Nuclear Cross-Section of Proton-Induced Reactions on Enriched 48Ti Targets for the Production of Theranostic 47Sc Radionuclide, 46cSc, 44mSc, 44gSc, 43Sc, and 48V
Abstract
:1. Introduction
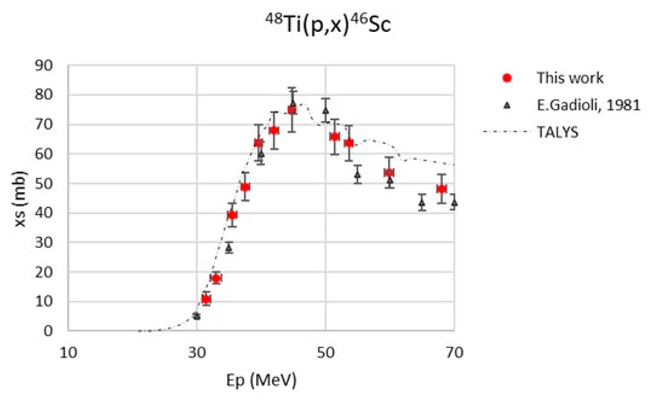
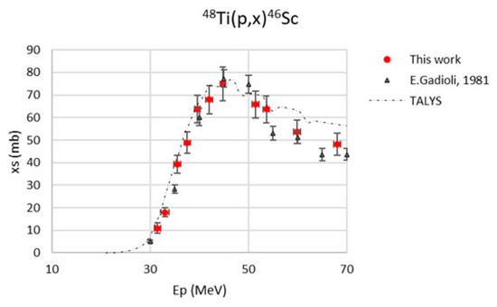
2. Discussion and Results
3. Discussion on 47Sc Production
4. Materials and Methods
4.1. Enriched 48Ti Targets
4.2. Irradiation Runs, γ-Spectrometry, and Data Analysis
5. Conclusions
Author Contributions
Funding
Institutional Review Board Statement
Informed Consent Statement
Data Availability Statement
Acknowledgments
Conflicts of Interest
References
- Pupillo, G.; Mou, L.; Boschi, A.; Calzaferri, S.; Canton, L.; Cisternino, S.; De Dominicis, L.; Duatti, A.; Fontana, A.; Haddad, F.; et al. Production of 47Sc with Natural Vanadium Targets: Results of the PASTA Project. J. Radioanal. Nucl. Chem. 2019, 322, 1711–1718. [Google Scholar] [CrossRef]
- Pupillo, G.; Boschi, A.; Cisternino, S.; De Dominicis, L.; Martini, P.; Mou, L.; Rossi Alvarez, C.; Sciacca, G.; Esposito, J. The LARAMED Project at INFN-LNL: Review of the Research Activities on Medical Radionuclides Production with the SPES Cyclotron. J. Radioanal. Nucl. Chem. 2023. [Google Scholar] [CrossRef]
- Müller, C.; Domnanich, K.A.; Umbricht, C.A.; van der Meulen, N.P. Scandium and Terbium Radionuclides for Radiotheranostics: Current State of Development towards Clinical Application. BJR 2018, 91, 20180074. [Google Scholar] [CrossRef] [PubMed]
- Domnanich, K.A.; Müller, C.; Benešová, M.; Dressler, R.; Haller, S.; Köster, U.; Ponsard, B.; Schibli, R.; Türler, A.; Meulen, N.P. van der 47Sc as Useful β–-Emitter for the Radiotheragnostic Paradigm: A Comparative Study of Feasible Production Routes. EJNMMI Radiopharm. Chem. 2017, 2, 5. [Google Scholar] [CrossRef] [PubMed]
- Loveless, C.S.; Radford, L.L.; Ferran, S.J.; Queern, S.L.; Shepherd, M.R.; Lapi, S.E. Photonuclear Production, Chemistry, and in Vitro Evaluation of the Theranostic Radionuclide 47Sc. EJNMMI Res. 2019, 9, 42. [Google Scholar] [CrossRef] [PubMed]
- Loveless, C.S.; Blanco, J.R.; Diehl, G.L.; Elbahrawi, R.T.; Carzaniga, T.S.; Braccini, S.; Lapi, S.E. Cyclotron Production and Separation of Scandium Radionuclides from Natural Titanium Metal and Titanium Dioxide Targets. J. Nucl. Med. 2021, 62, 131–136. [Google Scholar] [CrossRef] [PubMed]
- Chernysheva, M.; Loveless, S.C.; Brossard, T.; Becker, K.; Cingoranelli, S.; Aluicio-Sarduy, E.; Song, J.; Ellison, P.; Nolen, J.; Rotsch, D.A.; et al. Accelerator Production of Scandium Radioisotopes: Sc-43, Sc-44, and Sc-47. Curr. Radiopharm. 2021, 14, 359–373. [Google Scholar] [CrossRef]
