Abstract
In this study, the total synthesis of osajin, scandenone and their analogues have been accomplished. The key synthetic steps include aldol/intramolecular iodoetherification/elimination sequence reactions and a Suzuki coupling reaction to assemble the tricyclic core, chemoselective propargylation and Claisen rearrangement reactions to obtain natural compounds. In addition, we also designed and synthesized twenty-five natural product analogues. All synthetic compounds were screened for anti-inflammatory activity against tumor necrosis factor-α (TNF-α) and interleukin-6 (IL-6) in lipopolysaccharide (LPS)-stimulated RAW264.7 macrophages. Collectively, Compound 39e and 39d were considered as promising lead compounds for further development.
1. Introduction
Flavonoids are naturally occurring secondary metabolites predominantly originating from fruits, herbs, fungi and vegetables which are characterized by a 2-phenyl-4H-chromene structure [1,2]. Flavonoids, a class of natural polyphenolics, are classified into flavanols, flavanones, flavones, isoflavones, flavonols and anthocyanidins [1]. Modern pharmacological evaluations and animal studies have demonstrated their anticancer, anti-inflammatory, antioxidant, antimicrobial and antiviral activities [3,4,5,6]. In the last decades, various synthetic and natural flavonoid derivatives have been actively investigated as drugs used in treating human disease [7,8]. Despite the fact that a large number of flavonoids have been isolated and identified, there is still need for further exploitation of bioactive lead compounds with novel structures.
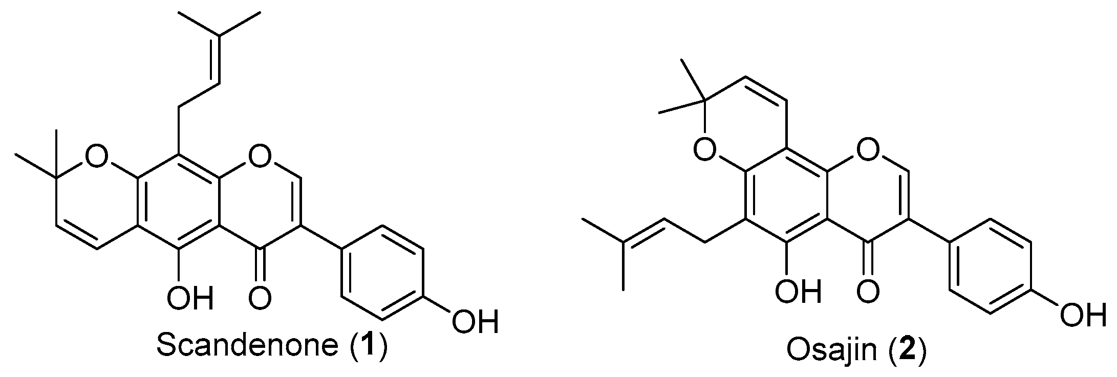
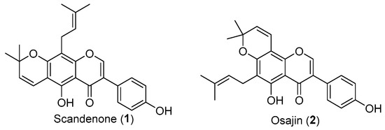
Osajin and scandenone are natural flavonoid compounds that exist in various plants and Chinese herbal medicines such as Derris scandens, Flemingia philippinensis and Millettia pulchra (Figure 1) [9,10,11]. These compounds were elucidated based on detailed analysis of NMR and HRMS data [12]. Previous studies have shown that these natural products impede the growth of various cancerous cells and possess anti-inflammatory activities [13,14]. Due to their interesting biological activities, further research and development are necessary for the discovery of lead compounds. Herein, the total synthesis of osajin and scandenone is described. In addition, we synthesized and characterized twenty-five natural product analogues through different synthetic routes. All the newly synthesized compounds were tested for their anti-inflammatory activities against tumor necrosis factor-α (TNF-α) and interleukin-6 (IL-6) in lipopolysaccharide (LPS)-stimulated RAW264.7 macrophages.
Figure 1.
The structure of scandenone (1) and osajin (2).
2. Results and Discussion
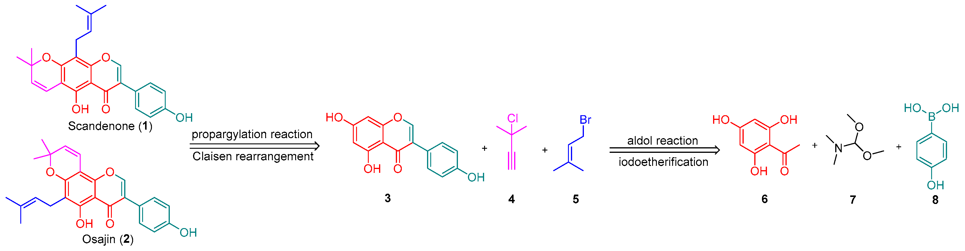
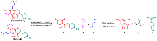
The isolated compounds are characterized by a C6-C3-C6 skeleton structure with a 2″,2″-dimethylpyran ring and a linear side chain. The retrosynthetic analysis of target molecules is depicted in Scheme 1. Osajin and scandenone were envisaged to be obtained via chemoselective propargylation, intramolecular cyclization and Claisen rearrangement sequence reactions of compound 3 [15]. The key intermediate 3 could be derived from the materials 1-(2,4,6-trihydroxyphenyl)ethan-1-one (6), 1,1-dimethoxy-N,N-dimethylmethanamine (7) and (4-hydroxyphenyl)boronic acid (8) through aldol/intramolecular iodoetherification/elimination/Suzuki coupling sequential chemical reactions (Scheme 1) [16].
Scheme 1.
Retrosynthetic analysis of scandenone (1) and osajin (2), different colours represent different structure.
The key intermediate 10 was prepared via coupling of compounds 6 and 7 based on the aldol reaction, which may suffer from poor functional group tolerance to exposed hydroxyl groups. For this reason, the free hydroxyl group of substance 6 was protected using a methyl group to give 9 with satisfactory yield, and the methyl-protected compound 9 was reacted with 7 to afford 10 in 88% yield. Compound 10 was further reacted to obtain 11 via addition reaction and we detected the low yield (from 20% to 36%) by trying different solvents and temperatures at the beginning. We introduced one equivalent pyridine into the reaction system, which improved the yield to 78%. The coupling of compounds 11 and 8 resulted in compound 12 via the Suzuki coupling reaction, which was deeply explored under different reaction systems. We were only afforded compound 12 with a 40% yield under the conditions of Pd(OAc)2/MeOH/Na2CO3 (Table 1, entry 1) [17]. The yield of the reaction has not been significantly improved by changing the solvent and base (entries 2 and 3). The yield was increased up to 60% when the temperature of the reaction system reached 50 °C (entry 4). Following this, we selected Pd(PPh3)4 as catalyst for further investigation [18]. After the systematic research of the reaction conditions, we found that increasing the temperature of this reaction system obviously improved the yield of 12 (entries 5–7). When the temperature was further increased, the yield was not remarkably improved (entries 7 and 8). The optimal condition was obtained by using PdCl2(dppf) as a catalyst and 1,4-Dioxane/H2O as a solvent at 50 °C (entry 9) [19]. The coupled product 12 proceeded smoothly in the presence of a 40% aqueous solution of HBr in refluxing water to provide the tricyclic core 3. Chemoselective propargylation of the C7-hydroxyl of compound 3 provided 13 under the conditions of KI/K2CO3/CuI/ in 72% yield, which suffered an aromatic Claisen rearrangement, resulting in cyclization compound 14 (52% yield) and 15 (41% yield) under an elevated temperature condition of 250 °C (Scheme 2) [20].
