Exploring Potentilla nepalensis Phytoconstituents: Integrated Strategies of Network Pharmacology, Molecular Docking, Dynamic Simulations, and MMGBSA Analysis for Cancer Therapeutic Targets Discovery
Abstract
1. Introduction
2. Results
2.1. Retrieving the Compounds
2.2. Inducing Genes of the PCs
2.3. Enrichment Analysis
2.4. Protein–Protein Interactions
2.5. Molecular Docking
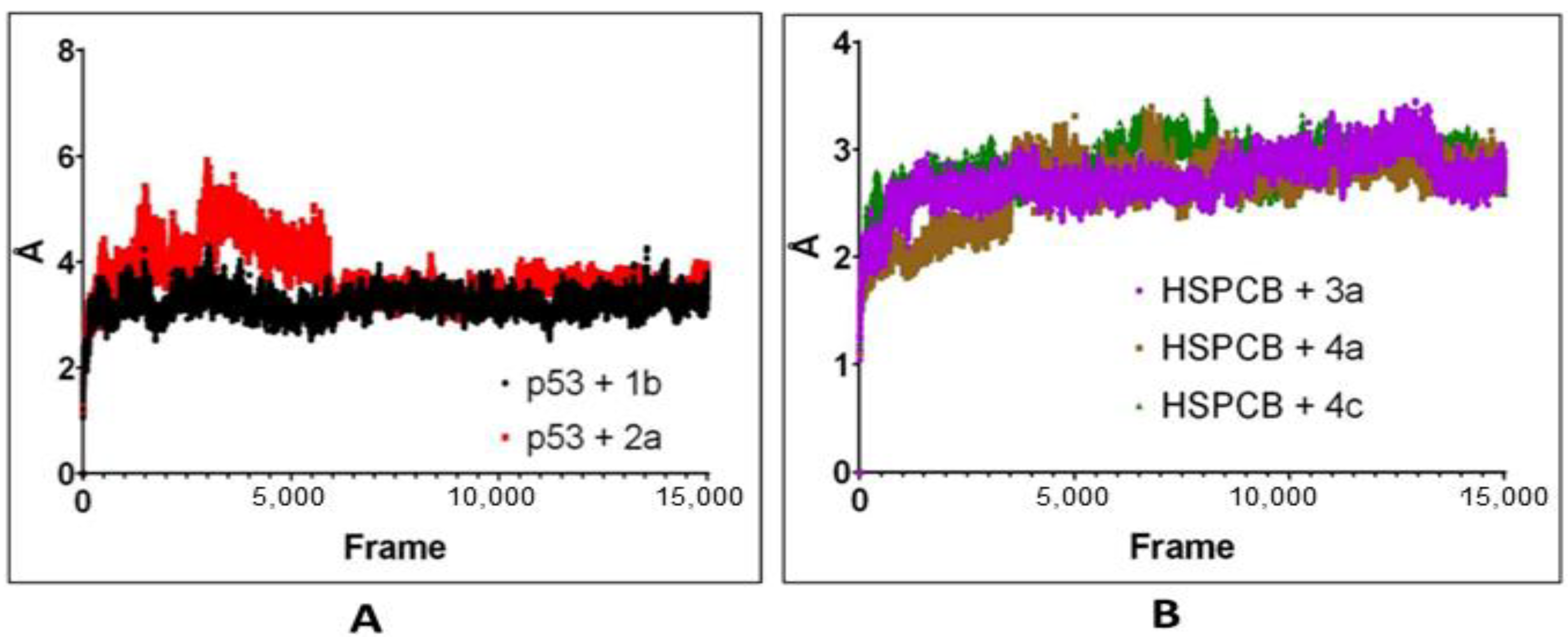
2.6. Molecular Dynamics Simulations and MMGBSA
3. Discussion
4. Materials and Methods
4.1. Retrieving the Compounds
4.2. Inducing Genes of the PCs
4.3. Enrichment Analysis
4.4. Protein–Protein Interactions
4.5. Molecular Docking
4.6. Molecular Dynamics Simulations and MMGBSA
5. Conclusions
Supplementary Materials
Author Contributions
Funding
Institutional Review Board Statement
Informed Consent Statement
Data Availability Statement
Acknowledgments
Conflicts of Interest
Abbreviations
| 2D | Two-dimensional |
| 3D | Three-dimensional |
| BPs | Biological processes |
| CCs | Cellular components |
| DIGEP | Drug-induced genes expression profile |
| FDR | False discovery rate |
| HSP | Heat shock protein |
| MDSs | Molecular dynamic simulations |
| MFs | Molecular functions |
| MMPBSA | Molecular mechanics Poisson–Boltzmann surface area |
| MR | Methanolic root extract |
| MS | Methanolic stem extract |
| Nf-kB | Nuclear factor kappa B |
| NR | n-hexane root extract |
| NS | n-hexane stem extract |
| Pa | Pharmacological activity |
| PASS | Prediction of activity spectra for substances |
| PCs | Phytoconstituents |
| PDB | Protein data bank |
| PPI | Protein–protein interaction |
| SMILES | Simplified Molecular Input Line Entry System |
| TP53 | TP53-binding protein |
References
- Harvey, A.L. Natural products in drug discovery. Drug Discov. Today 2008, 13, 894–901. [Google Scholar] [CrossRef] [PubMed]
- Mathur, S.; Hoskins, C. Drug development: Lessons from nature. Biomed. Rep. 2017, 6, 612–614. [Google Scholar] [CrossRef]
- Kumari, S.; Seth, A.; Sharma, S.; Attri, C. A holistic overview of different species of Potentilla a medicinally important plant along with their pharmaceutical significance: A review. J. Herb. Med. 2021, 29, 100460. [Google Scholar] [CrossRef]
- Tomczyk, M.; Pleszczyńska, M.; Wiater, A. Variation in total polyphenolics contents of aerial parts of Potentilla species and their anticariogenic activity. Molecules 2010, 15, 4639–4651. [Google Scholar] [CrossRef] [PubMed]
- Tomczyk, M.; Paduch, R.; Wiater, A.; Pleszczyńska, M.; Kandefer-Szerszeń, M.; Szczodrak, J. The influence of aqueous extracts of selected Potentilla species on normal human colon cells. Acta Pol. Pharm. 2013, 70, 523–531. [Google Scholar] [PubMed]
