrum of caffeic acid and other compounds of the extract of X. americana L. (Table S1; see Supplementary Material) with the GNPS spectral library, allowing the confirmation of its molecular identity.
2.1. HEXA Failed in Inducing Central Nervous System Effects in Mice
The treatment with HEXA (200 mg/kg) did not alter the animals’ motor coordination compared to the negative control group in the rotarod test. In addition, the number of falls and the time the treated animals spent on the bar was similar to the negative control group. Concerning the open-field test, the treatment with HEXA (200 mg/kg) did not affect behavioral parameters such as rearing (lifting) and grooming (self-cleaning), nor did it alter the number of crossings. Together, these results suggest that HEXA has no evident central nervous system activity.
2.2. HEXA Has Antinociceptive Activity In Vivo: Central and Peripheral Effects
The administration of acetic acid induces abdominal writhing in untreated mice. treatments with HEXA at doses of 50, 100, and 200 mg/kg caused a significant reduction in the amount of abdominal writhing by 84.99%, 87.99%, and 89.49% (p < 0.0001), respectively, compared to the untreated group (Figure 1A).

Figure 1.
Antinociceptive effect of HEXA (50, 100, and 200 mg/kg) by acetic acid-induced abdominal writhing test (A); the hot plate test (B) and the hypernociception measure by Von Frey test induced by CFA (C). The arrow indicates the treatment day. One-way ANOVA followed by Tukey’s test. (* p < 0.05; ** p < 0.01; *** p < 0.001; **** p < 0.0001; ns = not significant when compared to the negative control group) for the acetic acid-induced abdominal writhing test. Two-way ANOVA followed by Tukey’s test (* p < 0.05; ** p < 0.01; *** p < 0.001; **** p < 0.0001 when compared to the negative control group) for hot plate and hypernociception induced by CFA assay.
In the hot plate model, treatments with HEXA at doses of 50, 100, and 200 mg/kg significantly increased the time the animals remained on the hot plate by 69.17%, 68.13%, and 71.98%, (p < 0.0001), respectively, when compared to the negative control group. A time-point analysis revealed that the lowest dose (50 mg/kg) increased the latency by 66.67%, 56.89%, 48%, and 67.89% at 30, 60, 120, and 180 min. (p < 0.0001). In these respective time points, the dose of 100 mg/kg increased the permanence by 68%, 50.62%, 47.32%, and 65.27%, while the dose of 200 mg/kg increased the permanence of the animals by 70.67%, 58.12%, 50%, and 72.63% (p < 0.0001) (Figure 1B) (F (15, 120) = 2951).
The treatments with HEXA at 50, 100, and 200 mg/kg significantly increased the pain threshold by 75.30%, 83.32%, and 74.52%, respectively, thus demonstrating the antinociceptive activity of HEXA in this model when compared to the negative control group. Regarding the time intervals, treatment with HEXA at a dose of 50 mg/kg increased the pain threshold by 42.83% (day 01), 58.83% (day 02), 69.01% (day 03), 54% (day 04), 99.39% (day 05), 90% (day 06), 51.44% (day 07), 62.43% (day 08), 84% (day 09), 77.22% (day 10), 72.49% (day 11), 76.05% (day 12), 87.46% (day 13), 93.44% (day 14), 69.67% (day 15), 64.18% (day 16), 89.42% (day 17), 89.42% (day 18), 70.50% (day 19), 74.70% (day 20), and 89.89% (day 21) (p < 0.0001) when compared to the negative control group (Figure 1C).
On the other hand, treatment with HEXA at a dose of 100 mg/kg increased the threshold by 44.41% (day 01), 57.95% (day 02), 69.17% (day 03), 89.24% (day 04), 92.85% (day 05), 89.64% (day 06), 99.80% (day 07), 74.90% (day 08), 89.82% (day 09), 86.30% (day 10), 87.02% (day 11), 86.57% (day 12), 99.99% (day 13), 74.75% (day 14), 77.68% (day 15), 68.94% (day 16), 93.06% (day 17), 93.06% (day 18), 96.40% (day 19), 86.31% (day 20), and 84.37% (day 21) (p < 0.0001), respectively, when compared to the negative control group (Figure 1C).
Finally, treatment with HEXA at a dose of 200 mg/kg increased the threshold by 45.70% (day 01), 45.92% (day 02), 53.12% (day 03), 87.85% (day 04), 97.11% (day 05), 87.09% (day 06), 93.83% (day 07), 64.70% (day 08), 71.28% (day 09), 77.22% (day 10), 61.66% (day 11), 66.50% (day 12), 99.98% (day 13), 70.66% (day 14), 60.81% (day 15), 96.24% (day 16), 83.64% (day 17), 83.64% (day 18), 99.98% (day 19), 68.62% (day 20), and 89.15% (day 21) (p < 0.0001), respectively, when compared to the negative control group (Figure 1C).
2.3. Formalin-Induced Nociception Test of HEXA and CA
Animals treated with HEXA showed a significant reduction in paw-licking time in the first phase and the second phase compared to the negative control group. In the first phase (Figure 2A), treatment with doses of 50, 100, and 200 mg/kg caused a reduction of 77.63%, 59.37%, and 58.44% (p < 0.001, F = 0.114), respectively, while in the second phase (Figure 2B), the same doses caused reductions of 56.74%, 69.43, and 54.02% (p < 0.0001, F = 15.08), respectively, compared to the control group. On the other hand, treatment with CA at doses of 0.8 and 1.8 mg/kg reduced paw-licking time by 36.40% and 22.17% (p < 0.0001, F = 46.26), respectively, in the first phase (Figure 2C). However, only the 1.8 mg/kg dose reduced licking time significantly by 47.97% (p < 0.0001, F = 23.55) in the second phase (Figure 2D) when compared to the control group.
Figure 2.
Evaluation of the antinociceptive effect of HEXA (50, 100, and 200 mg/kg) and CA (0.18 and 1.8 mg/kg) on the neurogenic phase (phase 1—(A,C)) and inflammatory phase (phase 2—(B,D)) against formalin-induced pain in mice. These values represent the arithmetic mean ± SE (Standard Error of the Mean) (n = 6/group). One-way ANOVA followed by Tukey’s test. (* p < 0.05; *** p < 0.001; **** p < 0.0001; ns = not significant when compared to the negative control group).
2.4. Analysis of Signaling Pathways Underlying the Analgesic Effect of HEXA and CA
2.4.1. Vanilloid System
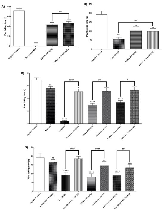
The administration of HEXA (100 mg/kg), CA (1.8 mg/kg), and ruthenium red (a non-selective antagonist of transient potential receptors -TRP) significantly reduced paw-licking time by 39.84%, 34.42%, and 99.77% (p < 0.0001, F = 131.5), respectively, in animals challenged with capsaicin, a TRPV1 receptor agonist, when compared to the negative control group (Figure 3A). However, while the antagonist fully inhibited the nociceptive response, the natural products caused partial inhibition.


Figure 3.
Signaling pathways underlying the antinociceptive response of HEXA (100 mg/kg) and CA (1.8 mg/kg) in the antinociceptive response: (A) vanilloid; (B) glutamatergic; (C) opioid; (D) L-Arginine/Nitric Oxide/cGMP; (E) cyclic guanosine monophosphate. (F) Participation of α2-adrenergic receptors; (G) K+ATP channels against formalin-induced pain in mice. Values present the mean ± SE (Standard Error of the Mean) (n = 6/group). One-way (ANOVA) followed by the Tukey test (* p < 0.05; ** p < 0.01; *** p < 0.001; **** p < 0.0001 when compared to the negative control group; # p < 0.05; ## p < 0.01; #### p < 0.0001 when comparing agonist vs. antagonist + agonist or HEXA alone vs. antagonist + HEXA group; ns = not significant).
2.4.2. Glutamatergic Pathway
The treatment with HEXA (100 mg/kg), CA (1.8 mg/kg), and ascorbic acid reduced the licking time by 33.66%, 53.60%, and 68.44% (p < 0.0001, F = 12.71) respectively, after intraplantar injection of glutamate, compared to challenged and non-treated animals. These results demonstrate the potential participation of the glutamatergic pathway in the antinociceptive effect of the compounds (Figure 3B).
2.4.3. Opioid Pathway
The administration of HEXA (100 mg/kg), CA (1.8 mg/kg), and morphine significantly reduced nociception time by 57.28%, 51.21%, and 94.20%, (p < 0.0001, F = 26.36), respectively, when compared to the negative control group (Figure 3C). Notably, the magnitude of inhibition was significantly higher in the morphine group. When the animals received pretreatment with naloxone, the antinociceptive effect of HEXA and CA was reversed, suggesting that both treatments could modulate nociception by interfering with the opioid system.