Table 1.
Optimization of the Suzuki coupling reactions a.
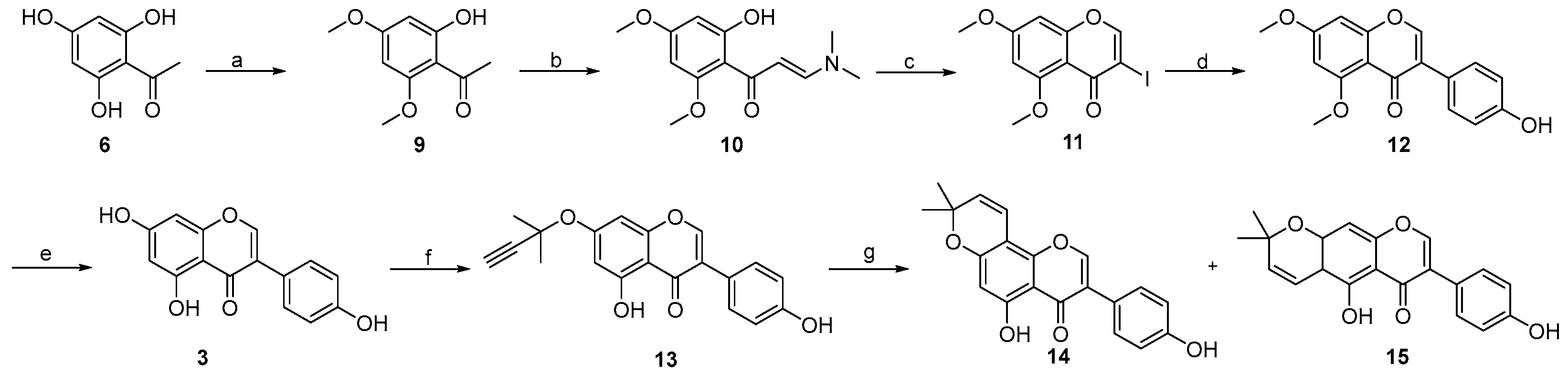
Scheme 2.
Synthesis of the intermediates 14 and 15. Regents and conditions: (a) dimethyl sulfate, K2CO3, acetone, 60 °C, 4 h, 90%; (b) DMF-DMA, DMF, 80 °C, 1 h, 88%; (c) iodine, pyridine, MeOH, rt, 3 h, 78%; (d) (4-hydroxyphenyl)boronic acid, PdCl2(dppf), K2CO3, 1,4-Dioxane/H2O, 50 °C, 2 h, 86%; (e) 40% HBr (aq), 140 °C, 4 h, 78%; (f) 3-chloro-3-methylbut-1-yne, CuI, K2CO3, KI, DMF, rt, 5 h, 72% and (g) diethylaniline, 250 °C, 1 h, 14 (52%), 15 (41%).
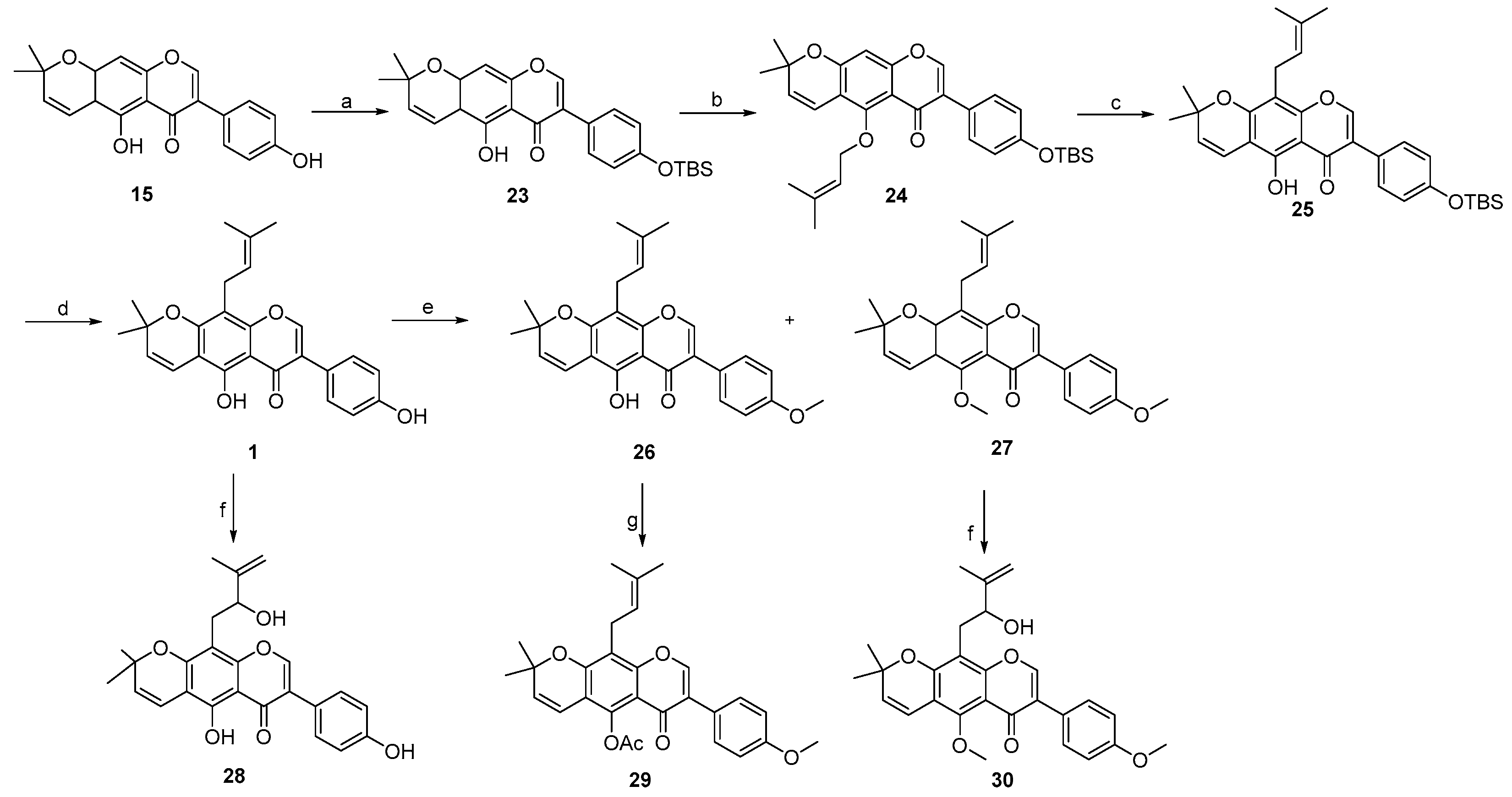
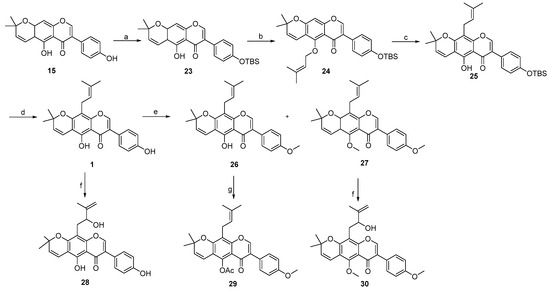
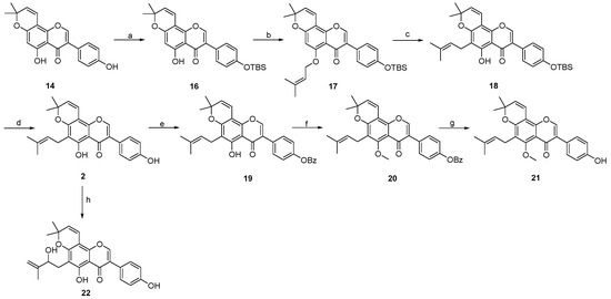
Having prepared the critical intermediate 14 successfully, we sought to establish skeletons of natural products. The C4′-hydroxy group of intermediate 14 was protected using a tert-butyldimethylsilyl (TBS) group to give 16, which was further reacted to obtain 17 via a nucleophilic substitution reaction (64% yield in two steps). Compound 17 was subjected to Claisen rearrangement reaction to obtain 18 in 65% yield (along with 25% isopentenyl exfoliation product 16 as a byproduct). Deprotection of the TBS group of 18 was smoothly accomplished upon treatment with a large excess of tetrabutylammonium fluoride (TBAF) in THF to afford 2 in 90% yield at room temperature. Based on the above, we successfully synthesized the natural product osajin (2) (5.82% overall yield). NMR spectroscopic data of the synthetic osajin (2) were well matched with those reported in the literature (Supplementary Table S2) [12]. Flavonoids containing the hydroxyisoprenyl structure usually exhibit multiple biological activities. The Schenck ene reaction of the natural product 2 with the photosensitizer yielded secondary allylic alcohol 22. Beyond that, we synthesized natural product analogues 19–21 through etherification, esterification and hydrolysis reactions (Scheme 3). The TBS-protected compound 23 was prenylated with 3,3-dimethylallyl bromide 5 to afford 24 (74% yield), which was further reacted in the presence of Eu(fod)3 to obtain the desired rearrangement product 25 (76% yield). Subsequent deprotection of the 4′-OH of 25 with TBAF afforded the natural products 1 in 93% yield (7.07% overall yield). NMR spectroscopic data of the synthetic scandenone (1) were well matched with those reported in the literature (Supplementary Table S1) [12]. In previous synthesis, the conversion of compound 3 to 41 is accompanied