- Tomczyk, M.; Leszczyńska, K.; Jakoniuk, P. Antimicrobial activity of Potentilla species. Fitoterapia 2008, 79, 592–594. [Google Scholar] [CrossRef]
- Sharma, S.; Kumar, V.; Yaseen, M.; SAbouzied, A.; Arshad, A.; Bhat, M.A.; Naglah, A.M.; Patel, C.N.; Sivakumar, P.K.; Sourirajan, A.; et al. Phytochemical Analysis, In Vitro Biological Activities, and Computer-Aided Analysis of Potentilla nepalensis Hook Compounds as Potential Melanoma Inhibitors Based on Molecular Docking, MD Simulations, and ADMET. Molecules 2023, 28, 5108. [Google Scholar] [CrossRef]
- Ashburner, M.; Ball, C.A.; Blake, J.A.; Botstein, D.; Butler, H.; Cherry, J.M.; Davis, A.P.; Dolinski, K.; Dwight, S.S.; Eppig, J.T.; et al. Gene Ontology: Tool for the unification of biology. Nat. Genet. 2000, 25, 25–29. [Google Scholar] [CrossRef]
- Liu, L.-L.; Zhao, H.; Ma, T.-F.; Ge, F.; Chen, C.-S.; Zhang, Y.-P. Identification of valid reference genes for the normalization of RT-qPCR expression studies in human breast cancer cell lines treated with and without transient transfection. PLoS ONE 2015, 10, e0117058. [Google Scholar] [CrossRef]
- Fu, J.; Bian, L.; Zhao, L.; Dong, Z.; Gao, X.; Luan, H.; Sun, Y.; Song, H. Identification of genes for normalization of quantitative real-time PCR data in ovarian tissues. Acta Biochim. Biophys. Sin. 2010, 42, 568–574. [Google Scholar] [CrossRef]
- Cartwright, T.; Perkins, N.D.; Wilson, C.L. NFKB1: A suppressor of inflammation, ageing and cancer. FEBS J. 2016, 283, 1812–1822. [Google Scholar] [CrossRef] [PubMed]
- Li, J.; Lei, W.-T.; Zhang, P.; Rapaport, F.; Seeleuthner, Y.; Lyu, B.; Asano, T.; Rosain, J.; Hammadi, B.; Zhang, Y.; et al. Biochemically deleterious human NFKB1 variants underlie an autosomal dominant form of common variable immunodeficiency. J. Exp. Med. 2021, 218, e20210566. [Google Scholar] [CrossRef] [PubMed]
- Guo, Q.; Zhu, Q.; Zhang, T.; Qu, Q.; Cheang, I.; Liao, S.; Chen, M.; Zhu, X.; Shi, M.; Li, X. Integrated bioinformatic analysis reveals immune molecular markers and potential drugs for diabetic cardiomyopathy. Front. Endocrinol. 2022, 13, 933635. [Google Scholar] [CrossRef] [PubMed]
- Weinmann, D.; Mueller, M.; Walzer, S.M.; Hobusch, G.M.; Lass, R.; Gahleitner, C.; Viernstein, H.; Windhager, R.; Toegel, S. Brazilin blocks catabolic processes in human osteoarthritic chondrocytes via inhibition of NFKB1/p50. J. Orthop. Res. 2018, 36, 2431–2438. [Google Scholar] [CrossRef]