- Mausner, L.F.; Kolsky, K.L.; Joshi, V.; Sweet, M.P.; Meinken, G.E.; Srivastava, S.C. Scandium-47: A Replacement for Cu-67 in Nuclear Medicine Therapy with β/γ Emitters. In Isotope Production and Applications in the 21st Century; World Scientific: Singapore, 2000; pp. 43–45. ISBN 978-981-02-4200-8. [Google Scholar]
- Rotsch, D.A.; Brown, M.A.; Nolen, J.A.; Brossard, T.; Henning, W.F.; Chemerisov, S.D.; Gromov, R.G.; Greene, J. Electron Linear Accelerator Production and Purification of Scandium-47 from Titanium Dioxide Targets. Appl. Radiat. Isot. 2018, 131, 77–82. [Google Scholar] [CrossRef]
- Abel, E.P.; Domnanich, K.; Clause, H.K.; Kalman, C.; Walker, W.; Shusterman, J.A.; Greene, J.; Gott, M.; Severin, G.W. Production, Collection, and Purification of 47Ca for the Generation of 47Sc through Isotope Harvesting at the National Superconducting Cyclotron Laboratory. ACS Omega 2020, 5, 27864–27872. [Google Scholar] [CrossRef]
- Mikolajczak, R.; Huclier-Markai, S.; Alliot, C.; Haddad, F.; Szikra, D.; Forgacs, V.; Garnuszek, P. Production of Scandium Radionuclides for Theranostic Applications: Towards Standardization of Quality Requirements. EJNMMI Radiopharm. Chem. 2021, 6, 19. [Google Scholar] [CrossRef]
- Snow, M.S.; Foley, A.; Ward, J.L.; Kinlaw, M.T.; Stoner, J.; Carney, K.P. High Purity 47Sc Production Using High-Energy Photons and Natural Vanadium Targets. Appl. Radiat. Isot. 2021, 178, 109934. [Google Scholar] [CrossRef] [PubMed]
- Gizawy, M.A.; Aydia, M.I.; Abdel Monem, I.M.; Shamsel-Din, H.A.; Siyam, T. Radiochemical Separation of Reactor Produced Sc-47 from Natural Calcium Target Using Poly(Acrylamide-Acrylic Acid)/Multi-Walled Carbon Nanotubes Composite. Appl. Radiat. Isot. 2019, 150, 87–94. [Google Scholar] [CrossRef] [PubMed]
- Meiers, J.L.; Foley, A.; Beattie, C.; Snow, M.S. Exploring Rapid Chemical Separations of Sc-47 Produced from Photonuclear Reactions on Natural Vanadium Targets. J. Radioanal. Nucl. Chem. 2022, 331, 5623–5630. [Google Scholar] [CrossRef]
- Meier, J.P.; Zhang, H.J.; Freifelder, R.; Bhuiyan, M.; Selman, P.; Mendez, M.; Kankanamalage, P.H.A.; Brossard, T.; Pusateri, A.; Tsai, H.-M.; et al. Accelerator-Based Production of Scandium Radioisotopes for Applications in Prostate Cancer: Toward Building a Pipeline for Rapid Development of Novel Theranostics. Molecules 2023, 28, 6041. [Google Scholar] [CrossRef] [PubMed]
- Qaim, S.M.; Scholten, B.; Neumaier, B. New Developments in the Production of Theranostic Pairs of Radionuclides. J. Radioanal. Nucl. Chem. 2018, 318, 1493–1509. [Google Scholar] [CrossRef]