by the production of byproduct 41 and 42 (Supplementary Scheme S1), which limited the yield of this reaction [21]. We synthesized natural compounds through a series of reactions and the new synthesis methods provide approaches for the structural modification of flavonoids. In the same way, we synthesized a new series of analogues 26–30 via acetylation or methylation of the free hydroxy groups and the Schenck ene reaction (Scheme 4) [22].
Scheme 3.
Synthesis of osajin (2) and compounds 19–22. Regents and conditions: (a) tert-butyldimethylsilyl chloride, imidazole, DCM, rt, 30 h, 93%; (b) 3,3-dimethylallyl bromide, NaH, DMF, rt, 1 h, 69%; (c) montmorillonite K10, DCM, rt, 1 h, 65%; (d) TBAF, THF, rt, 0.5 h, 90%; (e) benzoyl chloride, DMAP, trimethylamine, DCM, rt, 2 h, 90%; (f) AgO, CH3I, chloroform, 80 °C, 6 h, 79%; (g) NaHCO3, MeOH, rt, 2 h, 87% and (h) (i). Rose bengal, MeOH, hv, O2, rt, 10 h; (ii). PPh3, rt, 1 h, 56%.
Scheme 4.
Synthesis of scandenone (1) and compounds 26–30. Regents and conditions: (a) TBSCl, imidazole, DCM, rt, 25 h, 95%; (b) 3,3-dimethylallyl bromide, NaH, DMF, rt, 1 h, 74%; (c) Eu(fod)3, chloroform, 60 °C, 8 h, 76%; (d) TBAF, THF, rt, 0.5 h, 93%; (e) dimethyl sulfate, K2CO3, acetone, 60 °C, 4 h, 26 (46%), 27 (44%); (f) (i). Rose bengal, MeOH, hv, O2, rt, 10 h; (ii). PPh3, rt, 1 h, 28 (65%), 30 (57%) and (g) acetic anhydride, TEA, DMAP, rt, 4 h, 96%.
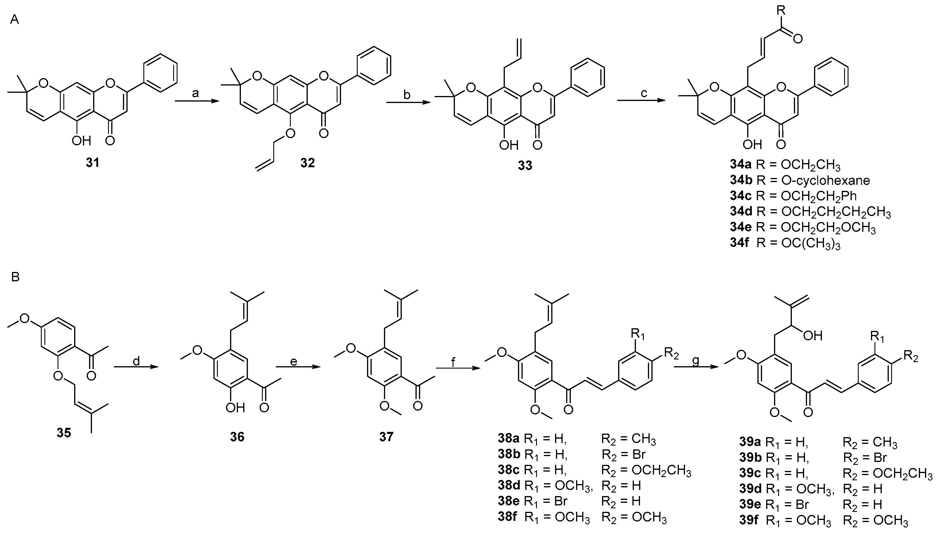
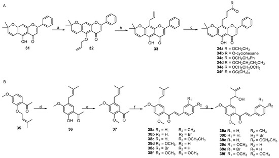
In previous work, we explored the new synthetic routes for the structural modification of flavonoids. Herein, we synthesized and characterized a series of natural product analogues and tested their anti-inflammatory activity. Compound 31 was converted to 33 in two steps via a nucleophilic substitution reaction with allyl bromide followed by Claisen rearrangement at a high temperature (65% yield in two steps). Compound 33 was treated with available reagents under alkene metathesis reaction conditions, leading to 34a–34g (yield ranging from 85% to 92%) (Scheme 5A). Compound 35 was subjected to Claisen rearrangement/methylation/aldol sequence reactions to establish the chalcone skeleton 38a–38f [23]. We introduced different substituents on the benzene ring of compound 38 to increase the structural diversity. Subsequently, we synthesized a range of analogues 39a–3 that possess a hydroxyisoprenyl structure based on the Schenck ene reaction (overall yield ranging from 29% to 47%) (Scheme 5B) [22].