- Siddique, M.H.; Bukhari, S.; Khan, I.U.; Essa, A.; Ali, Z.; Sabir, U.; Ayoub, O.; Saadia, H.; Yaseen, M.; Sultan, A.; et al. In Silico, In Vitro, and In Vivo Evaluation of Caffeine-Coated Nanoparticles as a Promising Therapeutic Avenue for AML through NF-Kappa B and TRAIL Pathways Modulation. Pharmaceuticals 2023, 16, 1742. [Google Scholar] [CrossRef] [PubMed]
- Reikvam, H. Inhibition of NF-κB Signaling Alters Acute Myelogenous Leukemia Cell Transcriptomics. Cells 2020, 9, 1677. [Google Scholar] [CrossRef]
- Damineni, S.; Rao, V.R.; Kumar, S.; Ravuri, R.R.; Kagitha, S.; Dunna, N.R.; Digumarthi, R.; Satti, V. Germline mutations of TP53 gene in breast cancer. Tumor Biol. 2014, 35, 9219–9227. [Google Scholar] [CrossRef]
- Hassin, O.; Oren, M. Drugging p53 in cancer: One protein, many targets. Nat. Rev. Drug Discov. 2023, 22, 127–144. [Google Scholar] [CrossRef]
- Nayak, S.K.; Khatik, G.L.; Narang, R.; Monga, V.; Chopra, H.K. P53-Mdm2 Interaction Inhibitors as Novel Nongenotoxic Anticancer Agents. Curr. Cancer Drug Targets 2018, 18, 749–772. [Google Scholar] [CrossRef]
- Zhao, D.; Tahaney, W.M.; Mazumdar, A.; Savage, M.I.; Brown, P.H. Molecularly targeted therapies for p53-mutant cancers. Cell. Mol. Life Sci. 2017, 74, 4171–4187. [Google Scholar] [CrossRef]
- Kim, S.; Chen, J.; Cheng, T.; Gindulyte, A.; He, J.; He, S.; Li, Q.; Shoemaker, B.A.; Thiessen, P.A.; Yu, B.; et al. PubChem 2023 update. Nucleic Acids Res. 2023, 51, D1373–D1380. [Google Scholar] [CrossRef] [PubMed]
- Lagunin, A.; Ivanov, S.; Rudik, A.; Filimonov, D.; Poroikov, V. DIGEP-Pred: Web service for in silico prediction of drug-induced gene expression profiles based on structural formula. Bioinformatics 2013, 29, 2062–2063. [Google Scholar] [CrossRef] [PubMed]
- Kuleshov, M.V.; Jones, M.R.; Rouillard, A.D.; Fernandez, N.F.; Duan, Q.; Wang, Z.; Koplev, S.; Jenkins, S.L.; Jagodnik, K.M.; Lachmann, A.; et al. Enrichr: A comprehensive gene set enrichment analysis web server 2016 update. Nucleic Acids Res. 2016, 44, W90–W97. [Google Scholar] [CrossRef] [PubMed]
- Szklarczyk, D.; Kirsch, R.; Koutrouli, M.; Nastou, K.; Mehryary, F.; Hachilif, R.; Gable, A.L.; Fang, T.; Doncheva, N.T.; Pyysalo, S.; et al. The STRING database in 2023: Protein–protein association networks and functional enrichment analyses for any sequenced genome of interest. Nucleic Acids Res. 2023, 51, D638–D646. [Google Scholar] [CrossRef] [PubMed]
- Shannon, P.; Markiel, A.; Ozier, O.; Baliga, N.S.; Wang, J.T.; Ramage, D.; Amin, N.; Schwikowski, B.; Ideker, T. Cytoscape: A Software Environment for Integrated Models of Biomolecular Interaction Networks. Genome Res. 2003, 13, 2498–2504. [Google Scholar] [CrossRef] [PubMed]