- Qaim, S.M. Theranostic Radionuclides: Recent Advances in Production Methodologies. J. Radioanal. Nucl. Chem. 2019, 322, 1257–1266. [Google Scholar] [CrossRef]
- Kilian, K.; Pyrzyńska, K. Scandium Radioisotopes—Toward New Targets and Imaging Modalities. Molecules 2023, 28, 7668. [Google Scholar] [CrossRef]
- Barbaro, F.; Canton, L.; Carante, M.P.; Colombi, A.; Fontana, A. Theoretical Study of 47Sc Production for Theranostic Applications Using Proton Beams on Enriched Titanium Targets. EPJ Web Conf. 2022, 261, 05005. [Google Scholar] [CrossRef]
- Dellepiane, G.; Casolaro, P.; Mateu, I.; Scampoli, P.; Voeten, N.; Braccini, S. 47Sc and 46Sc Cross-Section Measurement for an Optimized 47Sc Production with an 18 MeV Medical PET Cyclotron. Appl. Radiat. Isot. 2022, 189, 110428. [Google Scholar] [CrossRef]
- Barbaro, F.; Canton, L.; Carante, M.P.; Colombi, A.; De Dominicis, L.; Fontana, A.; Haddad, F.; Mou, L.; Pupillo, G. New Results on Proton-Induced Reactions on Vanadium for 47Sc Production and the Impact of Level Densities on Theoretical Cross Sections. Phys. Rev. C 2021, 104, 044619. [Google Scholar] [CrossRef]
- De Nardo, L.; Pupillo, G.; Mou, L.; Furlanetto, D.; Rosato, A.; Esposito, J.; Meléndez-Alafort, L. Preliminary Dosimetric Analysis of DOTA-Folate Radiopharmaceutical Radiolabelled with 47Sc Produced through natV(p,x)47Sc Cyclotron Irradiation. Phys. Med. Biol. 2021, 66, 025003. [Google Scholar] [CrossRef] [PubMed]
- NuDat 3. Available online: https://www.nndc.bnl.gov/nudat3/ (accessed on 15 September 2023).
- Experimental Nuclear Reaction Data (EXFOR). Available online: https://www-nds.iaea.org/exfor/exfor.htm (accessed on 2 September 2023).
- Zerkin, V.V.; Pritychenko, B. The Experimental Nuclear Reaction Data (EXFOR): Extended Computer Database and Web Retrieval System. Nucl. Instrum. Methods Phys. Res. Sect. A Accel. Spectrometers Detect. Assoc. Equip. 2018, 888, 31–43. [Google Scholar] [CrossRef]
- Otuka, N.; Dupont, E.; Semkova, V.; Pritychenko, B.; Blokhin, A.I.; Aikawa, M.; Babykina, S.; Bossant, M.; Chen, G.; Dunaeva, S.; et al. Towards a More Complete and Accurate Experimental Nuclear Reaction Data Library (EXFOR): International Collaboration between Nuclear Reaction Data Centres (NRDC). Nucl. Data Sheets 2014, 120, 272–276. [Google Scholar] [CrossRef]
- Koning, A.J.; Rochman, D. Modern Nuclear Data Evaluation with the TALYS Code System. Nucl. Data Sheets 2012, 113, 2841–2934. [Google Scholar] [CrossRef]
- Koning, A.; Hilaire, S.; Goriely, S. TALYS: Modeling of Nuclear Reactions. Eur. Phys. J. A 2023, 59, 131. [Google Scholar] [CrossRef]
- TALYS. Available online: https://www-nds.iaea.org/talys/ (accessed on 28 September 2023).