Scheme 5.
(A) Synthesis of compounds 34a–34g. (B) Synthesis of compounds 39a–39f. Regents and conditions: (a) allyl bromide, NaH, DMF, rt, 3 h, 76%; (b) diethylaniline, 230 °C, 0.5 h, 85%; (c) Grubbs catalyst 2nd generation, DCM, rt, 5 h, yield ranging from 85% to 92%; (d) diethylaniline, 230 °C, 1 h, 89%; (e) CH3I, K2CO3, DMF, rt, 2 h, 93%; (f) aromatic aldehydes, NaOH, EtOH, 50 °C, 24 h, yield ranging from 70% to 91% and (g) (i). Rose bengal, MeOH, hv, O2, rt, 10 h and (ii). PPh3, rt, 1 h, yield ranging from 50% to 62%.
We attempted to evaluate the anti-inflammatory effects of the synthetic compounds by measuring the levels of TNF-α and IL-6 in LPS-stimulated RAW264.7 macrophages with dexamethasone as a reference control [24]. Most of the compounds suppressed various degrees of cytokine liberation contrasted with the LPS control. The activity of the compounds was improved by introducing different side chains (Scheme 5A, 34a–34f). Subsequently, we constructed the structure of chalcone and removed the 2″,2″-dimethylpyran ring. Compounds 38a–38f yielded secondary allylic alcohol 39a–39f with the photosensitizer via the Schenck ene reaction. Compounds containing a chalcone skeleton and the hydroxyisoprenyl side chain exhibited remarkable anti-inflammatory activity, and compounds 39e and 39d exhibited the highest inhibitory activity among them, respectively (Figure 2a,b). Meanwhile, we verified the excellent anti-inflammatory activity in vivo with a biological evaluation of mice. Compounds 39d and 39e presented much stronger inhibitory effects against the LPS-induced inflammatory response compared to the reference control dexamethasone (Figure 3). These compounds were considered as promising lead compounds for further development to discover new therapeutic agents with anti-inflammatory properties.
Figure 2.
(a) The synthetic compounds suppress the production of TNF-α. (b) The synthetic compounds suppress the production of IL-6. Effects of analogues on the production of serum TNF-α and IL-6 induced via LPS. The results are shown as means ± SD (n = 3) of at least three independent experiments. The results are shown as *** p < 0.001 versus LPS and ### p < 0.001 versus LPS + Dex.
Figure 3.
(A) Schematic of the mouse sepsis model and administration methods. (B) The effect of 39d/39e on the survival rate of septic mice (n = 5).
3. Materials and Methods
3.1. General Information
All reactions were carried out under an inert nitrogen atmosphere with dry solvents under anhydrous conditions unless otherwise stated. Flash chromatography was performed using silica gel (200–400 mesh). Thin layer chromatography (TLC) was performed using Silica gel 60 F254 plates and visualized using UV light.
1H and 13C spectra were recorded with Bruker Avance II 400 [400 MHz] and calibrated using the residual solvent as an internal reference [ 1H NMR: CDCl3 (7.26); 13C NMR: CDCl3 (77.16); DMSO-d6 = 2.50; DMSO-d6 = 39.52]. Signals were described as s = singlet, d = doublet, t = triplet, q = quartet and m = multiplet. High resolution mass spectra (HRMS) were recorded on an IonSpec QFT mass spectrometer with ESI ionization.
3.2. Materials
All commercially available chemicals and solvents were used as received without further purification unless otherwise stated.
3.3. Procedure for the Synthesis of Osajin and Scandenone
To a stirred solution of 1-(2,4,6-trihydroxyphenyl)ethan-1-one (5.00 g, 29.73 mmol) and K2CO3 (9.04 g, 65.44 mmol) in anhydrous acetone (80 mL), dimethyl sulfate (5.78 mL, 60.95 mmol) was slowly added at 60 °C for 4 h. After cooling down to room temperature, the reaction mixture was filtered and washed with acetone. The filtrate was extracted with EtOAc (300 mL). The organic layer was washed three times with brine (120 mL × 3), dried over anhydrous Na2SO4, filtered and concentrated in vacuo. The crude product was purified via flash chromatography (hexane: EtOAc = 20:1) to afford 9 (5.25 g, 90% yield) as a white solid.
- 1-(2-hydroxy-4,6-dimethoxyphenyl)ethan-1-one 9:
1H NMR (400 MHz, Acetone-d6) δ 13.97 (s, 1H), 6.07 (d, J = 2.7 Hz, 1H), 6.03 (d, J = 2.7 Hz, 1H), 3.92 (s, 3H), 3.85 (s, 3H), 2.56 (s, 3H).
13C NMR (100 MHz, Acetone-d6) δ 203.88, 168.43, 167.41, 164.21, 106.52, 94.44, 91.40, 56.08, 33.05.
HRMS (ESI): m/z calcd for C10H12O4 [M+H+]: 197.0808; found: 197.0801.
Compound 9 (2 g, 10.19 mmol) and N,N-dimethylformamide dimethylacetal (DMF-DMA) (2.71 mL, 20.39 mmol) were stirred in anhydrous DMF (25 mL) at 80 °C for 1 h. The resulting mixture was cooled to room temperature, and H2O was added to the reaction mixture. The aqueous layer was extracted three times with EtOAc (100 mL × 3). The combined organic layers were washed with brine (70 mL × 3), dried over anhydrous Na2SO4, filtered and concentrated in vacuo. The crude product was purified via flash chromatography (hexane: EtOAc = 15:1) to afford 10 (2.25 g, 88% yield) as a yellow solid.
- (E)-3-(dimethylamino)-1-(2-hydroxy-4,6-dimethoxyphenyl)prop-2-en-1-one 10:
1H NMR (400 MHz, CDCl3) δ 15.66 (s, 1H), 7.90 (d, J = 12.3 Hz, 1H), 6.24 (d, J = 12.3 Hz, 1H), 6.05 (d, J = 2.4 Hz, 1H), 5.89 (d, J = 2.4 Hz, 1H), 3.82 (s, 3H), 3.78 (s, 3H), 3.12 (s, 3H), 2.95–2.83 (s, 3H).
13C NMR (100 MHz, CDCl3) δ 189.95, 167.88, 164.00, 161.65, 154.36, 105.36, 96.76, 93.97, 90.54, 55.57, 55.34.
HRMS (ESI): m/z calcd for C13H17NO4 [M+H+]: 252.1230; found: 252.1219.