2.4.4. L-Arginine/Nitric Oxide/cGMP Pathway
Swiss mice treated with HEXA (100 mg/kg), CA (1.8 mg/kg), and L-NOARG had nociception time significantly reduced by 57.77%, 52.99%, and 51.68%, (p < 0.0001, F = 36.14), respectively, in comparison with the negative control group. The pretreatment with L-arginine was found to reverse the analgesic effect of HEXA and CA, suggesting an interference of HEXA and CA on the NO signaling pathway (Figure 3D).
2.4.5. Cyclic Guanosine Monophosphate (cGMP) Pathway
The treatment with HEXA (100 mg/kg), CA (1.8 mg/kg), and methylene blue reduced the animals’ licking time by 56.11%, 38.98%, and 98.8% (p < 0.0001, F = 17.14) respectively, when compared to untreated animals. However, pretreatment with methylene blue did not affect the analgesic effect of HEXA and CA (Figure 3E). Nevertheless, the participation of this pathway in the mechanisms underlying the antinociceptive effect of the compounds cannot be ruled out.
2.4.6. Involvement of the α2-Adrenergic Receptor
The groups of mice treated with HEXA (100 mg/kg), CA (1.8 mg/kg), and clonidine (α2 receptor agonist) had nociception time significantly reduced by 52.99%, 53.27%, and 92.99%, (p < 0.0001, F = 54.83), respectively, in comparison with the negative control group. The pretreatment with yohimbine (α2 receptor antagonist) was found to reverse the analgesic effect of HEXA and CA, suggesting that these products interfere with α2-adrenergic receptor signaling (Figure 3F).
2.4.7. K+ATP Channel-Dependent Signaling
When treated with HEXA at a dose of 100 mg/kg and CA at a dose of 1.8 mg/kg, the animals showed a decrease in paw-licking time by 38.70% and 36.41% (p < 0.0001, F = 10.04) respectively, compared to the control group. In the HEXA group, and when the animals received pretreatment with glibenclamide, the pain-relieving effect was reversed. However, this effect was not observed in the combined treatment with glibenclamide and CA (see Figure 3G), suggesting that HEXA components could partially act on K+ATP channels. However, this effect was not observed in the combined treatment with glibenclamide and CA (Figure 3G).
2.4.8. Cholinergic Pathway
The treatment with HEXA (100 mg/kg), CA (1.8 mg/kg), and acetylcholine reduced nociception time by 53.33%, 39.55%, and 62.67% (p < 0.0001, F = 17.15), respectively, when compared to the control group. When the animals in the HEXA and CA groups received pretreatment with atropine, the antinociceptive effect was not affected, indicating that there is no clear relationship between this mechanism and the analgesic effect of the natural products investigated in this study (Figure 4A).

Figure 4.
Participation of (A) cholinergic, (B) adenosinergic, (C) dopaminergic pathway, and (D) serotonergic system for the antinociceptive response of HEXA (100 mg/kg) and CA (1.8 mg/kg) against formalin-induced pain in mice. The values present the mean ± SE (Standard Error of the Mean) (n = 6/group). One-way (ANOVA) followed by the Tukey test (* p < 0.05; ** p < 0.01, *** p < 0.001; **** p < 0.0001 when compared to the negative control group; #### p < 0.0001 when comparing agonist vs. agonist + antagonist; ns = not significant).
2.4.9. Adenosinergic Pathway
The treatment with HEXA (100 mg/kg) and CA (1.8 mg/kg) significantly reduced the animals’ licking time by 49.27% and 59.12% (p < 0.0001, F = 15.37), respectively, after intraplantar formalin injection compared to the control group. However, there was no statistical difference when the animals in the HEXA and CA groups received pretreatment with caffeine, a non-specific inhibitor of the pathway (see Figure 4B).
2.4.10. Dopaminergic System
The treatment with HEXA (100 mg/kg) and CA (1.8 mg/kg) significantly reduced by 41.87% and 49.49%, (p < 0.0001, F = 23.70), respectively, the animals’ licking time after when compared to the negative control group. However, no statistical difference was observed when the animals of the HEXA and CA groups received pretreatment with haloperidol, thus suggesting that none of these substances inhibit the adenosinergic signaling pathway (Figure 4C).
2.4.11. Involvement of the Serotonergic System
After receiving HEXA (100 mg/kg) and CA (1.8 mg/kg) treatments, the animals showed a 46.65% and 45.73% (p < 0.0001, F = 15.33) reduction in licking time compared to the control group. Additionally, when the HEXA and CA groups were given a pre-treatment of PCPA, the antinociceptive effect was sustained, indicating that both HEXA and CA do not affect the serotonergic signaling pathway (Figure 4D).
3. Discussion
This study contributes new insights into the potential mechanisms of action underlying the antinociceptive effect of Ximenia americana L. bark extract (HEXA) and its major constituent caffeic acid (CA). In this context, significant reductions in pain responses were demonstrated through different assessment tests such as formalin, acetic acid, hot plate, and complete Freund’s adjuvant as well as through the pharmacological modulation of pain signaling pathways that to date have not been previously reported in the literature. Previous studies have shown that HEXA has clinical safety by presenting low toxicity (LD50 > 2000 mg/kg), as well as caffeic acid (LD50 = 4850 mg/kg) [32,33].
In our previously published data, our research group demonstrated that the extract of Ximenia americana L. used in this study (HEXA) has a unique chemical profile. It is characterized by the presence of alkaloids, steroids, saponins, glycosides, cyanogenic glycosides, anthraquinone, and, principally, flavonoids, terpenoids, and tannin derivatives. The quantitative analysis by HPLC revealed rutin, gallic acid, quercetin, catechin, kaempferol, chlorogenic acid, ellagic acid, caffeic acid, and quercitrin as the main compounds [18,22,23,34]. The literature’s comprehensive chemical profile, combined with the isolation of several other compounds from this species, including sambunigrin, gallic acid, catechin, and different stereoisomers of (epi)catechin, gallotannins quercetin, quercetin-3-O-β-xylopyranoside, quercetin-3-O-(6″-galloyl)-β-glucopyranoside quercitrin, avicularin, β-glucogalin, 1,6-digalloyl-β-glucopyranose, and kaempferol-3-O-(6″-galloyl)-β-glucopyranoside [16,35,36,37,38,39], underscores its potential for drug discovery, providing a solid foundation for further research in pharmacology.
Previous research by Coutinho et al. (2009) demonstrated that quercitrin presents anti-inflammatory effects, while epicatechin isolated from ethanolic extracts of X. americana bark [40,41] and flavonoid-rich fractions obtained from the roots of this species showed antinociceptive activity and antioxidant potential [42]. In addition, caffeic acid has previously been shown to have biological activities such as antimicrobial [26], anticancer [43], muscle relaxant [44], antioxidant [45], gastroprotective, and antinociceptive activities. Corroborating with our results, the literature shows evidence that this antinociceptive effect is dose-dependent and may be mediated by nitric oxide [46] through the downregulation of NF-κB, α2-adrenergic and opioidergic receptors [29], but it does not involve serotonergic pathways.
Thus, the antinociceptive activity of the HEXA can be justified by the presence of bioactive compounds with proven pharmacological properties. Our studies demonstrated the therapeutic potential of various formulations obtained from different parts of X. americana. For instance, an extract from the stem of this species showed topical anti-inflammatory potential in ear edema models [22], while the ethanol extract showed anticonvulsant activity in models of acute inflammation [47]. Moreover, the total polysaccharides obtained from X. americana showed anti-inflammatory and antinociceptive action in a model of acute pancreatitis. It was demonstrated that their pharmacological actions might occur through type 2 cannabinoid receptors [48].
Regarding the biological activities investigated in the present study, it was observed through the open-field and rotarod tests that HEXA, at the highest dose evaluated in the present study, did not promote central nervous system activity, suggesting that the antinociceptive effects observed in this study do not occur due to a change in behavioral parameters such as incoordination from either stimulant or depressant, evaluated in the rotarod and open-field models. The study found that HEXA, when orally administered at doses of 50, 100, and 200 mg/kg, demonstrated an antinociceptive effect by reducing nociception in mice models challenged with acetic acid and formalin, as evidenced by decreased abdominal writhing and paw licking. The results of the study showed that HEXA significantly reduced the amount of writhing, indicating a possible peripheral analgesic effect by inhibiting the release of these mediators.