- Gadioli, E.; Gadioli Erba, E.; Hogan, J.J.; Burns, K.I. Emission of Alpha Particles in the Interaction of 10 85 MeV Protons with 48,50Ti. Z. Fur Phys. A Hadron. Nucl. 1981, 301, 289–300. [Google Scholar] [CrossRef]
- Levkovski, V.N. Cross Sections of Medium Mass Nuclide Activation (A = 40–100) by Medium Energy Protons and Alpha-Particles (E = 10–50 MeV); Inter-Vesi: Moscow, Russia, 1991; ISBN 5-265-02732-7. [Google Scholar]
- Mausner, L.F.; Kolsky, K.L.; Joshi, V.; Srivastava, S.C. Radionuclide Development at BNL for Nuclear Medicine Therapy. Appl. Radiat. Isot. 1998, 49, 285–294. [Google Scholar] [CrossRef]
- Sugai, I.; Takeda, Y.; Kawakami, H. Preparation of Thick Enriched Isotopic Si Targets by the HIVIPP Method. Nucl. Instrum. Methods Phys. Res. Sect. A Accel. Spectrometers Detect. Assoc. Equip. 2006, 561, 38–44. [Google Scholar] [CrossRef]
- Sugai, I.; Takeda, Y.; Makii, H.; Sano, K.; Nagai, Y. Target Preparation of Highly Adhesive Enriched 12C on Au Substrates by a HIVIPP Method. Nucl. Instrum. Methods Phys. Res. Sect. A Accel. Spectrometers Detect. Assoc. Equip. 2004, 521, 227–234. [Google Scholar] [CrossRef]
- Skliarova, H.; Cisternino, S.; Pranovi, L.; Mou, L.; Pupillo, G.; Rigato, V.; Rossi Alvarez, C. HIVIPP Deposition and Characterization of Isotopically Enriched 48Ti Targets for Nuclear Cross-Section Measurements. Nucl. Instrum. Methods Phys. Res. Sect. A Accel. Spectrometers Detect. Assoc. Equip. 2020, 981, 164371. [Google Scholar] [CrossRef]
- Cisternino, S.; Skliarova, H.; Antonini, P.; Esposito, J.; Mou, L.; Pranovi, L.; Pupillo, G.; Sciacca, G. Upgrade of the HIVIPP Deposition Apparatus for Nuclear Physics Thin Targets Manufacturing. Instruments 2022, 6, 23. [Google Scholar] [CrossRef]
- Haddad, F.; Ferrer, L.; Guertin, A.; Carlier, T.; Michel, N.; Barbet, J.; Chatal, J.-F. ARRONAX, a High-Energy and High-Intensity Cyclotron for Nuclear Medicine. Eur. J. Nucl. Med. Mol. Imaging 2008, 35, 1377–1387. [Google Scholar] [CrossRef] [PubMed]
- Ziegler, J.F. SRIM-2003. Nucl. Instrum. Methods Phys. Res. Sect. B Beam Interact. Mater. At. 2004, 219–220, 1027–1036. [Google Scholar] [CrossRef]
- Monitor Reaction 2017. Available online: https://www-nds.iaea.org/medical/monitor_reactions.html (accessed on 15 July 2023).
- Hermanne, A.; Ignatyuk, A.V.; Capote, R.; Carlson, B.V.; Engle, J.W.; Kellett, M.A.; Kibédi, T.; Kim, G.; Kondev, F.G.; Hussain, M.; et al. Reference Cross Sections for Charged-Particle Monitor Reactions. Nucl. Data Sheets 2018, 148, 338–382. [Google Scholar] [CrossRef]
- Koning, A.; Hilaire, S.; Goriely, S. TALYS-1.96/2.0 Simulation of Nuclear Reactions. 2021. Available online: https://www-nds.iaea.org/talys/tutorials/talys_v1.96.pdf (accessed on 15 July 2023).
- Takács, S.; Tárkányi, F.; Sonck, M.; Hermanne, A. Investigation of the natMo(p,x)96mgTc Nuclear Reaction to Monitor Proton Beams: New Measurements and Consequences on the Earlier Reported Data. Nucl. Instrum. Methods Phys. Res. Sect. B Beam Interact. Mater. At. 2002, 198, 183–196. [Google Scholar] [CrossRef]
- Koning, A. ISOTOPIA-1.0: Simulation of Medical Isotope Production with Accelerators; 2019. Available online: https://nds.iaea.org/relnsd/isotopia/isotopia.pdf (accessed on 15 July 2023).
- Gillings, N.; Todde, S.; Behe, M.; Decristoforo, C.; Elsinga, P.; Ferrari, V.; Hjelstuen, O.; Peitl, P.K.; Koziorowski, J.; Laverman, P.; et al. EANM Guideline on the Validation of Analytical Methods for Radiopharmaceuticals. EJNMMI Radiopharm. Chem. 2020, 5, 7. [Google Scholar] [CrossRef] [PubMed]
- Guide for the Elaboration of Monographs on RADIO-PHARMACEUTICAL PREPARATIONS. Available online: https://www.edqm.eu/documents/52006/66555/07-elaboration-monographs-radio-pharmaceutical-preparations-october-2018.pdf/50c9d3d8-ec14-10b9-40b7-ceedd94e3afb?t=1623146155879 (accessed on 10 August 2022).