To a solution of compound 10 (2.50 g, 9.95 mmol) in MeOH (25 mL), iodine (3.28 g, 12.93 mmol) and pyridine (0.79 g, 9.95 mmol) were added in sequence at room temperature for 3 h. The solution was washed with saturated Na2S2O3 (30 mL), and the aqueous layer was extracted three times with DCM (100 mL × 3). The combined organic layers were washed with brine (30 mL × 3), dried over anhydrous Na2SO4, filtered and concentrated in vacuo. The crude product was purified via flash chromatography (hexane: EtOAc = 20:1) to afford 11 (1.31 g, 78% yield) as a yellow solid.
- 3-iodo-5,7-dimethoxy-4H-chromen-4-one 11:
1H NMR (400 MHz, CDCl3) δ 8.06 (s, 1H), 6.41 (d, J = 2.3 Hz, 1H), 6.37 (d, J = 2.3 Hz, 1H), 3.91 (s, 3H), 3.87 (s, 3H).
13C NMR (100 MHz, CDCl3) δ 171.26, 164.26, 160.93, 159.80, 155.36, 107.49, 96.59, 92.44, 89.73, 56.42, 55.83.
HRMS (ESI): m/z calcd for C11H9O4l [M+H+]: 332.9618; found: 332.9611.
To a solution of compound 11 (1.20 g, 3.61 mmol) and (4-hydroxyphenyl)boronic acid (0.75 g, 5.42 mmol) in 20 mL of methanol at 50 °C, PdCl2(dppf) (0.26 g, 10 mol%) and K2CO3 (1.50 g, 10.84 mmol) were added. The resulting suspension was degassed and stirred in an inert atmosphere for 2 h before being concentrated in vacuo. The resulting crude product was purified via flash chromatography (hexane: EtOAc = 1:1) to afford 12 (0.93 g, 86% yield) as a white solid.
- 3-(4-hydroxyphenyl)-5,7-dimethoxy-4H-chromen-4-one 12:
1H NMR (400 MHz, Acetone-d6) δ8.45 (s, 1H), 7.99 (s, 1H), 7.42 (d, J = 8.6 Hz, 2H), 6.88 (d, J = 8.6 Hz, 2H), 6.59 (d, J = 2.4 Hz, 1H), 6.50 (d, J = 2.4 Hz, 1H), 3.95 (s, 3H), 3.90 (s, 3H).
13C NMR (100 MHz, Acetone-d6) δ 178.98, 169.20, 166.73, 165.02, 162.41, 155.29, 135.56, 130.96, 129.29, 128.91, 120.02, 101.17, 97.88, 60.77, 60.59.
HRMS (ESI): m/z calcd for C17H14O5 [M+H+]: 299.0914; found: 299.0908.
The 40% HBr (aq) (10 mL) was added to compound 12 (0.50 g, 1.68 mmol) and the mixture was stirred at 140 °C for 4 h. EtOAc was added to the reaction mixture. The aqueous layer was extracted three times with EtOAc (50 mL × 3). The combined organic layers were washed with brine (30 mL × 3), dried over anhydrous Na2SO4, filtered and concentrated in vacuo. The crude product was purified via flash chromatography (hexane: EtOAc = 2:1) to afford 3 (0.34 g, 78% yield) as a yellow solid.
- 5,7-dihydroxy-3-(4-hydroxyphenyl)-4H-chromen-4-one 3:
1H NMR (400 MHz, DMSO-d6) δ 12.95 (s, 1H), 10.87 (s, 1H), 9.59 (s, 1H), 8.30 (s, 1H), 7.37 (d, J = 6.7 Hz, 2H), 6.82 (d, J = 6.7 Hz, 2H), 6.38 (d, J = 2.1 Hz, 1H), 6.22 (d, J = 2.1 Hz, 1H).
13C NMR (100 MHz, DMSO-d6) δ 180.70, 164.75, 162.48, 158.07, 157.90, 154.42, 130.63, 122.77, 121.70, 115.54, 104.95, 99.44, 94.14.
HRMS (ESI): m/z calcd for C15H10O5 [M+H+]: 271.0601; found: 271.0601.
To a suspension of compound 3 (5 g, 18.50 mmol) in DMF (50 mL), K2CO3 (5.11 g, 37 mmol), KI (4.61 g, 27.75 mmol), CuI (0.18 g, 0.93 mmol) and 3-chloro-3-methylbut-1-yne (2.29 mL, 20.4 mmol) were added at room temperature for 5 h. The reaction mixture was quenched with saturated aqueous NH4Cl (20 mL). The layers were separated, and the aqueous layer was extracted three times with EtOAc (50 mL × 3). The combined organic layers were washed with brine (30 mL × 3), dried over anhydrous Na2SO4, filtered and concentrated in vacuo. The crude product was purified via flash chromatography (hexane: EtOAc = 30:1) to afford 13 (4.48 g, 72% yield) as a yellow solid.
- 5-hydroxy-3-(4-hydroxyphenyl)-7-((2-methylbut-3-yn-2-yl)oxy)-4H-chromen-4-one 13:
1H NMR (400 MHz, CDCl3) δ 12.71 (s, 1H), 7.87 (s, 1H), 7.34 (d, J = 7.9 Hz, 2H), 6.94–6.77 (m, 3H), 6.71 (d, J = 2.3 Hz, 1H), 5.78 (s, 1H), 2.70 (s, 1H), 1.74 (s, 6H).
13C NMR (100 MHz, CDCl3) δ 181.21, 162.13, 161.98, 157.42, 156.14, 153.08, 130.35, 123.85, 122.74, 115.77, 106.81, 102.83, 97.36, 84.68, 75.35, 72.86, 29.57.
HRMS (ESI): m/z calcd for C20H16O5 [M+H+]: 337.1071; found: 337.1052.
A solution of compound 13 (1.50 g, 4.46 mmol) in diethylaniline (20 mL) was stirred at 250 °C for 1 h. The resulting mixture was cooled to room temperature and EtOAc was added to the reaction mixture. The organic layers were extracted three times with 1N HCl solution (100 mL × 3), and the organic layers were washed with brine (30 mL × 3), dried over anhydrous Na2SO4, filtered and concentrated in vacuo. The crude product was purified via flash chromatography (hexane: EtOAc = 20:1) to afford 14 (0.79 g, 52% yield) and 15 (0.62 g, 41% yield) as a yellow solid.
- 5-hydroxy-3-(4-hydroxyphenyl)-8,8-dimethyl-4H,8H-pyrano [2,3-f]chromen-4-one 14:
1H NMR (400 MHz, CDCl3) δ 12.89 (s, 1H), 7.89 (s, 1H), 7.36 (d, J = 8.5 Hz, 2H), 6.86 (d, J = 8.5 Hz, 2H), 6.69 (d, J = 10.0 Hz, 1H), 6.31 (s, 1H), 5.60 (d, J = 10.0 Hz, 1H), 5.53 (s, 1H), 1.48 (s, 6H).
13C NMR (100 MHz, CDCl3) δ 181.12, 162.19, 159.68, 156.09, 152.56, 152.27, 130.37, 127.55, 123.75, 122.78, 115.72, 114.58, 106.06, 101.20, 100.43, 78.19, 28.23.