Regarding the formalin test, treatment with HEXA and CA significantly reduced nociception in both the first and second phases of the test, suggesting a possible inhibition of cell activation and mediator release. Zhen et al. (2015) demonstrated that an extract obtained from X. caffra, chemically characterized by the presence of phenolic compounds also identified in X. americana, including gallic acid, catechin, quercetin, and kaempferol and its derivatives, showed antioxidant, antiproliferative, and anti-inflammatory potential, reinforcing the potential action of the extract on the inflammatory component of the nociceptive response [49]. In the hot plate test, the HEXA significantly increased the time the animals remained on the plate, which suggests the intriguing possibility that the extract may also act at a supraspinal level.
Complete Freund’s adjuvant (CFA) is commonly used in chronic in vivo models. It triggers an inflammatory process that lowers nociceptive thresholds, leading to the development of allodynia and hyperalgesia in inflamed limbs. This compound induces an inflammatory response involving mediators such as histamine, serotonin, cytokines, glutamate, and prostaglandins [50,51], resulting in edema and persistent mechanical hyperalgesia in chronic models [52], as well as causing long-lasting mechanical allodynia in mice [53]. The latest findings demonstrate that HEXA significantly reduces allodynia and hyperalgesia, supporting the idea that this extract might inhibit the release of nociceptive process mediators, as previously suggested in this study. A study by Gamato et al. (2011) revealed that caffeic acid was more potent than its derivative rosmarinic acid in nociception models, with the 10 mg/kg dose showing the most significant antinociceptive potential [54].
The extract of X. americana stem significantly reduced the chronic inflammatory process in a tendinitis model [55]. The study conducted by Da Palma et al. (2020) demonstrated that hydroalcoholic extracts obtained from the leaves and bark of X. americana presented wound-healing effects in acute, subchronic, and chronic stages of injury in mice. Thus, the therapeutic potential of this species in treating acute pain in both the acute and chronic phases is suggested. Given these results, the present study aimed to investigate the potential signaling pathways underlying the analgesic effects of HEXA and its major constituent caffeic acid. For this purpose, we chose signaling pathways that are critically involved in the painful process, including the opioid, cholinergic, α2-adrenergic, adenosinergic, dopaminergic, glutamatergic, vanilloid, and serotoninergic pathways as well as those mediated by cyclic guanosine monophosphate, nitric oxide, and K+ATP channels.
The opioid signaling pathway involves G protein-coupled receptors (Gi/0 subfamily), whose activation inhibits the enzyme adenylate cyclase, leading to the degradation of cyclic adenosine monophosphate (cAMP) and blocking downstream events mediated by protein kinase A (PKA) [56]. Moreover, through this signaling pathway, opioid agonists open potassium channels and inhibit the opening of voltage-gated calcium channels [57], reducing the activity of nociceptor neurons and the release of neurotransmitters [56]. The results obtained in this study indicate that HEXA and CA can interfere with the opioid signaling pathway, which corroborates the results obtained in the hot plate assay.
Nitric oxide (NO) indirectly mediates the inflammatory process, contributing to vascular and cellular events. Since this mediator is produced from L-arginine under the action of NO-synthase (NOS), the inhibition of this synthesis pathway is associated with the inhibition of the pain process [58,59]. L-NOArg, an L-arginine analog, competitively inhibits NOS, blocking thus nitric oxide synthesis [60]. The present study showed that both HEXA and CA affect NO-mediated pain, corroborating the study by Kolgazi et al. (2021), who suggested that the gastroprotective potential of caffeic acid depends on the modulation of the nitric oxide pathway by regulation of NF-κB through NIK/IKK and c-Src/ERK signaling pathways [61].
The vanilloid receptor pathway or transient receptor potential vanilloid type 1 (TRPV1) is sensitive to a variety of harmful stimuli, such as temperatures elevated to ±42 °C, lipid mediators, and vanilloid compounds such as capsaicin and resiniferatoxin [62,63]. The activation of these receptors results in neuron depolarization, leading to the release of multiple neuropeptides [64]. Ruthenium red, a non-selective antagonist of vanilloid receptors, is used to evaluate the potential interaction of substances with vanilloid receptors [65]. Glutamate induces a nociceptive response by activating glutamatergic receptors at supraspinal, spinal, and peripheral sites [66]. This neurotransmitter activates AMPA (α-amino-3-hydroxy-5-methyl-4-isoxazole propionic acid) and NMDA (N-Methyl-D-Aspartic acid) receptors, thus allowing the passage of Na+ and Ca2+, facilitating the action potential and subsequent nociceptive responses [67].
Such inhibition also results in the availability of cGMP, providing peripheral antinociception through the opening of ATP-sensitive K+ channels [68]. On the other hand, the administration of methylene blue causes the activation of the guanylate cyclase enzyme, which catalyzes cGMP production [69]. In the present study, it was evidenced that both HEXA and CA act synergistically. The analgesic pathway mediated by α2 receptors involves Gi-mediated inhibition of presynaptic Ca2+ channels, preventing glutamate (excitatory neurotransmitter) from being released from primary afferent fibers [70]. Simultaneously, the opening of K+ channels results in hyperpolarization, causing a decrease in the excitability of postsynaptic cells [71]. Agonists of these receptors have analgesic properties involving peripheral and central mechanisms [72]. In this study, the evaluation of HEXA in this pathway indicates that the antinociceptive effect of this extract can involve the participation of these receptors.
K+ATP channels are directly involved in cell hyperpolarization, consecutively decreasing intracellular concentrations of Ca2+ and reducing the release of neurotransmitters, thus inhibiting nociception. Experimentally, the administration of glibenclamide blocks these channels [73]. From the results obtained in the study, it is reasonable to hypothesize that the action of HEXA affects the activation of potassium channels, contributing to the observed analgesic effect.
The findings of this study indicate that HEXA exhibits antinociceptive effects both centrally and peripherally. These effects may be attributed to its ability to suppress the release of inflammatory mediators or regulate their interaction with receptors involved in pain perception. This research revealed that the components of the extract of X. americana can influence multiple pain pathways with the modulation of α2-adrenergic, nitric oxide, glutamatergic, vanilloid, cyclic guanosine monophosphate, and K+ATP channel-dependent pathways. On the other hand, caffeic acid specifically influences the opioid, glutamatergic, and vanilloid pathways by inhibiting nitric oxide and cyclic guanosine monophosphate.
4. Materials and Methods
4.1. Drugs, Reagents, and Doses
The substances used in this study were obtained from Sigma-Aldrich. The other substances used in the tests were the following: formalin (PubChem CID = 712), morphine (5 mg/kg; s.c.) (PubChem CID = 5288826), L-NOARG ((PubChem CID = 440005), ruthenium red (PubChem CID = 117587625), capsaicin (PubChem CID = 1548943), glutamate (PubChem CID = 23689119), methylene blue (PubChem CID = 6099), clonidine (PubChem CID = 20179), yohimbine (PubChem CID = 6169), glibenclamide (PubChem CID = 3488), acetylcholine (PubChem CID = 6060), atropine (PubChem CID = 174174), caffeine (PubChem CID = 2519), and p-chlorophenyl alanine (PubChem CID = 46520). Methanol, acetonitrile (LiChrosolv®, ≥99.9%), and ammonium hydroxide (NH4OH) were purchased from Sigma-Aldrich (St. Louis, MO, USA).
HEXA was obtained as previously described by da Silva et al. (2018) [20] and administered at 50, 100, and 200 mg/kg orally. Caffeic acid (PubChem CID = 689043) was administered at 0.18 mg/kg and 1.8 mg/kg.
4.2. Chemical Profile by Electrospray Ionization–Mass Spectrometry (ESI-MS) Analysis
In the previous work, Silva et al. (2018), we determined the chemical profile of HEXA compounds, identifying 21 compounds using HPLC-DAD. However, in the current study, the analysis focuses specifically on the compound caffeic acid. For this purpose, electrospray ionization–mass spectrometry (ESI-MS) analysis was utilized.
The sample was prepared by dissolving the dried extract in 1 mL of a methanol/acetonitrile mixture (2:1, v:v) containing 10 μL of ammonium hydroxide. The ESI-MS analyses were performed on a high-resolution Quadrupole-Orbitrap hybrid mass spectrometer (Q-Exactive, Thermo Scientific, Waltham, MA, USA). The ESI source conditions were set as follows: negative ionization mode, spray voltage of 3.2 kV, capillary temperature of 320 °C, S-Lens RF level at 45 V, sheath gas flow rate at 8 L min−1, and auxiliary gas flow rate at 5 L.min−1, and for MSMS, a collision energy of 15 eV was used.