- Praveen, M.; Morales-Bayuelo, A. Drug Designing against VP4, VP7 and NSP4 of Rotavirus Proteins—Insilico studies. Moroc. J. Chem. 2023, 11, 729–741. [Google Scholar] [CrossRef]
- Stroud, J.C.; Oltman, A.; Han, A.; Bates, D.L.; Chen, L. Structural Basis of HIV-1 Activation by NF-κB—A Higher-Order Complex of p50:RelA Bound to the HIV-1 LTR. J. Mol. Biol. 2009, 393, 98–112. [Google Scholar] [CrossRef]
- Wright, L.; Barril, X.; Dymock, B.; Sheridan, L.; Surgenor, A.; Beswick, M.; Drysdale, M.; Collier, A.; Massey, A.; Davies, N.; et al. Structure-Activity Relationships in Purine-Based Inhibitor Binding to HSP90 Isoforms. Chem. Biol. 2004, 11, 775–785. [Google Scholar] [CrossRef]
- O’Boyle, N.M.; Banck, M.; James, C.A.; Morley, C.; Vandermeersch, T.; Hutchison, G.R. Open Babel: An open chemical toolbox. J. Cheminform. 2011, 3, 33. [Google Scholar] [CrossRef]
- Morris, G.M.; Huey, R.; Lindstrom, W.; Sanner, M.F.; Belew, R.K.; Goodsell, D.S.; Olson, A.J. AutoDock4 and AutoDockTools4: Automated docking with selective receptor flexibility. J. Comput. Chem. 2009, 30, 2785–2791. [Google Scholar] [CrossRef]
- Trott, O.; Olson, A.J. AutoDock Vina: Improving the speed and accuracy of docking with a new scoring function, efficient optimization, and multithreading. J. Comput. Chem. 2009, 31, 455–461. [Google Scholar] [CrossRef] [PubMed]
- Wang, J.; Wolf, R.M.; Caldwell, J.W.; Kollman, P.A.; Case, D.A. Development and testing of a general amber force field. J. Comput. Chem. 2004, 25, 1157–1174. [Google Scholar] [CrossRef] [PubMed]
- Pettersen, E.F.; Goddard, T.D.; Huang, C.C.; Meng, E.C.; Couch, G.S.; Croll, T.I.; Morris, J.H.; Ferrin, T.E. UCSF ChimeraX: Structure visualization for researchers, educators, and developers. Protein Sci. A Publ. Protein Soc. 2021, 30, 70–82. [Google Scholar] [CrossRef] [PubMed]
- Tian, C.; Kasavajhala, K.; Belfon KA, A.; Raguette, L.; Huang, H.; Migues, A.N.; Bickel, J.; Wang, Y.; Pincay, J.; Wu, Q.; et al. ff19SB: Amino-Acid-Specific Protein Backbone Parameters Trained against Quantum Mechanics Energy Surfaces in Solution. J. Chem. Theory Comput. 2020, 16, 528–552. [Google Scholar] [CrossRef]
- Genheden, S.; Ryde, U. The MM/PBSA and MM/GBSA methods to estimate ligand-binding affinities. Expert Opin. Drug Discov. 2015, 10, 449–461. [Google Scholar] [CrossRef]
- Turner, P.J. XMGRACE, Version 5.1.19; Center for Coastal and Land-Margin Research, Oregon Graduate Institute of Science and Technology: Beaverton, OR, USA, 2005. [Google Scholar]
- R Core Team. R: A Language and Environment for Statistical Computing; R Foundation for Statistical Computing: Vienna, Austria, 2018; Available online: https://www.R-project.org/ (accessed on 11 November 2023).