- 5-hydroxy-7-(4-hydroxyphenyl)-2,2-dimethyl-2H,6H-pyrano [3,2-g]chromen-6-one 15:
1H NMR (400 MHz, CDCl3) δ 13.10 (s, 1H), 7.81 (s, 1H), 7.35 (d, J = 8.1 Hz, 2H), 6.84 (d, J = 8.1 Hz, 2H), 6.73 (d, J = 10.0 Hz, 1H), 6.34 (s, 1H), 5.62 (d, J = 10.0 Hz, 1H), 5.43 (s, 1H), 1.48 (s, 6H).
13C NMR (100 MHz, CDCl3) δ 181.06, 159.64, 157.39, 156.89, 156.02, 152.66, 130.36, 128.23, 123.64, 122.96, 115.70, 115.49, 106.14, 105.65, 94.93, 78.11, 28.32.
To a suspension of compound 15 (1 g, 2.97 mmol) in DCM (10 mL), tert-Butyldimethylsilyl chloride (TBSCl) (1.55 mL, 8.92 mmol) and imidazole (0.61 g, 8.92 mmol) were added at room temperature for 25 h before being concentrated in vacuo. The crude product was purified via flash chromatography (hexane: EtOAc = 200:1) to afford 23 (1.28 g, 95% yield) as a yellow solid.
- 7-(4-((tert-butyldimethylsilyl)oxy)phenyl)-5-hydroxy-2,2-dimethyl-2H,6H-pyrano [3,2-g]chromen-6-one 23:
1H NMR (400 MHz, CDCl3) δ 13.18 (s, 1H), 7.82 (s, 1H), 7.39 (d, J = 8.6 Hz, 2H), 6.90 (d, J = 8.6 Hz, 2H), 6.73 (d, J = 10.1 Hz, 1H), 6.33 (s, 1H), 5.62 (d, J = 10.1 Hz, 1H), 1.47 (s, 6H), 1.00 (s, 9H), 0.22 (s, 6H).
13C NMR (100 MHz, CDCl3) δ 180.91, 159.52, 157.31, 156.97, 156.04, 152.60, 130.05, 128.18, 123.57, 123.62, 120.24, 115.52, 106.14, 105.59, 94.87, 78.05, 28.32, 25.69, 18.24, −4.36.
HRMS (ESI): m/z calcd for C26H30O5Si[M+H+]: 451.1935; found: 451.1950.
To a solution of 23 (1.80 g, 3.99 mmol) in anhydrous DMF (30 mL), NaH (0.19 g, 4.79 mmol) and 3,3-dimethylallyl bromide 5 (0.51 mL, 4.40 mmol) were added sequentially. The resulting mixture was stirred at room temperature for 1 h. It was then quenched with brine (60 mL). The aqueous layer was extracted three times with EtOAc (100 mL × 3). The combined organic layers were washed three times with brine (50 mL × 3), dried over anhydrous Na2SO4, filtered and concentrated in vacuo. The crude product was purified via flash chromatography (hexane: EtOAc = 50:1) to afford 24 (2.22 g, 74% yield) as a yellow solid.
- 7-(4-((tert-butyldimethylsilyl)oxy)phenyl)-2,2-dimethyl-5-((3-methylbut-2-en-1-yl)oxy)-2H,6H-pyrano [3,2-g]chromen-6-one 24:
1H NMR (400 MHz, CDCl3) δ 7.75 (d, J = 2.0 Hz, 1H), 7.40 (d, J = 8.6 Hz, 2H), 6.88 (d, J = 8.6Hz, 2H), 6.74 (d, J = 10.1 Hz, 1H), 6.59 (s, 1H), 5.68 (d, J = 10.1 Hz, 1H), 5.65–5.56 (m, 1H), 4.57 (d, J = 7.4 Hz, 2H), 1.75 (s, 3H), 1.64 (s, 3H), 1.46 (s, 6H), 0.99 (s, 9H), 0.22 (s, 6H).
13C NMR (100 MHz, CDCl3) δ 175.11, 158.70, 157.86, 155.66, 154.65, 150.47, 138.23, 130.28, 130.13, 125.61, 125.03, 120.43, 120.01, 117.09, 114.01, 113.50, 100.54, 77.56, 72.21, 28.26, 25.89, 25.71, 18.23, 18.11, −4.35.
HRMS (ESI): m/z calcd for C31H38O5Si[M+H+]: 519.2561; found: 519.2554.
To a solution of 24 (1.2 g, 2.31 mmol) in anhydrous chloroform (30 mL), Eu(fod)3 (21 mg, 0.015 mmol) was added at 60 °C for 20 h, and then concentrated on a rotary evaporator. The crude product was subjected to flash chromatography (hexane: EtOAc = 600:1) to afford 25 (0.92 g, 76% yield) as a yellow solid.
- 7-(4-((tert-butyldimethylsilyl)oxy)phenyl)-5-hydroxy-2,2-dimethyl-10-(3-methylbut-2-en-1-yl)-2H,6H-pyrano [3,2-g]chromen-6-one 25:
1H NMR (400 MHz, CDCl3) δ 13.12 (s, 1H), 7.90 (s, 1H), 7.40 (d, J = 8.5 Hz, 2H), 6.90 (d, J = 8.5 Hz, 2H), 6.74 (d, J = 10.2 Hz, 1H), 5.62 (d, J = 10.2 Hz, 1H), 5.18 (t, J = 7.4 Hz, 1H), 3.40 (d, J = 7.4 Hz, 2H), 1.81 (s, 3H), 1.68 (s, 3H), 1.47 (s, 6H), 1.00 (s, 9H), 0.22 (s, 6H).
13C NMR (100 MHz, CDCl3) δ 181.26, 156.89, 155.97, 154.98, 154.73, 152.63, 131.70, 130.04, 128.01, 123.81, 123.24, 122.02, 120.22, 115.91, 107.44, 105.95, 105.45, 77.80, 28.23, 25.80, 25.70, 21.31, 18.24, 17.91, −4.36.
HRMS (ESI): m/z calcd for C31H38O5Si[M+H+]: 519.2561; found: 519.2574.
To a solution of 25 (0.8 g, 1.54 mmol) in anhydrous THF (15 mL), tetrabutylammonium fluoride (TBAF) (1 M solution in THF, 15 mL, 15 mmol) was added. The resulting solution was stirred at room temperature for 0.5 h. The reaction mixture was poured into 50 mL ice water and stirred for 20 min. The aqueous layer was extracted three times with EtOAc (100 mL × 3). The combined organic layers were washed three times with brine (70 mL × 3), dried over anhydrous Na2SO4, filtered and concentrated in vacuo. The crude product was purified via flash chromatography (hexane: EtOAc = 20:1) to afford 1 (0.58 g, 93% yield) as a white solid.
NMR Data from Supplementary Table S1.
HRMS (ESI): m/z calcd for C25H24O5[M+H+]: 405.1697; found: 405.1636.
- 3-(4-((tert-butyldimethylsilyl)oxy)phenyl)-5-hydroxy-8,8-dimethyl-4H,8H-pyrano [2,3-f]chromen-4-one 16: Compound 16 was synthesized by following a similar procedure as that of 23.