Compound Annotation
The mass spectrometer data files were converted from (.raw) to (.mzML) format using MSconvert software v.3 (ProteoWizard, Palo Alto, CA, USA) and processed using the online platform (https://gnps.ucsd.edu/ProteoSAFe/static/gnps-splash.jsp, accessed on 10 July 2024) to retrieve compound information. Molecular annotations were based on the comparison of experimental MS/MS spectra with the GNPS spectral library using tools such as Molecular Networking [74].
4.3. Animals
The animals used were Swiss mice (Mus musculus) of both sexes weighing 20–30 g and housed in polypropylene cages (410 × 282 × 150 mm; n = 6) at 24 ± 2 °C with a 12 h light/dark cycle, with free access to water and specific chow (Labina, Presence®). Mice were fasted from solids for 6–8 h before experiments.
4.4. Ethical Information
The study adhered to guidelines from CONCEA, U.K. Animals (Scientific Procedures) Act, 1986, EU Directive 2010/63/EU, and NIH guidelines. Protocols were approved by the Ethics Committee on Animal Use of URCA (approval number 180/2020.2).
4.5. Evaluation of the Effects of HEXA on the Central Nervous System
4.5.1. Rotarod Performance Test
Mice (n = 3/group) were treated with water (10 mL/kg; p.o.) or HEXA (200 mg/kg; p.o.). After 1 h, the number of falls and time on the rotating rod were recorded [75].
4.5.2. Open-Field Test
Mice (n = 3/group) were treated with water (10 mL/kg; p.o.) or HEXA (200 mg/kg; p.o.). After 1 h, the number of fields explored in a 30 cm2 open field was observed for 5 min [76].
4.6. Screening for the Antinociceptive Effect
The antinociceptive effect was assessed using acetic acid-induced writhing, formalin, hot plate, and Von Frey tests. Mice were divided into groups (n = 6) and treated with water (10 mL/kg; p.o.) or HEXA (50, 100, or 200 mg/kg; p.o.) [77]. The experimental timeline is shown in Figure 1.
4.6.1. Acetic Acid-Induced Abdominal Contortions
Mice (n = 6/group) were treated with water (10 mL/kg; p.o.) or HEXA (50, 100, or 200 mg/kg; p.o.) 1 h before 0.6% acetic acid (i.p.). The amount of writhing was recorded for 30 min [76,78].
4.6.2. The Formalin Test
Mice (n = 6/group) were treated with water (10 mL/kg; p.o.), HEXA (50, 100, or 200 mg/kg; p.o.), or CA (0.18, 1.8 mg/kg). After 1 h, 2.5% formalin (20 μL) was administered, and the nociceptive response was observed at 0–5 min and 15–30 min post injection [79].
4.7. Evaluation of Central and Peripheral Antinociceptive Responses
4.7.1. Hot Plate Test
Mice (n = 6/group) were treated with water (10 mL/kg; p.o.) or HEXA (50, 100, or 200 mg/kg; p.o.). Latency time was recorded at various intervals up to 180 min post treatment [76,80].
4.7.2. Mechanical Pressure Hypernociception (Von Frey Test)
Mice (n = 6/group) were subjected to mechanical stimulation in the right paw at 24 h and 30 min (basal measure) before the test. After 30 min, the animals received an injection (20 μL/paw) of complete Freund’s adjuvant (CFA) (1 mg/mL) in the right hind paw. The animals were treated with water (10 mL/kg; p.o.) or HEXA (50, 100, or 200 mg/kg, p.o.). Subsequently, treatments were carried out on the 5th, 9th, 13th, 17th, and 21st days after induction. The test was performed using the Von Frey apparatus. Briefly, the animals were placed individually in glass boxes (12 × 20 × 20 cm) supported on an elevated surface and covered with a wire mesh. After 1 h of acclimatization, the stimulus was applied with a rod with a constant force on the plantar surface of the right hind paw (to assess hypernociception to the lesion in injured mice) using the Von Frey filament resistance apparatus for 21 consecutive days. The force in (g) was determined by removing the paw from the filament. The force was applied six times, and the average of the three most similar values was considered [81,82].
4.8. Investigation of the Signaling Pathways Associated with the Analgesic Effect of HEXA and AC
The effect of HEXA (100 mg/kg; b.w.) or CA (1.8 mg/kg; b.w.) on pain signaling pathways was evaluated using the formalin assay through the pharmacological signaling pathways, including opioid receptor, nitric oxide, vanilloid, glutamatergic, cyclic guanosine monophosphate pathway, adrenergic α-2, K+ATP channels, cholinergic, adenosinergic, dopaminergic, and the serotonergic pathways.
In the formalin model, mice (n = 6) were pretreated with HEXA (100 mg/kg; p.o.), CA (1.8 mg/kg; p.o.), or, according to the signaling pathway: opioid—morphine (agonist—5 mg/kg; s.c.) and naloxone (antagonist—4 mg/kg; i.p.) [83]; nitric oxide—L-NOARG (nitric oxide synthase (NOS) inhibitor—75 mg/kg; i.p.) and L-arginine (NOS substrate—600 mg/kg; i.p.) [84,85]; vanilloid—ruthenium red (non-selective TRP antagonist—3 mg/kg; i.p.) and capsaicin (TRPV1 receptor agonist—5.2 nmol/paw) [66]; glutamatergic—ascorbic acid (100 mg/kg; i.p.) and buffered glutamate (20 μmol/paw) [86,87,88,89]; cGMP—methylene blue (guanylate cyclase inhibitor—20 mg/kg; i.p.) [66]; α2-adrenergic—clonidine (agonist—0.1 mg/kg; i.p.) and yohimbine (antagonist—0.15 mg/kg; i.p.) [90]; K+ATP channels—glibenclamide (K+ATP channel blocker—3 mg/kg; i.p.) [66,91]; cholinergic—acetylcholine (agonist—1 mg/kg; i.p.) and atropine (antagonist—1 mg/kg; i.p.) [85]; adenosinergic—caffeine (10 mg/kg; i.p.) [92]; dopaminergic—haloperidol (non-selective dopamine receptor antagonist—0.2 mg/kg; i.p.) [93,94]; and serotoninergic—p-chlorophenyl alanine (PCPA) (serotonin receptor antagonist—100 mg/kg; i.p.) [95,96].
4.9. Statistical Analysis
The values were expressed as mean ± SEM. Data were analyzed by one-way ANOVA followed by Tukey’s test or two-way ANOVA followed by Dunnett’s or Tukey’s post hoc, using the GraphPad Software version 6.1. p-values < 0.05 were considered significant.
5. Conclusions
In conclusion, HEXA and CA have significant antinociceptive effects in the absence of evident central nervous system (CNS) toxicity in mice and, as such, have the potential to be used in the development of new analgesic drugs. The present results bring new insights into the antinociceptive effects of HEXA and CA as well as the main mechanisms underlying their effects in pain management, shedding light on the search for new therapeutic alternatives.
Supplementary Materials
The following supporting information can be downloaded at: https://www.mdpi.com/article/10.3390/ph17121671/s1, Figure S1: Chromatogram of ESI-MS scanning by UPLC-MS; Table S1: Results of compound annotation in the hydroethanolic extract of X. americana L. through molecular network analysis.
Author Contributions
Conceptualization and resources, R.T.P.; methodology and resources, L.Y.S.d.S. and I.S.A.; validation and formal analysis, T.M.S.; investigation and data curation, E.d.S.S.; formal analysis and visualization, R.H.S.d.C.; investigation and visualization, A.B.d.S.; writing—original draft and supervision, J.R.-F.; methodology and writing—original draft, A.O.B.P.B.M.; writing—review and editing and. visualization, H.D.M.C.; methodology and validation, J.C.P.S.; methodology and investigation, A.R.C.; methodology and validation, R.N.M.; project administration and writing—review and editing, I.R.A.d.M. All authors have read and agreed to the published version of the manuscript.
Funding
Acknowledges financial support from CNPq-PQ (Grant 303438/2021-5) and FUNCAP-UNIVERSAL (Grant 404780/2021-0) and CNPq (Grant 406522/2021-9-1).
Institutional Review Board Statement
The animal study protocol was approved by the Institutional Ethics Committee on Animal Use of Regional University of Cariri—URCA (approval number 180/2020.2).
Informed Consent Statement
Not applicable.
Data Availability Statement
Data is contained within the article or Supplementary Material.