| Descriptors | MR | MS | NR | NS |
|---|---|---|---|---|
| BP | Nucleic-acid-templated transcription positive regulation | DNA-templated transcription regulation, nucleic-acid-templated transcription positive regulation | Nucleic-acid-templated transcription positive regulation | Nucleic-acid-templated transcription positive regulation |
| MF | Protein homodimerization activity | Protein serine/threonine phosphatase activity | DNA binding, protein homodimerization activity | DNA-binding transcription activator activity, protein serine/threonine phosphatase activity, oxidoreductase activity |
| CC | Intracellular membrane-bounded organelle, nucleus, secretory granule lumen | Nucleus, azurophil granule lumen | Intracellular membrane-bounded organelle, nucleus | Intracellular organelle lumen, endoplasmic reticulum lumen, secretory granule lumen |
| Pathways | Vegfa-Vegfr2 signaling pathway, leptin signaling pathway, micro-RNAs in cardiomyocyte hypertrophy, B-cell receptor signaling pathway | Nuclear receptors meta-pathway, Osteoblast differentiation, Vitamin-D receptor pathway | Nuclear receptors meta-pathway, Vitamin-D receptor pathway | Common pathways underlying drug addiction, melanoma, pyrimidine metabolism |
| Diseases | Neoplasm metastasis, liver carcinoma, mammary neoplasms, melanoma | Neoplasm metastasis, breast carcinoma, prostate malignant neoplasm | Neoplasm metastasis, liver carcinoma | Breast carcinoma, breast neoplasm malignant, neoplasm metastasis |
| Drugs | Aprindine, Domperidone Trifluoperazine, Pitolisant, Cyproheptadine, Pimozide, Brompheniramine Buprenorphine, Lidoflazine, Chlorambucil | Mefenamic Acid, Diclofenac, Flufenamic Acid, Quercetin Mezlocillin, Hydrochlorothiazide Hydroxycarbamide Bendroflumethiazide Benzthiazide, Chlorambucil | Bezafibrate, Rosiglitazone Stearic Acid, Dodecanoic Acid, Gamolenic Acid, Aprindine, Caffeine, Eicosapentaenoic Acid, Linolenic Acid, Mefenamic Acid | Stearic Acid, Epalrestat Dodecanoic Acid, Gamolenic Acid, Vemurafenib, Bezafibrate, Gemfibrozil, Linolenic Acid, Aprindine, Eicosapentaenoic Acid |
| Induced Genes Used | Proteins | Network Topological Parameters | ||||
|---|---|---|---|---|---|---|
| DC | Avg Short. Path Leng. | CC | C. Cen | BC | ||
| MR | HSPCB | 15 | 3.02 | 0.18 | 0.33 | 0.18 |
| NFKB1 | 15 | 2.85 | 0.25 | 0.34 | 0.33 | |
| MS | TP53 | 25 | 1.87 | 0.15 | 0.53 | 0.56 |
| NR | TP53 | 20 | 2.32 | 0.16 | 0.42 | 0.58 |
| NS | TP53 | 25 | 1.75 | 0.17 | 0.57 | 0.59 |
| Complex | B.A. (kcal /mol) | Hydrogen Bonds | Hydrophobic Bonds | Other Bonds | |||||
|---|---|---|---|---|---|---|---|---|---|
| Proteins | PCs | CHB | π-Alkyl | Alkyl | π-π Stacked | π-π T Shaped | π-Sigma | ||