1H NMR (400 MHz, CDCl3) δ 12.95 (s, 1H), 7.89 (s, 1H), 7.49–7.34 (d, J = 8.6 Hz, 2H), 6.91 (d, J = 8.6 Hz, 2H), 6.68 (d, J = 10.0 Hz, 1H), 6.29 (s, 1H), 5.59 (d, J = 10.0 Hz, 1H), 1.47 (s, 6H), 1.00 (s, 9H), 0.22 (s, 6H).
13C NMR (100 MHz, CDCl3) δ 180.95, 162.31, 159.58, 156.10, 152.45, 152.28, 130.07, 127.47, 123.71, 123.50, 120.25, 114.62, 106.08, 101.13, 100.36, 78.11, 28.23, 25.69, 18.24, −4.36.
HRMS (ESI): m/z calcd for C26H30O5Si[M+H+]: 451.1935; found: 451.1950.
- 3-(4-((tert-butyldimethylsilyl)oxy)phenyl)-8,8-dimethyl-5-((3-methylbut-2-en-1-yl)oxy)-4H,8H-pyrano [2,3-f]chromen-4-one 17: Compound 17 was synthesized by following a similar procedure as that of 24.
1H NMR (400 MHz, CDCl3) δ 7.75 (s, 1H), 7.39 (d, J = 8.4 Hz, 2H), 6.85 (d, J = 8.4 Hz, 2H), 6.72 (d, J = 10.0 Hz, 1H), 6.31 (s, 1H), 5.73–5.43 (m, 2H), 4.61 (d, J = 6.4 Hz, 2H), 1.76 (s, 3H), 1.72 (s, 3H), 1.48 (s, 6H), 0.98 (s, 9H), 0.20 (s, 6H).
13C NMR (100 MHz, CDCl3) δ 175.44, 160.53, 157.51, 155.57, 154.14, 149.75, 137.46, 130.43, 127.25, 125.93, 125.06, 119.88, 119.38, 115.19, 109.79, 102.27, 97.59, 77.97, 66.46, 28.23, 25.81, 25.72, 18.40, 18.23, −4.36.
HRMS (ESI): m/z calcd for C26H30O5Si[M+H+]: 519.2561; found: 519.2554.
To a solution of compound 17 (2.5 g, 4.82 mmol) in dry DCM (30 mL), montmorillonite K10 (2.5 g, 1 wt) was added under argon. After stirring for 1 h at room temperature, the reaction mixture was filtered and concentrated. The crude product was purified via flash chromatography (hexane: EtOAc = 600:1) to afford 18 (2.23 g, 89% yield) as a yellow solid.
- 3-(4-((tert-butyldimethylsilyl)oxy)phenyl)-5-hydroxy-8,8-dimethyl-6-(3-methylbut-2-en-1-yl)-4H,8H-pyrano [2,3-f]chromen-4-one 18:
1H NMR (400 MHz, CDCl3) δ 13.17 (s, 1H), 7.87 (s, 1H), 7.39 (d, J = 8.7 Hz, 2H), 6.91 (d, J = 8.7 Hz, 2H), 6.70 (d, J = 10.0 Hz, 1H), 5.59 (d, J = 10.0 Hz, 1H), 5.33–5.09 (m, 1H), 3.35 (d, J = 7.3 Hz, 2H), 1.81 (s, 3H), 1.68 (s, 3H), 1.48 (s, 6H), 1.00 (s, 9H), 0.23 (s, 6H).
13C NMR (100 MHz, CDCl3) δ 180.97, 159.40, 157.21, 155.98, 152.29, 150.52, 131.63, 130.08, 127.14, 123.81, 123.49, 121.98, 120.22, 115.02, 112.83, 105.63, 100.73, 77.86, 28.15, 25.84, 25.70, 21.32, 18.24, 17.96, −4.35.
- 5-hydroxy-3-(4-hydroxyphenyl)-8,8-dimethyl-6-(3-methylbut-2-en-1-yl)-4H,8H-pyrano [2,3-f]chromen-4-one 2: Compound 2 was synthesized by following a similar procedure as that of 1.
NMR Data from Supplementary Table S2.
HRMS (ESI): m/z calcd for C25H24O5[M+H+]: 405.1697; found: 405.1703.
4. Conclusions
In conclusion, we have accomplished the total synthesis of osajin, scandenone and analogues from commercially available starting materials. The key reactions for the preparation of these compounds involve the aldol reaction, Claisen rearrangement, Schenck ene reaction and Suzuki coupling reaction. Additionally, we have designed and synthesized twenty-five natural product analogues, which were screened for anti-inflammatory activity against TNF-α and IL-6 in LPS-stimulated RAW264.7 macrophages. From this series of compounds, compounds 39e and 39d emerged as promising lead candidates for the development of novel anti-inflammatory drugs.
Supplementary Materials
The following supporting information can be downloaded at: https://www.mdpi.com/article/10.3390/ph17010086/s1, Table S1: Comparison of 1H NMR Spectral Data. Table S2: Comparison of 1H NMR Spectral Data. Scheme S1: Previous synthesis of osajin and scandenone. Figure S1: Cell viability of RAW264.7 macrophages induced with synthetic compounds after 24 h via CCK-8 assay. Experimental procedures and characterization data (1H NMR, 13C NMR and HRMSn) can be found in the Supplementary Materials.
Author Contributions
R.W. conceptualization, methodology, software, formal analysis, investigation, data curation, writing—original draft and writing—review and editing; R.M. investigation, visualization, conceptualization and writing—review and editing; K.F. offered much help in the process of biological experiments; H.L. offered much help in the process of chemical experiments; W.Z. funding acquisition, conceptualization, supervision and writing—review and editing; H.J. supervision and writing—review and editing. All authors have read and agreed to the published version of the manuscript.
Funding
This work was supported by the National Natural Science Foundation of China (22377060, 22077068) and the Fundamental Research Funds for the Central Universities.
Institutional Review Board Statement
Not applicable.
Informed Consent Statement
Not applicable.
Data Availability Statement
Data is contained within the article and Supplementary Material.
Conflicts of Interest
The authors declare that they have no known competing financial interests or personal relationships that could have appeared to influence the work reported in this paper.