Acknowledgments
The authors would like to thank the financial support provided by Coordination for the Improvement of Higher Education Personnel—Brazil (CAPES); Cearense Foundation to Support Scientific and Technological Development (FUNCAP)—finance code BPI; National Council for Scientific and Technological Development (CNPq)—finance code 304291/2017-0; and Financier of Studies and Projects—Brasil (FINEP). This article is a contribution of the National Institute of Science and Technology—Ethnobiology, Bioprospecting, and Nature Conservation/CNPq/FACEPE and Excitotoxicity and Neuroprotection (INCT-EN); National Institute of Science and Technology of the Health Economic–Industrial Complex (iCEIS); and National Institute of Science and Technology in Analytical Chemistry of Food: Food Safety and Characterization of Functional Foods (INCT-ALIM) for the support offered to carry out this work.
Conflicts of Interest
The authors declare that they have no known competing financial interests or personal relationships that could have appeared to influence the work reported in this paper.
References
- Baral, P.; Udit, S.; Chiu, I.M. Pain and Immunity: Implications for Host Defence. Nat. Rev. Immunol. 2019, 19, 433–447. [Google Scholar] [CrossRef] [PubMed]
- Matsuda, M.; Huh, Y.; Ji, R.R. Roles of Inflammation, Neurogenic Inflammation, and Neuroinflammation in Pain. J. Anesth. 2019, 33, 131–139. [Google Scholar] [CrossRef] [PubMed]
- Arthur, J.; Bruera, E. Balancing Opioid Analgesia with the Risk of Nonmedical Opioid Use in Patients with Cancer. Nat. Rev. Clin. Oncol. 2019, 16, 213–226. [Google Scholar] [CrossRef] [PubMed]
- Cohen, S.P.; Vase, L.; Hooten, W.M. Chronic Pain: An Update on Burden, Best Practices, and New Advances. Lancet 2021, 397, 2082–2097. [Google Scholar] [CrossRef] [PubMed]
- Day, R.O.; Graham, G.G. Non-Steroidal Anti-Inflammatory Drugs (NSAIDs). BMJ 2013, 346, f3195. [Google Scholar] [CrossRef]
- Lima, C.P.; Silva, H.R.D.O.; Pogian, V.B.; Santos, V.G. Pharmaceutical Evaluation of the Risks of the Use of Non-Steroid Anti-Inflammatories. Unisanta Health Sci. 2020, 4, 1–20. [Google Scholar]
- Silva, L.A.; Gerica, O.; Al, H. Review on Non-Steroid Antiinflammatory: Acetylsalicylic Acid. Rev. Iniciaç. Cient. Ext. 2018, 1, 169–174. [Google Scholar]
- Mohammad, F.; Hasan, E.; Wedad, A.; Mohamed, E.G. Natural Antioxidant Flavonoids in Formalin-Induced Mice Paw Inflammation; Inhibition of Mitochondrial Sorbitol Dehydrogenase Activity. J. Biochem. Mol. Toxicol. 2017, 31, e21896. [Google Scholar] [CrossRef]
- Mussin, J.; Giusiano, G. Ethno–Phytopharmacology: Product Validation Process Based on Traditional Knowledge of Medicinal Plants. In Agricultural, Forestry and Bioindustry Biotechnology and Biodiscovery; Springer: Berlin/Heidelberg, Germany, 2020; pp. 331–353. [Google Scholar]
- Ribeiro, D.A.; de Oliveira, L.G.S.; de Macêdo, D.G.; de Menezes, I.R.A.; da Costa, J.G.M.; da Silva, M.A.P.; Lacerda, S.R.; de Almeida Souza, M.M. Promising Medicinal Plants for Bioprospection in a Cerrado Area of Chapada Do Araripe, Northeastern Brazil. J. Ethnopharmacol. 2014, 155, 1522–1533. [Google Scholar] [CrossRef]
- Sreekeesoon, D.P.; Mahomoodally, M.F. Ethnopharmacological Analysis of Medicinal Plants and Animals Used in the Treatment and Management of Pain in Mauritius. J. Ethnopharmacol. 2014, 157, 181–200. [Google Scholar] [CrossRef]
- Da Silva-Leite, K.E.S.; Assreuy, A.M.S.; Mendonça, L.F.; Damasceno, L.E.A.; De Queiroz, M.G.R.; Mourão, P.A.S.; Pires, A.F.; Pereira, M.G. Polysaccharide Rich Fractions from Barks of Ximenia americana Inhibit Peripheral Inflammatory Nociception in Mice Antinociceptive Effect of Ximenia americana Polysaccharide Rich Fractions. Rev. Bras. Farmacogn. 2017, 27, 339–345. [Google Scholar] [CrossRef]
- Jahromi, B.; Pirvulescu, I.; Candido, K.D.; Knezevic, N.N. Herbal Medicine for Pain Management: Efficacy and Drug Interactions. Pharmaceutics 2021, 13, 251. [Google Scholar] [CrossRef] [PubMed]
- Da Silva, G.G.; De Souza, P.A.; De Morais, P.L.D.; Dos Santos, E.C.; Moura, R.D.; Menezes, J.B. Caracterização Do Fruto de Ameixa Silvestre (Ximenia americana L.). Rev. Bras. Frutic. 2008, 30, 311–314. [Google Scholar] [CrossRef]
- Shettar, A.K.; Sateesh, M.K.; Kaliwal, B.B.; Vedamurthy, A.B. In Vitro Antidiabetic Activities and GC-MS Phytochemical Analysis of Ximenia americana Extracts. S. Afr. J. Bot. 2017, 111, 202–211. [Google Scholar] [CrossRef]
- Almeida, M.L.B.; Freitas, W.E.D.S.; De Morais, P.L.D.; Sarmento, J.D.A.; Alves, R.E. Bioactive Compounds and Antioxidant Potential Fruit of Ximenia americana L. Food Chem. 2016, 192, 1078–1082. [Google Scholar] [CrossRef]
- Aragão, T.P.; dos Prazeres, L.D.K.T.; Brito, S.A.; Neto, P.J.R.; Rolim, L.A.; da Silva Almeida, J.R.G.; Caldas, G.F.R.; Wanderley, A.G. alves Contribution of Secondary Metabolites to the Gastroprotective Effect of Aqueous Extract of Ximenia americana L. (Olacaceae) Stem Bark in Rats. Molecules 2018, 23, 112. [Google Scholar] [CrossRef]
- de Menezes, I.R.A.; da Costa, R.H.S.; Augusti Boligon, A.; Rolón, M.; Coronel, C.; Vega, C.; Melo Coutinho, H.D.; da Costa, M.S.; Tintino, S.R.; Silva Pereira, R.L.; et al. Ximenia americana L. Enhances the Antibiotic Activity and Inhibit the Development of Kinetoplastid Parasites. Comp. Immunol. Microbiol. Infect. Dis. 2019, 64, 40–46. [Google Scholar] [CrossRef]
- Da Palma, A.F.M.; Marques, L.K.M.; Carneiro, R.D.S.; Carvalho, G.F.S.; Ferreira, D.C.L.; Sant’Ana, A.E.G.; Maia Filho, A.L.M.; Marques, R.B.; Alves, W.D.S.; Uchôa, V.T.; et al. Evaluation of Hydroalcoholic Extracts of Stem and Leaves of Ximenia americana L. In the Healing of Excisional Acute Wounds in Mice. Rev. Virtual Quim. 2020, 12, 37–50. [Google Scholar] [CrossRef]
- da Silva, B.A.F.; da Costa, R.H.S.; Fernandes, C.N.; Leite, L.H.I.; Ribeiro-Filho, J.; Garcia, T.R.; Coutinho, H.D.M.; Wanderley, A.G.; de Menezes, I.R.A. HPLC Profile and Antiedematogenic Activity of Ximenia americana L. (Olacaceae) in Mice Models of Skin Inflammation. Food Chem. Toxicol. 2018, 119, 199–205. [Google Scholar] [CrossRef]
- Soro, T.Y.; Zahoui, O.S.; Nene-bi, A.S. Analgesic Activity of the Fractions of the Aqueous Extract of Ximenia americana (Linné) (Olacaceae). Int. J. Pharmacol. Toxicol. 2016, 4, 1. [Google Scholar] [CrossRef][Green Version]