| p53 | 1b | −8.6 | ASer1503 | 4ATrp1495, ATyr1502, 2APhe1519, ATyr1523, 3BTrp1495, 3BTyr1502, 2BPhe1519, BTyr1523 | 2BMet1584 | - | - | - | - |
| 2a | −8.0 | - | 2ATrp1495, 2ATyr1502, 2APhe1519, 2BTrp1495, BTyr1502, 2BPhe1519, BTyr1523 | AMet1584 | - | - | - | - | |
| HSP | 3a | −9.6 | - | APhe138, Aval150 | AMet98, 2ALeu107, AAla111 | APhe138 | - | AMet98 | AMet98 |
| 4a | −8.7 | - | 3APhe138, 2ATrp162, AMet98, ALeu107 | 2AVal186, 2AMet98, AVal150, ALeu107 | APhe138 | - | 2Trp162 | - | |
| 4c | −8.2 | 2ATrp162 | APhe22, APhe170, 2ALeu107, AMet98, AVal150 | AIle26 | 2APhe138 | ATyr139, 2ATrp162 | - | - | |
Disclaimer/Publisher’s Note: The statements, opinions and data contained in all publications are solely those of the individual author(s) and contributor(s) and not of MDPI and/or the editor(s). MDPI and/or the editor(s) disclaim responsibility for any injury to people or property resulting from any ideas, methods, instructions or products referred to in the content. |
© 2024 by the authors. Licensee MDPI, Basel, Switzerland. This article is an open access article distributed under the terms and conditions of the Creative Commons Attribution (CC BY) license (https://creativecommons.org/licenses/by/4.0/).
Share and Cite
Praveen, M.; Ullah, I.; Buendia, R.; Khan, I.A.; Sayed, M.G.; Kabir, R.; Bhat, M.A.; Yaseen, M. Exploring Potentilla nepalensis Phytoconstituents: Integrated Strategies of Network Pharmacology, Molecular Docking, Dynamic Simulations, and MMGBSA Analysis for Cancer Therapeutic Targets Discovery. Pharmaceuticals 2024, 17, 134. https://doi.org/10.3390/ph17010134
Praveen M, Ullah I, Buendia R, Khan IA, Sayed MG, Kabir R, Bhat MA, Yaseen M. Exploring Potentilla nepalensis Phytoconstituents: Integrated Strategies of Network Pharmacology, Molecular Docking, Dynamic Simulations, and MMGBSA Analysis for Cancer Therapeutic Targets Discovery. Pharmaceuticals. 2024; 17(1):134. https://doi.org/10.3390/ph17010134
Chicago/Turabian StylePraveen, Mallari, Ihsan Ullah, Ricardo Buendia, Imran Ahmad Khan, Mian Gul Sayed, Rahmul Kabir, Mashooq Ahmad Bhat, and Muhammad Yaseen. 2024. "Exploring Potentilla nepalensis Phytoconstituents: Integrated Strategies of Network Pharmacology, Molecular Docking, Dynamic Simulations, and MMGBSA Analysis for Cancer Therapeutic Targets Discovery" Pharmaceuticals 17, no. 1: 134. https://doi.org/10.3390/ph17010134
APA StylePraveen, M., Ullah, I., Buendia, R., Khan, I. A., Sayed, M. G., Kabir, R., Bhat, M. A., & Yaseen, M. (2024). Exploring Potentilla nepalensis Phytoconstituents: Integrated Strategies of Network Pharmacology, Molecular Docking, Dynamic Simulations, and MMGBSA Analysis for Cancer Therapeutic Targets Discovery. Pharmaceuticals, 17(1), 134. https://doi.org/10.3390/ph17010134