- Mayer, M. SIMNRA, a Simulation Program for the Analysis of NRA, RBS and ERDA. AIP Conf. Proc. 1999, 475, 541–544. [Google Scholar] [CrossRef]
- Ion Beam Analysis Nuclear Data Library (IBANDL). Available online: https://www-nds.iaea.org/exfor/ibandl.htm (accessed on 15 January 2023).
- Mayer, M. Ion Beam Analysis of Rough Thin Films. Nucl. Instrum. Methods Phys. Res. Sect. B Beam Interact. Mater. At. 2002, 194, 177–186. [Google Scholar] [CrossRef]
- Gurbich, A.F.; Barradas, N.P.; Jeynes, C.; Wendler, E. Applying Elastic Backscattering Spectrometry When the Nuclear Excitation Function Has a Fine Structure. Nucl. Instrum. Methods Phys. Res. Sect. B Beam Interact. Mater. At. 2002, 190, 237–240. [Google Scholar] [CrossRef]
- Ziegler, J.F.; Ziegler, M.D.; Biersack, J.P. SRIM—The Stopping and Range of Ions in Matter (2010). Nucl. Instrum. Methods Phys. Res. Sect. B Beam Interact. Mater. At. 2010, 268, 1818–1823. [Google Scholar] [CrossRef]
- Otuka, N.; Lalremruata, B.; Khandaker, M.U.; Usman, A.R.; Punte, L.R.M. Uncertainty Propagation in Activation Cross Section Measurements. Radiat. Phys. Chem. 2017, 140, 502–510, Erratum in Radiat. Phys. Chem. 2021, 184, 109440. [Google Scholar] [CrossRef]
- Canton, L.; Fontana, A. Nuclear Physics Applied to the Production of Innovative Radiopharmaceuticals. Eur. Phys. J. Plus 2020, 135, 770. [Google Scholar] [CrossRef]










| Half-Life | γ-Ray Energy (keV) | γ-Ray Intensity (%) | Mean β− Energy (keV) | Total β− Intensity (%) | Mean β+ Energy (keV) | Total β+ Intensity [%] | |
|---|---|---|---|---|---|---|---|
| 47Sc | 3.3492 d (6) | 159.381 (15) | 68.3 (4) | 162.0 (21) | 100.0 (8) | ||
| 46Sc | 83.79 d (4) | 889.277 (3) 1120.545 (4) | 99.9840 (10) 99.9870 (10) | 111.8 (3) | 100.0000 (10) | ||
| 44mSc | 58.61 h (10) | 271.251 (10) 1157.002 (15) | 86.72 1.23 | ||||
| 44gSc | 4.0420 h (425) | 1157.022 (15) | 99.8867 (30) | 630.2 (8) | 94.278 (11) | ||
| 43Sc | 3.891 h (12) | 372.9 (3) | 22.5 | 476 (6) | 88.1 (8) | ||
| 48V | 15.974 d (3) | 983.525 (4) 1312.105 (6) | 99.98 (4) 98.2 (3) | 291.4 (25) | 50.4 (3) |
| Target ID | 48Ti Deposit (µg/cm2) | Target ID | 48Ti Deposit (µg/cm2) |
|---|---|---|---|
| 48Ti-01 | 190 ± 11 | 48Ti-09 | 524 ± 26 |
| 48Ti-02 | 292 ± 10 | 48Ti-10 | 183 ± 11 |
| 48Ti-03 | 501 ± 17 | 48Ti-11 | 259 ± 11 |
| 48Ti-04 | 190 ± 11 | 48Ti-12 | 590 ± 26 |
| 48Ti-05 | 292 ± 10 | 48Ti-13 | 524 ± 26 |
| 48Ti-06 | 674 ± 32 | 48Ti-14 | 674 ± 32 |