- Kefelegn, G.A.; Desta, B. Ximenia americana: Economic importance, medicinal value, and current status in Ethiopia. Sci. World J. 2021, 1, 8880021. [Google Scholar] [CrossRef] [PubMed]
- da Costa, R.H.S.; Martins, A.O.B.P.B.; de Oliveira, M.R.C.; Alcântara, I.S.; Ferreira, F.F.; dos Santos, F.F.C.; de Araújo Delmondes, G.; da Cunha, F.A.B.; Coutinho, H.D.M.; de Menezes, I.R.A. Acaricide Activity of the Ximenia americana L. (Olacaceae) Stem Bark Hydroethanolic Extract against Rhipicephalus (Boophilus) Microplus. Biologia 2022, 77, 1667–1674. [Google Scholar] [CrossRef]
- Cizmarova, B.; Hubkova, B.; Bolerazska, B.; Marekova, M.; Birkova, A. Caffeic Acid: A Brief Overview of Its Presence, Metabolism, and Bioactivity. Bioact. Compd. Health Dis. 2020, 3, 74–81. [Google Scholar] [CrossRef]
- Alam, M.; Ahmed, S.; Elasbali, A.M.; Adnan, M.; Alam, S.; Hassan, M.I.; Pasupuleti, V.R. Therapeutic Implications of Caffeic Acid in Cancer and Neurological Diseases. Front. Oncol. 2022, 12, 860508. [Google Scholar] [CrossRef] [PubMed]
- Khan, F.; Bamunuarachchi, N.I.; Tabassum, N.; Kim, Y.M. Caffeic Acid and Its Derivatives: Antimicrobial Drugs toward Microbial Pathogens. J. Agric. Food Chem. 2021, 69, 2979–3004. [Google Scholar] [CrossRef]
- Nasr Bouzaiene, N.; Kilani Jaziri, S.; Kovacic, H.; Chekir-Ghedira, L.; Ghedira, K.; Luis, J. The Effects of Caffeic, Coumaric and Ferulic Acids on Proliferation, Superoxide Production, Adhesion and Migration of Human Tumor Cells in Vitro. Eur. J. Pharmacol. 2015, 766, 99–105. [Google Scholar] [CrossRef]
- Zielińska, D.; Zieliński, H.; Laparra-Llopis, J.M.; Szawara-Nowak, D.; Honke, J.; Giménez-Bastida, J.A. Caffeic Acid Modulates Processes Associated with Intestinal Inflammation. Nutrients 2021, 13, 554. [Google Scholar] [CrossRef]
- Park, S.H.; Sim, Y.B.; Kim, S.M.; Lee, J.K.; Jung, J.S.; Suh, H.W. The Effect of Caffeic Acid on the Antinociception and Mechanisms in Mouse. J. Appl. Biol. Chem. 2011, 54, 177–182. [Google Scholar] [CrossRef]
- Crevar-Sakač, M.; Vujić, Z.; Kotur-Stevuljević, J.; Ivanišević, J.; Jelić-Ivanović, Z.; Milenković, M.; Markelić, M.; Vujčić, Z. Uticaj Atorvastatina i Tinkture Lista Artičoke Na Oksidativni Stres Kod Pacova Sa Hiperholesterolemijom. Vojnosanit. Pregl. 2016, 73, 178–187. [Google Scholar] [CrossRef]
- Wu, Z.-J.; Ma, X.-L.; Fang, D.-M.; Qi, H.-Y.; Ren, W.-J.; Zhang, G.-L. Analysis of Caffeic Acid Derivatives from Osmanthus Yunnanensis Using Electrospray Ionization Quadrupole Time-of-Flight Mass Spectrometry. Eur. J. Mass Spectrom. 2009, 15, 415–429. [Google Scholar] [CrossRef]
- Pessoa, R.T.; Alcântara, I.S.; da Silva, L.Y.S.; da Costa, R.H.S.; Silva, T.M.; de Morais Oliveira-Tintino, C.D.; Ramos, A.G.B.; de Oliveira, M.R.C.; Martins, A.O.B.P.B.; de Lacerda, B.C.G.V.; et al. Ximenia americana L.: Chemical Characterization and Gastroprotective Effect. Analytica 2023, 4, 141–158. [Google Scholar] [CrossRef]
- Liu, Y.; Qiu, S.; Wang, L.; Zhang, N.; Shi, Y.; Zhou, H.; Liu, X.; Shao, L.; Liu, X.; Chen, J.; et al. Reproductive and Developmental Toxicity Study of Caffeic Acid in Mice. Food Chem. Toxicol. 2019, 123, 106–112. [Google Scholar] [CrossRef] [PubMed]
- Brandão, D.O.; Fernandes, F.H.A.; Júnior, F.J.L.R.; Silva, P.C.D.; Santana, C.P.; De Medeiros, F.D.; Véras, G.; Medeiros, A.C.D. Validation of UPLC Method for Determination of Gallic Acid from Ximenia americana L. Planta Med. 2014, 80, P2O60. [Google Scholar] [CrossRef]
- de Araújo, M.R.S.; da Costa Assunção, J.C.; Dantas, I.N.F.; Costa-Lotufo, L.V.; Monte, F.J.Q. Chemical Constituents of Ximenia americana. Nat. Prod. Commun. 2008, 3, 1934578X0800300605. [Google Scholar] [CrossRef]
- Le, N.H.T.; Malterud, K.E.; Diallo, D.; Paulsen, B.S.; Nergård, C.S.; Wangensteen, H. Bioactive Polyphenols in Ximenia americana and the Traditional Use among Malian Healers. J. Ethnopharmacol. 2012, 139, 858–862. [Google Scholar] [CrossRef]
- Queiroz Monte, F.J.; de Lemos, T.L.G.; de Arajo, M.R.S.; Sousa Gomes, E. de Ximenia americana: Chemistry, Pharmacology and Biological Properties, a Review. Phytochem.—A Glob. Perspect. Their Role Nutr. Health 2012, 1, 429–450. [Google Scholar] [CrossRef][Green Version]
- Siddaiah, M.; Jayavcera, K.N.; Mallikarjuna, R.P.; Ravindra, R.K.; Yasodha, K.Y.; Narender, R.G. Phytochemical Screening and Analgesic Activity of Methanolic Extract of Ximenia americana. J. Pharm. Chem. 2009, 3, 23–25. [Google Scholar]
- Hemamalini, K.; Srikanth, A.; Sunny, G.; Praneethkumar, H. Phytochemical Screening and Analgesic Activity of Methanolic Extract of Ximenia americana. J. Curr. Pharma Res. 2011, 1, 153. [Google Scholar]
- Coutinho, M.A.S.; Muzitano, M.F.; Costa, S.S. Flavonoids: Potential Therapeutic Agents for the Inflammatory Process. Rev. Virtual Quím. 2009, 1, 241–256. [Google Scholar] [CrossRef]
- Dias, T.L.M.F.; Melo, G.M.A.; Da Silva, Y.K.C.; Queiroz, A.C.; Goulart, H.F.; Alexandre-Moreira, M.S.; Santana, A.E.G.; Uchôa, V.T. Antinociceptive and Anti-Inflammatory Activities of the Ethanolic Extract, of Fractions and of Epicatechin Isolated from the Stem Bark of Ximenia americana L. (Oleacaceae). Rev. Virtual Quim. 2018, 10, 86–101. [Google Scholar] [CrossRef]
- Kiessoun, K.; Ouattara, N.; Arsène, M.; Souza, A.; Sytar, O.; Brestic, M.; Mamoudou, D.H. Anti-Nociceptive and Anti-Inflammatory Properties of Polyphenol-Rich Fractions of Roots from Ximenia americana L., (Olacaceae), in Experimental Mice. Int. J. Pharm. Pharm. Res. 2018, 12, 281–297. [Google Scholar]
- Matejczyk, M.; Świsłocka, R.; Golonko, A.; Lewandowski, W.; Hawrylik, E. Cytotoxic, Genotoxic and Antimicrobial Activity of Caffeic and Rosmarinic Acids and Their Lithium, Sodium and Potassium Salts as Potential Anticancer Compounds. Adv. Med. Sci. 2018, 63, 14–21. [Google Scholar] [CrossRef] [PubMed]
- de Alencar Silva, A.; Pereira-de-Morais, L.; Rodrigues da Silva, R.E.; de Menezes Dantas, D.; Brito Milfont, C.G.; Gomes, M.F.; Araújo, I.M.; Kerntopf, M.R.; Alencar de Menezes, I.R.; Barbosa, R. Pharmacological Screening of the Phenolic Compound Caffeic Acid Using Rat Aorta, Uterus and Ileum Smooth Muscle. Chem. Biol. Interact. 2020, 332, 109269. [Google Scholar] [CrossRef] [PubMed]
- Amorati, R.; Pedulli, G.F.; Cabrini, L.; Zambonin, L.; Landi, L. Solvent and PH Effects on the Antioxidant Activity of Caffeic and Other Phenolic Acids. J. Agric. Food Chem. 2006, 54, 2932–2937. [Google Scholar] [CrossRef] [PubMed]