References
- Maleki, S.J.; Crespo, J.F.; Cabanillas, B. Anti-inflammatory effects of flavonoids. Food Chem. 2019, 299, 125124. [Google Scholar] [CrossRef]
- Sánchez, M.; Romero, M.; Gómez-Guzmán, M.; Tamargo, J.; Pérez-Vizcaino, F.; Duarte, J. Cardiovascular Effects of Flavonoids. Curr. Med. Chem. 2019, 26, 6991–7034. [Google Scholar] [CrossRef]
- Li, X.; Yin, M.; Yang, X.; Yang, G.; Gao, X. Flavonoids from Mirabilis himalaica. Fitoterapia 2018, 127, 89–95. [Google Scholar] [CrossRef]
- Liskova, A.; Koklesova, L.; Samec, M.; Smejkal, K.; Samuel, S.M.; Varghese, E.; Abotaleb, M.; Biringer, K.; Kudela, E.; Danko, J.; et al. Flavonoids in Cancer Metastasis. Cancers 2020, 12, 1498. [Google Scholar] [CrossRef]
- Lv, Y.; Marsafari, M.; Koffas, M.; Zhou, J.; Xu, P. Optimizing Oleaginous Yeast Cell Factories for Flavonoids and Hydroxylated Flavonoids Biosynthesis. ACS Synth. Biol. 2019, 8, 2514–2523. [Google Scholar] [CrossRef]
- Raffa, D.; Maggio, B.; Raimondi, M.V.; Plescia, F.; Daidone, G. Recent discoveries of anticancer flavonoids. Eur. J. Med. Chem. 2017, 142, 213–228. [Google Scholar] [CrossRef]
- Oh, T.W.; Do, H.J.; Jeon, J.-H.; Kim, K. Quercitrin inhibits platelet activation in arterial thrombosis. Phytomedicine 2021, 80, 153363. [Google Scholar] [CrossRef]
- Zhang, D.; Jiang, X.; Xiao, L.; Lu, Y.; Sang, S.; Lv, L.; Dong, W. Mechanistic studies of inhibition on acrolein by myricetin. Food Chem. 2020, 323, 126788. [Google Scholar] [CrossRef]
- Sreelatha, T.; Hymavathi, A.; Rama Subba Rao, V.; Devanand, P.; Usha Rani, P.; Madhusudana Rao, J.; Suresh Babu, K. A new benzil derivative from Derris scandens: Structure-insecticidal activity study. Bioorg. Med. Chem. Lett. 2010, 20, 549–553. [Google Scholar] [CrossRef]
- Wang, Y.; Curtis-Long, M.J.; Yuk, H.J.; Kim, D.W.; Tan, X.F.; Park, K.H. Bacterial neuraminidase inhibitory effects of prenylated isoflavones from roots of Flemingia philippinensis. Bioorg. Med. Chem. 2013, 21, 6398–6404. [Google Scholar] [CrossRef]
- Cheenpracha, S.; Chokchaisiri, R.; Laphookhieo, S.; Limtharakul, T.; Thepmalee, C. Rare prenylated isoflavonoids from the young twigs of Millettia extensa and their cytotoxic activities. RSC Adv. 2022, 12, 30359–30364. [Google Scholar] [CrossRef]
- Ribaudo, G.; Coghi, P.; Zanforlin, E.; Law, B.Y.K.; Wu, Y.Y.J.; Han, Y.; Qiu, A.C.; Qu, Y.Q.; Zagotto, G.; Wong, V.K.W. Semi-synthetic isoflavones as BACE-1 inhibitors against Alzheimer’s disease. Bioorg. Chem. 2019, 87, 474–483. [Google Scholar] [CrossRef]
- Adem, F.A.; Mbaveng, A.T.; Kuete, V.; Heydenreich, M.; Ndakala, A.; Irungu, B.; Yenesew, A.; Efferth, T. Cytotoxicity of isoflavones and biflavonoids from Ormocarpum kirkii towards multi-factorial drug resistant cancer. Phytomedicine 2019, 58, 152853. [Google Scholar] [CrossRef]
- Xue, L.-L.; Wu, W.-S.; Ma, X.; Pei, H.-Y.; Tang, M.-H.; Kuang, S.; Cai, X.-Y.; Wang, L.; Li, Y.; Zhang, R.-J.; et al. Modulation of LPS-induced inflammation in RAW264.7 murine cells by novel isoflavonoids from Millettia pulchra. Bioorg. Chem. 2020, 97, 103693. [Google Scholar] [CrossRef]
- Ito, S.; Kitamura, T.; Arulmozhiraja, S.; Manabe, K.; Tokiwa, H.; Suzuki, Y. Total Synthesis of Termicalcicolanone A via Organocatalysis and Regioselective Claisen Rearrangement. Org. Lett. 2019, 21, 2777–2781. [Google Scholar] [CrossRef]
- Boruah, J.J.; Das, S.P. Palladium (Pd)-based Photocatalysts for Suzuki Coupling Reactions: An Overview. Mini-Rev. Org. Chem. 2023, 20, 687–699. [Google Scholar] [CrossRef]
- Yi, J.; Du, G.; Zhao, Y.; Zhang, L.; Li, B.; Zhu, W.; Huang, C.; Li, Y.; Guo, F. Bavachinin analogues as agonists of pan-peroxisome proliferator-activated receptors. Med. Chem. Res. 2018, 27, 1851–1862. [Google Scholar] [CrossRef]
- Orsi, D.L.; Easley, B.J.; Lick, A.M.; Altman, R.A. Base Catalysis Enables Access to α,α-Difluoroalkylthioethers. Org. Lett. 2017, 19, 1570–1573. [Google Scholar] [CrossRef]
- Bensinger, D.; Stubba, D.; Cremer, A.; Kohl, V.; Waßmer, T.; Stuckert, J.; Engemann, V.; Stegmaier, K.; Schmitz, K.; Schmidt, B. Virtual Screening Identifies Irreversible FMS-like Tyrosine Kinase 3 Inhibitors with Activity toward Resistance-Conferring Mutations. J. Med. Chem. 2019, 62, 2428–2446. [Google Scholar] [CrossRef]
- Bulman Page, P.C.; Chan, Y.; Noor Armylisas, A.H.; Alahmdi, M. Asymmetric epoxidation of chromenes mediated by iminium salts: Synthesis of mollugin and (3S,4R)-trans-3,4-dihydroxy-3,4-dihydromollugin. Tetrahedron 2016, 72, 8406–8416. [Google Scholar] [CrossRef]
- Amolak, C.J.; Bhola, N.S. Synthesis of Alpinum Isoflavone, Osajin, and Warangalone. J. Org. Chem. 1974, 39, 2215–2217. [Google Scholar]
- Helesbeux, J.-J.; Duval, O.; Guilet, D.; Séraphin, D.; Rondeau, D.; Richomme, P. Regioselectivity in the ene reaction of singlet oxygen with ortho-prenylphenol derivatives. Tetrahedron 2003, 59, 5091–5104. [Google Scholar] [CrossRef]
- Parmar, V.S.; Jain, S.C.; Bisht, K.S.; Sharma, N.K.; Gupta, S.; Prasad, A.K.; Jha, A.; Malhotra, S.; Sharma, S.K.; Bracke, M.E. Synthesis and anti-invasive activity of novel 1,3-diarylpropenones. Indian J. Chem. 1998, 37B, 628–643. [Google Scholar]
- Dong, T.; Li, C.; Wang, X.; Dian, L.; Zhang, X.; Li, L.; Chen, S.; Cao, R.; Li, L.; Huang, N.; et al. Ainsliadimer A selectively inhibits IKKα/β by covalently binding a conserved cysteine. Nat. Commun. 2015, 6, 6522. [Google Scholar] [CrossRef]
Disclaimer/Publisher’s Note: The statements, opinions and data contained in all publications are solely those of the individual author(s) and contributor(s) and not of MDPI and/or the editor(s). MDPI and/or the editor(s) disclaim responsibility for any injury to people or property resulting from any ideas, methods, instructions or products referred to in the content. |
© 2024 by the authors. Licensee MDPI, Basel, Switzerland. This article is an open access article distributed under the terms and conditions of the Creative Commons Attribution (CC BY) license (https://creativecommons.org/licenses/by/4.0/).