| 48Ti-07 | 590 ± 26 | 48Ti-15 | 520 ± 25 |
| 48Ti-08 | 520 ± 25 |
| Energy (MeV) | 57Ni (mb) | Energy (MeV) | 57Ni (mb) |
|---|---|---|---|
| 22.4 | 148.7 ± 6.3 | 42.2 | 80.4 ± 3.5 |
| 26.3 | 180.1 ± 7.5 | 44.6 | 77.8 ± 3.4 |
| 29.0 | 162.8 ± 6.8 | 51.3 | 73.4 ± 3.1 |
| 31.3 | 134.0 ± 5.6 | 53.5 | 72.3 ± 3.1 |
| 33.1 | 116.6 ± 4.9 | 59.7 | 69.5 ± 3.0 |
| 35.6 | 99.3 ± 4.2 | 67.9 | 66.2 ± 2.9 |
| 39.3 | 85.6 ± 3.6 |
| Target ID | Energy (MeV) | 47Sc (mb) | 46cSc (mb) | 44gSc (mb) | 44mSc (mb) | 43Sc (mb) | 48V (mb) |
| 48Ti-01 | 18.2 ± 0.4 | 4.0 ± 0.3 | - | - | - | - | |
| 48Ti-02 | 22.7 ± 0.9 | 11.9 ±1.1 | - | 11.5 ± 1.2 | 3.4 ± 0.3 | - | 64.5 ± 5.7 |
| 48Ti-03 | 26.7 ± 0.8 | 19.9 ± 3.9 | - | 47.4 ± 9.4 | 13.9 ± 2.7 | - | 41.9 ± 8.2 |
| 48Ti-04 | 29.3 ± 0.8 | 24.1 ± 2.3 | - | 49.9 ± 5.0 | 16.3 ± 1.6 | - | 31.4 ± 3.0 |
| 48Ti-05 | 31.5 ± 0.7 | 28.1 ± 2.5 | 10.9 ± 2.2 | 52.8 ± 5.2 | 19.9 ± 1.8 | - | 30.5 ± 2.7 |
| 48Ti-06 | 33.0 ± 0.8 | 23.9± 2.2 | 18.0 ± 2.0 | 43.9 ± 4.2 | 17.3 ± 1.6 | - | 27.8 ± 2.5 |
| 48Ti-07 | 35.5 ± 0.7 | 22.1 ± 2.0 | 39.3 ± 3.9 | 34.8 ± 3.3 | 16.0 ± 1.4 | 3.9 ± 0.6 | 25.6 ± 2.3 |
| 48Ti-08 | 37.6 ± 0.7 | 22.4 ± 2.0 | 48.9 ± 4.8 | 25.1 ± 2.5 | 12.6 ± 1.1 | 8.3 ± 0.9 | 24.6 ± 2.2 |
| 48Ti-09 | 39.6 ± 0.6 | 21.4 ± 1.9 | 63.7 ± 6.2 | 18.5 ± 1.8 | 9.8 ± 0.9 | 12.9 ± 1.2 | 23.7 ± 2.2 |
| 48Ti-10 | 42.0 ± 0.7 | 20.6 ± 1.8 | 67.9 ± 6.2 | 13.3 ± 1.9 | 6.9 ± 0.6 | 16.2 ± 2.2 | 19.9 ± 1.7 |
| 48Ti-11 | 44.8 ± 0.5 | 19.1 ± 1.8 | 75.0 ± 7.4 | 10.4 ± 1.4 | 4.6 ± 0.5 | 14.4 ±2.3 | 19.0 ± 1.8 |
| 48Ti-12 | 51.4 ± 0.8 | 19.5 ± 1.7 | 65.9 ± 6.0 | 8.4 ± 0.8 | 4.0 ± 0.4 | 11.0 ±1.1 | 17.8 ± 1.6 |
| 48Ti-13 | 53.6 ± 0.7 | 19.1 ± 1.7 | 63.7 ± 5.9 | 8.4 ± 0.9 | 4.6 ± 0.4 | 9.6 ± 1.2 | 17.9 ± 1.6 |
| 48Ti-14 | 59.9 ± 0.7 | 18.7 ± 1.7 | 53.7 ± 5.1 | 12.7 ± 1.3 | 8.1 ± 0.7 | 6.5 ± 0.8 | 13.2 ± 1.2 |
| 48Ti-15 | 68.0 ± 0.7 | 16.9 ± 1.5 | 48.2 ± 4.8 | 25.7 ± 2.6 | 14.1 ± 1.3 | 4.1 ± 0.6 | 10.1 ± 1.0 |
| Ep on 48Ti Targets (MeV) | 47Sc [MBq] (mCi) | 46cSc [MBq] (mCi) | 44gSc [MBq] (mCi)) | 44mSc [MBq] (mCi)] | 43Sc [MBq] (mCi) |
|---|---|---|---|---|---|
| Tirr = 24 h | |||||
| Ep < 25 | 73 (2) | - | 447 (12) | 39 (1) | - |
| Ep < 30 | 198 (5) | - | 1792 (48) | 154 (4) | - |
| Ep < 35 | 364 (10) | 4.8 (0.1) | 3270 (88) | 297 (8) | 19.9 (0.5) |
| Ep < 40 | 556 (15) | 19.4 (0.5) | 4232 (114) | 412 (11) | 289 (8) |
| Tirr = 80 h | |||||
| Ep < 25 | 196 (5) | - | 454 (12) | 96 (3) | - |