- Kolgazi, M.; Cilingir, S.; Yilmaz, O.; Gemici, M.; Yazar, H.; Ozer, S.; Acikel-Elmas, M.; Arbak, S.; Suyen, G.G. Caffeic Acid Attenuates Gastric Mucosal Damage Induced by Ethanol in Rats via Nitric Oxide Modulation. Chem. Biol. Interact. 2021, 334, 109351. [Google Scholar] [CrossRef]
- Quintans-Júnior, L.J.; De Almeida, R.N.; Falcão, A.C.G.M.; de Fátima Agra, M.; De Sousa, M.d.F.V.; Barbosa-Filho, J.M. Avaliação Da Atividade Anticonvulsivante de Plantas Do Nordeste Brasileiro. Acta Farm. Bonaer. 2002, 21, 179–184. [Google Scholar]
- da Silva-Leite, K.E.S.; Girão, D.K.F.B.; de Freitas Pires, A.; Assreuy, A.M.S.; de Moraes, P.A.F.; Cunha, A.P.; Ricardo, N.M.P.S.; Criddle, D.N.; de Souza, M.H.L.P.; Pereira, M.G.; et al. Ximenia americana Heteropolysaccharides Ameliorate Inflammation and Visceral Hypernociception in Murine Caerulein-Induced Acute Pancreatitis: Involvement of CB2 Receptors. Biomed. Pharmacother. 2018, 106, 1317–1324. [Google Scholar] [CrossRef]
- Zhen, J.; Guo, Y.; Villani, T.; Carr, S.; Brendler, T.; Mumbengegwi, D.R.; Kong, A.N.T.; Simon, J.E.; Wu, Q. Phytochemical Analysis and Anti-Inflammatory Activity of the Extracts of the African Medicinal Plant Ximenia Caffra. J. Anal. Methods Chem. 2015, 2015, 948262. [Google Scholar] [CrossRef]
- Ferreira, J.; Campos, M.M.; Pesquero, J.B.; Araújo, R.C.; Bader, M.; Calixto, J.B. Evidence for the Participation of Kinins in Freund’s Adjuvant-Induced Inflammatory and Nociceptive Responses in Kinin B1 and B2 Receptor Knockout Mice. Neuropharmacology 2001, 41, 1006–1012. [Google Scholar] [CrossRef]
- Billiau, A.; Matthys, P. Modes of Action of Freund’s Adjuvants in Experimental Models of Autoimmune Diseases. J. Leukoc. Biol. 2001, 70, 849–860. [Google Scholar] [CrossRef]
- Dutra, R.C.; Campos, M.M.; Santos, A.R.S.; Calixto, J.B. Medicinal Plants in Brazil: Pharmacological Studies, Drug Discovery, Challenges and Perspectives. Pharmacol. Res. 2016, 112, 4–29. [Google Scholar] [CrossRef] [PubMed]
- Sandkühler, J. Models and Mechanisms of Hyperalgesia and Allodynia. Physiol. Rev. 2009, 89, 707–758. [Google Scholar] [CrossRef] [PubMed]
- Gamaro, G.D.; Suyenaga, E.; Borsoi, M.; Lermen, J.; Pereira, P.; Ardenghi, P. Effect of Rosmarinic and Caffeic Acids on Inflammatory and Nociception Process in Rats. ISRN Pharmacol. 2011, 2011, 451682. [Google Scholar] [CrossRef] [PubMed]
- Leal, S.S.; Uchôa, V.T.; Figuerêdo-Silva, J.; Soares, R.B.; Mota, D.M.; De Alencar, R.C.; Filho, A.L.M.M.; Sant’Ana, A.E.G.; Beltrame Junior, M. Eficácia Da Fonoforese Com Ximenia americana L. Na Inflamação de Tendão de Ratos. Rev. Bras. Med. Esporte 2016, 22, 355–360. [Google Scholar] [CrossRef]
- Dhawan, B.N.; Cesselin, F.; Raghubir, R.; Reisine, T.; Bradley, P.B.; Portoghese, P.S.; Hamon, M. International Union of Pharmacology. XII. Classification of Opioid Receptors. Pharmacol. Rev. 1996, 48, 567–592. [Google Scholar]
- Stein, C.; Hassan, A.H.S.; Lehrberger, K.; Stein, C.; Giefing, J.; Yassouridis, A. Local Analgesic Effect of Endogenous Opioid Peptides. Lancet 1993, 342, 321–324. [Google Scholar] [CrossRef]
- Jin, W.Y.; Liu, Z.; Liu, D.; Yu, L.C. Antinociceptive Effects of Galanin in the Central Nucleus of Amygdala of Rats, an Involvement of Opioid Receptors. Brain Res. 2010, 1320, 16–21. [Google Scholar] [CrossRef]
- Shih, C.C.; Hwang, H.R.; Chang, C.I.; Su, H.M.; Chen, P.C.; Kuo, H.M.; Li, P.J.; Wang, H.M.D.; Tsui, K.H.; Lin, Y.C.; et al. Anti-Inflammatory and Antinociceptive Effects of Ethyl Acetate Fraction of an Edible Red Macroalgae Sarcodia Ceylanica. Int. J. Mol. Sci. 2017, 18, 2437. [Google Scholar] [CrossRef]
- Iacopucci, A.P.; Mello, R.O.; Barbosa-Silva, R.; Melo-Thomas, L. L-NOARG-Induced Catalepsy Can Be Influenced by Glutamatergic Neurotransmission Mediated by NMDA Receptors in the Inferior Colliculus. Behav. Brain Res. 2012, 234, 149–154. [Google Scholar] [CrossRef]
- Kim, S.R.; Jung, Y.R.; Kim, D.H.; An, H.J.; Kim, M.K.; Kim, N.D.; Chung, H.Y. Caffeic Acid Regulates LPS-Induced NF-ΚB Activation through NIK/IKK and c-Src/ERK Signaling Pathways in Endothelial Cells. Arch. Pharm. Res. 2014, 37, 539–547. [Google Scholar] [CrossRef]
- Tominaga, M.; Caterina, M.J.; Malmberg, A.B.; Rosen, T.A.; Gilbert, H.; Skinner, K.; Raumann, B.E.; Basbaum, A.I.; Julius, D. The Cloned Capsaicin Receptor Integrates Multiple Pain-Producing Stimuli. Neuron 1998, 21, 531–543. [Google Scholar] [CrossRef] [PubMed]
- Devesa, I.; Planells-Cases, R.; Fernández-Ballester, G.; González-Ros, J.M.; Ferrer-Montiel, A.; Fernández-Carvajal, A. Role of the Transient Receptor Potential Vanilloid 1 in Inflammation and Sepsis. J. Inflamm. Res. 2011, 4, 67–81. [Google Scholar] [CrossRef] [PubMed]
- Gamse, R.; Holzer, P.; Lembeck, F. Indirect Evidence for Presynaptic Location of Opiate Receptors on Chemosensitive Primary Sensory Neurones. Naunyn-Schmiedeberg’s Arch. Pharmacol. 1979, 308, 281–285. [Google Scholar] [CrossRef] [PubMed]
- Maia, J.L.; Lima-Júnior, R.C.P.; Melo, C.M.; David, J.P.; David, J.M.; Campos, A.R.; Santos, F.A.; Rao, V.S.N. Oleanolic Acid, a Pentacyclic Triterpene Attenuates Capsaicin-Induced Nociception in Mice: Possible Mechanisms. Pharmacol. Res. 2006, 54, 282–286. [Google Scholar] [CrossRef] [PubMed]
- Beirith, A.; Santos, A.R.S.; Calixto, J.B. Mechanisms Underlying the Nociception and Paw Oedema Caused by Injection of Glutamate into the Mouse Paw. Brain Res. 2002, 924, 219–228. [Google Scholar] [CrossRef]
- Vorobeychik, Y.; Willoughby, C.D.; Mao, J. NMDA Receptor Antagonists in the Treatment of Pain. In Comprehensive Treatment of Chronic Pain by Medical, Interventional, and Integrative Approaches; Springer: New York, NY, USA, 2013; pp. 61–67. [Google Scholar]
- Soares, A.C.; Leite, R.; Tatsuo, M.A.K.F.; Duarte, I.D.G. Activation of ATP-Sensitive K+ Channels: Mechanism of Peripheral Antinociceptive Action of the Nitric Oxide Donor, Sodium Nitroprusside. Eur. J. Pharmacol. 2000, 400, 67–71. [Google Scholar] [CrossRef]
- Garthwaite, J. Glutamate, Nitric Oxide and Cell-Cell Signalling in the Nervous System. Trends Neurosci. 1991, 14, 60–67. [Google Scholar] [CrossRef]