| Ep < 30 | 529 (14) | - | 1820 (49) | 381 (10) | - |
| Ep < 35 | 971 (26) | 15.8 (0.4) | 3320 (90) | 736 (20) | 20.2 (0.6) |
| Ep < 40 | 1481 (40) | 64 (2) | 4298 (116) | 1019 (28) | 293 (8) |
Disclaimer/Publisher’s Note: The statements, opinions and data contained in all publications are solely those of the individual author(s) and contributor(s) and not of MDPI and/or the editor(s). MDPI and/or the editor(s) disclaim responsibility for any injury to people or property resulting from any ideas, methods, instructions or products referred to in the content. |
© 2023 by the authors. Licensee MDPI, Basel, Switzerland. This article is an open access article distributed under the terms and conditions of the Creative Commons Attribution (CC BY) license (https://creativecommons.org/licenses/by/4.0/).
Share and Cite
Mou, L.; De Dominicis, L.; Cisternino, S.; Skliarova, H.; Campostrini, M.; Rigato, V.; De Nardo, L.; Meléndez-Alafort, L.; Esposito, J.; Haddad, F.; et al. Nuclear Cross-Section of Proton-Induced Reactions on Enriched 48Ti Targets for the Production of Theranostic 47Sc Radionuclide, 46cSc, 44mSc, 44gSc, 43Sc, and 48V. Pharmaceuticals 2024, 17, 26. https://doi.org/10.3390/ph17010026
Mou L, De Dominicis L, Cisternino S, Skliarova H, Campostrini M, Rigato V, De Nardo L, Meléndez-Alafort L, Esposito J, Haddad F, et al. Nuclear Cross-Section of Proton-Induced Reactions on Enriched 48Ti Targets for the Production of Theranostic 47Sc Radionuclide, 46cSc, 44mSc, 44gSc, 43Sc, and 48V. Pharmaceuticals. 2024; 17(1):26. https://doi.org/10.3390/ph17010026
Chicago/Turabian StyleMou, Liliana, Lucia De Dominicis, Sara Cisternino, Hanna Skliarova, Matteo Campostrini, Valentino Rigato, Laura De Nardo, Laura Meléndez-Alafort, Juan Esposito, Férid Haddad, and et al. 2024. "Nuclear Cross-Section of Proton-Induced Reactions on Enriched 48Ti Targets for the Production of Theranostic 47Sc Radionuclide, 46cSc, 44mSc, 44gSc, 43Sc, and 48V" Pharmaceuticals 17, no. 1: 26. https://doi.org/10.3390/ph17010026
APA StyleMou, L., De Dominicis, L., Cisternino, S., Skliarova, H., Campostrini, M., Rigato, V., De Nardo, L., Meléndez-Alafort, L., Esposito, J., Haddad, F., & Pupillo, G. (2024). Nuclear Cross-Section of Proton-Induced Reactions on Enriched 48Ti Targets for the Production of Theranostic 47Sc Radionuclide, 46cSc, 44mSc, 44gSc, 43Sc, and 48V. Pharmaceuticals, 17(1), 26. https://doi.org/10.3390/ph17010026