- Kimura, M.; Saito, S.; Obata, H. Dexmedetomidine Decreases Hyperalgesia in Neuropathic Pain by Increasing Acetylcholine in the Spinal Cord. Neurosci. Lett. 2012, 529, 70–74. [Google Scholar] [CrossRef]
- Obata, H. Analgesic Mechanisms of Antidepressants for Neuropathic Pain. Int. J. Mol. Sci. 2017, 18, 2483. [Google Scholar] [CrossRef]
- Chan, A.K.M.; Cheung, C.W.; Chong, Y.K. Alpha-2 Agonists in Acute Pain Management. Expert Opin. Pharmacother. 2010, 11, 2849–2868. [Google Scholar] [CrossRef]
- Lopes, L.D.S.; Marques, R.B.; Fernandes, H.B.; Pereira, S.D.S.; Ayres, M.C.C.; Chaves, M.H.; Almeida, F.R.C. Mechanisms of the Antinociceptive Action of (-) Epicatechin Obtained from the Hydroalcoholic Fraction of Combretum Leprosum Mart & Eic in Rodents. J. Biomed. Sci. 2012, 19, 2–7. [Google Scholar] [CrossRef]
- Wang, M.; Carver, J.J.; Phelan, V.V.; Sanchez, L.M.; Garg, N.; Peng, Y.; Nguyen, D.D.; Watrous, J.; Kapono, C.A.; Luzzatto-Knaan, T.; et al. Sharing and Community Curation of Mass Spectrometry Data with GNPS. Nat. Biotechnol. 2016, 34, 828. [Google Scholar] [CrossRef] [PubMed]
- Dunham, N.W.; Miya, T.S. A Note on a Simple Apparatus for Detecting Neurological Deficit in Rats and Mice. J. Am. Pharm. Assoc. 1957, 46, 208–209. [Google Scholar] [CrossRef] [PubMed]
- Lapa, A.J.J.; Souccar, C.; Lima-Landman, M.T.R.; Castro, M.S.D.A.; Lima, T.C.M. Pharmacological Activity Evaluation Methods of Medicinal Plants; Sociedade Brasileira de Plantas Medicinais: São Paulo, Brasil, 2008. [Google Scholar]
- Gaichu, D.M.; Mawia, A.M.; Gitonga, G.M.; Ngugi, M.P.; Mburu, D.N. Phytochemical screening and antipyretic activities of dichloromethane-methanolic leaf and stem bark extracts of Ximenia americana in rat models. J. Herbmed Pharmacol. 2017, 6, 3–107. [Google Scholar]
- Koster, R.; Anderson, M.; De Beer, E.J. Acetic Acid for Analgesic Screening. Fed. Proc. 1959, 18, 412–417. [Google Scholar]
- Tjølsen, A.; Berge, O.-G.; Hunskaar, S.; Rosland, J.H.; Hole, K. The Formalin Test: An Evaluation of the Method. Pain 1992, 51, 5–17. [Google Scholar] [CrossRef]
- Bannon, A.; Malmberg, A. Models of Nociception: Hot-Plate, Tail-Flick, and Formalin Tests in Rodents. Curr. Protoc. Neurosci. 2007, 41, 8–9. [Google Scholar] [CrossRef]
- Martinov, T.; Mack, M.; Sykes, A.; Chatterjea, D. Measuring Changes in Tactile Sensitivity in the Hind Paw of Mice Using an Electronic von Frey Apparatus. J. Vis. Exp. 2013, 82, e51212. [Google Scholar] [CrossRef]
- Tena, B.; Escobar, B.; Arguis, M.J.; Cantero, C.; Rios, J.; Gomar, C. Reproducibility of Electronic von Frey and von Frey Monofilaments Testing. Clin. J. Pain 2012, 28, 318–323. [Google Scholar] [CrossRef]
- Stevenson, G.W.; Bilsky, E.J.; Negus, S.S. Targeting Pain-Suppressed Behaviors in Preclinical Assays of Pain and Analgesia: Effects of Morphine on Acetic Acid-Suppressed Feeding in C57BL/6J Mice. J. Pain 2006, 7, 408–416. [Google Scholar] [CrossRef]
- Miller, E.C.; Swanson, A.B.; Phillips, D.H.; Fletcher, T.L.; Liem, A.; Miller, J.A. Structure-Activity Studies of the Carcinogenicities in the Mouse and Rat of Some Naturally Occurring and Synthetic Alkenylbenzene Derivatives Related to Safrole and Estragole. Cancer Res. 1983, 43, 1124–1134. [Google Scholar] [PubMed]
- Schechtmann, G.; Song, Z.; Ultenius, C.; Meyerson, B.A.; Linderoth, B. Cholinergic Mechanisms Involved in the Pain Relieving Effect of Spinal Cord Stimulation in a Model of Neuropathy. Pain 2008, 139, 136–145. [Google Scholar] [CrossRef] [PubMed]
- Lam, D.K.; Sessle, B.J.; Cairns, B.E.; Hu, J.W. Neural Mechanisms of Temporomandibular Joint and Masticatory Muscle Pain: A Possible Role for Peripheral Glutamate Receptor Mechanisms. Pain Res. Manag. 2005, 10, 145–152. [Google Scholar] [CrossRef] [PubMed]
- Li, P.; Zhuo, M. Silent Glutamatergic Synapses and Nociception in Mammalian Spinal Cord. Nature 1998, 393, 695–698. [Google Scholar] [CrossRef] [PubMed]
- Majewska, M.D.; Bell, J.A.; London, E.D. Regulation of the NMDA Receptor by Redox Phenomena: Inhibitory Role of Ascorbate. Brain Res. 1990, 537, 328–332. [Google Scholar] [CrossRef] [PubMed]
- Zeraati, F.; Araghchian, M.; Farjoo, M.H. Ascorbic Acid Interaction With Analgesic Effect of Morphine and Tramadol in Mice. Anesthesiol. Pain Med. 2014, 4, e19529. [Google Scholar] [CrossRef]
- Santos, A.R.S.; Gadotti, V.M.; Oliveira, G.L.; Tibola, D.; Paszcuk, A.F.; Neto, A.; Spindola, H.M.; Souza, M.M.; Rodrigues, A.L.S.; Calixto, J.B. Mechanisms Involved in the Antinociception Caused by Agmatine in Mice. Neuropharmacology 2005, 48, 1021–1034. [Google Scholar] [CrossRef]
- Ocaña, M.; Cendán, C.M.; Cobos, E.J.; Entrena, J.M.; Baeyens, J.M. Potassium Channels and Pain: Present Realities and Future Opportunities. Eur. J. Pharmacol. 2004, 500, 203–219. [Google Scholar] [CrossRef]
- Ferré, S.; Diamond, I.; Goldberg, S.R.; Yao, L.; Hourani, S.M.O.; Huang, Z.L.; Urade, Y.; Kitchen, I. Adenosine A2A Receptors in Ventral Striatum, Hypothalamus and Nociceptive Circuitry. Prog. Neurobiol. 2007, 83, 332–347. [Google Scholar] [CrossRef]
- Finan, P.H.; Smith, M.T. The Comorbidity of Insomnia, Chronic Pain, and Depression: Dopamine as a Putative Mechanism. Sleep Med. Rev. 2013, 17, 173–183. [Google Scholar] [CrossRef]
- Wood, P.B. Mesolimbic Dopaminergic Mechanisms and Pain Control. Pain 2006, 120, 230–234. [Google Scholar] [CrossRef] [PubMed]
- Maleki, N.; Nayebi, A.M.; Garjani, A. Effects of Central and Peripheral Depletion of Serotonergic System on Carrageenan-Induced Paw Oedema. Int. Immunopharmacol. 2005, 5, 1723–1730. [Google Scholar] [CrossRef] [PubMed]
- Suzuki, R.; Rygh, L.J.; Dickenson, A.H. Bad News from the Brain: Descending 5-HT Pathways That Control Spinal Pain Processing. Trends Pharmacol. Sci. 2004, 25, 613–617. [Google Scholar] [CrossRef] [PubMed]
Disclaimer/Publisher’s Note: The statements, opinions and data contained in all publications are solely those of the individual author(s) and contributor(s) and not of MDPI and/or the editor(s). MDPI and/or the editor(s) disclaim responsibility for any injury to people or property resulting from any ideas, methods, instructions or products referred to in the content. |
© 2024 by the authors. Licensee MDPI, Basel, Switzerland. This article is an open access article distributed under the terms and conditions of the Creative Commons Attribution (CC BY) license (https://creativecommons.org/licenses/by/4.0/).